Sign in to use this feature.

Years

Between: -

Subjects

remove_circle_outline
remove_circle_outline
remove_circle_outline
remove_circle_outline
remove_circle_outline
remove_circle_outline
remove_circle_outline

Journals

Article Types

Countries / Regions

Search Results (21)

Search Parameters:
Keywords = 3′-8″-biflavones

Order results
Result details
Results per page
Select all
Export citation of selected articles as:
15 pages, 2012 KB  
Article
Food Grade Synthesis of Hetero-Coupled Biflavones and 3D-Quantitative Structure–Activity Relationship (QSAR) Modeling of Antioxidant Activity
by Hongling Zheng, Xin Yang, Qiuyu Zhang, Joanne Yi Hui Toy and Dejian Huang
Antioxidants 2025, 14(6), 742; https://doi.org/10.3390/antiox14060742 - 16 Jun 2025
Viewed by 1083
Abstract
Biflavonoids are a unique subclass of dietary polyphenolic compounds known for their diverse bioactivities. Despite these benefits, these biflavonoids remain largely underexplored due to their limited natural availability and harsh conditions required for their synthesis, which restricts broader research and application in functional [...] Read more.
Biflavonoids are a unique subclass of dietary polyphenolic compounds known for their diverse bioactivities. Despite these benefits, these biflavonoids remain largely underexplored due to their limited natural availability and harsh conditions required for their synthesis, which restricts broader research and application in functional foods and nutraceuticals. To address this gap, we synthesized a library of rare biflavonoids using a radical–nucleophile coupling reaction previously reported by our group. The food grade coupling reaction under weakly alkaline water at room temperature led to isolation of 28 heterocoupled biflavones from 11 monomers, namely 3′,4′-dihydroxyflavone, 5,3′,4′-trihydroxyflavone, 6,3′,4′-trihydroxyflavone, 7,3′,4′-trihydroxyflavone, diosmetin, chrysin, acacetin, genistein, biochanin A, and wogonin. The structures of the dimers are characterized by nuclear magnetic resonance spectroscopy (NMR) and high-resolution mass spectroscopy (HRMS). In addition, we evaluated the antioxidant potential of these biflavones using a DPPH (2,2-diphenyl-1-picrylhydrazyl) radical scavenging assay and the DPPH value ranges between 0.75 to 1.82 mM of Trolox/mM of sample across the 28 synthesized dimers. Additionally, a three-dimensional quantitative structure–activity relationship (3D-QSAR) analysis was conducted to identify structural features associated with enhanced antioxidant activity. The partial least squares (PLS) regression QSAR model showed acceptable r2 = 0.936 and q2 = 0.869. Additionally, the average local ionization energy (ALIE), electrostatic potential (ESP), Fukui index (F-), and electron density (ED) were determined to identify the key structural moiety that was capable of donating electrons to neutralize reactive oxygen species. Full article
Show Figures

Graphical abstract

19 pages, 5387 KB  
Article
Cytotoxic Natural Products from Cryptomeria japonica (Thunb. ex L.) D.Don
by Bjørn Tobiassen Heieren, Anja Strandvoll Dyrdal, Lars Herfindal, Bjarte Holmelid, Cato Brede, Heidi Lie Andersen and Torgils Fossen
Int. J. Mol. Sci. 2024, 25(24), 13735; https://doi.org/10.3390/ijms252413735 - 23 Dec 2024
Cited by 1 | Viewed by 1997
Abstract
Cryptomeria japonica is a commercially important tree native to Japan. The tree belongs to the ancient genus Cryptomeria and has found important uses as a medicinal plant, as well as a main source of timber in Japan. In recent years, there has been [...] Read more.
Cryptomeria japonica is a commercially important tree native to Japan. The tree belongs to the ancient genus Cryptomeria and has found important uses as a medicinal plant, as well as a main source of timber in Japan. In recent years, there has been an increased interest in discovering extended uses of C. japonica as a source of novel bioactive natural products with potential applications as lead compounds for active principles of future drugs. The compounds were isolated by a combination of two-phase extraction, XAD-7 Amberlite column chromatography, Sephadex LH-20 column chromatography and preparative High Performance Liquid Chromatography (HPLC). The structures were determined by a combination of several 1D and 2D Nuclear Magnetic Resonance (NMR) experiments and high-resolution mass spectrometry. Here, we report on the isolation and characterization of the novel biflavone glucoside hinokiflavone 7″-O-β-glucopyranoside, in addition to sixteen known compounds including the flavonols quercetin, quercetin 3-O-α-rhamnopyranoside and quercetin 3-O-β-galactopyranoside, the dihydroflavonols taxifolin 3-O-β-glucopyranoside, taxifolin 7-O-β-glucopyranoside, the flavanones naringenin, naringenin 7-O-β-galactopyranoside and eriodictyol 4′-O-β-glucopyranoside, the flavanol catechin, the biflavonoid amentoflavone, the dihydrochalcone phloretin 2′-O-β-glucopyranoside, the sesquiterpenoid roseoside, the polyphenolic compounds chlorogenic acid, methyl chlorogenate and the flavanocoumarins catechin-(7,8)-7″-(3,4 dihydroxyphenyl)-dihydro-8″(3H)-pyranone, and mururin A. The compounds exhibited low-to-moderate cytotoxic activity against MOLM-13 leukemia cells. Full article
Show Figures

