Abstract
Mer and c-Met kinases, which are commonly overexpressed in various tumors, are ideal targets for the development of antitumor drugs. This study focuses on the design, synthesis, and evaluation of several 2-substituted aniline pyrimidine derivatives as highly potent dual inhibitors of Mer and c-Met kinases for effective tumor treatment. Compound 18c emerged as a standout candidate, demonstrating robust inhibitory activity against Mer and c-Met kinases, with IC50 values of 18.5 ± 2.3 nM and 33.6 ± 4.3 nM, respectively. Additionally, compound 18c displayed good antiproliferative activities on HepG2, MDA-MB-231, and HCT116 cancer cells, along with favorable safety profiles in hERG testing. Notably, it exhibited exceptional liver microsomal stability in vitro, with a half-life of 53.1 min in human liver microsome. Compound 18c also exhibited dose-dependent cytotoxicity and hindered migration of HCT116 cancer cells, as demonstrated in apoptosis and migration assays. These findings collectively suggest that compound 18c holds promise as a dual Mer/c-Met agent for cancer treatment.
1. Introduction
Mer kinase, belonging to the Tyro3-Axl-Mer family, interacts with growth arrest-specific 6 as its biological ligand [1,2,3]. This interaction mediates platelet aggregation and epithelial cell clearance and modulates macrophage cytokine synthesis, cell motility, and cell survival. Overexpression of Mer is identified in various human cancers, such as B- and T-cell acute lymphoblastic leukemia (ALL), non-small-cell lung cancer (NSCLC), and common pediatric malignancies [4]. In instances such as NSCLC and acute leukemia, Mer overexpression attenuates sensitivity to chemotherapy-induced apoptosis and doubles cell survival. Moreover, treating melanoma cells with a small-molecule Mer inhibitor reduces colony formation in soft agar and diminishes invasion into the collagen matrix [5]. Consequently, inhibiting Mer with small-molecule inhibitors may offer clinical benefits either alone or in combination with chemotherapeutic agents.
Mer inhibitors are broadly classified into two types: aminopyrimidine pyrazole (pyrrole) and aminopyrimidine series (Figure 1). The initial small-molecule Mer inhibitor UNC569 effectively inhibits Mer and downstream signaling pathways ERK and AKT but suffers from poor pharmacokinetic properties [6,7]. Subsequent developments, such as compounds UNC2225 and MRX-2843 derived from UNC569 [8,9,10,11], exhibit enhanced inhibition of Mer signal transduction, improved pharmacokinetic properties, and favorable drug-like characteristics. Currently, MRX-2843 is in phase II clinical research for treating ALL [12]. Another notable inhibitor UNC2250 is an aminopyrimidine-type Mer inhibitor with an IC50 value of 1.7 nM [13,14]. It blocks the activity of the Mer-EGFR chimeric protein, retarding tumor cell growth and promoting apoptosis.
Figure 1.
The representative Mer inhibitors.
The c-mesenchymal–epithelial transition factor (c-Met) oncogene comprises 21 exons separated by 20 introns, and its protein Met/hepatocyte growth factor receptor (HGFR) [15,16], expressed in endothelial and epithelial cells, belongs to the receptor tyrosine kinases family. The c-Met kinase participates in cell proliferation, migration, invasion, survival, and branching morphogenesis [17,18]. Overexpression of c-Met has been validated as an oncogenic driver in tumorigenesis, especially in the development of invasive and metastatic phenotypes, such as NSCLC, hepatocellular carcinoma (HCC), and gastric cancer (GC). Consequently, c-Met has been acknowledged as an effective target for treating of many cancers.
Pfizer’s crizotinib [19], approved by the FDA in 2011, targets locally advanced or metastatic NSCLC with ALK positivity. Exelixis’s multitarget inhibitor cabozantinib includes c-Met/VEGFR/Mer/Kit and is suggested for metastatic medullary thyroid cancer, advanced renal cell carcinoma post-antiangiogenic therapy, and first-line treatment for advanced renal cell tumors [20]. The highly selective c-Met inhibitor savolitinib is currently undergoing international multicenter phase III clinical trials for papillary renal cell carcinoma treatment [21]. Capmatinib has received an FDA priority review for treating metastatic NSCLC-carrying MET exon 14 jump mutation [22]. Lastly, our group is developing a compound SIPI7067, which is undergoing preclinical studies as a c-Met inhibitor [23]. The structures of representative c-Met inhibitors were showed in Figure 2.
Figure 2.
The representative c-Met inhibitors.
Mer and c-Met, both belonging to the receptor tyrosine kinase family, exhibit similar structures. To assess their relation, an analysis of the amino acid sequence in the kinase-binding region of human protein tyrosine kinases was conducted, resulting in a tree diagram drawn using the N-J method (Figure 3). The types of tyrosine kinases are depicted on the right side of the diagram, and the values on the lines are calculated using the Tamura–Nei method [24,25]. Larger values indicated a higher degree of evolution. Figure 3 highlights that the distance between Mer kinase and c-Met kinase is the closest (marked in red), suggesting a low degree of evolution and a close relation in the basic amino acid sequences within the kinase domain. Additionally, both Mer and c-Met receptors can activate common signaling molecules, and the two receptor families share similar functions. Consequently, concurrently targeting Mer and c-Met receptors is supported by a feasible and solid theoretical foundation.
Figure 3.
The relationships of each tyrosine kinase.
Despite being in the early stages, the development of dual Mer/c-Met inhibitors has seen initial progress. Bicyclic pyrazolone derivatives were among the first reported dual Mer/c-Met inhibitors [26], although subsequent advancements were lacking. Exelixis’s patent (WO2019148043A1) disclosed that cabozantinib and its analogs demonstrated potent inhibitory activity against Mer kinase (IC50~30 nM). The binding mode of cabozantinib to Mer and c-Met receptors emphasizes the essential role of heterocyclic N atoms and amide bonds as functional groups for inhibitory activities [27]. These findings provide a scientific basis for exploring dual Mer/c-Met inhibitors.
The target compounds exhibited a binding model similar to that of cabozantinib, indicating that the 2-substituted aniline pyrimidine scaffold could serve as a building block for developing dual Mer/c-Met inhibitors. Notably, compounds 18c, 18l, 18n, and 18o displayed robust inhibitory activities against Mer and c-Met kinases. Compound 18c, in particular, demonstrated good liver microsomal stability and exhibited potent antiproliferative activities against three cancer cell lines (HepG2, MDA-MB-231, and HCT116), comparable to or exceeding those of cabozantinib. Notably, compound 18c demonstrated acceptable safety profiles in hERG tests, induced significant dose-dependent cytotoxicity in cancer cells (HCT116) in apoptosis assay, and inhibited cancer cell (HCT116) migration. These results position compound 18c as a promising candidate for further research.
2. Results and Discussion
2.1. Chemistry
A series of target compounds and the relative intermediates were synthesized, and the synthetic routes were shown in Scheme 1 and Scheme 2. The structures of compounds were confirmed by 1H-NMR, 13C-NMR, and HRMS spectroscopy which can be downloaded from supplementary materials.
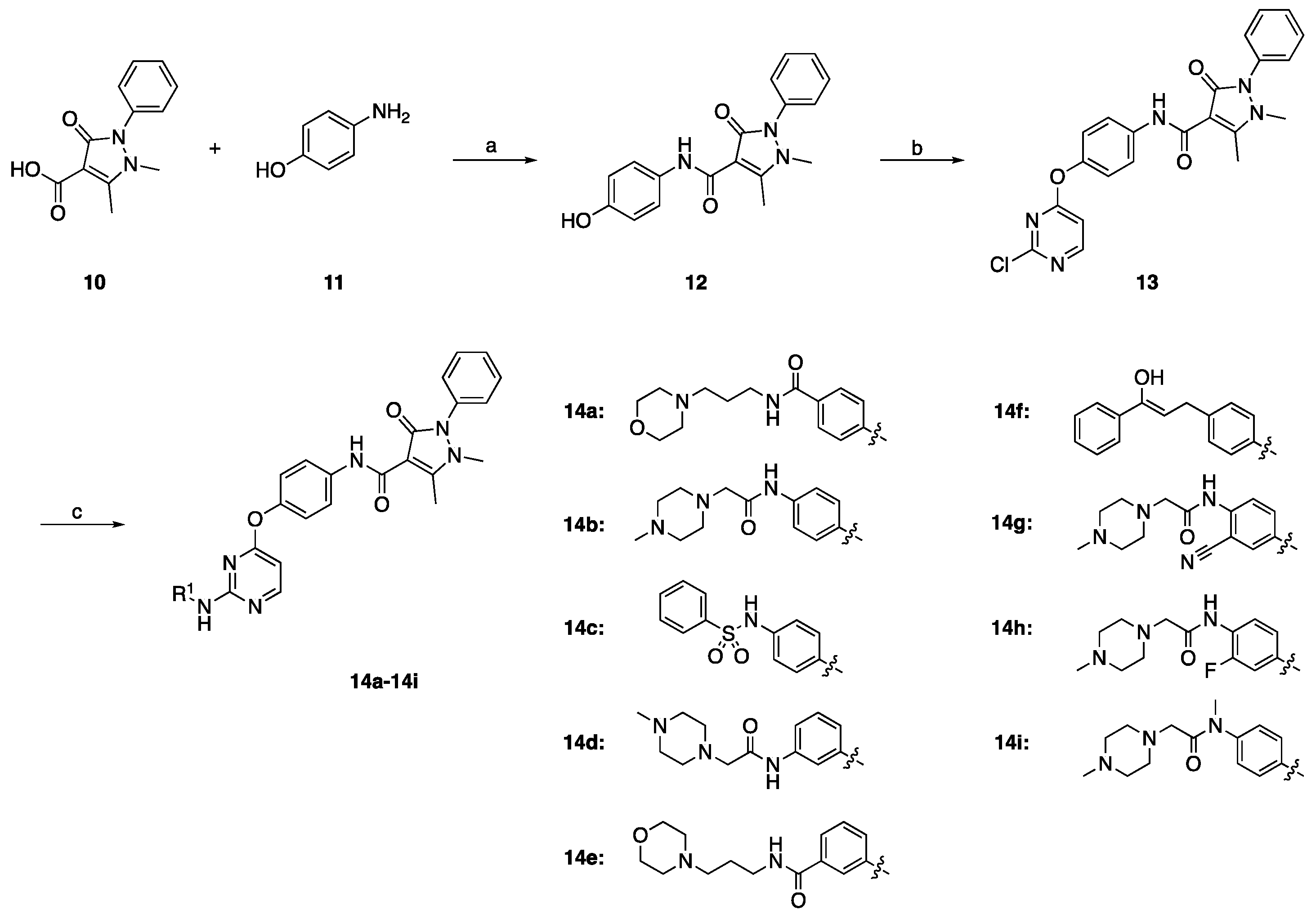
Scheme 1.
