3′-8″- Biflavones: A Review of Their Structural Diversity, Natural Occurrence, Role in Plants, Extraction and Identification
Abstract
1. Introduction
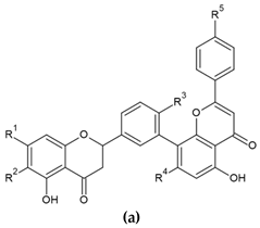
2. Structural Diversity of 3′-8″-Biflavones
3. Distribution in the Plant Kingdom
4. Role in Plants
5. Extraction
| Source | Conventional Method | Novel Methods | Reference | ||||||
|---|---|---|---|---|---|---|---|---|---|
| Biflavonoid | Extraction Conditions | Yield mg/g | Extraction Conditions | Yield mg/g | |||||
| Amentoflavone | T. chinensis leaves | Soxhlet extractor, methanol, textraction = 7 h | 4.08 ± 0.03 | Supercritical CO2 extraction plus co-solvent (78% ethanol), textraction = 2 h, T = 48 °C, p = 25 Mpa, qCO2 = 2 L/min | 4.47 ± 0.06 | [104] | |||
| G. biloba L. | tree bark | Sonification, tsonification = 10 min; 80% methanol, textraction = 45 min, T = 25 °C | 0.06 ± 0.004 | - | - | [178] | |||
| twig bark | 0.08 ± 0.007 | - | - | ||||||
| buds | 0.04 ± 0.002 | - | - | ||||||
| leaf blades | 0.09 ± 0.001 | - | - | ||||||
| petioles | 0.18 ± 0.005 | - | - | ||||||
| seed petioles | 0.03 ± 0.002 | - | - | ||||||
| sarcotesta | 0.02 ± 0.002 | - | - | ||||||
| S. tamariscina (Beauv) Spring | Solvent extraction, sonification, textraction = 2 h, T = 25 °C | 70% ethanol | 14.05 | Supercritical CO2 fluid extraction extractor T = 60 °C, p = 200 bar, static, textraction static = 0.5 h, textraction dynamic = 1 h, 70% ethanol | 20.18 | [200] | |||
| 70% hexane | 0.40 | ||||||||
| 70% n-butanol | 1.72 | Accelerated solvent extraction, 70% ethanol, textraction = 4 min, elution is flushed with 60% volume, the nitrogen purge lasts 60 s, and extraction is performed three times. The extraction T = 80 °C, and p < 1500 psi | 27.77 | ||||||
| 70% ethyl acetate | 1.71 | ||||||||
| Reflux extraction, 70% ethanol, textraction = 1 h, T = 90 °C | 33.00 | ||||||||
| Percolation extraction, textraction = 2 h, T = 40 °C | 14.73 | ||||||||
| S. uncinata | Maceration extraction, DES, textraction = 3 h | 0.05 ± 0.01 | Ultrasonic-assisted deep eutectic solvent extraction, 33% (w/w), textraction = 0.5 h | 0.71 ± 0.01 | [201] | ||||
| Percolation extraction, textraction = 4 h, T = 40 °C | 0.60 ± 0.01 | ||||||||
| G. biloba L. leaves | Sonification, tsonification = 10 min; 70% ethanol, textraction = 45 min, T = 25 °C | 0.064 ± 0.004 | Enzyme-assisted extraction(Viscozyme L), textraction = 4 h, T = 50 °C and 200 rpm | 0.066 ± 0.003 | [202] | ||||
| Enzyme-assisted extraction (Viscozyme L), textraction = 24 h, T = 50 °C and 200 rpm | 0.069 ± 0.002 | ||||||||
| Ultrasound-assisted extraction, 20 kHz, 62% amplitude, textraction = 10 min, T = 0 °C | 0.064 ± 0.000 | ||||||||
| Mechanically assisted extraction, textraction = 20 min, T = 25 °C and 600 rpm | 0.065 ± 0.001 | ||||||||
| Chemically assisted extraction, 0.1% TritonX and 10% NaClO solution, T = 25 °C and 200 rpm. | 0.044 ± 0.001 | ||||||||
| G. biloba L. leaves | Sonification, tsonification = 10 min; 80% methanol, textraction = 45 min, T = 25 °C | 0.081 ± 0.002 | Sonification, tsonification = 10 min; DES, textraction = 45 min, T = 25 °C | Betaine: ethylene glycol 1:2 with 20% H2O (w/w) | 0.061 ± 0.009 | [178] | |||
| Betaine: ethylene glycol 1:2 with 30% H2O (w/w) | 0.053 ± 0.000 | ||||||||
| Bilobetin | G. biloba L. leaves | Ethanol-based Ultrasound Assisted Extraction, 70% ethanol textraction = 25 min, solid–liquid ratio of 1:14 g/mL, and ultrasonic power of 280 W | 2.00 * | Ultrasonic-assisted ionic liquid extraction c[Epy]BF4 = 0.148 mol/L,textraction = 25 min, solid–liquid ratio of 1:14 g/mL, and ultrasonic power of 280 W | 2.44 | [188] | |||
| Infiltration extraction c[Epy]BF4 = 0.148 mol/L, textraction = 48 h | 1.60 * | ||||||||
| Percolation extraction c[Epy]BF4 = 0.148 mol/L, textraction = 30 min, percolate: q = 2 drops/min | 1.40 * | ||||||||
| G. biloba L. | twig bark | Sonification, t sonification = 10 min); 80% methanol, textraction = 45 min, T = 25 °C | 0.03 ± 0.002 | - | - | [178] | |||
| petioles | 0.98 ± 0.006 | - | - | ||||||
| leaf blades | 1.38 ± 0.01 | - | - | ||||||
| seed petioles | 0.25 ± 0.02 | - | - | ||||||
| sarcotesta | 0.14 ± 0.05 | - | - | ||||||
| G. biloba L. leaves | Sonification, t sonification = 10 min; 70% ethanol, textraction = 45 min, T = 25 °C | 0.164 ± 0.014 | Enzyme-assisted extraction (Viscozyme L), textraction = 4 h, T = 50 °C, and 200 rpm | 0.166 ± 0.003 | [202] | ||||
| Enzyme-assisted extraction (Viscozyme L), textraction = 24 h, T = 50 °C, and 200 rpm | 0.172 ± 0.002 | ||||||||
| Ultrasound-assisted extraction, 20 kHz, 62% amplitude, textraction = 10 min, T = 0 °C | 0.167 ± 0.001 | ||||||||
| Mechanically assisted extraction, textraction = 20 min, T = 25 °C, and 600 rpm | 0.177 ± 0.012 | ||||||||
| Chemically assisted extraction, 0.1% TritonX and 10% NaClO solution, T = 25 °C, and 200 rpm. | 0.108 ± 0.023 | ||||||||
| G. biloba L. leaves | Sonification, tsonification = 10 min; 80% methanol, textraction = 45 min, T = 25 °C | 0.471 ± 0.013 | Sonification, tsonification = 10 min; DES, textraction = 45 min, T = 25 °C | Betaine: ethylene glycol 1:2 with 10% H2O (w/w) | 0.107 ± 0.008 | [203] | |||
| Betaine: ethylene glycol 1:2 with 20% H2O (w/w) | 0.171 ± 0.029 | ||||||||
| Betaine: ethylene glycol 1:2 with 30% H2O (w/w) | 0.118 ± 0.013 | ||||||||
| Betaine: sucrose 1:4 with 30% H2O (w/w) | 0.063 ± 0.000 | ||||||||
| Betaine: glycerol 1:2 with 10% H2O (w/w) | 0.092 ± 0.013 | ||||||||
| Choline chloride: ethylene glycol 1:2 with 10% H2O (w/w) | 0.065 ± 0.002 | ||||||||
| Choline chloride: ethylene glycol 1:2 with 20% H2O (w/w) | 0.072 ± 0.000 | ||||||||
| Choline chloride: urea 1:2 with 10% H2O (w/w) | 0.066 ± 0.003 | ||||||||
| Choline chloride: urea: ethylene glycol 1:2:2 with 10% H2O (w/w) | 0.077 ± 0.003 | ||||||||
| Ginkgetin | T. chinensis leaves | Soxhlet extractor; extraction solvent, methanol; textraction = 7 h | 2.17 ± 0.02 | Supercritical CO2 extraction Plus co-solvent (78% ethanol) textraction = 2 h, T = 48 °C, p = 25 Mpa; qCO2 = 2 L/min | 3.39 ± 0.02 | [104] | |||
| G. biloba L. leaves | Ethanol-based ultrasound-assisted extraction, 70% ethanol textraction = 25 min, solid–liquid ratio of 1:14 g/mL, and ultrasonic power of 280 W | 3.90 * | Ultrasonic-assisted ionic liquid extraction c[Epy]BF4 = 0.148 mol/L, textraction = 25 min, solid–liquid ratio of 1:14 g/mL, and ultrasonic power of 280 W | 4.33 | [183] | ||||
| Infiltration extraction c[Epy]BF4 = 0.148 mol/L, textraction = 48 h | 2.60 * | ||||||||
| Percolation extraction c[Epy]BF4 = 0.148 mol/L, textraction = 30 min, percolate: q = 2 drops/min | 2.00 * | ||||||||
| G. biloba L. | twig bark | Sonification, t sonification = 10 min, 80% methanol, textraction = 45 min, T = 25 °C | 0.03 ± 0.002 | - | - | [178] | |||
| buds | 0.01 ± 0.001 | - | - | ||||||
| petioles | 0.63 ± 0.003 | ||||||||
| leaf blades | 1.33 ± 0.005 | - | - | ||||||
| seed petioles | 0.15 ± 0.01 | - | - | ||||||
| sarcotesta | 0.12 ± 0.007 | - | - | ||||||
| G. biloba L. leaves | Sonification, t sonification = 10 min; 70% ethanol, textraction = 45 min, T = 25 °C | 0.607 ± 0.050 | Enzyme-assisted extraction (Viscozyme L), textraction = 4 h, T = 50 °C, and 200 rpm | 0.627 ± 0.010 | [202] | ||||
| Enzyme-assisted extraction (Viscozyme L), textraction = 24 h, T = 50 °C, and 200 rpm | 0.646± 0.007 | ||||||||
| Ultrasound-assisted extraction, 20 kHz, 62% amplitude, textraction = 10 min, T = 0 °C | 0.622 ± 0.003 | ||||||||
| Mechanically assisted extraction, textraction = 20 min, T = 25 °C, and 600 rpm | 0.634 ± 0.009 | ||||||||
| Chemically assisted extraction, 0.1% TritonX and 10% NaClO solution, T = 25 °C, and 200 rpm. | 0.466 ± 0.055 | ||||||||
| G. biloba L. leaves | Sonification, tsonification = 10 min; 80% methanol, textraction = 45 min, T = 25 °C | 0.367 ± 0.004 | Sonification, tsonification = 10 min; DES, textraction = 45 min, T = 25 °C | Betaine: ethylene glycol 1:2 with 10% H2O (w/w) | 0.110 ± 0.010 | [203] | |||
| Betaine: ethylene glycol 1:2 with 20% H2O (w/w) | 0.105 ± 0.016 | ||||||||
| Betaine: ethylene glycol 1:2 with 30% H2O (w/w) | 0.074 ± 0.03 | ||||||||
| Betaine: glycerol 1:2 with 10% H2O (w/w) | 0.073 ± 0.004 | ||||||||
| Isoginkgetin | G. biloba L. leaves | Ethanol-based ultrasound-assisted extraction, 70% ethanol textraction = 25 min, solid–liquid ratio of 1:14 g/mL, and ultrasonic power of 280 W | 5.20 * | Ultrasonic-assisted ionic liquid extraction c[Epy]BF4 = 0.148 mol/L, textraction = 25 min, solid–liquid ratio of 1:14 g/mL, and ultrasonic power of 280 W | 6.50 | [188] | |||
| Infiltration extraction c[Epy]BF4 = 0.148 mol/L, textraction = 48 h | 5.00 * | ||||||||
| Percolation extraction c[Epy]BF4 = 0.148 mol/L, textraction = 30 min, percolate: q = 2 drops/min | 3.50 * | ||||||||
| G. biloba L. | twig bark | Sonification, t sonification = 10 min, 80% methanol, textraction = 45 min, T = 25 °C | 0.03 ± 0.003 | - | - | [178] | |||
| buds | 0.005 ± 0.001 | - | - | ||||||
| petioles | 0.88 ± 0.005 | - | - | ||||||
| leaf blades | 1.90 ± 0.01 | - | - | ||||||
| seed petioles | 0.38 ± 0.03 | - | - | ||||||
| sarcotesta | 0.31 ± 0.02 | - | - | ||||||
| G. biloba L. leaves | Sonification, t sonification = 10 min; 70% ethanol, textraction = 45 min, T = 25 °C | 0.945 ± 0.090 | Enzyme-assisted extraction (Viscozyme L), textraction = 4 h, T = 50 °C, and 200 rpm | 0.974 ± 0.018 | [202] | ||||
| Enzyme-assisted extraction (Viscozyme L), textraction = 24 h, T = 50 °C, and 200 rpm | 1.007 ± 0.013 | ||||||||
| Ultrasound-assisted extraction, 20 kHz, 62% amplitude, textraction = 10 min, T = 0 °C | 0.969 ± 0.004 | ||||||||
| Mechanically assisted extraction, textraction = 20 min, T = 25 °C and 600 rpm | 0.994 ± 0.015 | ||||||||
| Chemically assisted extraction, 0.1% TritonX and 10% NaClO solution, T = 25 °C, and 200 rpm. | 0.631 ± 0.123 | ||||||||
| G. biloba L. leaves | Sonification, tsonification = 10 min; 80% methanol, textraction = 45 min, T = 25 °C | 0.543 ± 0.005 | Sonification, tsonification = 10 min; DES, textraction = 45 min, T = 25 °C | Betaine: ethylene glycol 1:2 with 10% H2O (w/w) | 0.146 ± 0.016 | [203] | |||
| Betaine: ethylene glycol 1:2 with 20% H2O (w/w) | 0.124± 0.006 | ||||||||
| Betaine: ethylene glycol 1:2 with 30% H2O (w/w) | 0.094 ± 0.006 | ||||||||
| Betaine: sucrose 1:4 with 30% H2O (w/w) | 0.063 ± 0.001 | ||||||||
| Betaine: glycerol 1:2 with 10% H2O (w/w) | 0.082 ± 0.009 | ||||||||
| Choline chloride: ethylene glycol 1:2 with 10% H2O (w/w) | 0.062 ± 0.001 | ||||||||
| Choline chloride: ethylene glycol 1:2 with 20% H2O (w/w) | 0.061 ± 0.000 | ||||||||
| Choline chloride: urea 1:2 with 10% H2O (w/w) | 0.061 ± 0.000 | ||||||||
| Choline chloride: urea: ethylene glycol 1:2:2 with 10% H2O (w/w) | 0.062 ± 0.001 | ||||||||
| G. biloba L. leaves | Ethanol-based ultrasound-assisted extraction, 70% ethanol textraction = 25 min, solid–liquid ratio of 1:14 g/mL, and ultrasonic power of 280 W | 10.00 * | Ultrasonic-assisted ionic liquid extraction c[Epy]BF4 = 0.148 mol/L, textraction = 25 min, solid–liquid ratio of 1:14 g/mL, and ultrasonic power of 280 W | 13.97 | [188] | ||||
| Infiltration extraction c[Epy]BF4 = 0.148 mol/L, textraction = 48 h | 9.10 * | ||||||||
| Percolation extraction c[Epy]BF4 = 0.148 mol/L, textraction = 30 min, percolate: q = 2 drops/min | 9.00 * | ||||||||
| G. biloba L. | twig bark | Sonification, tsonification = 10 min, 80% methanol, textraction = 45 min, T = 25 °C | 0.04 ± 0.004 | - | - | [178] | |||
| buns | 0.01 ± 0.003 | - | - | ||||||
| petioles | 0.73 ± 0.003 | - | - | ||||||
| leaf blades | 2.40 ± 0.006 | - | - | ||||||
| seed petioles | 0.29 ± 0.02 | ||||||||
| sarcotesta | 0.22 ± 0.004 | - | - | ||||||
| G. biloba L. leaves | Sonification, tsonification = 10 min; 70% ethanol, textraction = 45 min, T = 25 °C | 1.387 ± 0.105 | Enzyme-assisted extraction (Viscozyme L), textraction = 4 h, T = 50 °C, and 200 rpm | 1.430 ± 0.021 | [203] | ||||
| Enzyme-assisted extraction (Viscozyme L), textraction = 24 h, T = 50 °C, and 200 rpm | 1.461 ± 0.105 | ||||||||
| Ultrasound-assisted extraction, 20 kHz, 62% amplitude, textraction = 10 min, T = 0 °C | 1.419 ± 0.006 | ||||||||
| Mechanically assisted extraction, textraction = 20 min, T = 25 °C, and 600 rpm | 1.450 ± 0.018 | ||||||||
| Chemically assisted extraction, 0.1% TritonX and 10% NaClO solution, T = 25 °C, and 200 rpm. | 1.054 ± 0.099 | ||||||||
| G. biloba L. leaves | Sonification, tsonification = 10 min; 80% methanol, textraction = 45 min, T = 25 °C | 0.344 ± 0.026 | Sonification, tsonification = 10 min; DES, textraction = 45 min, T = 25 °C | Betaine: ethylene glycol 1:2 with 10% H2O (w/w) | 0.154 ± 0.019 | [203] | |||
| Betaine: ethylene glycol 1:2 with 20% H2O (w/w) | 0.077± 0.001 | ||||||||
| Betaine: ethylene glycol 1:2 with 30% H2O (w/w) | 0.071 ± 0.005 | ||||||||
| Betaine: sucrose 1:4 with 30% H2O (w/w) | 0.054 ± 0.002 | ||||||||
| Betaine: glycerol 1:2 with 10% H2O (w/w) | 0.059 ± 0.001 | ||||||||
| Choline chloride: ethylene glycol 1:2 with 10% H2O (w/w) | 0.051 ± 0.002 | ||||||||
| Choline chloride: ethylene glycol 1:2 with 20% H2O (w/w) | 0.050 ± 0.000 | ||||||||
| Choline chloride: urea 1:2 with 10% H2O (w/w) | 0.050 ± 0.000 | ||||||||
| Choline chloride: urea: ethylene glycol 1:2:2 with 10% H2O (w/w) | 0.050 ± 0.001 | ||||||||
| Total biflavonoids | |||||||||
| Amentoflavone, ginkgetin, hinokiflavone and heveaflavone | S. helvetica | Ethanol-based ultrasound-assisted extraction, 95% ethanol, ultrasonic power 250 W,T = 45 °C, textraction = 40 min | 11.00 * | Ultrasonic-assisted ionic liquid extraction c[C6mim]PF6 = 0.78 mol/L, textraction = 40 min, solid–liquid ratio of 1:12.72 g/mL, and ultrasonic power of 250 W, T = 47.27 °C | 18.69 | [190] | |||
| Heat-reflux extraction, 95% ethanol, textraction = 120 min | 6.50 * | ||||||||
| Soxhelt extraction, 95% ethanol, textraction = 120 min | 7.00 * | ||||||||
| Percolation extraction, 95% ethanol, textraction = 24 min | 10.00 * | ||||||||
| Amentoflavone, robustaflavone, and hinokiflavone | S. doederleinii | Soxhlet extraction, 70% ethanol, textraction = 2 h, T = 95 °C | 4.97 ± 0.08 | Microwave-assisted extraction; 70% ethanol, 460 W microwave power, T = 45 °C, textraction = 45 min | 8.91 ± 0.13 | [193] | |||
| Ionic liquid microwave-assisted extraction, c(Hmim) (PF6) = 2 mmol/L, solvent–material ratio = 1:15 g/mL, microwave power 460 W, T = 45 °C, textraction = 40 min | 16.83 ± 1.51 | ||||||||
| Myricitrin, isoquercitrin, quercitrin, amentoflavone and hinokiflavone | P. cacumen | - | - | Deep eutectic solvents (choline chloride:1,4-butanediol-lactic acid 1:3) and ultrasonic extraction, ultrasonic time: 60 min, liquid/solid ratio: 20:1, and water content: 35% | 23.11 ± 0.35 | [204] | |||
6. Identification, Quantification, and Localization within Tissue
7. Conclusions and Further Directions
Author Contributions
Funding
Institutional Review Board Statement
Informed Consent Statement
Data Availability Statement
Conflicts of Interest
References
- Nabavi, S.M.; Šamec, D.; Tomczyk, M.; Milella, L.; Russo, D.; Habtemariam, S.; Suntar, I.; Rastrelli, L.; Daglia, M.; Xiao, J.; et al. Flavonoid Biosynthetic Pathways in Plants: Versatile Targets for Metabolic Engineering. Biotechnol. Adv. 2020, 38, 107316. [Google Scholar] [CrossRef]
- Shen, N.; Wang, T.; Gan, Q.; Liu, S.; Wang, L.; Jin, B. Plant Flavonoids: Classification, Distribution, Biosynthesis, and Antioxidant Activity. Food Chem. 2022, 383, 132531. [Google Scholar] [CrossRef] [PubMed]
- Górniak, I.; Bartoszewski, R.; Króliczewski, J. Comprehensive Review of Antimicrobial Activities of Plant Flavonoids. Phytochem. Rev. 2019, 18, 241–272. [Google Scholar] [CrossRef]
- Ginwala, R.; Bhavsar, R.; Chigbu, D.G.I.; Jain, P.; Khan, Z.K. Potential Role of Flavonoids in Treating Chronic Inflammatory Diseases with a Special Focus on the Anti-Inflammatory Activity of Apigenin. Antioxidants 2019, 8, 35. [Google Scholar] [CrossRef] [PubMed]
- Putteeraj, M.; Lim, W.L.; Teoh, S.L.; Yahaya, M.F. Flavonoids and Its Neuroprotective Effects on Brain Ischemia and Neurodegenerative Diseases. Curr. Drug Targets 2018, 19, 1710–1720. [Google Scholar] [CrossRef]
- Kikuchi, H.; Yuan, B.; Hu, X.; Okazaki, M. Chemopreventive and Anticancer Activity of Flavonoids and Its Possibility for Clinical Use by Combining with Conventional Chemotherapeutic Agents. Am. J. Cancer Res. 2019, 9, 1517–1535. [Google Scholar]
- González-Paramás, A.M.; Ayuda-Durán, B.; Martínez, S.; González-Manzano, S.; Santos-Buelga, C. The Mechanisms Behind the Biological Activity of Flavonoids. Curr. Med. Chem. 2019, 26, 6976–6990. [Google Scholar] [CrossRef] [PubMed]
- Šamec, D.; Karalija, E.; Šola, I.; Vujčić Bok, V.; Salopek-Sondi, B. The Role of Polyphenols in Abiotic Stress Response: The Influence of Molecular Structure. Plants 2021, 10, 118. [Google Scholar] [CrossRef] [PubMed]
- Panche, A.N.; Diwan, A.D.; Chandra, S.R. Flavonoids: An Overview. J. Nutr. Sci. 2016, 5, e47. [Google Scholar] [CrossRef]
- Gontijo, V.S.; dos Santos, M.H.; Viegas, C., Jr. Biological and Chemical Aspects of Natural Biflavonoids from Plants: A Brief Review. Mini-Rev. Med. Chem. 2017, 17, 834–862. [Google Scholar] [CrossRef]
- He, X.; Yang, F.; Huang, X. Proceedings of Chemistry, Pharmacology, Pharmacokinetics and Synthesis of Biflavonoids. Molecules 2021, 26, 6088. [Google Scholar] [CrossRef]
- Li, L.; Ma, L.; Hu, Y.; Li, X.; Yu, M.; Shang, H.; Zou, Z. Natural Biflavones Are Potent Inhibitors against SARS-CoV-2 Papain-like Protease. Phytochemistry 2022, 193, 112984. [Google Scholar] [CrossRef]
- Menezes, J.C.J.M.D.S.; Campos, V.R. Natural Biflavonoids as Potential Therapeutic Agents against Microbial Diseases. Sci. Total Environ. 2021, 769, 145168. [Google Scholar] [CrossRef]
- Uddin, M.S.; Kabir, M.T.; Tewari, D.; Mathew, B.; Aleya, L. Emerging Signal Regulating Potential of Small Molecule Biflavonoids to Combat Neuropathological Insults of Alzheimer’s Disease. Sci. Total Environ. 2020, 700, 134836. [Google Scholar] [CrossRef] [PubMed]
- Tatlı Çankaya, İ.İ.; Devkota, H.P.; Zengin, G.; Šamec, D. Neuroprotective Potential of Biflavone Ginkgetin: A Review. Life 2023, 13, 562. [Google Scholar] [CrossRef]
- Thapa, A.; Chi, E.Y. Biflavonoids as Potential Small Molecule Therapeutics for Alzheimer’s Disease. In Natural Compounds as Therapeutic Agents for Amyloidogenic Diseases; Springer: Berlin/Heidelberg, Germany, 2015; pp. 55–77. [Google Scholar]
- Menezes, J.C.J.M.D.S.; Diederich, M.F. Bioactivity of Natural Biflavonoids in Metabolism-Related Disease and Cancer Therapies. Pharmacol. Res. 2021, 167, 105525. [Google Scholar] [CrossRef]
- Ren, M.; Li, S.; Gao, Q.; Qiao, L.; Cao, Q.; Yang, Z.; Chen, C.; Jiang, Y.; Wang, G.; Fu, S. Advances in the Anti-Tumor Activity of Biflavonoids in Selaginella. Int. J. Mol. Sci. 2023, 24, 7731. [Google Scholar] [CrossRef]
- Hostetler, G.L.; Ralston, R.A.; Schwartz, S.J. Flavones: Food Sources, Bioavailability, Metabolism, and Bioactivity. Adv. Nutr. 2017, 8, 423–435. [Google Scholar] [CrossRef]
- Mani, R.; Natesan, V. Chrysin: Sources, Beneficial Pharmacological Activities, and Molecular Mechanism of Action. Phytochemistry 2018, 145, 187–196. [Google Scholar] [CrossRef] [PubMed]
- Nabavi, S.F.; Khan, H.; D’onofrio, G.; Šamec, D.; Shirooie, S.; Dehpour, A.R.; Argüelles, S.; Habtemariam, S.; Sobarzo-Sanchez, E. Apigenin as Neuroprotective Agent: Of Mice and Men. Pharmacol. Res. 2018, 128, 359–365. [Google Scholar] [CrossRef]
- Wang, Z.; Zeng, M.; Wang, Z.; Qin, F.; Chen, J.; He, Z. Dietary Luteolin: A Narrative Review Focusing on Its Pharmacokinetic Properties and Effects on Glycolipid Metabolism. J. Agric. Food Chem. 2021, 69, 1441–1454. [Google Scholar] [CrossRef]
- Fatima, A.; Siddique, Y.H. Role of Flavonoids in Neurodegenerative Disorders with Special Emphasis on Tangeritin. CNS Neurol. Disord. Drug Targets 2019, 18, 581–597. [Google Scholar] [CrossRef] [PubMed]
- Sajid, M.; Channakesavula, C.N.; Stone, S.R.; Kaur, P. Synthetic Biology towards Improved Flavonoid Pharmacokinetics. Biomolecules 2021, 11, 754. [Google Scholar] [CrossRef]
- Walle, T. Methylation of Dietary Flavones Increases Their Metabolic Stability and Chemopreventive Effects. Int. J. Mol. Sci. 2009, 10, 5002–5019. [Google Scholar] [CrossRef]
- Shi, S.; Li, J.; Zhao, X.; Liu, Q.; Song, S.-J. A Comprehensive Review: Biological Activity, Modification and Synthetic Methodologies of Prenylated Flavonoids. Phytochemistry 2021, 191, 112895. [Google Scholar] [CrossRef] [PubMed]