The synthetic route of compounds 14a–14i. Reagents and conditions: (a) HBTU/TEA/DMF, r.t., 8 h; (b) 2,4-dichloropyrimidine, K2CO3/DMF, 80 °C, 4.5 h; (c) substituted anilines, PTSA/DMF, 90 °C, 4 h.
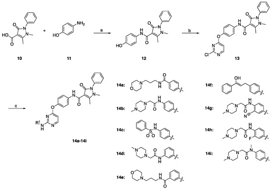
Scheme 2.
The synthetic route of compounds 18a–18i. Reagents and conditions: (a) EDC·HCl/DMF, r.t., 6 h; (b) 2,4-dichloropyrimidine, K2CO3/DMF, 80 °C, 6 h; (c) substituted anilines, PTSA/DMF, 90 °C, 4 h.
The intermediate 12 was prepared from 4-antipyrine acid (10) and 4-aminophenol (11) through condensation reaction at room temperature [28], followed by reaction with 2,4-dichloropyrimidine to yield intermediate 13 through SN2 reaction [29]. The target compounds 14a–14i were prepared from 13 and different substituted anilines [30]. The method is shown in Scheme 1.
1-((4-fluorophenyl)carbamoyl)cyclopropane-1-carboxylic acid (15) was firstly reacted with 4-aminophenol (11) to obtain intermediate 16 [31] and was treated with 2,4-dichloropyrimidine to yield the key intermediate 17. Finally, 17 was reacted with different substituted anilines to give the desired compounds 18a–18o. The method is shown in Scheme 2.
2.2. Kinase Inhibitory Activities
The inhibitory activities against Mer and c-Met of the designed compounds were determined. As depicted in Table 1, all tested compounds exhibited strong inhibitory activities against Mer kinase. Compounds 14a, 14b, and 14g showed IC50 values of 7.9 ± 1.3 nM, 9.4 ± 1.5 nM, and 7.1 ± 0.9 nM, respectively. However, the inhibitory activities toward c-Met kinase were considerably weaker than those against Mer, prompting further development of compounds with dual Mer/c-Met inhibitory activities. As shown in Table 2, compound 18c demonstrated inhibitory activities of 18.5 ± 2.3 nM and 33.6 ± 4.3 nM against Mer and c-Met kinase, respectively, showcasing robust inhibitory activities for both targets. Subsequent work focused on optimizing compound 18c, and Table 3 reveals that compounds 18l, 18n, and 18o also exhibited dual-target inhibitory activities. These results collectively indicate that the designed compounds possess potent inhibitory effects on both Mer and c-Met targets.
Table 1.
Inhibitory activities of compound 14a–14i against Mer and c-Met kinase.
Table 2.
Inhibitory activities of compound 18a–18f against Mer and c-Met kinase.
Table 3.
Inhibitory activities of compound 18g–18o against Mer and c-Met kinase.
2.3. In Vitro Liver Microsomal Stability
The metabolic stability of compounds 18c, 18l, 18n, and 18o was evaluated through liver microsome assays, considering clearance and half-life measurements in human liver microsomes. As per Table 4, compound 18c displayed a half-life and clearance of 53.1 min and 0.06 mL/min/mg, respectively, while compound 18l exhibited 9.6 min and 0.36 mL/min/mg, respectively. For compound 18n, the half-life and clearance were 11.9 min and 0.29 mL/min/mg, respectively, and for compound 18o, these values were 8.6 min and 0.40 mL/min/mg, respectively. These results indicate that compound 18c exhibits good in vitro liver microsome stability.
Table 4.
Microsome stability study of compound 18c, 18l, 18n, and 18o.
2.4. Antiproliferation Assay In Vitro
Compound 18c was further assayed for antiproliferative activities against HepG2, MDA-MB-231, and HCT116 cancer cells using the CCK8 assay, with cabozantinib as the positive compound. As shown in Table 5, compound 18c effectively inhibited the proliferation of HepG2, MDA-MB-231, and HCT116 cells with equal to or surpassing that of cabozantinib. Although slightly weaker against HepG2 cells, compound 18c demonstrated superior antiproliferative activity against MDA-MB-231 and HCT116 cells. Specifically, the antiproliferative activity of compound 18c against HepG2 cells was 3.8 times lesser than that of cabozantinib, 3.3 times higher against MDA-MB-231 cells, and 1.6 times higher against HCT116 cells. These results suggest the potential for developing compounds as novel and effective dual Mer/c-Met inhibitors.
Table 5.
Antiproliferative activities of compound 18c on cancer cells.
2.5. Preliminary SAR Analysis
The pharmacological activities revealed that the 2-substituted aniline pyrimidine groups played pivotal roles in Mer and c-Met kinase inhibitory activities. Six different substituted anilines were incorporated as compounds 14a–14f, displaying good inhibitory activities toward Mer kinase (IC50 = 8.1–462 nM). Notably, compounds 14a and 14b showed particularly strong inhibitory activities with IC50 values of 8.1 nM and 9.6 nM, respectively. However, the inhibitory activities of compounds 14a–14f toward c-Met kinase were notably weaker than those toward Mer kinase, with IC50 values ranging from 144.0 to 8897.0 nM. Additionally, compounds 14g–14i, derived from compound 14b, exhibited weaker inhibitory activities toward c-Met kinase compared to Mer kinase.
The activity of the morpholine amide group equals that of the piperazine amide group (14a~14b), both surpassing the benzene sulfonamide and (Z)-1,3-diphenylprop-1-en-1-ol group (14c and 14f < 14a and 14b). Para-substitution demonstrates superior activity compared to meta-substitution (14a > 14e and 14b > 14d), illustrating the effective binding of para-substituted compounds with the target. No notable impact on activity was observed when benzene was substituted with cyan and fluorine groups (14g~14h).
The antipyrine side chain was substituted with the cyclopropane-1-carboxylic acid group to obtain compounds 18a–18f for evaluating inhibitory activities on Mer and c-Met kinase. Compounds 18c and 18d exhibited potent dual inhibitory activities toward Mer and c-Met kinase with IC50 values of 18.9 and 33.3 nM and 41.5 and 53.2 nM, respectively. Combining the morpholine amide group and piperazine amide group with the cyclopropane-1-carboxylic acid group increased the inhibitory activity of c-Met kinase (18c > 14b and 18d > 14a).
Compound 18c underwent further optimization for SAR development. Substituting the piperazine group with ethyl, isopropyl, cyclopropyl methyl, and acetyl groups retained Mer inhibitory activities (18g–18j~18c), but the c-Met inhibitory activity decreased slightly. Similarly, the Mer inhibitory activities of compounds 18k, 18l, and 18n were preserved, while the c-Met inhibitory activity decreased. Therefore, the substituted group on piperazine and benzene retained Mer inhibitory activity but decreased c-Met inhibitory activity. Methylation of the amide group decreased the activity (18c > 18m), indicating the essential role of the amide group in binding affinity. The activity of the paraposition was comparable to the metaposition (18o~18c), suggesting the substituted position did not substantially affect binding affinity.
According to SAR, the dual inhibitory activities of compounds 18c, 18l, 18n, and 18o surpassed those of other compounds, indicating strong affinities with Mer and c-Met kinase and validating the design concept. The SAR of the newly designed compounds is depicted in Figure 4.
Figure 4.
The structure–activity relationship of designed compounds.
2.6. Molecular Docking Study of Compound 18c
A docking study of compound 18c was conducted to assess the rationality of the designed strategy, and the co-crystal structure of cabozantinib with Mer and c-Met was selected as the docking mode. The docking results of compound 18c with Mer kinase (PDB: 4M3Q) showed that the aminopyrimidine group could form a hydrogen bond with Asp741, the amide group of the side chain could form a hydrogen bond with Met674, and the amide group could form a hydrogen bond with Arg727 (Figure 5). The benzene group of the side chain could form π-π interaction. The docking results of compound 18c with c-Met kinase (PDB: 3LQ8) showed that the amide group could form two hydrogen bonds with Asp1164 and Lys1110, respectively. The benzene group of the substituted aniline group could form π-π interaction. The docking results illustrated (Figure 6) that the designed compounds had significant inhibitory potency and the 2-substituted aniline pyrimidine group, when used as the core structure, could effectively inhibit Mer and c-Met kinase activity.
Figure 5.
The docking mode of 18c with Mer kinase (PDB: 4M3Q). (A) 3D binding mode and (B) 2D binding mode.
Figure 6.
The docking mode of 18c with c-Met kinase (PDB: 3LQ8). (A) 3D binding mode and (B) 2D binding mode.
2.7. The hERG Tests
It is necessary to test the inhibitory activity on hERG potassium currents to further evaluate cardiotoxicity. As per the results in Table 6, the IC50 value of compound 18c was >40 μM, and no obvious inhibition of hERG potassium currents was observed while Mer and c-Met kinase activity was inhibited.
Table 6.