- Šamec, D.; Karalija, E.; Dahija, S.; Hassan, S.T.S. Biflavonoids: Important Contributions to the Health Benefits of Ginkgo (Ginkgo biloba L.). Plants 2022, 11, 1381. [Google Scholar] [CrossRef]
- Xiong, X.; Tang, N.; Lai, X.; Zhang, J.; Wen, W.; Li, X.; Li, A.; Wu, Y.; Liu, Z. Insights Into Amentoflavone: A Natural Multifunctional Biflavonoid. Front. Pharmacol. 2021, 12, e768708. [Google Scholar] [CrossRef]
- Abdullah, I.; Phongpaichit, S.; Voravuthikunchai, S.P.; Mahabusarakam, W. Prenylated Biflavonoids from the Green Branches of Garcinia Dulcis. Phytochem. Lett. 2018, 23, 176–179. [Google Scholar] [CrossRef]
- Markham, K.R. The Structures of Amentoflavone Glycosides Isolated from Psilotum Nudum. Phytochemistry 1984, 23, 2053–2056. [Google Scholar] [CrossRef]
- Šamec, D.; Pierz, V.; Srividya, N.; Wüst, M.; Lange, B.M. Assessing Chemical Diversity in Psilotum Nudum (L.) Beauv., a Pantropical Whisk Fern That Has Lost Many of Its Fern-Like Characters. Front. Plant Sci. 2019, 10, 868. [Google Scholar] [CrossRef]
- Liu, L.; Wang, Y.; Zhang, J.; Wang, S. Advances in the Chemical Constituents and Chemical Analysis of Ginkgo Biloba Leaf, Extract, and Phytopharmaceuticals. J. Pharm. Biomed. Anal. 2021, 193, 113704. [Google Scholar] [CrossRef]
- Sugasawa, S. History of Japanese Natural Product Research. Pure Appl. Chem. 1964, 9, 1–20. [Google Scholar] [CrossRef]
- Garg, H.S.; Mitra, C.R. Putraflavone, a New Biflavonoid from Putranjiva Roxburghii. Phytochemistry 1971, 10, 2787–2791. [Google Scholar] [CrossRef]
- Miura, H.; Kawano, N. Sequoiaflavone in the Leaves of Sequoia Sempervirens and Cunninghamia Lanceolata Var. Konishii and Its Formation by Partial Demethylation. J. Pharm. Soc. Jpn. 1968, 88, 1489–1491. [Google Scholar] [CrossRef]
- Miura, H.; Kihara, T.; Kawano, N. Studies on Bisflavones in the Leaves of Podocarpus Macrophylla and P. Nagi. Chem. Pharm. Bull. 1969, 17, 150–154. [Google Scholar] [CrossRef][Green Version]
- Madhav, R. Heveaflavone—A New Biflavonoid from Hevea Braseliensis. Tetrahedron Lett. 1969, 10, 2017–2019. [Google Scholar] [CrossRef]
- Kariyone, T.; Nobuske, K. Studies on the Structure of Sciadopitysin, a Flavonoid from the Leaves of Sciadopitys Verticillata Sieb. et Zucc. VII. Chem. Pharm. Bull. 1956, 76, 453–456. [Google Scholar] [CrossRef][Green Version]
- Zhong-wu, M.; Guan-fu, H.; Wan-fen, Y. Oliveriflavone, a New Biflavonoid from Cephalotaxus Oliveri Mast. Acta Bot. Sin. 1986, 28, 641–645. [Google Scholar]
- Sasaki, K.; Wada, K.; Haga, M. Chemistry and Biological Activities of Ginkgo Biloba. In Studies in Natural Products Chemistry; Elsevier: Amsterdam, The Netherlands, 2003; pp. 165–198. [Google Scholar]
- Geiger, H.; Quinn, C. Biflavonoids. In The Flavonoids; Springer: Boston, MA, USA, 1975; pp. 692–742. [Google Scholar]
- Kunert, O.; Swamy, R.C.; Kaiser, M.; Presser, A.; Buzzi, S.; Appa Rao, A.V.N.; Schühly, W. Antiplasmodial and Leishmanicidal Activity of Biflavonoids from Indian Selaginella Bryopteris. Phytochem. Lett. 2008, 1, 171–174. [Google Scholar] [CrossRef]
- Lin, L.-C.; Kuo, Y.-C.; Chou, C.-J. Cytotoxic Biflavonoids from Selaginella delicatula. J. Nat. Prod. 2000, 63, 627–630. [Google Scholar] [CrossRef]
- López-Sáez, J.A.; Pérez-Alonso, M.J.; Negueruela, A.V. The Biflavonoid Pattern of Selaginella Selaginoides. Z. Naturforsch. C 1994, 49, 265–266. [Google Scholar] [CrossRef]
- Wang, J.; Li, J.; Zhao, P.; Ma, W.; Feng, X.; Chen, K. Antitumor Activities of Ethyl Acetate Extracts from Selaginella Doederleinii Hieron In Vitro and In Vivo and Its Possible Mechanism. Evid. -Based Complement. Altern. Med. 2015, 2015, 1–9. [Google Scholar] [CrossRef]
- Liu, L.-F.; Sun, H.-H.; Tan, J.-B.; Huang, Q.; Cheng, F.; Xu, K.-P.; Zou, Z.-X.; Tan, G.-S. New Cytotoxic Biflavones from Selaginella doederleinii. Nat. Prod. Res. 2021, 35, 930–936. [Google Scholar] [CrossRef] [PubMed]
- Zhang, Y.; Yang, L.; Wang, L. Identification of Biflavones in Ethyl Acetate Fraction from Ethanol Extract of Selaginella doederleinii Hieron. Adv. Mat. Res. 2012, 550–553, 1862–1865. [Google Scholar] [CrossRef]
- Lin, R.; Skaltsounis, A.-L.; Seguin, E.; Tillequin, F.; Koch, M. Phenolic Constituents of Selaginella doederleinii. Planta Med. 1994, 60, 168–170. [Google Scholar] [CrossRef] [PubMed]
- Tan, W.-J.; Xu, J.-C.; Li, L.; Chen, K.-L. Bioactive Compounds of Inhibiting Xanthine Oxidase from Selaginella labordei. Nat. Prod. Res. 2009, 23, 393–398. [Google Scholar] [CrossRef] [PubMed]
- Cao, Y.; Tan, N.-H.; Chen, J.-J.; Zeng, G.-Z.; Ma, Y.-B.; Wu, Y.-P.; Yan, H.; Yang, J.; Lu, L.-F.; Wang, Q. Bioactive Flavones and Biflavones from Selaginella Moellendorffii Hieron. Fitoterapia 2010, 81, 253–258. [Google Scholar] [CrossRef]
- Sun, C.-M.; Syu, W.-J.; Huang, Y.-T.; Chen, C.-C.; Ou, J.-C. Selective Cytotoxicity of Ginkgetin from Selaginella moellendorffii. J. Nat. Prod. 1997, 60, 382–384. [Google Scholar] [CrossRef]
- Aguilar, M.I.; Benítez, W.V.; Colín, A.; Bye, R.; Ríos-Gómez, R.; Calzada, F. Evaluation of the Diuretic Activity in Two Mexican Medicinal Species: Selaginella Nothohybrida and Selaginella Lepidophylla and Its Effects with Ciclooxigenases Inhibitors. J. Ethnopharmacol. 2015, 163, 167–172. [Google Scholar] [CrossRef]
- Chakravarthy, B.; Rao, Y.; Gambhir, S.; Gode, K. Isolation of Amentoflavone from Selaginella Rupestris and Its Pharmacological Activity on Central Nervous System, Smooth Muscles and Isolated Frog Heart Preparations. Planta Med. 1981, 43, 64–70. [Google Scholar] [CrossRef]
- Zhang, Y.; Shi, S.; Wang, Y.; Huang, K. Target-Guided Isolation and Purification of Antioxidants from Selaginella Sinensis by Offline Coupling of DPPH-HPLC and HSCCC Experiments. J. Chromatogr. B 2011, 879, 191–196. [Google Scholar] [CrossRef] [PubMed]
- Shuang-Cheng, M.; Paul Pui-Hay, B.; Vincent Eng-Choon, O.; Yue-Hua, H.; Spencer Hon-Sun, L.; Song-Fong, L.; Rui-Chao, L. Antiviral Amentoflavone from Selaginella Sinensis. Biol. Pharm. Bull. 2001, 24, 311–312. [Google Scholar] [CrossRef]
- Feng, W.S.; Zhu, B.; Zheng, X.K.; Zhang, Y.L.; Yang, L.G.; Li, Y.L. Chemical Constituents of Selaginella Stautoniana. Chin. J. Nat. Med. 2011, 9, 108–111. [Google Scholar]
- Cheng, X.-L.; Ma, S.-C.; Yu, J.-D.; Yang, S.-Y.; Xiao, X.-Y.; Hu, J.-Y.; Lu, Y.; Shaw, P.-C.; But, P.P.-H.; Lin, R.-C. Selaginellin A and B, Two Novel Natural Pigments Isolated from Selaginella Tamariscina. Chem. Pharm. Bull. 2008, 56, 982–984. [Google Scholar] [CrossRef] [PubMed]
- Lee, C.-W.; Choi, H.-J.; Kim, H.-S.; Kim, D.-H.; Chang, I.-S.; Moon, H.T.; Lee, S.-Y.; Oh, W.K.; Woo, E.-R. Biflavonoids Isolated from Selaginella Tamariscina Regulate the Expression of Matrix Metalloproteinase in Human Skin Fibroblasts. Bioorg Med. Chem. 2008, 16, 732–738. [Google Scholar] [CrossRef]
- Yuan, Y.; Wang, B.; Chen, L.; Luo, H.; Fischer, D.; Sutherland, I.A.; Wei, Y. How to Realize the Linear Scale-up Process for Rapid Purification Using High-Performance Counter-Current Chromatography. J. Chromatogr. A 2008, 1194, 192–198. [Google Scholar] [CrossRef]
- Kim, J.H.; Tai, B.H.; Yang, S.Y.; Kim, J.E.; Kim, S.K.; Kim, Y.H. Soluble Epoxide Hydrolase Inhibitory Constituents from Selaginella Tamariscina. Bull. Korean Chem. Soc. 2015, 36, 300–304. [Google Scholar] [CrossRef]
- Zheng, J.-X.; Zheng, Y.; Zhi, H.; Dai, Y.; Wang, N.-L.; Fang, Y.-X.; Du, Z.-Y.; Zhang, K.; Li, M.-M.; Wu, L.-Y.; et al. New 3′,8″-Linked Biflavonoids from Selaginella Uncinata Displaying Protective Effect against Anoxia. Molecules 2011, 16, 6206–6214. [Google Scholar] [CrossRef]
- Silva, G.L.; Chai, H.; Gupta, M.P.; Farnsworth, N.R.; Cordell, G.A.; Pezzuto, J.M.; Beecher, C.W.W.; Douglas Kinghorn, A. Cytotoxic Biflavonoids from Selaginella Willdenowii. Phytochemistry 1995, 40, 129–134. [Google Scholar] [CrossRef]
- Li, S.H.; Zhang, H.J.; Niu, X.M.; Yao, P.; Sun, H.D.; Fong, H.H.S. Chemical Constituents from Amentotaxus Yunnanensis and Torreya Yunnanensis. J. Nat. Prod. 2003, 66, 1002–1005. [Google Scholar] [CrossRef]
- Yamaguchi, L.F.; Kato, M.J.; Di Mascio, P. Biflavonoids from Araucaria Angustifolia Protect against DNA UV-Induced Damage. Phytochemistry 2009, 70, 615–620. [Google Scholar] [CrossRef] [PubMed]
- Freitas, A.M.; Almeida, M.T.R.; Andrighetti-Fröhner, C.R.; Cardozo, F.T.G.S.; Barardi, C.R.M.; Farias, M.R.; Simões, C.M.O. Antiviral Activity-Guided Fractionation from Araucaria Angustifolia Leaves Extract. J. Ethnopharmacol. 2009, 126, 512–517. [Google Scholar] [CrossRef] [PubMed]
- Coulerie, P.; Nour, M.; Maciuk, A.; Eydoux, C.; Guillemot, J.-C.; Lebouvier, N.; Hnawia, E.; Leblanc, K.; Lewin, G.; Canard, B.; et al. Structure-Activity Relationship Study of Biflavonoids on the Dengue Virus Polymerase DENV-NS5 RdRp. Planta Med. 2013, 79, 1313–1318. [Google Scholar] [CrossRef] [PubMed]
- Xu, Y.; Fang, S. The Chemical Constituents in Dacrydium Pierrei. Acta Bot. Sin. 1991, 33, 646–648. [Google Scholar]
- Chaabi, M.; Antheaume, C.; Weniger, B.; Justiniano, H.; Lugnier, C.; Lobstein, A. Biflavones of Decussocarpus Rospigliosii as Phosphodiesterases Inhibitors. Planta Med. 2007, 73, 1284–1286. [Google Scholar] [CrossRef] [PubMed]
- Negm, W.A.; Abo El-Seoud, K.A.; Kabbash, A.; Kassab, A.A.; El-Aasr, M. Hepatoprotective, Cytotoxic, Antimicrobial and Antioxidant Activities of Dioon Spinulosum Leaves Dyer Ex Eichler and Its Isolated Secondary Metabolites. Nat. Prod. Res. 2020, 1–11. [Google Scholar] [CrossRef] [PubMed]
- Chien, S.-C.; Liu, H.-K.; Kuo, Y.-H. Two New Compounds from the Leaves of Calocedrus Microlepic Var. Formosana. Chem. Pharm. Bull. 2004, 52, 762–763. [Google Scholar] [CrossRef]
- Hayashi, K.; Hayashi, T.; Morita, N. Mechanism of Action of the Antiherpesvirus Biflavone Ginkgetin. Antimicrob. Agents Chemother. 1992, 36, 1890–1893. [Google Scholar] [CrossRef]
- Ye, Z.-N.; Yu, M.-Y.; Kong, L.-M.; Wang, W.-H.; Yang, Y.-F.; Liu, J.-Q.; Qiu, M.-H.; Li, Y. Biflavone Ginkgetin, a Novel Wnt Inhibitor, Suppresses the Growth of Medulloblastoma. Nat. Prod. Bioprospect 2015, 5, 91–97. [Google Scholar] [CrossRef] [PubMed]
- Mendiratta (Nee Chugh), A.; Dayal, R.; Bartley, J.P.; Smith, G. A Phenylpropanoid and Biflavonoids from the Needles of Cephalotaxus Harringtonia Var. Harringtonia. Nat. Prod. Commun. 2017, 12, 1934578X1701201. [Google Scholar] [CrossRef]
- Sasaki, H.; Miki, K.; Kinoshita, K.; Koyama, K.; Juliawaty, L.D.; Achmad, S.A.; Hakim, E.H.; Kaneda, M.; Takahashi, K. β-Secretase (BACE-1) Inhibitory Effect of Biflavonoids. Bioorg Med. Chem. Lett. 2010, 20, 4558–4560. [Google Scholar] [CrossRef] [PubMed]
- Lee, M.K.; Lim, S.W.; Yang, H.; Sung, S.H.; Lee, H.S.; Park, M.J.; Kim, Y.C. Osteoblast Differentiation Stimulating Activity of Biflavonoids from Cephalotaxus Koreana. Bioorg Med. Chem. Lett. 2006, 16, 2850–2854. [Google Scholar] [CrossRef] [PubMed]
- Xiao, S.; Mu, Z.-Q.; Cheng, C.-R.; Ding, J. Three New Biflavonoids from the Branches and Leaves of Cephalotaxus Oliveri and Their Antioxidant Activity. Nat. Prod. Res. 2018, 33, 321–327. [Google Scholar] [CrossRef] [PubMed]
- Li, W.; Deng, Y.; Dai, R.; Yu, Y.; Saeed, M.K.; Li, L.; Meng, W.; Zhang, X. Chromatographic Fingerprint Analysis of Cephalotaxus Sinensis from Various Sources by High-Performance Liquid Chromatography–Diodearray Detection–Electrospray Ionization-Tandem Mass Spectrometry. J. Pharm. Biomed. Anal. 2007, 45, 38–46. [Google Scholar] [CrossRef]
- Kuo, Y.-H.; Lin, C.-H.; Hwang, S.-Y.; Shen, Y.-C.; Lee, Y.-L.; Li, S.-Y. A Novel Cytotoxic C-Methylated Biflavone from the Stem of Cephalotaxus Wilsoniana. Chem. Pharm. Bull. 2000, 48, 440–441. [Google Scholar] [CrossRef] [PubMed]
- Krauze-Baranowska, M.; Cisowski, W.; Wiwart, M.; Madziar, B. Antifungal Biflavones from Cupressocyparis leylandii. Planta Med. 1999, 65, 572–573. [Google Scholar] [CrossRef] [PubMed]
- Romani, A.; Galardi, C.; Pinelli, P.; Mulinacci, N.; Heimler, D. HPLC Quantification of Flavonoids and Biflavonoids in Cupressaceae Leaves. Chromatographia 2002, 56, 469–474. [Google Scholar] [CrossRef]
- Wollenweber, E.; Kraut, L.; Mues, R. External Accumulation of Biflavonoids on Gymnosperm Leaves. Z. Naturforsch. C 1998, 53, 946–950. [Google Scholar] [CrossRef]
- Das, B.; Mahender, G.; Koteswara Rao, Y.; Prabhakar, A.; Jagadeesh, B. Biflavonoids from Cycas Beddomei. Chem. Pharm. Bull. 2005, 53, 135–136. [Google Scholar] [CrossRef]
- Moawad, A.; Hetta, M.; Zjawiony, J.K.; Jacob, M.R.; Hifnawy, M.; Marais, J.P.J.; Ferreira, D. Phytochemical Investigation of Cycas Circinalis and Cycas Revoluta Leaflets: Moderately Active Antibacterial Biflavonoids. Planta Med. 2010, 76, 796–802. [Google Scholar] [CrossRef]
- Attallah, N.G.M.; Al-Fakhrany, O.M.; Elekhnawy, E.; Hussein, I.A.; Shaldam, M.A.; Altwaijry, N.; Alqahtani, M.J.; Negm, W.A. Anti-Biofilm and Antibacterial Activities of Cycas Media, R. Br Secondary Metabolites: In Silico, In Vitro, and In Vivo Approaches. Antibiotics 2022, 11, 993. [Google Scholar] [CrossRef] [PubMed]
- Laishram, S.; Sheikh, Y.; Moirangthem, D.S.; Deb, L.; Pal, B.C.; Talukdar, N.C.; Borah, J.C. Anti-Diabetic Molecules from Cycas Pectinata Griff. Traditionally Used by the Maiba-Maibi. Phytomedicine 2015, 22, 23–26. [Google Scholar] [CrossRef]
- Krauze-Baranowska, M.; Pobłocka, L.; El Helab, A.A. Biflavones from Chamaecyparis Obtusa. Z. Naturforsch. C 2005, 60, 679–685. [Google Scholar] [CrossRef] [PubMed]
- Nakanishi, T.; Inatomi, Y.; Murata, H.; Iida, N.; Inada, A.; Lang, F.A.; Murata, J. Phytochemical Study on American Plants, I. Two New Phenol Glucosides, Together with Known Biflavones and Diterpene, from Leaves of Juniperus Occidentalis HOOK. Chem. Pharm. Bull. 2002, 50, 1358–1361. [Google Scholar] [CrossRef] [PubMed]
- Jeong, E.J.; Seo, H.; Yang, H.; Kim, J.; Sung, S.H.; Kim, Y.C. Anti-Inflammatory Phenolics Isolated from Juniperus Rigida Leaves and Twigs in Lipopolysaccharide-Stimulated RAW264.7 Macrophage Cells. J. Enzyme Inhib. Med. Chem. 2012, 27, 875–879. [Google Scholar] [CrossRef] [PubMed]
- Krauze-Baranowska, M.; Mardarowicz, M.; Wiwart, M. The Chemical Composition of Microbiota Decussata. Z. Naturforsch. C 2002, 57, 998–1003. [Google Scholar] [CrossRef]
- Juvik, O.J.; Nguyen, X.H.T.; Andersen, H.L.; Fossen, T. Growing with Dinosaurs: Natural Products from the Cretaceous Relict Metasequoia Glyptostroboides Hu & Cheng—A Molecular Reservoir from the Ancient World with Potential in Modern Medicine. Phytochem. Rev. 2016, 15, 161–195. [Google Scholar] [CrossRef] [PubMed]
- Pinto, M.E.F.; da Silva, M.S.; Schindler, E.; Barbosa Filho, J.M.; El-Bachá, R. dos S.; Castello-Branco, M.V.S.; Agra, M. de F.; Tavares, J.F. 3′,8”-Biisokaempferide, a Cytotoxic Biflavonoid and Other Chemical Constituents of Nanuza Plicata (Velloziaceae). J. Braz. Chem. Soc. 2010, 21, 1819–1824. [Google Scholar] [CrossRef]
- Ndongo, J.T.; Issa, M.E.; Messi, A.N.; Ngo Mbing, J.; Cuendet, M.; Pegnyemb, D.E.; Bochet, C.G. Cytotoxic Flavonoids and Other Constituents from the Stem Bark of Ochna schweinfurthiana. Nat. Prod. Res. 2015, 29, 1684–1687. [Google Scholar] [CrossRef]
- Velandia, J.R.; de Carvalho, M.G.; Braz-Filho, R.; Werle, A.A. Biflavonoids and a Glucopyranoside Derivative from Ouratea semiserrata. Phytochemical Analysis 2002, 13, 283–292. [Google Scholar] [CrossRef]
- Krauze-Baranowska, M.; Baczek, T.; Glod, D.; Kaliszan, R.; Wollenweber, E. HPLC Separation of O-Acylated Flavonoids and Biflavones from Some Species of Gymnospermae. Chromatographia 2004, 60, 9–15. [Google Scholar] [CrossRef]
- Bagla, V.P.; McGaw, L.J.; Elgorashi, E.E.; Eloff, J.N. Antimicrobial Activity, Toxicity and Selectivity Index of Two Biflavonoids and a Flavone Isolated from Podocarpus Henkelii (Podocarpaceae) Leaves. BMC Complement. Altern. Med. 2014, 14, 383. [Google Scholar] [CrossRef]
- Faiella, L.; Temraz, A.; De Tommasi, N.; Braca, A. Diterpenes, Ionol-Derived, and Flavone Glycosides from Podocarpus Elongatus. Phytochemistry 2012, 76, 172–177. [Google Scholar] [CrossRef]
- Qiao, Y.; Sun, W.W.; Wang, J.F.; Zhang, J.D. Flavonoids from Podocarpus Macrophyllus and Their Cardioprotective Activities. J. Asian Nat. Prod. Res. 2014, 16, 222–229. [Google Scholar] [CrossRef]
- Xu, Y.; Fang, S. The Chemical Constituents from Podocarpus Nagi (II). J. Integr. Plant Biol. 1991, 33, 406–408. [Google Scholar]
- Yeh, P.H.; Shieh, Y.D.; Hsu, L.C.; Kuo, L.M.; Lin, J.H.; Liaw, C.C.; Kuo, Y.H. Naturally Occurring Cytotoxic [3′→8″]-Biflavonoids from Podocarpus Nakaii. J. Tradit. Complement. Med. 2012, 2, 220–226. [Google Scholar] [CrossRef][Green Version]
- Haider, S.; Rizvi, M.; Rahman, W.; Okigawa, M.; Kawano, N. Biflavones from Podocarpus Neriifolius. Phytochemistry 1974, 13, 1990. [Google Scholar] [CrossRef]
- Gu, Y.; Xu, Y.; Fang, S. The Chemical Constituents from Podocarpus Imbricatus. Acta Bot. Sin. 1990, 32, 631–636. [Google Scholar]
- Wu, J.; Yang, J.; Chen, Y.G. Terpenoids and Flavonoids From Podocarpus Wallichiana. Chem. Nat. Compd. 2017, 53, 1163–1164. [Google Scholar] [CrossRef]
- Krauze-Baranowska, M.; Wiwart, M. Antifungal Activity of Biflavones from Taxus Baccata and Ginkgo Biloba. Z. Naturforsch. C 2003, 58, 65–69. [Google Scholar] [CrossRef]
- Ruan, X.; Yan, L.Y.; Li, X.X.; Liu, B.; Zhang, H.; Wang, Q. Optimization of Process Parameters of Extraction of Amentoflavone, Quercetin and Ginkgetin from Taxus Chinensis Using Supercritical CO2 plus Co-Solvent. Molecules 2014, 19, 17682–17696. [Google Scholar] [CrossRef] [PubMed]
- Choi, M.-S.; Kwak, S.-S.; Liu, J.; Park, Y.-G.; Lee, M.-K.; An, N.-H. Taxol and Related Compounds in Korean Native Yews (Taxus cuspidata). Planta Med. 1995, 61, 264–266. [Google Scholar] [CrossRef] [PubMed]
- Hao, J.; Guo, H.; Shi, X.; Wang, Y.; Wan, Q.; Song, Y.-B.; Zhang, L.; Dong, M.; Shen, C. Comparative Proteomic Analyses of Two Taxus Species (Taxus x Media and Taxus Mairei) Reveals Variations in the Metabolisms Associated with Paclitaxel and Other Metabolites. Plant Cell Physiol. 2017, 58, 1878–1890. [Google Scholar] [CrossRef] [PubMed]
- Yang, L.; Zheng, Z.-S.; Cheng, F.; Ruan, X.; Jiang, D.-A.; Pan, C.-D.; Wang, Q. Seasonal Dynamics of Metabolites in Needles of Taxus Wallichiana Var. Mairei. Molecules 2016, 21, 1403. [Google Scholar] [CrossRef]
- Xu, G.H.; Ryoo, I.J.; Kim, Y.H.; Choo, S.J.; Yoo, I.D. Free Radical Scavenging and Antielastase Activities of Flavon Ids from the Fruits of Thuja Orientalis. Arch. Pharm. Res. 2009, 32, 275–282. [Google Scholar] [CrossRef] [PubMed]
- Ryu, Y.B.; Jeong, H.J.; Kim, J.H.; Kim, Y.M.; Park, J.-Y.; Kim, D.; Naguyen, T.T.H.; Park, S.-J.; Chang, J.S.; Park, K.H. Biflavonoids from Torreya Nucifera Displaying SARS-CoV 3CLpro Inhibition. Bioorg Med. Chem. 2010, 18, 7940–7947. [Google Scholar] [CrossRef] [PubMed]
- Amaro-Luis, J.M.; Amesty, Á.; Bahsas, A.; Montealegre, R. Biflavones from the Leaves of Retrophyllum Rospigliosii. Biochem. Syst. Ecol. 2008, 36, 235–237. [Google Scholar] [CrossRef]
- Gleńsk, M.; Włodarczyk, M.; Stefanowicz, P.; Kucharska, A. Biflavonoids from the Wollemi Pine, Wollemia Nobilis (Araucariaceae). Biochem. Syst. Ecol. 2013, 46, 18–21. [Google Scholar] [CrossRef]
- Calvo, T.R.; Lima, Z.P.; Silva, J.S.; Ballesteros, K.V.R.; Pellizzon, C.H.; Hiruma-Lima, C.A.; Tamashiro, J.; Brito, A.R.M.S.; Takahira, R.K.; Vilegas, W. Constituents and Antiulcer Effect of Alchornea Glandulosa: Activation of Cell Proliferation in Gastric Mucosa during the Healing Process. Biol. Pharm. Bull. 2007, 30, 451–459. [Google Scholar] [CrossRef]
- Calvo, T.R.; Demarco, D.; Santos, F.V.; Moraes, H.P.; Bauab, T.M.; Varanda, E.A.; Cólus, I.M.S.; Vilegas, W. Phenolic Compounds in Leaves of Alchornea Triplinervia: Anatomical Localization, Mutagenicity, and Antibacterial Activity. Nat. Prod. Commun. 2010, 5, 1934578X1000500816. [Google Scholar] [CrossRef]
- Azebaze, A.G.B.; Dongmo, A.B.; Meyer, M.; Ouahouo, B.M.W.; Valentin, A.; Nguemfo, E.L.; Nkengfack, A.E.; Vierling, W. Antimalarial and Vasorelaxant Constituents of the Leaves of Allanblackia Monticola (Guttiferae). Ann. Trop. Med. Parasitol. 2007, 101, 23–30. [Google Scholar] [CrossRef] [PubMed]
- Li, L.Z.; Wang, M.H.; Sun, J.B.; Liang, J.Y. Flavonoids and Other Constituents from Aletris Spicata and Their Chemotaxonomic Significance. Nat. Prod. Res. 2014, 28, 1214–1217. [Google Scholar] [CrossRef] [PubMed]