Activity on hERG potassium currents of compound 18c.
2.8. Apoptosis Assay
HCT116 cells were grown on a coverslip, treated with various indicated doses of compound 18c for 48 h, and stained for TUNEL (green). The number of TUNEL-positive cells was counted from 5 non-overlap random fields per group; DAPI (blue). Data are representative of three independent experiments.
As shown in Figure 7, the TUNEL assay shows that the candidate compound 18c can induce apoptosis of HCT116 cancer cells with an extremely low value of ED50 10.07 μM, which demonstrates that 18c is a qualified compound.
Figure 7.
Compound 18c induced cell apoptosis in HCT116 cancer cells. (A) Quantitative analysis of TUNEL staining. (B) Representative TUNEL and DAPI-stained images. Magnification, ×100. HCT116 cells were grown on a coverslip, treated with various indicated doses of 18c for 48 h, and stained for TUNEL (green). The number of TUNEL-positive cells was counted from 5 non-overlap random fields per group; DAPI (blue). Data are representative of three independent experiments.
2.9. Transwell Assay
Transwell migration assays were performed using Transwell® chamber inserts (Costar, Cambridge, MA, USA) with a porous polycarbonate membrane (8 μM pore size). As shown in Figure 8, the transwell migration assay showed that compound 18c treatment significantly inhibited HCT116 cancer cell migration compared with the control group.
Figure 8.
Compound 18c inhibited cell migration in HCT116 cancer cells. (A) Representative images of transwell assay of HCT116 cells treated with compound 18c for 24 h. (B) Quantification of transwell assay.
3. Materials and Methods
3.1. Chemical Part
Reactions were monitored by thin-layer chromatography (TLC) on precoated silica GF254 plates. High-resolution mass spectra (HRMS) were taken in ESI mode on Water Q-Tof. 1H-NMR and 13C-NMR spectra were generated on Bruker AM-400 and 500 spectrometers (Bruker Bioscience, Billerica, MA, USA) with TMS as the internal standard. All other chemicals were analytical grade and used without further purification.
3.1.1. Preparation of N-(4-Hydroxyphenyl)-1,5-dimethyl-3-oxo-2-phenyl-2,3-dihydro-1H-pyrazole-4-carboxamide (Intermediate 12)
To a solution of 4-antipyrine acid (2.0 g, 8.61 mmol) and 4-aminophenol (1.13 g, 10.33 mmol) in DMF (20 mL), HBTU (3.92 g, 10.33 mmol) and TEA (2.61 g, 25.84 mmol) were added. The reaction solution was stirred at room temperature for 8 h and monitored by TLC. The reaction solution was poured into ice water (200 mL), and the precipitate was filtered off, washed, and dried in a vacuum to yield intermediate 12 as a white solid (1.75 g, 63.0%).
3.1.2. Preparation of N-(4-((2-Chloropyrimidin-4-yl)oxy)phenyl)-1,5-dimethyl-3-oxo-2-phenyl-2,3-dihydro-1H-pyrazole-4-carboxamide (Intermediate 13)
To a solution of the intermediate 12 (1.75 g, 5.41 mmol) and 2,4-dichloropyrimidine (0.81 g, 5.41 mmol) in DMF (15 mL), K2CO3 (0.82 g, 5.95 mmol) was added. The mixture was stirred at 80 °C for 4.5 h. The reaction solution was poured into ice water (100 mL), and the precipitate was filtered off, washed, and dried in a vacuum to yield intermediate 13 as a white solid (1.85 g, 78.0%), which can be used directly without any further purification.
3.1.3. General Procedure for Preparation of Compound 14a–14i
To a mixture of the intermediate 13 (1.2 mmol), substituted aniline (1.0 mmol), and DMF (8 mL), p-toluenesulfonic acid (PTSA, 4.0 mmol) was added. The mixture was stirred at 90 °C for 4 h under N2 atmosphere. The reaction solution was cooled to room temperature, then poured into ice water (100 mL), and the precipitate was filtered off, washed, and dried in a vacuum to obtain the crude product, which was purified by silica gel chromatography using a mixture of DCM/MeOH (100:1~30:1) to afford the product 14a–14i.
Compound 14a: White solid, yield: 34.0%. 1H NMR (500 MHz, DMSO-d6) δ 10.83 (s, 1H), 9.82 (s, 1H), 8.40 (d, J = 5.5 Hz, 1H), 8.23 (s, 1H), 7.70 (d, J = 8.6 Hz, 2H), 7.67–7.56 (m, 6H), 7.52 (t, J = 7.25Hz 1H), 7.45 (d, J = 7.7 Hz, 2H), 7.22 (d, J = 8.6 Hz, 2H), 6.48 (d, J = 5.5 Hz, 1H), 3.56 (s, 4H), 3.37 (s, 3H), 3.31 (s, 1H), 3.24 (q, J = 5.7 Hz, 2H), 2.73 (s, 3H), 2.34 (s, 5H), 1.65 (s, 2H). 13C NMR (126 MHz, DMSO-d6) δ 170.07, 166.25, 163.53, 161.69, 160.39, 159.90, 154.30, 147.98, 143.26, 136.81, 133.52, 129.95, 129.33, 128.05, 127.61, 122.80, 120.71, 118.06, 99.40, 97.61, 66.64, 56.59, 53.78, 33.79, 26.44, 11.95. HRMS: m/z C36H38N8O5 [M + Na]+ 685.2965, found 685.2866.
Compound 14b: White solid, yield: 12.0%. 1H NMR (500 MHz, DMSO-d6) δ 10.81 (s, 1H), 9.53 (s, 1H), 8.32 (d, J = 5.6 Hz, 1H), 7.69 (d, J = 8.9 Hz, 2H), 7.60 (t, J = 7.7 Hz, 2H), 7.54–7.49 (m, 4H), 7.46–7.43 (m, 2H), 7.37 (d, J = 8.7 Hz, 2H), 7.20 (d, J = 8.9 Hz, 2H), 6.37 (d, J = 5.6 Hz, 1H), 3.37 (s, 3H), 3.08 (s, 2H), 2.72 (s, 3H), 2.53 (s, 4H), 2.50 (s, 2H), 2.26 (s, 3H), 1.24 (s, 2H). 13C NMR (126 MHz, DMSO-d6) δ 170.00, 168.13, 163.53, 161.65, 160.31, 160.18, 154.32, 148.02, 136.71, 136.38, 133.51, 133.00, 129.95, 129.31, 127.56, 122.76, 120.63, 120.24, 119.55, 98.43, 97.63, 62.12, 54.94, 53.05, 46.09, 33.80, 11.95. HRMS: m/z C35H37N9O4 [M + Na]+ 670.2969, found 670.2864.
Compound 14c: White solid, yield: 32.0%. 1H NMR (500 MHz, DMSO-d6) δ 10.84 (s, 1H), 9.93 (s, 1H), 9.50 (s, 1H), 8.30 (d, J = 5.6 Hz, 1H), 7.71–7.66 (m, 4H), 7.62–7.56 (m, 3H), 7.54–7.49 (m, 3H), 7.47–7.43 (m, 2H), 7.38 (d, J = 8.4 Hz, 2H), 7.17 (d, J = 8.9 Hz, 2H), 6.82 (d, J = 8.8 Hz, 2H), 6.38 (d, J = 5.6 Hz, 1H), 3.37 (s, 3H), 2.74 (s, 3H). 13C NMR (126 MHz, DMSO-d6) δ 170.00, 163.60, 161.69, 160.27, 159.97, 154.32, 147.93, 139.97, 137.54, 136.79, 133.54, 133.14, 131.34, 129.96, 129.56, 129.32, 127.59, 127.18, 122.82, 122.09, 120.51, 119.75, 98.60, 97.66, 33.79, 11.97, 11.93. HRMS: m/z C34H29N7O5S [M + Na]+ 670.1951, found 670.1851.
Compound 14d: White solid, yield: 19.0%. 1H NMR (500 MHz, DMSO-d6) δ 10.81 (s, 1H), 9.53 (d, J = 19.7 Hz, 2H), 8.34 (d, J = 5.6 Hz, 1H), 7.73 (s, 1H), 7.67 (d, J = 8.8 Hz, 2H), 7.60 (t, J = 7.6 Hz, 2H), 7.52 (t, J = 7.4 Hz, 1H), 7.45 (d, J = 7.4 Hz, 2H), 7.30 (d, J = 7.8 Hz, 1H), 7.20 (d, J = 8.8 Hz, 3H), 7.03 (d, J = 8.1 Hz, 1H), 6.39 (d, J = 5.6 Hz, 1H), 3.37 (s, 4H), 3.10 (s, 2H), 2.72 (s, 3H), 2.54 (s, 3H), 2.41 (s, 4H), 2.20 (s, 3H). 13C NMR (126 MHz, DMSO-d6) δ 170.00, 168.46, 163.51, 161.64, 160.31, 160.23, 154.27, 147.98, 140.89, 138.88, 136.69, 133.50, 129.95, 129.33, 128.82, 127.60, 122.79, 120.64, 115.13, 113.59, 110.94, 98.75, 97.56, 62.05, 55.07, 53.06, 46.15, 33.79, 11.93. HRMS: m/z C35H37N9O4 [M + Na]+ 670.2969, found 670.2865.