- Wang, W.J.; Lei, J.; Xiao, J.C.; Xi, Z.; Yu, M.; Huang, J. The Separation and Indentification of Biflavonoids from Androsace Umbellata. West. China J. Pharm. Sci. 2011, 26, 420–423. [Google Scholar]
- Trang, D.T.; Huyen, L.T.; Nhiem, N.X.; Quang, T.H.; Hang, D.T.T.; Yen, P.H.; Tai, B.H.; Anh, H.L.T.; Binh, N.Q.; Van Minh, C.; et al. Tirucallane Glycoside from the Leaves of Antidesma Bunius and Inhibitory NO Production in BV2 Cells and RAW264.7 Macrophages. Nat. Prod. Commun. 2016, 11, 1934578X1601100. [Google Scholar] [CrossRef]
- Tchinda, A.; Teshome, A.; Dagne, E.; Arnold, N.; Wessjohann, L.A. Squalene and Amentoflavone from Antidesma Laciniatum. Bull. Chem. Soc. Ethiop. 2006, 20, 2. [Google Scholar] [CrossRef]
- Leong, K.I.; Alviarez, P.F.; Compagnone, R.S.; Suárez, A.I. Isolation and Structural Elucidation of Chemical Constituents of Amanoa Almerindae. Pharm. Biol. 2009, 47, 496–499. [Google Scholar] [CrossRef]
- Bucar1, F.; Jackak1, S.M.; Noreen2, Y.; Kartnig1, T.; Perera2, P.; Bohlin, L.; Schubert-Zsilavecz3, M. Amentoflavone from Biophytum Sensitivum and Its Effect on COX-1 j COX-2 Catalysed Prostaglandin Biosynthesis. Planta Medica 1998, 64, 373–374. [Google Scholar] [CrossRef]
- Sannomiya, M.; Fonseca, V.B.; da Silva, M.A.; Rocha, L.R.M.; dos Santos, L.C.; Hiruma-Lima, C.A.; Souza Brito, A.R.M.; Vilegas, W. Flavonoids and Antiulcerogenic Activity from Byrsonima Crassa Leaves Extracts. J. Ethnopharmacol. 2005, 97, 1–6. [Google Scholar] [CrossRef] [PubMed]
- Sannomiya, M.; Cardoso, C.R.P.; Figueiredo, M.E.; Rodrigues, C.M.; dos Santos, L.C.; dos Santos, F.V.; Serpeloni, J.M.; Cólus, I.M.S.; Vilegas, W.; Varanda, E.A. Mutagenic Evaluation and Chemical Investigation of Byrsonima Intermedia A. Juss. Leaf Extracts. J. Ethnopharmacol. 2007, 112, 319–326. [Google Scholar] [CrossRef] [PubMed]
- Bahia, M.V.; David, J.P.; David, J.M. Occurrence of Biflavones in Leaves of Caesalpinia Pyramidalis Specimens. Quim. Nova 2010, 33, 1297–1300. [Google Scholar] [CrossRef]
- Iman Aminudin, N.; Taher, M.; Zulkifli, R. Cytotoxic and Antibacterial Activities of Constituents from Calophyllum Ferrugineum Ridley. Rec. Nat. Prod. 2016, 5, 649–653. [Google Scholar]
- Ferchichi, L.; Derbré, S.; Mahmood, K.; Touré, K.; Guilet, D.; Litaudon, M.; Awang, K.; Hadi, A.H.A.; Le Ray, A.M.; Richomme, P. Bioguided Fractionation and Isolation of Natural Inhibitors of Advanced Glycation End-Products (AGEs) from Calophyllum Flavoramulum. Phytochemistry 2012, 78, 98–106. [Google Scholar] [CrossRef] [PubMed]
- Aminudin, N.I.; Ahmad, F.; Taher, M.; Zulkifli, R.M. α-Glucosidase and 15-Lipoxygenase Inhibitory Activities of Phytochemicals from Calophyllum symingtonianum. Nat. Prod. Commun. 2015, 10, 1934578X1501000. [Google Scholar] [CrossRef]
- Goh, S.H.; Jantan, I.; Waterman, P.G. Neoflavonoid and Biflavonoid Constituents of Calophyllum Inophylloide. J. Nat. Prod. 1992, 55, 1415–1420. [Google Scholar] [CrossRef]
- Alarcón, A.B.; Cuesta-Rubio, O.; Pérez, J.C.; Piccinelli, A.L.; Rastrelli, L. Constituents of the Cuban Endemic Species Calophyllum pinetorum. J. Nat. Prod. 2008, 71, 1283–1286. [Google Scholar] [CrossRef]
- Oubada, A.; Garca, M.; BelloAlarcon, A.; CuestaRubio, O.; Monzote, L. Antileishmanial Activity of Leaf Extract from Calophyllum Rivulare against Leishmania Amazonensis. Emir. J. Food Agric. 2014, 26, 807. [Google Scholar] [CrossRef]
- Cao, S.-G.; Sim, K.-Y.; Goh, S.-H. Biflavonoids of Calophyllum venulosum. J. Nat. Prod. 1997, 60, 1245–1250. [Google Scholar] [CrossRef]
- Elo-Manga, S.S.; Tih, A.E.; Ghogomu, R.T.; Blond, A.; Bodo, B. Chemical Constituents of the Leaves of Campylospermum elongatum. Z. Naturforsch. C 2017, 72, 71–75. [Google Scholar] [CrossRef]
- Njock, G.B.B.; Bartholomeusz, T.A.; Bikobo, D.N.; Foroozandeh, M.; Shivapurkar, R.; Christen, P.; Pegnyemb, D.E.; Jeannerat, D. Structure and Dynamic of Three Indole Alkaloids from the Campylospermum Genus (Ochnaceae). Helv. Chim. Acta 2013, 96, 1298–1304. [Google Scholar] [CrossRef]
- Elo Manga, S.S.; Tih, A.E.; Ghogomu, R.T.; Blond, A.; Bodo, B. Biflavonoid Constituents of Campylospermum Mannii. Biochem. Syst. Ecol. 2009, 37, 402–404. [Google Scholar] [CrossRef]
- Chen, R.; Liaf, J.; Lu, H.; Yang, Y.; Liu, R. Study on Chemical Constituents of the Leaves of Canarium Album (Lour.) Raeusch. Chem. Ind. For. Prod. 2007, 27, 45–48. [Google Scholar]
- Helene, T.; Serge, F.; Ngadjui, B.T.; Etienne, D.; Abegaz, B.M. Phenolic Metabolites from the Seeds of Canarium schweinfurthii. Bull. Chem. Soc. Ethiop. 2000, 14. [Google Scholar] [CrossRef]
- Bedir, E.; Tatli, I.I.; Khan, R.A.; Zhao, J.; Takamatsu, S.; Walker, L.A.; Goldman, P.; Khan, I.A. Biologically Active Secondary Metabolites from Ginkgo biloba. J. Agric. Food Chem. 2002, 50, 3150–3155. [Google Scholar] [CrossRef]
- Shaari, K.; Waterman, P.G. Podophyllotoxin-Type Lignans as Major Constituents of the Stems and Leaves of Casearia Clarkei. J. Nat. Prod. 1994, 57, 720–724. [Google Scholar] [CrossRef]
- Castañeda, P.; Garcia, M.R.; Hernandez, B.E.; Torres, B.A.; Anaya, A.L.; Mata, R. Effects of Some Compounds Isolated from Celaenodendron Mexicanum Standl (Euphorbiaceae) on Seeds and Phytopathogenic Fungi. J. Chem. Ecol. 1992, 18, 1025–1037. [Google Scholar] [CrossRef]
- del Rayo Camacho, M.; Mata, R.; Castaneda, P.; Kirby, G.C.; Warhurst, D.C.; Croft, S.L.; Phillipson, J.D. Bioactive Compounds from Celaenodendron Mexicanum. Planta Med. 2000, 66, 463–468. [Google Scholar] [CrossRef] [PubMed]
- Abdallah, H.M.; Almowallad, F.M.; Esmat, A.; Shehata, I.A.; Abdel-Sattar, E.A. Anti-Inflammatory Activity of Flavonoids from Chrozophora Tinctoria. Phytochem. Lett. 2015, 13, 74–80. [Google Scholar] [CrossRef]
- Ishola, I.O.; Agbaje, O.E.; Narender, T.; Adeyemi, O.O.; Shukla, R. Bioactivity Guided Isolation of Analgesic and Anti-Inflammatory Constituents of Cnestis Ferruginea Vahl Ex DC (Connaraceae) Root. J. Ethnopharmacol. 2012, 142, 383–389. [Google Scholar] [CrossRef]
- Zhou, Z.; Fu, C. A New Flavanone and Other Constituents from the Rhizomes of Cyperus Rotundus and Their Antioxidant Activities. Chem. Nat. Compd. 2013, 48, 963–965. [Google Scholar] [CrossRef]
- Mbaveng, A.T.; Ngameni, B.; Kuete, V.; Simo, I.K.; Ambassa, P.; Roy, R.; Bezabih, M.; Etoa, F.X.; Ngadjui, B.T.; Abegaz, B.M.; et al. Antimicrobial Activity of the Crude Extracts and Five Flavonoids from the Twigs of Dorstenia Barteri (Moraceae). J. Ethnopharmacol. 2008, 116, 483–489. [Google Scholar] [CrossRef] [PubMed]
- Ng′ang′a, M.M.; Hussain, H.; Chhabra, S.; Langat-Thoruwa, C.; Irungu, B.N.; Al-Harrasi, A.; Riaz, M.; Krohn, K. Antiplasmodial Activity of Compounds from Drypetes Gerrardii. Chem. Nat. Compd. 2012, 48, 339–340. [Google Scholar] [CrossRef]
- Pattamadilok, D.; Suttisri, R. Seco-Terpenoids and Other Constituents from Elateriospermum tapos. J. Nat. Prod. 2008, 71, 292–294. [Google Scholar] [CrossRef]
- Al-Shagdari, A.; Alarcón, A.B.; Cuesta-Rubio, O.; Piccinelli, A.L.; Rastrelli, L. Biflavonoids, Main Constituents from Garcinia Bakeriana Leaves. Nat. Prod. Commun. 2013, 8, 1934578X1300800. [Google Scholar] [CrossRef]
- Saroni Arwa, P.; Zeraik, M.L.; Farias Ximenes, V.; da Fonseca, L.M.; da Silva Bolzani, V.; Siqueira Silva, D.H. Redox-Active Biflavonoids from Garcinia Brasiliensis as Inhibitors of Neutrophil Oxidative Burst and Human Erythrocyte Membrane Damage. J. Ethnopharmacol. 2015, 174, 410–418. [Google Scholar] [CrossRef]
- Abderamane, B.; Tih, A.E.; Ghogomu, R.T.; Blond, A.; Bodo, B. New Flavonoid C-O-C Dimers and Other Chemical Constituents from Garcinia Brevipedicellata Stem Heartwood. Z. Naturforsch. C 2016, 71, 233–241. [Google Scholar] [CrossRef] [PubMed]
- Abe, F.; Nagafuji, S.; Okabe, H.; Akahane, H.; Estrada-Muñiz, E.; Huerta-Reyes, M.; Reyes-Chilpa, R. Trypanocidal Constituents in Plants 3. Leaves of Garcinia Intermedia and Heartwood of Calophyllum Brasiliense. Biol. Pharm. Bull. 2004, 27, 141–143. [Google Scholar] [CrossRef] [PubMed]
- Yang, H.; Figueroa, M.; To, S.; Baggett, S.; Jiang, B.; Basile, M.J.; Weinstein, I.B.; Kennelly, E.J. Benzophenones and Biflavonoids from Garcinia Livingstonei Fruits. J. Agric. Food Chem. 2010, 58, 4749–4755. [Google Scholar] [CrossRef] [PubMed]
- Kaikabo, A.A.; Eloff, J.N. Antibacterial Activity of Two Biflavonoids from Garcinia Livingstonei Leaves against Mycobacterium Smegmatis. J. Ethnopharmacol. 2011, 138, 253–255. [Google Scholar] [CrossRef]
- Carrillo-Hormaza, L.; Ramírez, A.M.; Quintero-Ortiz, C.; Cossio, M.; Medina, S.; Ferreres, F.; Gil-Izquierdo, A.; Osorio, E. Comprehensive Characterization and Antioxidant Activities of the Main Biflavonoids of Garcinia Madruno: A Novel Tropical Species for Developing Functional Products. J. Funct. Foods 2016, 27, 503–516. [Google Scholar] [CrossRef]
- Trisuwan, K.; Rukachaisirikul, V.; Phongpaichit, S.; Hutadilok-Towatana, N. Tetraoxygenated Xanthones and Biflavanoids from the Twigs of Garcinia Merguensis. Phytochem. Lett. 2013, 6, 511–513. [Google Scholar] [CrossRef]
- Lin, Y.-M.; Anderson, H.; Flavin, M.T.; Pai, Y.-H.S.; Mata-Greenwood, E.; Pengsuparp, T.; Pezzuto, J.M.; Schinazi, R.F.; Hughes, S.H.; Chen, F.-C. In Vitro Anti-HIV Activity of Biflavonoids Isolated from Rhus succedanea and Garcinia multiflora. J. Nat. Prod. 1997, 60, 884–888. [Google Scholar] [CrossRef] [PubMed]
- Ito, T.; Yokota, R.; Watarai, T.; Mori, K.; Oyama, M.; Nagasawa, H.; Matsuda, H.; Iinuma, M. Isolation of Six Isoprenylated Biflavonoids from the Leaves of Garcinia subelliptica. Chem. Pharm. Bull. 2013, 61, 551–558. [Google Scholar] [CrossRef] [PubMed]
- Baggett, S.; Protiva, P.; Mazzola, E.P.; Yang, H.; Ressler, E.T.; Basile, M.J.; Weinstein, I.B.; Kennelly, E.J. Bioactive Benzophenones from Garcinia Xanthochymus Fruits. J. Nat. Prod. 2005, 68, 354–360. [Google Scholar] [CrossRef] [PubMed]
- Li, J.; LI, F.; Lu, Y.-Y.; Su, X.-J.; Huang, C.-P.; Lu, X.-W. A New Dilactone from the Seeds of Gaultheria Yunnanensis. Fitoterapia 2010, 81, 35–37. [Google Scholar] [CrossRef] [PubMed]
- Fritz, D.; Venturi, C.R.; Cargnin, S.; Schripsema, J.; Roehe, P.M.; Montanha, J.A.; von Poser, G.L. Herpes Virus Inhibitory Substances from Hypericum Connatum Lam., a Plant Used in Southern Brazil to Treat Oral Lesions. J. Ethnopharmacol. 2007, 113, 517–520. [Google Scholar] [CrossRef] [PubMed]