Compound 14e: White solid, yield: 28.0%. 1H NMR (500 MHz, DMSO-d6) δ 10.81 (s, 1H), 9.67 (s, 1H), 8.36 (d, J = 5.5 Hz, 1H), 8.33 (s, 1H), 7.96 (s, 1H), 7.73 (d, J = 7.7 Hz, 1H), 7.68 (d, J = 8.7 Hz, 2H), 7.60 (t, J = 7.5 Hz, 2H), 7.52 (t, J = 7.1 Hz, 1H), 7.45 (d, J = 7.5 Hz, 2H), 7.30 (d, J = 7.4 Hz, 1H), 7.20 (d, J = 8.6 Hz, 2H), 7.16 (t, J = 7.7 Hz, 1H), 6.42 (d, J = 5.5 Hz, 1H), 3.56 (s, 4H), 3.37 (s, 3H), 3.25 (dd, J = 6.6 Hz, J = 12.2Hz, 2H), 2.73 (s, 3H), 2.35 (s, 6H), 1.67 (s, 2H). 13C NMR (126 MHz, DMSO-d6) δ 170.05, 166.93, 163.53, 161.65, 160.38, 160.16, 154.31, 147.98, 140.69, 136.73, 135.79, 133.51, 129.95, 129.32, 128.45, 127.58, 122.80, 121.91, 120.74, 120.31, 118.89, 98.96, 97.58, 66.59, 56.52, 38.21, 33.80, 31.62, 30.30, 11.94. HRMS: m/z C36H38N8O5 [M + Na]+ 685.3000, found 685.2864.
Compound 14f: White solid, yield: 84.0%. 1H NMR (500 MHz, DMSO-d6) δ 10.82 (s, 1H), 9.46 (s, 1H), 8.32 (d, J = 5.5 Hz, 1H), 7.69 (d, J = 8.6 Hz, 2H), 7.60 (t, J = 7.5 Hz, 2H), 7.52 (t, J = 7.3 Hz, 1H), 7.44 (d, J = 7.3 Hz, 4H), 7.30 (d, J = 4.0 Hz, 4H), 7.19 (d, J = 8.4 Hz, 3H), 6.95 (d, J = 7.8 Hz, 2H), 6.38 (d, J = 5.5 Hz, 1H), 5.18 (s, 1H), 4.48 (t, J = 5.5 Hz, 1H), 2.72 (s, 3H), 1.81 (dt, J = 14.3, 7.9 Hz, 2H). 13C NMR (126 MHz, DMSO-d6) δ 170.08, 163.54, 161.67, 160.29, 160.20, 154.34, 148.10, 146.65, 138.29, 136.71, 135.44, 133.51, 129.95, 129.30, 128.42, 127.56, 126.24, 122.91, 120.78, 119.44, 98.29, 97.61, 72.09, 33.79, 31.30, 11.94. HRMS: m/z C37H32N6O4 [M + Na]+ 647.2485, found 647.2393.
Compound 14g: White solid, yield: 9.0%. 1H NMR (400 MHz, DMSO-d6) δ 10.77 (s, 1H), 9.87 (d, J = 4.1 Hz, 2H), 8.40 (d, J = 5.6 Hz, 1H), 8.03 (s, 1H), 7.76 (s, 2H), 7.69 (d, J = 8.9 Hz, 2H), 7.60 (t, J = 7.6 Hz, 2H), 7.51 (t, J = 7.4 Hz, 1H), 7.43 (d, J = 7.4 Hz, 2H), 7.21 (d, J = 8.9 Hz, 2H), 6.50 (d, J = 5.6 Hz, 1H), 3.36 (s, 3H), 3.11 (s, 2H), 2.71 (s, 3H), 2.54 (s, 2H), 2.41 (s, 4H), 2.15 (s, 3H), 1.35–1.20 (m, 2H). 13C NMR (126 MHz, DMSO-d6) δ 170.07, 169.06, 163.52, 161.63, 160.40, 159.75, 154.44, 147.82, 137.66, 136.92, 134.24, 133.55, 129.94, 129.24, 127.45, 124.52, 123.71, 122.64, 121.54, 120.87, 117.08, 99.63,97.71, 61.51, 54.91, 53.11, 46.03, 33.82, 11.94. HRMS: m/z C36H36N10O4 [M + Na]+ 695.2921, found 695.2819.
Compound 14h: White solid, yield: 29.1%. 1H NMR (500 MHz, DMSO-d6) δ 10.81 (s, 1H), 9.76 (s, 1H), 9.34 (s, 1H), 8.38 (d, J = 5.6 Hz, 1H), 7.70 (d, J = 8.8 Hz, 2H), 7.65 (d, J = 9.0 Hz, 1H), 7.60 (t, J = 7.6 Hz, 3H), 7.53 (d, J = 7.4 Hz, 1H), 7.44 (d, J = 7.4 Hz, 2H), 7.21 (d, J = 8.8 Hz, 3H), 6.48 (d, J = 5.6 Hz, 1H), 3.37 (s, 3H), 3.08 (s, 2H), 2.72 (s, 3H), 2.51 (s, 2H), 2.50 (s, 2H), 2.34 (s, 4H), 2.14 (s, 3H). 13C NMR (126 MHz, DMSO-d6) δ 170.05, 168.52, 163.51, 161.61, 159.81, 154.33, 147.90, 136.89, 133.50, 129.29, 127.50, 123.71, 122.77, 120.68, 119.37, 114.56, 106.09, 61.53, 55.14, 53.07, 46.10, 33.80, 11.95. HRMS: m/z C35H36FN9O4Na [M + Na]+ 688.2921, found 688.2776.
Compound 14i: White solid, yield: 39.1%. 1H NMR (500 MHz, DMSO-d6) δ 10.81 (s, 1H), 9.72 (s, 1H), 8.36 (d, J = 5.5 Hz, 1H), 7.68 (d, J = 8.8 Hz, 2H), 7.60 (t, J = 7.6 Hz, 2H), 7.55–7.48 (m, 3H), 7.45 (d, J = 7.5 Hz, 2H), 7.20 (d, J = 8.7 Hz, 2H), 7.03 (d, J = 7.9 Hz, 2H), 6.48 (d, J = 5.2 Hz, 1H), 3.38 (s, 3H), 3.05 (s, 3H), 2.78 (s, 2H), 2.72 (s, 3H), 2.24 (d, J = 34.2 Hz, 8H), 2.09 (s, 3H). 13C NMR (126 MHz, DMSO-d6) δ 170.19, 169.12, 163.53, 161.70, 160.43, 159.91, 154.40, 148.14, 139.78, 137.07, 136.76, 133.52, 129.94, 129.29, 127.57, 127.49, 123.07, 120.94, 119.78, 98.83, 59.19, 55.05, 52.76, 33.81, 11.92. HRMS: m/z C36H40N9O4 [M + H]+ 662.3125, found 662.3206.
3.1.4. Preparation of N-(4-Fluorophenyl)-N-(4-hydroxyphenyl)cyclopropane-1,1-dicarboxamide (Intermediate 16)
To a solution of 1-((4-fluorophenyl)carbamoyl)cyclopropane-1-carboxylic acid (15, 2.02 g, 9.0 mmol) and 4-aminophenol (1.18 g, 10.8 mmol) in DMF (5 mL), EDC·HCl (2.07 g, 10.80 mmol) was added. The reaction solution was stirred at room temperature for 6 h and monitored by TLC. Ice water (125 mL) was added, and the precipitate was filtered off, washed, and dried in a vacuum to yield 16 as a white solid (2.28 g, 80.6%), which can be used for the next step without any purification.
3.1.5. Preparation of N-(4-((2-Chloropyrimidin-4-yl)oxy)phenyl)-N-(4-fluorophenyl)cyclopropane-1,1-dicarboxamide (Intermediate 17)
To a solution N-(4-((2-chloropyrimidin-4-yl)oxy)phenyl)-N-(4-fluorophenyl)cyclopropane-1,1-dicarboxamide (16, 2.01 g, 6.37 mmol) and 2,4-dichloropyrimidine (1.04 g, 7.01 mmol) in DMF (15 mL), K2CO3 (0.97 g, 7.01 mmol) was added under N2 atmosphere. The reaction solution was stirred at 80 °C for 6 h and monitored by TLC. The reaction mixture was poured into ice water (100 mL), and the precipitate was filtered off, washed, and dried in a vacuum to obtain the crude product, which was purified by silica gel chromatography using a mixture of DCM/MeOH (100:1~40:1) to afford the intermediate 17 as a white solid (2.34 g, 75.7%).
3.1.6. General Procedure for Preparation of the Title Compounds 18a–18o
To a mixture of the intermediate 17 (1.2 mmol), substituted aniline (1.0 mmol), and DMF (8 mL), p-toluenesulfonic acid (PTSA, 4.0 mmol) was added. The mixture was stirred at 90 °C for 4 h under N2 atmosphere. The reaction solution was cooled to room temperature, then poured into ice water (100 mL), and the precipitate was filtered off, washed, and dried in a vacuum to obtain the crude product, which was purified by silica gel chromatography using a mixture of DCM/MeOH (100:1~40:1) to afford the product 18a–18o.
Compound 18a: White solid, yield: 36.6%. 1H NMR (500 MHz, DMSO-d6) δ 10.16 (s, 1H), 10.09 (s, 1H), 9.36 (s, 1H), 8.28 (d, J = 5.6 Hz, 1H), 7.70 (d, J = 8.9 Hz, 2H), 7.66 (dd, J = 9.0, 5.1 Hz, 2H), 7.35 (d, J = 4.4 Hz, 2H), 7.20–7.12 (m, 4H), 6.75 (d, J = 8.3 Hz, 2H), 6.35 (d, J = 5.6 Hz, 1H), 3.55 (t, J = 4.7 Hz, 2H), 3.51 (t, J = 4.5 Hz, 2H), 3.01 (t, J = 4.6 Hz, 2H), 2.94 (t, J = 4.7 Hz, 2H), 2.01 (s, 3H), 1.51 (d, J = 8.5 Hz, 4H). 13C NMR (126 MHz, DMSO-d6) δ 170.10, 168.74 (d, J = 3.86 Hz, 1C), 168.60, 160.21 (d, J = 13.67 Hz, 1C), 159.72, 157.81, 148.68, 146.16, 136.58, 135.62 (d, J = 1.50 Hz, 1C), 133.34, 122.88 (d, J = 7.75 Hz, 1C), 122.50 (d, J = 17.70 Hz, 1C), 120.43, 116.79, 115.62, 115.45, 97.77, 50.01, 49.64, 45.99, 31.80, 21.60, 16.00. HRMS: m/z C33H32FN7O4 [M + H]+ 610.2500, found 610.2537.