- Berghöfer, R.; Hölzl, J. Biflavonoids in Hypericum Perforatum 1; Part 1. Isolation of I3, II8-Biapigenin. Planta Med. 1987, 53, 216–217. [Google Scholar] [CrossRef] [PubMed]
- Kuroshima, K.N.; Campos-Buzzi, F.; Yunes, R.A.; Delle Monache, F.; Cechinel Filho, V. Chemical Composition and Antinociceptive Properties of Hyeronima alchorneoides Leaves. Pharm. Biol. 2005, 43, 573–578. [Google Scholar] [CrossRef]
- Dora, G.; Edwards, J.M. Taxonomic Status of Lanaria Lanata and Isolation of a Novel Biflavone. J. Nat. Prod. 1991, 54, 796–801. [Google Scholar] [CrossRef]
- Sun, M.; Feng, X.; Yin, M.; Chen, Y.; Zhao, X.; Dong, Y. A Biflavonoid from Stems and Leaves of Lonicera Macranthoides. Chem. Nat. Compd. 2012, 48, 231–233. [Google Scholar] [CrossRef]
- de Oliveira, M.C.C.; Carvalho, M.G.d.; Silva, C.J.d.; Werle, A.A. New Biflavonoid and Other Constituents from Luxemburgia Nobilis (EICHL). J. Braz. Chem. Soc. 2002, 13, 119–123. [Google Scholar] [CrossRef]
- Gao, F.; Zhao, D.; Deng, J. New Flavonoids from Lysimachia Christinae HANCE. Helv. Chim. Acta 2013, 96, 985–989. [Google Scholar] [CrossRef]
- Pan, J.; Yi, X.; Zhang, S.; Cheng, J.; Wang, Y.; Liu, C.; He, X. Bioactive Phenolics from Mango Leaves (Mangifera indica L.). Ind. Crops Prod. 2018, 111, 400–406. [Google Scholar] [CrossRef]
- de Araújo, M.F.; dos Santos, C.B.; Cavalcanti, J.F.; Pereira, F.S.; Mendes, G.S.; Werle, A.A.; Romanos, M.T.V.; de Carvalho, M.G. Proposed Active Compounds from Ouratea Parviflora. J. Med. Plant. Res. 2011, 5, 2489–2493. [Google Scholar]
- Fidelis, Q.C.; Castro, R.N.; Guilhon, G.M.S.P.; Rodrigues, S.T.; De Salles, C.M.C.; De Salles, J.B.; De Carvalho, M.G. Flavonoids and Other Compounds from Ouratea Ferruginea (Ochnaceae) as Anticancer and Chemopreventive Agents. Molecules 2012, 17, 7989–8000. [Google Scholar] [CrossRef]
- Carbonezi, C.A.; Hamerski, L.; Gunatilaka, A.A.L.; Cavalheiro, A.; Castro-Gamboa, I.; Silva, D.H.S.; Furlan, M.; Young, M.C.M.; Lopes, M.N.; Bolzani, V. da S. Bioactive Flavone Dimers from Ouratea Multiflora (Ochnaceae). Rev. Bras. Farmacogn. 2007, 17, 319–324. [Google Scholar] [CrossRef]
- Pegnyemb, D.E.; Mbing, J.N.; de Théodore Atchadé, A.; Tih, R.G.; Sondengam, B.L.; Blond, A.; Bodo, B. Antimicrobial Biflavonoids from the Aerial Parts of Ouratea Sulcata. Phytochemistry 2005, 66, 1922–1926. [Google Scholar] [CrossRef]
- Shen, H.; Sun, J.; Zhao, P.; Tang, M.; Liu, Y.; Xia, P. Cytotoxic Metabolites from the Roots of Ranunculus Ternatus. Chem. Nat. Compd. 2014, 50, 621–623. [Google Scholar] [CrossRef]
- Svenningsen, A.B.; Madsen, K.D.; Liljefors, T.; Stafford, G.I.; van Staden, J.; Jäger, A.K. Biflavones from Rhus Species with Affinity for the GABAA/Benzodiazepine Receptor. J. Ethnopharmacol. 2006, 103, 276–280. [Google Scholar] [CrossRef]
- Li, Y.; Zhao, Y.; Fan, Y.; Cai, L. Flavonoids from Speranskia tuberculata. J. Chin. Pharm. Sci. 1997, 6, 70–74. [Google Scholar]
- Ayers, S.; Zink, D.L.; Mohn, K.; Powell, J.S.; Brown, C.M.; Murphy, T.; Brand, R.; Pretorius, S.; Stevenson, D.; Thompson, D.; et al. Flavones from Struthiola Argentea with Anthelmintic Activity in Vitro. Phytochemistry 2008, 69, 541–545. [Google Scholar] [CrossRef]
- Rios, M.Y.; González-Morales, A.; Villarreal, M.L. Sterols, Triterpenes and Biflavonoids of Viburnum Jucundum and Cytotoxic Activity of Ursolic Acid. Planta Med. 2001, 67, 683–684. [Google Scholar] [CrossRef]
- Tomassini, L.; Gao, J.; Foddai, S.; Serafini, M.; Ventrone, A.; Nicoletti, M. Iridoid Glucosides from Viburnum chinshanense. Nat. Prod. Res. 2006, 20, 697–700. [Google Scholar] [CrossRef]
- Jang, H.; Lee, J.W.; Jin, Q.; Kim, S.; Lee, D.; Hong, J.T.; Kim, Y.; Lee, M.K.; Hwang, B.Y. Biflavones and Furanone Glucosides from Zabelia tyaihyonii. Helv. Chim. Acta 2015, 98, 1419–1425. [Google Scholar] [CrossRef]
- Ferreyra, M.L.F.; Serra, P.; Casati, P. Recent Advances on the Roles of Flavonoids as Plant Protective Molecules after UV and High Light Exposure. Physiol. Plant 2021, 173, 736–749. [Google Scholar] [CrossRef]
- Kovač Tomas, M.; Jurčević, I.; Šamec, D. Tissue-Specific Profiling of Biflavonoids in Ginkgo (Ginkgo Biloba L.). Plants 2022, 12, 147. [Google Scholar] [CrossRef] [PubMed]
- Beck, S.; Stengel, J. Mass Spectrometric Imaging of Flavonoid Glycosides and Biflavonoids in Ginkgo biloba L. Phytochemistry 2016, 130, 201–206. [Google Scholar] [CrossRef]
- Li, B.; Neumann, E.K.; Ge, J.; Gao, W.; Yang, H.; Li, P.; Sweedler, J.V. Interrogation of Spatial Metabolome of Ginkgo Biloba with High-resolution Matrix-assisted Laser Desorption/Ionization and Laser Desorption/Ionization Mass Spectrometry Imaging. Plant Cell Environ. 2018, 41, 2693–2703. [Google Scholar] [CrossRef]
- Gonçalez, E.; Felicio, J.D.; Pinto, M.M. Biflavonoids Inhibit the Production of Aflatoxin by Aspergillus Flavus. Braz. J. Med. Biol. Res. 2001, 34, 1453–1456. [Google Scholar] [CrossRef]
- Aguilar, M.I.; Romero, M.G.; Chávez, M.I.; King-Díaz, B.; Lotina-Hennsen, B. Biflavonoids Isolated from Selaginella Lepidophylla Inhibit Photosynthesis in Spinach Chloroplasts. J. Agric. Food Chem. 2008, 56, 6994–7000. [Google Scholar] [CrossRef] [PubMed]
- Céspedes, C.L.; Achnine, L.; Lotina-Hennsen, B.; Salazar, J.R.; Gómez-Garibay, F.; Calderón, J.S. Inhibition of Photophosphorylation and Electron Transport by Flavonoids and Biflavonoids from Endemic Tephrosia Spp. of Mexico. Pestic. Biochem. Physiol. 2001, 69, 63–76. [Google Scholar] [CrossRef]
- Lee, J.; Kim, M.; Jeong, S.E.; Park, H.Y.; Jeon, C.O.; Park, W. Amentoflavone, a Novel Cyanobacterial Killing Agent from Selaginella Tamariscina. J. Hazard. Mater. 2020, 384, 121312. [Google Scholar] [CrossRef] [PubMed]
- De Almeida, L.F.R.; Sannomiya, M.; Rodrigues, C.M.; Delachiave, M.E.; Dos Santos, L.C.; Vilegas, W.; De Feo, V. In Vitro Allelopathic Effects of Extracts and Amenthoflavone from Byrsonima Crassa (Malpighiaceae). J. Plant Interact. 2007, 2, 121–124. [Google Scholar] [CrossRef]
- Colla, G.; da Silva, M.A.; Queiroz, G.S.; Pizzolatti, M.G.; Brighente, I.M.C. Antioxidant, Allelopathic and Toxic Activity of Ochna Serrulata. Lat. Am. J. Pharm. 2011, 30, 809–813. [Google Scholar]
- Jurinjak Tušek, A.; Šamec, D.; Šalić, A. Modern Techniques for Flavonoid Extraction—To Optimize or Not to Optimize? Appl. Sci. 2022, 12, 11865. [Google Scholar] [CrossRef]
- Lei, J.; Jiang, Y.; Luo, X.; Zheng, Y.; Zhu, L.; Sun, C.; Linghu, L.; Qin, C.; Gang, W. Ultrasonic-Assisted Ionic Liquid Extraction of Four Biflavonoids from Ginkgo biloba L. ChemistrySelect 2021, 6, 3297–3307. [Google Scholar] [CrossRef]
- Guo, H.; Liu, S.; Li, S.; Feng, Q.; Ma, C.; Zhao, J.; Xiong, Z. Deep Eutectic Solvent Combined with Ultrasound-Assisted Extraction as High Efficient Extractive Media for Extraction and Quality Evaluation of Herba Epimedii. J. Pharm. Biomed. Anal. 2020, 185, 113228. [Google Scholar] [CrossRef] [PubMed]
- Jiang, Y.; Li, D.; Ma, X.; Jiang, F.; He, Q.; Qiu, S.; Li, Y.; Wang, G. Ionic Liquid–Ultrasound-Based Extraction of Biflavonoids from Selaginella Helvetica and Investigation of Their Antioxidant Activity. Molecules 2018, 23, 3284. [Google Scholar] [CrossRef]
- Carrillo-Hormaza, L.; Duque, L.; López-Parra, S.; Osorio, E. High-Intensity Ultrasound-Assisted Extraction of Garcinia Madruno Biflavonoids: Mechanism, Kinetics, and Productivity. Biochem. Eng. J. 2020, 161, 107676. [Google Scholar] [CrossRef]
- Skarpalezos, D.; Detsi, A. Deep Eutectic Solvents as Extraction Media for Valuable Flavonoids from Natural Sources. Applied Sciences 2019, 9, 4169. [Google Scholar] [CrossRef]
- Li, D.; Qian, Y.; Tian, Y.-J.; Yuan, S.-M.; Wei, W.; Wang, G. Optimization of Ionic Liquid-Assisted Extraction of Biflavonoids from Selaginella Doederleinii and Evaluation of Its Antioxidant and Antitumor Activity. Molecules 2017, 22, 586. [Google Scholar] [CrossRef]
- González, E.J.; Díaz, I.; Gonzalez-Miquel, M.; Rodríguez, M.; Sueiras, A. On the Behavior of Imidazolium versus Pyrrolidinium Ionic Liquids as Extractants of Phenolic Compounds from Water: Experimental and Computational Analysis. Sep. Purif. Technol. 2018, 201, 214–222. [Google Scholar] [CrossRef]
- Ling, J.K.U.; Hadinoto, K. Deep Eutectic Solvent as Green Solvent in Extraction of Biological Macromolecules: A Review. Int. J. Mol. Sci. 2022, 23, 3381. [Google Scholar] [CrossRef] [PubMed]
- Liu, C.; Qiao, L.; Gao, Q.; Zhang, F.; Zhang, X.; Lei, J.; Ren, M.; Xiao, S.; Kuang, J.; Deng, S.; et al. Total Biflavonoids Extraction from Selaginella Chaetoloma Utilizing Ultrasound-Assisted Deep Eutectic Solvent: Optimization of Conditions, Extraction Mechanism, and Biological Activity in Vitro. Ultrason. Sonochem 2023, 98, 106491. [Google Scholar] [CrossRef] [PubMed]
- Cho, Y.-L.; Park, J.-G.; Kang, H.J.; Kim, W.; Cho, M.J.; Jang, J.-H.; Kwon, M.-G.; Kim, S.; Lee, S.-H.; Lee, J.; et al. Ginkgetin, a Biflavone from Ginkgo Biloba Leaves, Prevents Adipogenesis through STAT5-Mediated PPARγ and C/EBPα Regulation. Pharmacol. Res. 2019, 139, 325–336. [Google Scholar] [CrossRef] [PubMed]
- Wang, J.; Chen, L.; Qu, L.; Li, K.; Zhao, Y.; Wang, Z.; Li, Y.; Zhang, X.; Jin, Y.; Liang, X. Isolation and Bioactive Evaluation of Flavonoid Glycosides from Lobelia Chinensis Lour Using Two-Dimensional Liquid Chromatography Combined with Label-Free Cell Phenotypic Assays. J. Chromatogr. A 2019, 1601, 224–231. [Google Scholar] [CrossRef] [PubMed]
- Shen, N.; Liu, Y.; Cui, Y.; Xin, H. Large-scale targetedly isolation of biflavonoids with high purity from industrial waste Ginkgo biloba exocarp using two-dimensional chromatography coupled with macroporous adsorption resin enrichment. Ind. Crops Prod. 2022, 175, 114264. [Google Scholar] [CrossRef]
- Bai, H.L.; Wang, J.; Liu, C.M. Chromatography of Separation and Qualitative, Quantitative Analysis Biflavonoids from Crude Extract of Selaginella Tamariscina. Bulg. Chem. Commun. 2017, 49, 658–663. [Google Scholar]
- Qin, G.; Lei, J.; Li, S.; Jiang, Y.; Qiao, L.; Ren, M.; Gao, Q.; Song, C.; Fu, S.; Zhou, J.; et al. Efficient, Green Extraction of Two Biflavonoids from Selaginella Uncinata with Deep Eutectic Solvents. Microchem. J. 2022, 183, 108085. [Google Scholar] [CrossRef]