Compound 18b: White solid, yield: 13.5%. 1H NMR (500 MHz, DMSO-d6) δ 10.21 (s, 1H), 10.06 (s, 1H), 9.94 (s, 1H), 9.47 (s, 1H), 8.30 (d, J = 5.6 Hz, 1H), 7.70 (t, J = 9.6 Hz, 4H), 7.65 (dd, J = 8.9, 5.1 Hz, 2H), 7.59 (t, J = 7.4 Hz, 1H), 7.53 (t, J = 7.7 Hz, 2H), 7.41 (d, J = 8.3 Hz, 2H), 7.19–7.13 (m, 4H), 6.85 (d, J = 8.7 Hz, 2H), 6.36 (d, J = 5.6 Hz, 1H), 1.52 (d, J = 4.8 Hz, 4H). 13C NMR (126 MHz, DMSO-d6) δ 170.04, 168.69, 168.15, 160.32, 160.15, 159.70, 157.79, 148.52, 136.73, 136.39, 135.65 (d, J = 1.54 Hz, 1C), 132.93, 122.85 (d, J = 7.72 Hz, 1C), 122.35, 122.14, 120.31, 119.54, 115.60, 115.42, 98.37, 62.07, 54.85, 52.96, 45.95, 31.93, 15.98. HRMS: m/z C33H27FN6O5S [M + H]+ 639.1748, found 639.1833.
Compound 18c: White solid, yield: 3.4%. 1H NMR (500 MHz, DMSO-d6) δ 10.15 (s, 1H), 10.10 (s, 1H), 9.49 (s, 2H), 8.32 (d, J = 5.6 Hz, 1H), 7.72 (d, J = 8.9 Hz, 2H), 7.65 (dd, J = 9.0, 5.1 Hz, 2H), 7.47 (d, J = 8.1 Hz, 2H), 7.38 (d, J = 8.8 Hz, 2H), 7.21–7.13 (m, 4H), 6.37 (d, J = 5.6 Hz, 1H), 3.05 (s, 2H), 2.51 (s, 4H), 2.42 (s, 4H), 2.20 (s, 3H), 1.51 (d, J = 10.8 Hz, 4H). 13C NMR (126 MHz, DMSO-d6) δ 169.99, 168.83, 168.65, 160.28, 160.03, 159.72, 157.81, 148.43, 139.99, 137.55, 136.77, 135.58 (d, J = 2.49 Hz, 1C), 133.15, 131.39, 129.57, 127.17, 122.94 (d, J = 7.88 Hz, 1C), 122.32, 122.08 (d, J = 10.53 Hz, 1C), 119.88, 115.60, 115.43, 98.61, 31.84, 16.02. HRMS: m/z C34H35FN8O4 [M + H]+ 639.2765, found 639.2849.
Compound 18d: White solid, yield: 42.0%. 1H NMR (500 MHz, DMSO-d6) δ 10.16 (s, 1H), 10.09 (s, 1H), 9.83 (s, 1H), 8.40 (d, J = 5.6 Hz, 1H), 8.21 (t, J = 5.4 Hz, 1H), 7.72 (d, J = 8.9 Hz, 2H), 7.69–7.59 (m, 6H), 7.21 (d, J = 8.9 Hz, 2H), 7.16 (t, J = 8.9 Hz, 2H), 6.48 (d, J = 5.6 Hz, 1H), 3.56 (t, J = 4.4 Hz, 4H), 3.25 (q, J = 6.7 Hz, 2H), 2.38–2.27 (m, 6H), 1.66 (t, J = 7.05 Hz, 2H), 1.51 (d, J = 10.35 Hz, 4H). 13C NMR (126 MHz, DMSO-d6) δ 170.08, 168.77, 168.67, 166.26, 160.42, 159.87, 157.79, 148.53, 143.23, 136.77, 135.65 (d, J = 2.56 Hz, 1C), 128.10, 127.66, 122.87 (d, J = 7.82 Hz, 1C), 122.40 (d, J = 4.23 Hz, 1C), 118.07, 115.59, 115.42, 99.32, 66.67, 56.60, 53.80, 38.17, 31.95, 26.54, 15.94. HRMS: m/z C35H36FN7O5 [M + H]+ 654.2762, found 654.2842.
Compound 18e: White solid, yield: 10.9%. 1H NMR (400 MHz, DMSO-d6) δ 10.07 (s, 1H), 10.00 (s, 1H), 9.02 (s, 1H), 8.16 (d, J = 5.6 Hz, 1H), 7.62 (d, J = 8.9 Hz, 2H), 7.57 (dd, J = 9.1, 5.1 Hz, 2H), 7.14 (d, J = 8.2 Hz, 2H), 7.10 (s, 2H), 7.09–7.07 (m, 2H), 6.36 (d, J = 8.5 Hz, 2H), 6.17 (d, J = 5.5 Hz, 1H), 3.36 (t, J = 5.6 Hz, 3H), 3.18 (s, 3H), 3.04 (t, J = 5.6 Hz, 2H), 1.43 (s, 4H). 13C NMR (101 MHz, DMSO-d6) δ 170.02, 168.79, 168.68, 160.45, 159.96, 157.58, 153.82, 148.64, 140.72, 136.55, 135.61 (d, J = 2.60 Hz, 1C), 122.90 (d, J = 7.91 Hz, 1C), 122.39, 122.21, 115.62, 115.40, 112.67, 97.24, 71.06, 58.45, 43.53, 32.01, 16.00. HRMS: m/z C30H29FN6O4 [M + H]+ 557.2234, found 557.2288.
Compound 18f: White solid, yield: 7.4%. 1H NMR (400 MHz, DMSO-d6) δ 10.15 (s, 1H), 10.08 (s, 1H), 9.45 (s, 1H), 8.31 (d, J = 5.6 Hz, 1H), 7.70 (d, J = 8.9 Hz, 2H), 7.65 (dd, J = 9.1, 5.1 Hz, 2H), 7.43 (d, J = 8.2 Hz, 2H), 7.31 (d, J = 4.3 Hz, 4H), 7.25–7.20 (m, 1H), 7.20–7.13 (m, 4H), 6.95 (d, J = 8.4 Hz, 2H), 6.36 (d, J = 5.6 Hz, 1H), 5.21 (s, 1H), 4.51–4.46 (m, 1H), 1.88–1.76 (m, 2H), 1.48 (d, J = 3.5 Hz, 4H). 13C NMR (101 MHz, DMSO-d6) δ 170.06, 168.68 (d, J = 3.29 Hz, 1C), 160.20, 159.94, 157.55, 148.56, 146.68, 138.30, 136.71, 135.66 (d, J = 2.58 Hz, 1C), 135.44, 128.47 (d, J = 4.96 Hz, 1C), 127.09, 126.26, 122.84 (d, J = 7.87 Hz, 1C), 122.41, 122.25, 119.39, 115.63, 115.41, 98.27, 72.17, 41.54, 31.90, 31.37, 15.97. HRMS: m/z C36H30FN5O4 [M + H]+ 618.2438, found 618.2617.
Compound 18g: White solid, yield: 30.3%. 1H NMR (400 MHz, DMSO-d6) δ 10.14 (s, 1H), 10.09 (s, 1H), 9.48 (s, 1H), 9.47 (s, 1H), 8.32 (d, J = 5.6 Hz, 1H), 7.71 (d, J = 8.9 Hz, 2H), 7.64 (dd, J = 9.0, 5.1 Hz, 2H), 7.47 (d, J = 8.6 Hz, 2H), 7.37 (d, J = 8.8 Hz, 2H), 7.16 (q, J = 8.7 Hz, 4H), 6.36 (d, J = 5.6 Hz, 1H), 3.04 (s, 2H), 2.50–2.39 (m, 8H), 2.33 (q, J = 7.1 Hz, 2H), 1.51 (d, J = 8.5 Hz, 4H), 0.99 (t, J = 7.2 Hz, 3H). 13C NMR (101 MHz, DMSO-d6) δ 170.05, 168.72, 168.19, 160.15, 159.95, 157.57, 148.55, 136.71, 136.39, 135.63 (d, J = 2.59 Hz, 1C), 132.93, 122.87 (d, J = 7.87 Hz, 1C), 122.35, 122.17, 120.32, 119.55, 115.62, 115.40, 98.37, 62.21, 53.24, 52.62, 52.02, 31.87, 16.01, 12.40. HRMS: m/z C35H37FN8O4 [M + H]+ 653.2922, found 653.3003.
Compound 18h: White solid, yield: 13.4%. 1H NMR (400 MHz, DMSO-d6) δ 10.14 (s, 1H), 10.10 (s, 1H), 9.48 (s, 1H), 9.47 (s, 1H), 8.32 (d, J = 5.6 Hz, 1H), 7.71 (d, J = 8.9 Hz, 2H), 7.64 (dd, J = 9.0, 5.1 Hz, 2H), 7.47 (d, J = 8.7 Hz, 2H), 7.37 (d, J = 8.8 Hz, 2H), 7.16 (q, J = 8.6 Hz, 4H), 6.36 (d, J = 5.6 Hz, 1H), 3.04 (s, 2H), 2.67 (s, 1H), 2.55–2.50 (m, 8H), 1.50 (d, J = 8.4 Hz, 4H), 0.98 (d, J = 6.5 Hz, 6H). 13C NMR (101 MHz, DMSO-d6) δ 170.04, 168.72, 168.20, 160.15, 159.95, 157.56, 148.55, 136.71, 136.40, 135.63 (d, J = 2.58 Hz, 1C), 132.92, 122.87 (d, J = 8.04 Hz, 1C), 122.34, 122.17, 120.40, 119.55, 115.62, 115.40, 98.38, 78.93, 66.79, 62.19, 48.28, 31.88, 18.60, 16.00. HRMS: m/z C36H39FN8O4 [M + H]+ 667.3078, found 667.3160.
Compound 18i: White solid, yield: 15.7%. 1H NMR (400 MHz, DMSO-d6) δ 10.07 (s, 1H), 10.02 (s, 1H), 9.41 (s, 1H), 9.40 (s, 1H), 8.25 (d, J = 5.6 Hz, 1H), 7.64 (d, J = 8.9 Hz, 2H), 7.57 (dd, J = 9.1, 5.1 Hz, 2H), 7.39 (d, J = 8.6 Hz, 2H), 7.30 (d, J = 8.9 Hz, 2H), 7.09 (q, J = 8.8 Hz, 4H), 6.29 (d, J = 5.6 Hz, 1H), 2.97 (s, 2H), 2.4 (d, J = 1.7 Hz, 8H), 2.12 (d, J = 6.5 Hz, 2H), 1.43 (d, J = 8.8 Hz, 4H), 1.01 (t, J = 7.2 Hz, 1H), 0.41–0.35 (m, 2H), 0.01 (d, J = 4.8 Hz, 2H). 13C NMR (101 MHz, DMSO-d6) δ 170.05, 168.72, 168.20, 160.15, 159.95, 157.56, 148.55, 136.71, 136.39, 135.63 (d, J = 2.55 Hz, 1C), 132.92, 122.87 (d, J = 7.90 Hz, 1C), 122.35, 122.17, 120.33, 119.54, 115.62, 115.40, 98.37, 63.19, 62.24, 52.96, 46.16, 31.89, 16.01, 8.67, 4.19. HRMS: m/z C37H39FN8O4 [M + H]+ 679.3078, found 679.3158.
Compound 18j: White solid, yield: 34.8%. 1H NMR (400 MHz, DMSO-d6) δ 10.14 (s, 1H), 10.07 (s, 1H), 9.55 (s, 1H), 9.48 (s, 1H), 8.32 (d, J = 5.6 Hz, 1H), 7.71 (d, J = 8.9 Hz, 2H), 7.64 (dd, J = 9.1, 5.1 Hz, 2H), 7.47 (d, J = 8.7 Hz, 2H), 7.38 (d, J = 8.9 Hz, 2H), 7.20–7.12 (q, J = 8.8 Hz, 4H), 6.36 (d, J = 5.6 Hz, 1H), 3.51–3.44 (m, 4H), 3.10 (s, 2H), 2.49 (s, 2H), 2.44 (t, J = 4.8 Hz, 2H), 1.99 (s, 3H), 1.50 (d, J = 8.7 Hz, 4H). 13C NMR (101 MHz, DMSO-d6) δ 170.05, 168.72 (d, J = 5.70 Hz, 1C), 168.60, 168.05, 160.15, 159.96, 157.57, 148.54, 136.72, 136.43, 135.62 (d, J = 2.60 Hz, 1C), 132.93, 122.89 (d, J = 7.95 Hz, 1C), 122.36, 122.15, 120.42, 119.51, 115.63, 115.41, 98.36, 61.83, 53.33, 52.89, 46.04, 31.91, 21.62, 15.96. HRMS: m/z C35H35FN8O5 [M + H]+ 667.2714, found 667.2802.
Compound 18k: White solid, yield: 13.9%. 1H NMR (400 MHz, DMSO-d6) δ 10.17 (s, 1H), 10.07 (s, 1H), 9.95 (s, 1H), 9.89 (s, 1H), 8.46 (d, J = 5.6 Hz, 1H), 8.02 (s, 1H), 7.87–7.74 (m, 4H), 7.69 (dd, J = 9.1, 5.1 Hz, 2H), 7.26 (d, J = 8.9 Hz, 2H), 7.21 (t, J = 8.9 Hz, 2H), 6.57 (d, J = 5.6 Hz, 1H), 3.36 (s, 2H), 3.18 (s, 2H), 2.66–2.58 (m, 6H), 2.27 (s, 3H), 1.55 (d, J = 12.0 Hz, 4H). 13C NMR (101 MHz, DMSO-d6) δ 170.10, 169.06, 168.69, 168.59, 160.45, 159.69, 157.54, 148.24, 137.62, 136.97, 135.60 (d, J = 2.62 Hz, 1C), 134.30, 124.56, 123.65, 122.80 (d, J = 7.90 Hz, 1C), 122.23 (d, J = 8.48 Hz, 1C), 121.14, 116.98, 115.65, 115.42, 104.69, 99.52, 61.55, 54.90, 53.11, 45.99, 31.85, 15.99. HRMS: m/z C35H34FN9O4 [M + H]+ 664.2718, found 664.2795.
Compound 18l: White solid, yield: 10.9%. 1H NMR (400 MHz, DMSO-d6) δ 10.17 (s, 1H), 10.08 (s, 1H), 9.75 (s, 1H), 9.32 (s, 1H), 8.37 (d, J = 5.6 Hz, 1H), 7.73 (d, J = 8.9 Hz, 2H), 7.67–7.56 (m, 4H), 7.26 (d, J = 8.6 Hz, 1H), 7.21–7.13 (m, 4H), 6.45 (d, J = 5.6 Hz, 1H), 3.10 (s, 2H), 2.53 (s, 4H), 2.42 (s, 4H), 2.21 (s, 3H), 1.50 (s, 4H). 13C NMR (101 MHz, DMSO-d6) δ 170.06, 168.72, 168.65, 168.52, 160.36, 159.81, 157.55, 152.59, 148.37, 136.89, 135.62 (d, J = 2.55 Hz, 1C), 122.85 (d, J = 7.81 Hz, 1C), 122.32, 122.09, 119.43, 119.31, 115.63, 115.41, 114.62, 106.11, 99.15, 61.51, 55.01, 52.94, 45.93, 31.85, 16.02. HRMS: m/z C34H34F2N8O4 [M + H]+ 657.2671, found 657.2746.
Compound 18m: White solid, yield: 9.4%. 1H NMR (400 MHz, DMSO-d6) δ 10.20 (s, 1H), 10.06 (s, 1H), 9.71 (s, 1H), 8.36 (d, J = 5.6 Hz, 1H), 7.69 (d, J = 8.9 Hz, 2H), 7.64 (dd, J = 9.0, 5.1 Hz, 2H), 7.55 (d, J = 8.1 Hz, 2H), 7.21–7.13 (m, 4H), 7.05 (d, J = 8.3 Hz, 2H), 6.45 (d, J = 5.6 Hz, 1H), 3.06 (s, 3H), 2.80 (s, 2H), 2.30 (s, 8H), 2.13 (s, 3H), 1.48 (d, J = 9.2 Hz, 4H). 13C NMR (101 MHz, DMSO-d6) δ 170.12, 168.75, 168.66, 160.43, 159.96, 157.56, 148.55, 136.74, 136.28, 135.63, 127.56, 122.88 (d, J = 7.74 Hz, 1C), 122.54, 122.39, 121.49, 119.80, 115.64, 115.41, 98.97, 59.20, 54.96, 52.64, 46.00, 37.30, 31.80, 15.99. HRMS: m/z C35H37FN8O4 [M + H]+ 653.2922, found 653.3007.
Compound 18n: White solid, yield: 11.3%. 1H NMR (400 MHz, DMSO-d6) δ 10.20 (s, 1H), 10.13 (s, 1H), 9.59 (s, 1H), 9.53 (s, 1H), 8.38 (d, J = 5.6 Hz, 1H), 7.77 (d, J = 8.9 Hz, 2H), 7.69 (dd, J = 9.1, 5.1 Hz, 2H), 7.53 (d, J = 8.7 Hz, 2H), 7.43 (d, J = 8.9 Hz, 2H), 7.26–7.18 (m, 4H), 6.42 (d, J = 5.6 Hz, 1H), 3.54–3.46 (m, 1H), 3.23 (q, J = 6.8 Hz, 1H), 2.61 (s, 4H), 2.47 (s, 4H), 2.26 (s, 3H), 1.56 (d, J = 10.5 Hz, 4H), 1.20 (d, J = 6.8 Hz, 3H). 13C NMR (101 MHz, DMSO-d6) δ 171.15, 170.05, 168.71 (d, J = 4.87 Hz, 1C), 160.15, 159.94, 157.55, 148.52, 136.74, 136.31, 135.63 (d, J = 2.57 Hz, 1C), 133.10, 122.86 (d, J = 7.87 Hz, 1C), 122.35, 122.12, 120.20, 119.52, 115.62, 115.40, 98.36, 63.74, 56.50, 55.27, 45.96, 31.89, 16.00, 13.25. HRMS: m/z C35H37FN8O4 [M + H]+ 653.2922, found 653.3001.
Compound 18o: White solid, yield: 7.6%. 1H NMR (400 MHz, DMSO-d6) δ 10.20 (s, 1H), 10.13 (s, 1H), 9.61 (s, 1H), 9.57 (s, 1H), 8.37 (d, J = 5.6 Hz, 1H), 7.76 (s, 1H), 7.74 (d, J = 9.0 Hz, 2H), 7.70 (dd, J = 9.1, 5.1 Hz, 2H), 7.36 (d, J = 8.1 Hz, 1H), 7.27–7.17 (m, 5H), 7.09 (t, J = 8.1 Hz, 1H), 6.41 (d, J = 5.6 Hz, 1H), 3.18 (s, 2H), 2.62 (s, 6H), 2.56 (s, 2H), 2.34 (s, 3H), 1.52 (s, 4H). 13C NMR (101 MHz, DMSO-d6) δ 170.01, 168.65 (d, J = 6.48 Hz, 1C), 168.37, 160.27 (d, J = 6.39 Hz, 1C), 159.94, 157.55, 148.48, 140.90, 138.88, 136.71, 135.67 (d, J = 2.70 Hz, 1C), 128.95, 122.82 (d, J = 7.91 Hz, 1C), 122.31, 122.19, 115.63, 115.41, 113.65, 110.97, 98.72, 61.70, 54.63, 52.31, 45.38, 31.98, 15.87. HRMS: m/z C34H35FN8O4 [M + H]+ 639.2765, found 639.2827.