- Šalić, A.; Šepić, L.; Turkalj, I.; Zelić, B.; Šamec, D. Comparative Analysis of Enzyme-, Ultrasound-, Mechanical-, and Chemical-Assisted Extraction of Biflavonoids from Ginkgo Leaves. Processes 2024, 12, 982. [Google Scholar] [CrossRef]
- Šalić, A.; Bajo, M.; Cvjetko Bubalo, M.; Radović, M.; Jurinjak Tušek, A.; Zelić, B.; Šamec, D. Extraction of Polyphenolic Compounds from Ginkgo Leaves Using Deep Eutectic Solvents: A Potential Solution for the Sustainable and Environmentally Friendly Isolation of Biflavonoids. Ind. Crops Prod. 2024, 219, 119068. [Google Scholar] [CrossRef]
- Wei, J.; Zhao, G.; Wu, G.; Bo, Y.; Yang, D.; Guo, J.; Ma, Y.; An, M. An Ultrasound-Assisted Extraction Using an Alcohol-Based Hydrophilic Natural Deep Eutectic Solvent for the Determination of Five Flavonoids from Platycladi Cacumen. Microchem. J. 2024, 198, 110076. [Google Scholar] [CrossRef]
- Mahrous, E.A.; Farag, M.A. Two Dimensional NMR Spectroscopic Approaches for Exploring Plant Metabolome: A Review. J. Adv. Res. 2015, 6, 3–15. [Google Scholar] [CrossRef] [PubMed]
- Stark, T.D.; Lösch, S.; Salger, M.; Balemba, O.B.; Wakamatsu, J.; Frank, O.; Hofmann, T. A New NMR Approach for Structure Determination of Thermally Unstable Biflavanones and Application to Phytochemicals from Garcinia buchananii. Magn. Reson. Chem. 2015, 53, 813–820. [Google Scholar] [CrossRef] [PubMed]
- Fischedick, J.T.; Johnson, S.R.; Ketchum, R.E.B.; Croteau, R.B.; Lange, B.M. NMR Spectroscopic Search Module for Spektraris, an Online Resource for Plant Natural Product Identification—Taxane Diterpenoids from Taxus×media Cell Suspension Cultures as a Case Study. Phytochemistry 2015, 113, 87–95. [Google Scholar] [CrossRef]
- Moawad, A.; Amir, D. Ginkgetin or Isoginkgetin: The Dimethylamentoflavone of Dioon Edule Lindl. Leaves. European J. Med. Plants 2016, 16, 1–7. [Google Scholar] [CrossRef]
- Kaspar, S.; Peukert, M.; Svatos, A.; Matros, A.; Mock, H. MALDI-imaging Mass Spectrometry—An Emerging Technique in Plant Biology. Proteomics 2011, 11, 1840–1850. [Google Scholar] [CrossRef]
- Hölscher, D.; Shroff, R.; Knop, K.; Gottschaldt, M.; Crecelius, A.; Schneider, B.; Heckel, D.G.; Schubert, U.S.; Svatoš, A. Matrix-free UV-laser desorption/ionization (LDI) mass spectrometric imaging at the single-cell level: Distribution of secondary metabolites of Arabidopsis thaliana and Hypericum species. Plant J. 2009, 60, 907–918. [Google Scholar] [CrossRef]






![]() | ||||||||||||
|---|---|---|---|---|---|---|---|---|---|---|---|---|
| Nr. | Compound | R1 | R2 | R3 | R4 | R5 | R6 | R7 | R8 | R9 | R10 | R11 |
| 1. | amentoflavone | H | OH | H | OH | OH | H | OH | H | OH | H | OH |
| 2. | 5′-hydroxyamentoflavone | H | OH | H | OH | OH | OH | OH | H | OH | H | OH |
| 3. | sumaflavone | H | OH | H | OH | OH | H | OH | OH | OH | H | OH |
| 4. | putraflavone (podocarpusflavone B) | H | OCH3 | H | OH | OH | H | OH | H | OH | H | OCH3 |
| 5. | sequoiaflavone (7-O-methylamentoflavone) | H | OCH3 | H | OH | OH | H | OH | H | OH | H | OH |
| 6. | bilobetin | H | OH | H | OH | OCH3 | H | OH | H | OH | H | OH |
| 7. | ginkgetin | H | OCH3 | H | OH | OCH3 | H | OH | H | OH | H | OH |
| 8. | isoginkgetin | H | OH | H | OH | OCH3 | H | OH | H | OH | H | OCH3 |
| 9. | sciadopitysin | H | OCH3 | H | OH | OCH3 | H | OH | H | OH | H | OCH3 |
| 10. | 4′,7″-di-O-methylamentoflavone | H | OH | H | OH | OCH3 | H | OCH3 | H | OH | H | OH |
| 11. | 7,4′,7″,4‴-O-methylamentoflavone | H | OCH3 | H | OH | OCH3 | H | OCH3 | H | OH | H | OCH3 |
| 12. | podocarpusflavone A | H | OH | H | OH | OH | H | OH | H | OH | H | OCH3 |
| 13. | heveaflavone | H | OCH3 | H | OH | OH | H | OCH3 | H | OH | H | OCH3 |
| 14. | 7,7″-di-O-methylamentoflavone | H | OCH3 | H | OH | OH | H | OCH3 | H | OH | H | OH |
| 15. | 7″-O-methylamentoflavone | H | OH | H | OH | OH | H | OCH3 | H | OH | H | OH |
| 16. | kayaflavone | H | OH | H | OH | OCH3 | H | OCH3 | H | OH | H | OCH3 |
| 17. | 5′-methoxybilobetin | H | OH | H | OH | OCH3 | OCH3 | OH | H | OH | H | OH |
| 18. | taiwanhomoflavone A | H | OCH3 | CH3 | OH | OCH3 | H | OH | H | OH | H | OH |
| 19. | oliveriflavone B | H | OH | CH3 | OH | OCH3 | H | OCH3 | H | OH | H | OCH3 |
| 20. | oliveriflavone C | H | OH | CH3 | OH | OCH3 | H | OH | H | OH | H | OCH3 |
| 21. | amentoflavone 7,7″,4′,4‴-tetramethyl ether | OH | H | OCH3 | H | OCH3 | H | OCH3 | H | OH | H | OCH3 |
| 22. | amentoflavone 7,7″-dimethyl ether | OH | H | OCH3 | H | OH | H | OCH3 | H | OH | H | OH |
| 23. | 7,4′,5″,7″,4‴-penta-O-methylamentoflavone | H | OCH3 | H | OH | OCH3 | H | OCH3 | H | OCH3 | H | OCH3 |
| 24. | amentoflavone 4′-methyl ether | OH | H | OH | H | OCH3 | H | OH | H | OH | H | OH |
| 25. | amentoflavone-7-methyl ether | OH | H | OCH3 | H | OH | H | OH | H | OH | H | OH |
| 26. | 3‴-O-methylamentoflavone | H | OH | H | OH | OH | H | OH | H | OH | OCH3 | OH |
| 27. | sotetsuflavone | H | OH | H | OH | OH | H | OCH3 | H | OH | H | OH |
| 28. | amentoflavone-7,4′,7″,4‴-tetramethyl ether | H | OCH3 | H | OH | OCH3 | H | OCH3 | H | OH | OCH3 | H |
| 29. | 7,7″-dimethoxyamentoflavone | H | OCH3 | H | OH | H | H | OCH3 | H | OH | H | H |
| 30. | 7,7″,4′-tri-O-methylamentoflavone | H | OCH3 | H | OH | OCH3 | H | OCH3 | H | OH | H | OH |
| 31. | II-4″,I-7-dimethoxyamentoflavone | H | OCH3 | H | OH | OH | H | OH | H | OH | OCH3 | H |
| 32. | amentoflavone-7″,4‴-dimethyl ether | H | OH | H | OH | OH | H | OCH3 | H | OH | H | OCH3 |
| 33. | 7,4′,7″,4‴-tetra-O-methylamentoflavone | H | OCH3 | H | OH | OCH3 | H | OCH3 | H | OH | H | OCH3 |
| 34. | 7,4′,7″-tri-O-methylamentoflavone | H | OCH3 | H | OH | OCH3 | H | OCH3 | H | OH | H | OH |
| 35. | 7″,4‴-dimethylamentoflavone | H | OH | H | OH | OH | H | OCH3 | H | OH | H | OCH3 |
| 36. | 7,4′,4‴-trimethylamentoflavone | H | OCH3 | H | OH | OCH3 | H | OH | H | OH | H | OCH3 |
![]() | ![]() | |||||
| Nr. | Compound (a) | R1 | R2 | R3 | R4 | R5 |
| 37. | (2S)-2,3-dihydroamentoflavone | OH | H | OH | OH | OH |
| 38. | 2,3-dihydrosciadopitysin | OCH3 | H | OCH3 | OH | OCH3 |
| 39. | 2,3-dihydroisoginkgetin | OH | H | OCH3 | OH | OCH3 |
| 40. | 2,3-dihydro-7,7″-dimethoxyamentoflavone | OCH3 | H | OH | OCH3 | OH |
| 41. | 2,3-dihydro-6-methylginkgetin | OCH3 | CH3 | OCH3 | OH | OH |
| 42. | 2,3-dihydroamentoflavone-7″,4‴-dimethyl ether | OCH3 | H | OCH3 | OH | OH |
| 43. | (2S)-2,3-dihydro-4′-O-methylamentoflavone | OH | H | OCH3 | OH | OH |
| 44. | (2S,2″S)-2,3-dihydro-4′,4‴-di-O-methylamentoflavone | OH | H | OCH3 | OH | OCH3 |
| 45. | 2,3-dihydro-4‴-O-methylamentoflavone | OH | H | OH | OH | OCH3 |
| Compound (b) | R3 | R5 | ||||
| 46. | (2S,2″S)-2,3,2″,3″-tetrahydroamentoflavone-4′-methyl ether | OCH3 | OH | |||
| 47. | (2S,2″S)-2,3,2″,3″-tetrahydroamentoflavone | OH | OH | |||
| 48. | (2S,2″S)-2,3,2″,3″-tetrahydro-4′-O-methylamentoflavone | OCH3 | OH | |||
| 49. | (2S,2″S)-2,3,2″,3″-tetrahydro-4′,4‴-di-O-methylamentoflavone (tetrahydroisoginkgetin) | OCH3 | OCH3 | |||
| 3′-8″-Biflavones | Plant Species |
|---|---|
| ginkgetin isoginkgetin bilobetin [33] | Ginkgo biloba L. |
| putraflavone [34] | Putranjiva roxburghii |
| sequoiaflavone [35] | Sequoia sempervirens |
| podocarpusflavone [36] | Podocarpus sp. |
| heveaflavone [37] | Hevea braseliensis |
| sciadopytisin [38] | Sciadopitys verticillata |
| oliveriflavone [39] | Cephalotaxus oliveri |
| Division | Genus | Species | Reported 3′-8″-Biflavone | Reference |
|---|---|---|---|---|
| Pteridophyta Ferns and fern allies | Psilotum | nudum | amentoflavone | [31] |
| Selaginella | bryopteris | amentoflavone (2S)-2,3-dihydroamentoflavone (2″S)-2″,3″-dihydroamentoflavone (2S,2″S)-2,3,2″,3″-tetrahydroamentoflavone bilobetin sequoiaflavone heveaflavone sciadopitysin | [42] | |
| delicatula | amentoflavone | [43] | ||
| denticulata | amentoflavone sotetsuflavone | [44] | ||
| doederleinii | ginkgetin | [45] | ||
| amentoflavone-4′-methyl ether amentoflavone-7-methyl ether | [46] | |||
| podocarpusflavone A heveaflavone | [47] | |||
| amentoflavone-7,7″,4′,4‴-tetramethyl ether | [45] | |||
| 7,4′,7″,4‴-tetra-O-methylamentoflavone amentoflavone 7,7″-di-O-methylamentoflavone heveaflavone | [48] | |||
| labordei | amentoflavone | [49] | ||
| moellendorffii | ginkgetin isoginkgetin | [50] | ||
| kayaflavone podocarpusflavone A amentoflavone-7,4′,7″,4‴-tetramethyl ether | [51] | |||
| nothohybrida | amentoflavone | [52] | ||
| rupteris | amentoflavone | [53] | ||
| selaginoides | amentoflavone | [44] | ||
| sinensis | ginkgetin | [54] | ||
| 4′,7″-di-O-methylamentoflavone | [55] | |||
| stautoniana | bilobetin | [56] | ||
| tamariscina | sotetsuflavone heveaflavone | [57] | ||
| sumaflavone amentoflavone taiwaniaflavone | [58] | |||
| bilobetin | [59] | |||
| 2,3-dihydroamentoflavone 2″,3″-dihydroamentoflavone | [60] | |||
| uncinata | (2S,2″S)-2,3,2″,3″-tetrahydroamentoflavone-4′-methyl ether (2″S)-2″,3″-dihydroamentoflavone-4′-methyl ether (2S)-2,3-dihydroamentoflavone-4′-methyl ether (2S,2″S)-tetrahydroamentoflavone (2S)-2,3-dihydroamentoflavone (2″S)-2″,3″-dihydroamentoflavone amentoflavone | [61] | ||
| willdenowii | amentoflavone bilobetin 4′,7″-di-O-methylamentoflavone | [62] | ||
| Amentotaxus | yunnanensis | sequoiaflavone sotetsuflavone sciadopitysin 2,3-dihydro-7,7″-dimethoxyamentoflavone 7,7″-dimethoxylamentoflavone | [63] | |
| Araucaria | angustifolia | ginkgetin | [64] | |
| bilobetin | [65] | |||
| Dacrydium | balansae | amentoflavone sotetsuflavone 7″-O-methylamentoflavone | [66] | |
| pierrei | sotetsuflavone amentoflavone-4′,4‴,7,7″-tetramethyl ether | [67] | ||
| Decussocarpus | rospigliosii | amentoflavone sequoiaflavone podocarpusflavone A podocarpusflavone B heveaflavone 7,7″-di-O-methylamentoflavone | [68] | |
| Dioon | spinulosum | sciadopitysin | [69] | |
| Calocedrus | microleptic var. formosana | amentoflavone | [70] | |
| Cephalotaxus | drupacea | ginkgetin | [71] | |
| fortunei var. alpina | ginkgetin | [72] | ||
| harringtonia | ginkgetin | [73] | ||
| bilobetin ginkgetin 7,7″,4′-tri-O-methylamentoflavone amentoflavone-7,7″,4′,4‴-tetramethyl ether 2,3-dihydro-6-methylginkgetin sciadopitysin | [74] | |||
| koreana | ginkgetin amentoflavone bilobetin sciadopitysin 4′,7″-di-O-methylamentoflavone amentoflavone-7,7″,4′,4‴-tetramethyl ether 7,4′,7″,4‴-O-methylamentoflavone | [75] | ||