3.2. Mer and c-Met Inhibitory Activity Assay
The in vitro inhibition assays of all final compounds against Mer and c-Met kinase were performed by Shanghai Bioduro Biological Technology Co., Ltd. (Shanghai, China). We prepared 1× buffer: HEPES 50 mM, MgCl2 10 mM, EGTA 1 mM, NP-40 0.0001%, DTT 2 mM; compound dilution with DMSO. For test compounds, a 100 × final concentration solution was prepared. About 100 nL compounds were transferred to a 384-well plate by using the automated liquid handler. The final DMSO% in the assay is 1%. Enzyme stock solutions were diluted with 1× assay buffer to a concentration of 0.5 nM to make a 2× working solution. Five microliters were added manually to the assay plate (final 0.25 nM) using a multichannel pipette, spun down at 1000 rpm, centrifuged for 30 s, and incubated for 30 min at 25 °C temperature. Substrate solutions were diluted with 1× assay buffer. About 5 μL mix or buffer was added manually to the assay plate (ATP final 30 uM and TK-Sub-Biotin final 2 uM) using a multichannel pipette, spun down at 1000 rpm, and centrifuged for 30 s. After incubating at 30 °C for 60 min, 10 μL of detection solution was added to each well of the assay, mixed briefly with a centrifuge, and equilibrated for another 60 min. The luminescence was recorded using Envision.
3.3. Antiproliferation Assay
The antiproliferative activities of the compounds against HepG2, MDA-MB-231, and HCT116 cell lines were tested by the standard CCK-8 method [32]. Cell viability was measured by Cell Counting Kit-8 (Meilunbio, Dalian, China) according to the manufacturer’s instructions. Briefly, cancer cells were seeded into 96-well plates at a density of 2.5 × 103 cells per well. After 12 h, cancer cells were treated with the indicated various concentrations of compound 18c for 72 h. Subsequently, CCK-8 solution was added into each well and incubated for an additional 2 h. The absorbance at 450 nm was determined in each well using the BioTek Synergy HTX microplate reader. The assay was performed in triplicate, and each experiment was repeated three times. The IC50 for compound 18c was calculated with the program GraphPad PRISM 9.5.
3.4. hERG Potassium Currents Assay
CHO cells stably expressing the transcript of hERG were investigated by the automated whole-cell patch clamp technique, using the QPatch system (Sophion, Ballerup, Denmark). The detailed procedures of the hERG potassium currents assay were described in our previous work [33]. Each cell was received from six escalating concentrations. Each concentration was tested on at least three cells. The reference compound cisapride was applied at the end of the test compound addition.
3.5. Liver Microsome Stability Assay
Stock solution (10 mM) of each of test compound was prepared in DMSO. The stock solution for each compound was then diluted into 200 μM with acetonitrile. Incubation mixtures were prepared in a total volume of 200 μL with final component concentrations as follows: 0.1 M PBS (pH 7.4), NADPH (2 mM), liver microsomes (0.2 mg/mL), and test compound (1 μM) or positive control. NAPDH was added after a 5 min preincubation of all other components at 37 °C, then pipette-mixed to achieve a homogenous suspension and immediately transferred 20 μL of the incubate as a 0 min sample to wells in a “Quenching” plate, followed by pipette-mixing. At 5, 15, 30, and 60 min, we pipette-mixed the incubate and serially transferred samples of 20 μL of the incubate per time point to wells in a separate “Quenching” plate, followed by pipette-mixing. In “Quenching” plates, 200 μL of acetonitrile was added with IS. The 96 wells were centrifuged at 4000 rpm for 10 min. Then 50 μL of supernatant was mixed with 50 μL of ddH2O and injected into the LC-MS/MS system for analysis.
3.6. Apoptosis Study
The One Step TUNEL Apoptosis Assay Kit (Meilunbio, Dalian, China) was used for studying apoptosis in a dose-dependent manner. HCT116 cells (1.5 × 104 cells/well) were cultured in TC-treated glass coverslip-containing plates. After 24 h incubation, cells were treated with the indicated various concentrations of compound 18c for 48 h. Next, adhered cells were fixed with 4% paraformaldehyde and permeabilized with 0.3% Triton-X-100. TUNEL staining was performed according to the manufacturer’s instructions. The nuclei of cells were counterstained with the DAPI reagent. Images were taken using an Olympus fluorescence microscope. The ED50 for 18c was calculated with the program GraphPad PRISM 9.5. The assay was performed in triplicate, and each experiment was repeated three times.
3.7. Transwell Assay
Transwell migration assays were performed using Transwell® chamber inserts (Costar, Cambridge, MA, USA) with a porous polycarbonate membrane (8 μM pore size). Briefly, 1.5 × 105 HCT116 cells were added in the top chamber with FBS-free culture media containing 0.2% BSA. A culture medium containing 15% FBS was added to the bottom chamber. The indicated concentration of compound 18c was added on both sides of the chamber insert. After incubation for 24 h at 37 °C, the cells were fixed in methanol and stained with 0.1% crystal violet. The cells that had not migrated from the top surface of the filters were removed with cotton. Five randomly selected fields were captured by brightfield microscopy for each well. Migrated cells were quantitated by ImageJ (1.53c). Experiments were repeated at least three times in replicates.
4. Conclusions
Herein, several novel and potent dual Mer/c-Met tyrosine kinase inhibitors were designed and synthesized. Most of the target compounds exhibited high dual inhibition potency. Appropriate docking studies identified the structure rationality of the structure due to two hydrogen-bonding interactions formed between compound 18c and Mer and c-Met kinase. Furthermore, SAR studies led to the discovery of a dual inhibitor 18c with excellent activity against Mer and c-Met kinases (IC50: 18.5 ± 2.3 nM and 33.6 ± 4.3 nM, respectively). In addition, compound 18c showed equal or better antiproliferative activities against three cancer cell lines to positive control (cabozantinib), good liver microsome stability, and low toxicity in the hERG potassium channel assay. Finally, compound 18c could induce apoptosis and significantly inhibit the migration of HCT116 cancer cells. To conclude, the results suggested that compound 18c is worthy of further investigation as a dual Mer/c-Met inhibitor, and further evaluation of its performance as a drug is underway and will be reported soon.
Supplementary Materials
The following supporting information can be downloaded at https://www.mdpi.com/article/10.3390/molecules29020475/s1, Figures S1–S72: The spectra of 1H-NMR, 13C-NMR and HRMS.
Author Contributions
Conceptualization, D.H.; methodology, Y.C. and B.Z.; software, J.Y.; validation, S.W. and T.C.; formal analysis, X.Z.; investigation, Y.C. and B.Z.; data curation, Y.C. and J.Y.; writing—original draft preparation, D.H.; writing—review and editing, Z.S. and J.C.; supervision, Z.S.; project administration, D.H.; funding acquisition, D.H. All authors have read and agreed to the published version of the manuscript.
Funding
This research was funded by the National Natural Science Foundation of China (82003601) and supported by the Initial Research Project of High Level Talent in Hebei University of Chinese Medicine (No. 1020103022).
Institutional Review Board Statement
Not applicable.
Informed Consent Statement
Not applicable.
Data Availability Statement
The research data are available at https://www.mdpi.com/article/10.3390/molecules29020475/s1.
Acknowledgments
This project was supported by the Medjaden Academy & Research Foundation for Young Scientists (Grant No. MJR20211124).
Conflicts of Interest
The authors declare no conflicts of interest.
References
- Gao, L.; He, C.; Yang, A.; Zhou, H.; Lu, Q.; Birge, R.B.; Wu, Y. Receptor tyrosine kinases Tyro3, Axl, and Mertk differentially contribute to antibody-induced arthritis. Cell. Commun. Signal. 2023, 21, 195. [Google Scholar] [CrossRef] [PubMed]
- Myers, C.K.V.; de Groot, A.E.; Mendez, S.A.; Mallin, M.M.; Amend, S.R.; Pienta, K.J. Targeting MerTK decreases efferocytosis and increases anti-tumor immune infiltrate in prostate cancer. Med. Oncol. 2023, 40, 284. [Google Scholar] [CrossRef]
- Linger, R.M.; Cohen, R.A.; Cummings, C.T.; Sather, S.; Migdall-Wilson, J.; Middleton, D.H.; Lu, X.; Barón, A.E.; Franklin, W.A.; Merrick, D.T.; et al. Mer or Axl receptor tyrosine kinase inhibition promotes apoptosis, blocks growth and enhances chemosensitivity of human non-small cell lung cancer. Oncogene 2013, 32, 3420–3431. [Google Scholar] [CrossRef]
- She, Y.X.; Xu, X.; Yu, Q.Y.; Yang, X.S.; He, J.X.; Tang, X.X. Elevated expression of macrophage MERTK exhibits profibrotic effects and results in defective regulation of efferocytosis function in pulmonary fibrosis. Resp. Res. 2023, 24, 118. [Google Scholar] [CrossRef]
- Schlegel, J.; Sambade, M.J.; Sather, S.; Moschos, S.J.; Tan, A.C.; Winges, A.; DeRyckere, D.; Carson, C.C.; Trembath, D.G.; Tentler, J.J.; et al. MERTK receptor tyrosine kinase is a therapeutic target in melanoma. J. Clin. Investig. 2013, 123, 2257–2267. [Google Scholar] [CrossRef] [PubMed]
- Sayama, A.; Okado, K.; Yamaguchi, M.; Samata, N.; Imaoka, M.; Kai, K.; Mori, K. The impact of the timing of dosing on the severity of UNC569-induced ultrastructural changes in the mouse retina. Toxicol. Pathol. 2020, 48, 669–676. [Google Scholar] [CrossRef] [PubMed]
- Koda, Y.; Itoh, M.; Tohda, S. Effects of MERTK inhibitors UNC569 and UNC1062 on the growth of acute myeloid Leukaemia cells. Anticancer Res. 2018, 38, 199–204. [Google Scholar] [CrossRef] [PubMed]
- DeRyckere, D.; Lee-Sherick, A.B.; Huey, M.G.; Hill, A.A.; Tyner, J.W.; Jacobsen, K.M.; Page, L.S.; Kirkpatrick, G.G.; Eryildiz, F.; Montgomery, S.A.; et al. UNC2025, a MERTK small-molecule inhibitor, is therapeutically effective alone and in combination with methotrexate in leukemia models. Clin. Cancer Res. 2017, 23, 1481–1492. [Google Scholar] [CrossRef] [PubMed]
- Yan, D.; Huelse, J.M.; Kireev, D.; Tan, Z.; Chen, L.; Goyal, S.; Wang, X.; Frye, S.V.; Behera, M.; Schneider, F.; et al. MERTK activation drives osimertinib resistance in EGFR-mutant non–small cell lung cancer. J. Clin. Investig. 2022, 132, e150517. [Google Scholar] [CrossRef]
- Zhang, W.; DeRyckere, D.; Hunter, D.; Liu, J.; Stashko, M.A.; Minson, K.A.; Cummings, C.T.; Lee, M.; Glaros, T.G.; Newton, D.L.; et al. UNC2025, a potent and orally bioavailable MER/FLT3 dual inhibitor. J. Med. Chem. 2014, 57, 7031–7041. [Google Scholar] [CrossRef] [PubMed]
- Branchford, B.R.; Stalker, T.J.; Law, L.; Acevedo, G.; Sather, S.; Brzezinski, C.; Wilson, K.M.; Minson, K.; Lee-Sherick, A.B.; Davizon-Castillo, P.; et al. The small-molecule MERTK inhibitor UNC2025 decreases platelet activation and prevents thrombosis. J. Thromb. Haemost. 2018, 16, 352–363. [Google Scholar] [CrossRef]
- Lee-Sherick, A.B.; Jacobsen, K.M.; Henry, C.J.; Huey, M.G.; Parker, R.E.; Page, L.S.; Hill, A.A.; Wang, X.; Frye, S.V.; Earp, H.S.; et al. MERTK inhibition alters the PD-1 axis and promotes anti-leukemia immunity. JCI Insight 2018, 3, e97941. [Google Scholar] [CrossRef] [PubMed]
- Zhang, W.; Zhang, D.; Stashko, M.A.; DeRyckere, D.; Hunter, D.; Kireev, D.; Miley, M.J.; Cummings, C.; Lee, M.; Norris-Drouin, J.; et al. Pseudo-cyclization through intramolecular hydrogen bond enables discovery of pyridine substituted pyrimidines as new Mer kinase inhibitors. J. Med. Chem. 2013, 56, 9683–9692. [Google Scholar] [CrossRef]
- Shi, C.; Li, X.; Wang, X.; Ding, N.; Ping, L.Y.; Shi, Y.; Mi, L.; Lai, Y.; Song, Y.; Zhu, J. The proto-oncogene Mer tyrosine kinase is a novel therapeutic target in mantle cell lymphoma. J. Hematol. Oncol. 2018, 11, 43. [Google Scholar] [CrossRef] [PubMed]
- Gherardi, E.; Birchmeier, W.; Birchmeier, C.; Woude, G.V. Targeting MET in cancer: Rationale and progress. Nat. Rev. Cancer 2012, 12, 89–103. [Google Scholar] [CrossRef] [PubMed]
- Faiella, A.; Riccardi, F.; Cartenì, G.; Chiurazzi, M.; Onofrio, L. The emerging role of c-Met in carcinogenesis and clinical implications as a possible therapeutic target. J. Oncol. 2022, 2022, 5179182. [Google Scholar] [CrossRef]
- Lee, M.; Jain, P.; Wang, F.; Ma, P.C.; Borczuk, A.; Halmos, B. MET alterations and their impact on the future of non-small cell lung cancer (NSCLC) targeted therapies. Expert Opin. Ther. Targets 2021, 25, 249–268. [Google Scholar] [CrossRef] [PubMed]
- Bouattour, M.; Raymond, E.; Qin, S.; Cheng, A.L.; Stammberger, U.; Locatelli, G.; Faivre, S. Recent developments of c-Met as a therapeutic target in hepatocellular carcinoma. Hepatology 2018, 67, 1132–1149. [Google Scholar] [CrossRef]
- Shi, Y.; Chen, J.; Zhang, H.; Zhang, Z.; Zhang, Y.; Wang, Z.; Zhang, S.; Zhao, J.; Liu, C.; Wang, X.; et al. Efficacy and safety of iruplinalkib (WX-0593) in ALK-positive crizotinib-resistant advanced non-small cell lung cancer patients: A single-arm, multicenter phase II study (INTELLECT). BMC Med. 2023, 21, 72. [Google Scholar] [CrossRef]
- Hoy, S.M. Cabozantinib: A review of its use in patients with medullary thyroid cancer. Drugs 2014, 74, 1435–1444. [Google Scholar] [CrossRef] [PubMed]
- Miao, K.; Zhang, X.; Wang, H.; Si, X.; Zhang, L. Savolitinib versus crizotinib for treating MET positive non-small cell lung cancer. Thorac. Cancer 2023, 14, 1162–1170. [Google Scholar] [CrossRef]
- Dhillon, S. Capmatinib: First approval. Drugs 2020, 80, 1125–1131. [Google Scholar] [CrossRef] [PubMed]
- Huang, D.W.; Huang, L.; Zhang, Q.W.; Li, J.Q. Synthesis and biological evaluation of novel 6, 11-dihydro-5H-benzo [e] pyrimido-[5, 4-b][1, 4] diazepine derivatives as potential c-Met inhibitors. Eur. J. Med. Chem. 2017, 140, 212–228. [Google Scholar] [CrossRef]
- Saitou, N.; Nei, M. The neighbor-joining method: A new method for reconstructing phylogenetic trees. Mol. Biol. Evol. 1987, 4, 406–425. [Google Scholar] [CrossRef]
- Tamura, K.; Nei, M. Estimation of the number of nucleotide substitutions in the control region of mitochondrial DNA in humans and chimpanzees. Mol. Biol. Evol. 1993, 10, 512–526. [Google Scholar] [CrossRef] [PubMed]
- Xi, N.; Wu, Y.J. Preparation of Bicyclic Pyrazolone Compounds for Inhibiting or Modulating the Activity of Receptor Tyrosine Kinases. US20150299219A1, 22 October 2015. [Google Scholar]
- Naresh, G.K.; Guruprasad, L. Enhanced metastable state models of TAM kinase binding to cabozantinib explains the dynamic nature of receptor tyrosine kinases. J. Biomol. Struct. Dyn. 2021, 39, 1213–1235. [Google Scholar] [CrossRef] [PubMed]
- Kang, S.; Yim, H.; Won, J.; Kim, M.; Kim, J.; Kim, H.; Lee, S.; Yoon, Y. Effective Amidation of Carboxylic Acids Using (4, 5-Dichloro-6-oxo-6H-pyridazin-1-yl)-phosphoric Acid Diethyl Ester. Bull. Korean Chem. Soc. 2008, 29, 1025. [Google Scholar] [CrossRef]
- Gao, G.R.; Li, M.Y.; Lv, Y.C.; Cao, S.F.; Tong, L.J.; Wei, L.X.; Ding, J.; Xie, H.; Duan, W.H. Design, synthesis and biological evaluation of biphenylurea derivatives as VEGFR-2 kinase inhibitors (II). Chin. Chem. Lett. 2016, 27, 200–204. [Google Scholar] [CrossRef]
- Park, H.; Jung, H.Y.; Mah, S.; Hong, S. Systematic computational design and identification of low Picomolar inhibitors of Aurora kinase A. J. Chem. Inf. Model. 2018, 58, 700–709. [Google Scholar] [CrossRef] [PubMed]
- Wei, D.; Fan, H.; Zheng, K.; Qin, X.; Yang, L.; Yang, Y.; Duan, Y.; Zhang, Q.; Zeng, C.; Hu, L. Synthesis and anti-tumor activity of [1, 4] dioxino [2, 3-f] quinazoline derivatives as dual inhibitors of c-Met and VEGFR-2. Bioorg. Chem. 2019, 88, 102916. [Google Scholar] [CrossRef]
- Han, B.Y.; Liu, Z.; Hu, X.; Ling, H. HNRNPU promotes the progression of triple-negative breast cancer via RNA transcription and alternative splicing mechanisms. Cell Death Dis. 2022, 13, 940. [Google Scholar] [CrossRef] [PubMed]
- Huang, D.; Yang, J.X.; Zhang, Q.; Wang, G.; Zhang, Z.X.; Zhang, Y.; Li, J.Q. Structure-guided design and development of novel N-phenylpyrimidin-2-amine derivatives as potential c-Met inhibitors. Eur. J. Med. Chem. 2021, 223, 113648. [Google Scholar] [CrossRef] [PubMed]
Disclaimer/Publisher’s Note: The statements, opinions and data contained in all publications are solely those of the individual author(s) and contributor(s) and not of MDPI and/or the editor(s). MDPI and/or the editor(s) disclaim responsibility for any injury to people or property resulting from any ideas, methods, instructions or products referred to in the content. |
© 2024 by the authors. Licensee MDPI, Basel, Switzerland. This article is an open access article distributed under the terms and conditions of the Creative Commons Attribution (CC BY) license (https://creativecommons.org/licenses/by/4.0/).

