| oliveri | oliveriflavone B oliveriflavone C | [76] | ||
| sciadopitysin 7,4′,5″,7″,4‴-penta-O-methylamentoflavone | [39] | |||
| sinensis | ginkgetin | [77] | ||
| wilsoniana | taiwanhomoflavone A | [78] | ||
| Cunninghamia | lanceolata | amentoflavone sequoiaflavone | [73] | |
| Cupressocyparis | leylandii | amentoflavone 7-O-methylamentoflavone podocarpusflavone A | [79] | |
| Cupressus | funebris | amentoflavone methylamentoflavone | [80] | |
| sempervirens | ||||
| glabra | ||||
| goveniana | ||||
| lusitanica | ||||
| arizonica | ||||
| torulosa | amentoflavone podocarpusflavone A | [81] | ||
| Cycas | beddomei | 2,3-dihydro-4‴-O-methylamentoflavone 2,3,2″,3″-tetrahydroamentoflavone 2,3-dihydroamentoflavone | [82] | |
| circinalis | amentoflavone bilobetin isoginkgetin (2S,2″S)-2,3,2″,3″-tetrahydro-4′,4‴-di-O-methylamentoflavone (tetrahydroisoginkgetin) (2S,2″S)-2,3-dihydro-4′,4‴-di-O-methylamentoflavone (2S)-2,3-dihydro-4′-O-methylamentoflavone (2S,2″S)-2,3,2″,3″-tetrahydro-4′-O-methylamentoflavone | [83] | ||
| media | ginkgetin | [84] | ||
| pectinata | amentoflavone 2,3-dihydroamentoflavone | [85] | ||
| revoluta | 2,3-dihydroamentoflavone amentoflavone podocarpusflavone A (2S)-2,3-dihydroamentoflavone (2S,2″S)-2,3,2″,3″-tetrahydroamentoflavone | [77,83] | ||
| Chamaecyparis | obtusa | sciadopitysin ginkgetin isoginkgetin podocarpusflavone A podocarpusflavone B 7,7″-O-dimethylamentoflavone bilobetin 7-O-methylamentoflavone sequoiaflavone podocarpusflavone A 7,7″-O-dimethylamentoflavone | [86] | |
| Ginkgo | biloba | amentoflavone bilobetin ginkgetin isoginkgetin sciadopytysin | [27] | |
| 5′-methoxybilobetin | [32] | |||
| Juniperus | occidentalis | amentoflavone | [87] | |
| rigida | amentoflavone | [88] | ||
| Microbiota | decussata | amentoflavone 7-O-methylamentoflavone | [89] | |
| Metasequoia | glyptostroboides | sequoiaflavone podocarpusflavone A podocarpusflavone B isoginkgetin sciadopitysin amentoflavone 2,3-dihydroamentoflavone-7″,4‴-dimethyl ether amentoflavone-7″,4‴-dimethyl ether bilobetin ginkgetin 2,3-dihydroisoginkgetin 2,3-dihydrosciadopitysin | [90] | |
| Nanuza | plicata | amentoflavone 3′,8″-biisokaempferide | [91] | |
| Ochna | schweinfurthiana | amentoflavone | [92] | |
| Ouratea | semiserrata | amentoflavone podocarpusflavone A | [93] | |
| Podocarpus | dacrydioides | amentoflavone bilobetin sequoiaflavone podocarpusflavone A ginkgetin isoginkgetin podocarpusflavone B kayaflavone sciadopitysin | [94] | |
| henkelii | isoginkgetin 7,4′,7″,4‴-tetra-O-methylamentoflavone | [95] | ||
| elongatus | isoginkgetin bilobetin | [96] | ||
| macrophyllus | amentoflavone isoginkgetin | [97] | ||
| podocarpusflavone A podocarpusflavone B | [77] | |||
| nagi | amentoflavone-4′,4‴,7,7″-tetramethyl ether sciadopitysin | [98] | ||
| nakaii | amenotoflavone podocarpusflavone A II-4″,I-7-dimethoxyamentoflavone heveaflavone | [99] | ||
| neriifolius | amentoflavone podocarpusflavone A podocarpusflavone B isoginkgetin | [100] | ||
| imbricatus | amentoflavone-7,7″-dimethyl ether heveaflavone | [101] | ||
| wallichiana | isoginkgetin | [102] | ||
| Sciadopitys | verticillata | amentoflavone podocarpusflavone A isoginkgetin | [81] | |
| Sequoiadendron | giganteum | amentoflavone podocarpusflavone A isoginkgetin | [81] | |
| Taxodium | distichum var. distichum | amentoflavone bilobetin podocarpusflavone A 7,4′,4‴-trimethylamentoflavone | Summarized by [11] | |
| distichum var. mexicanum | amentoflavone bilobetin | |||
| Taxus | baccata | ginkgetin sciadopitysin amentoflavone bilobetin | [81] | |
| podocarpusflavone A sequoiaflavone | [103] | |||
| chinensis | ginkgetin | [104] | ||
| cuspidata | ginkgetin | [105] | ||
| mairei | ginkgetin ginkgetin | [106] | ||
| media | ||||
| wallichiana | ginkgetin | [107] | ||
| Thuja | plicata | amentoflavone | [77] | |
| orientalis | amentoflavone | [108] | ||
| Torreya | nucifera | amentoflavone bilobetin ginkgetin sciadopytisin | [109] | |
| 4′,7″-di-O-methylamentoflavone kayaflavone | [74] | |||
| yunnanensis | amentoflavone sotetsuflavone sciadopityisin | [63] | ||
| Retrophyllum | rospigliosii | 7,4′,7″,4‴-tetra-O-methylamentoflavone 7,4′,7″-tri-O-methylamentoflavone sciadopitysin 7,7″-di-O-methylamentoflavone podocarpusflavone A amentoflavone | [110] | |
| Wollwmia | nobilis | 7,4′,7″,4‴-tetra-O-methylamentoflavone | [111] | |
| Angiosperms Flowering plants | Alchornea | glandulosa | amentoflavone | [112] |
| triplinervia | amentoflavone | [113] | ||
| Allanblackia | monticola | amentoflavone podocarpusflavone A | [114] | |
| Aletris | spicata | amentoflavone | [115] | |
| Androsace | umbellata | amentoflavone sequioaflavone | [116] | |
| Antidesma | bunius | amentoflavone podocarpusflavone A | [117] | |
| Antidesma | laciniatum | amentoflavone | [118] | |
| Amanoa | almerindae | amentoflavone sequoiaflavone podocarpusflavone B | [119] | |
| Biophytum | sensitivum | amentoflavone | [120] | |
| Byrsonima | crassa | amentoflavone | [121] | |
| intermedia | amentoflavone | [122] | ||
| Caesalpinia | pyramidalis | amentoflavone 5′- hydroxyamentoflavone podocarpusflavone A | [123] | |
| Calophyllum | ferrugineum | amentoflavone | [124] | |
| flavoramulum | amentoflavone | [125] | ||
| incrassatum | amentoflavone | [126] | ||
| inophylloide | amentoflavone | [127] | ||
| pinetorum | amentoflavone | [128] | ||
| rivulare | amentoflavone | [129] | ||
| symingtonianum | amentoflavone | [126] | ||
| venulosum | amentoflavone 2,3-dihydroamentoflavone | [130] | ||
| Campylospermum | elongatum | 7,7″-O-dimethylamentoflavone | [131] | |
| calanthum | amentoflavone sequoiaflavone podocarpusflavone B | [132] | ||
| mannii | amentoflavone | [133] | ||
| Canarium | album | amentoflavone | [134] | |
| schwenfurthii | amentoflavone | [135] | ||
| Capparis | spinosa | gingetin | [136] | |
| Casearia | clarkei | amentoflavone | [137] | |
| Celaenodendron | mexicanum | amentoflavone bilobetin ginkgetin | [138] | |
| podocarpusflavone A podocarpusflavone B | [139] | |||
| Chrozophora | tinctoria | amentoflavone | [140] | |
| Cnestis | ferruginea | amentoflavone | [141] | |
| Cyperus | rotundus | ginkgetin | [142] | |
| isoginkgetin | ||||
| Dorstenia | barteri | amentoflavone | [143] | |
| Drypetes | gerrardii | amentoflavone | [144] | |
| Elateriospermum | tapos | amentoflavone ginkgetin podocarpusflavone B sequoiaflavone | [145] | |
| Garcinia | bakeriana | amentoflavone podocarpusflavone A 4‴-O-methylamentoflavone | [146] | |
| brasiliensis | amentoflavone podocrpusflavone A | [147] | ||
| brevipedicellata | amentoflavone podocarpusflavone A | [148] | ||
| intermedia | amentoflavone podocarpusflavone A | [149] | ||
| livingstonei | amentoflavone | [150] | ||
| podocarpusflavone A | [151] | |||
| madruno | amentoflavone | [152] | ||
| merguensis | amentoflavone | [153] | ||
| multiflora | amentoflavone | [154] | ||
| subelliptica | amentoflavone podocarpusflavone A garciniaflavone A garciniaflavone B garciniaflavone C garciniaflavone D | [155] | ||
| xanthochymus | amentoflavone | [156] | ||
| Gaultheria | yunnanensis | ginkgetin | [157] | |
| Hevea | brasiliensis | 7″,4″-dimethylamentoflavone heveaflavone | [74] | |
| Hypericum | connatum | amentoflavone | [158] | |
| perforatum | amentoflavone | [159] | ||
| Hyeronima | alchorneoides | amentoflavone | [160] | |
| Lanaria | lanata | amentoflavone | [161] | |
| Lonicera | macranthoides | amentoflavone 3‴-O-methylamentoflavone | [162] | |
| Luxemburgia | nobilis | amentoflavone | [163] | |
| Lysimachia | christinae | amentoflavone | [164] | |
| Mangifera | indica | amentoflavone | [165] | |
| Ouratea | parviflora | amentoflavone | [166] | |
| ferruginea | amentoflavone sequoiaflavone | [167] | ||
| multiflora | amentoflavone podocarpusflavone A amentoflavone-7″,4‴-dimethyl ether heveaflavone | [168] | ||
| semiserrata | amentoflavone podocarpusflavone A | [92] | ||
| sulcata | amentoflavone | [169] | ||
| Ranunculus | ternatus | kayaflavone | [170] | |
| Rhus | pyroides | amentoflavone | [171] | |
| Rhus | succedanea | amentoflavone | [154] | |
| Speranskia | tuberculata | amentoflavone | [172] | |
| Struthiola | argentea | amentoflavone | [173] | |
| Viburnum | jucundum | amentoflavone 2,3-dihydroamentoflavone | [174] | |
| chinshanense | amentoflavone | [175] | ||
| Zabelia | tyaihyonii | amentoflavone | [176] |
Disclaimer/Publisher’s Note: The statements, opinions and data contained in all publications are solely those of the individual author(s) and contributor(s) and not of MDPI and/or the editor(s). MDPI and/or the editor(s) disclaim responsibility for any injury to people or property resulting from any ideas, methods, instructions or products referred to in the content. |
© 2024 by the authors. Licensee MDPI, Basel, Switzerland. This article is an open access article distributed under the terms and conditions of the Creative Commons Attribution (CC BY) license (https://creativecommons.org/licenses/by/4.0/).
Share and Cite
Šamec, D.; Jurčević Šangut, I.; Karalija, E.; Šarkanj, B.; Zelić, B.; Šalić, A. 3′-8″- Biflavones: A Review of Their Structural Diversity, Natural Occurrence, Role in Plants, Extraction and Identification. Molecules 2024, 29, 4634. https://doi.org/10.3390/molecules29194634
Šamec D, Jurčević Šangut I, Karalija E, Šarkanj B, Zelić B, Šalić A. 3′-8″- Biflavones: A Review of Their Structural Diversity, Natural Occurrence, Role in Plants, Extraction and Identification. Molecules. 2024; 29(19):4634. https://doi.org/10.3390/molecules29194634
Chicago/Turabian StyleŠamec, Dunja, Iva Jurčević Šangut, Erna Karalija, Bojan Šarkanj, Bruno Zelić, and Anita Šalić. 2024. "3′-8″- Biflavones: A Review of Their Structural Diversity, Natural Occurrence, Role in Plants, Extraction and Identification" Molecules 29, no. 19: 4634. https://doi.org/10.3390/molecules29194634
APA StyleŠamec, D., Jurčević Šangut, I., Karalija, E., Šarkanj, B., Zelić, B., & Šalić, A. (2024). 3′-8″- Biflavones: A Review of Their Structural Diversity, Natural Occurrence, Role in Plants, Extraction and Identification. Molecules, 29(19), 4634. https://doi.org/10.3390/molecules29194634