Figure 1

22 pages, 3271 KB  
Article
Phenolic Characterization and Quality Evaluation of Herbal Coffee from Roasted Juniper Berry Fruits (Juniperus drupacea L.): Elucidating the Impact of Roasting
by Hasim Kelebek, Merve Carikcioglu, Pınar Kadiroglu, Esra Ereli, Turkan Uzlasir and Serkan Selli
Foods 2024, 13(23), 3946; https://doi.org/10.3390/foods13233946 - 6 Dec 2024
Cited by 4 | Viewed by 2542
Abstract
Consumers’ demand for foods with health benefits and different tastes is on an increasing trend. Juniper berries (“andiz” in Turkish) are the fruits of perennial, aromatic, and resinous Juniperus drupacea trees. In this study, quality properties of herbal coffee samples obtained from juniper [...] Read more.
Consumers’ demand for foods with health benefits and different tastes is on an increasing trend. Juniper berries (“andiz” in Turkish) are the fruits of perennial, aromatic, and resinous Juniperus drupacea trees. In this study, quality properties of herbal coffee samples obtained from juniper berries roasted at three different temperatures (120, 160, and 200 °C) and four different durations (10, 25, 32.5, and 55 min) were elucidated. The herbal coffee samples were prepared from roasted and powdered fruits, and their total phenolic contents (TPCs), sugar profiles, antioxidant activities (AAs), and other quality parameters were examined. The highest AA value was determined as 17.99 and 29.36 mM Trolox/L (DPPH and ABTS, respectively) in the herbal coffee prepared from berries roasted at 120 °C for 25 min. Sucrose and glucose were dominant in all herbal coffee samples. Sixteen phenolic compounds were identified and quantified by a LC-ESI-MS/MS device. The TPC values of the herbal coffee varied from 236.7 to 917.0 g/L, and the procyanidin dimer, amentoflavone, methyl-biflavone, and digalloylquinic acid were dominant in all samples. The hydroxymethylfurfural (HMF) content of the herbal coffee varied between 0.01 and 0.39 mg/kg. According to a sensory analysis, the herbal coffee obtained from fruits roasted at 120 °C for 25 min was the most appreciated sample. In sum, this work shows that herbal coffee is non-caffeinated and is an alternative to regular coffee drinks derived from juniper berries roasted at lower temperatures and has more significant phenolic and antioxidant contents. It also has the potential to offer innovative and healthy alternatives to the food industry. Future research should focus on investigating how this herbal coffee can be positioned in the market and can influence consumer preference. Full article
(This article belongs to the Section Drinks and Liquid Nutrition)
Show Figures

Graphical abstract

20 pages, 4255 KB  
Article
Exploring the Antimycobacterial Potential of Podocarpusflavone A from Kielmeyera membranacea: In Vitro and In Vivo Insights
by Marlon Heggdorne de Araujo, Salomé Muñoz Sánchez, Thatiana Lopes Biá Ventura Simão, Natalia Nowik, Stella Schuenck Antunes, Shaft Corrêa Pinto, Davide Sorze, Francesca Boldrin, Riccardo Manganelli, Nelilma Correia Romeiro, Elena B. Lasunskaia, Fons J. Verbeek, Herman P. Spaink and Michelle Frazão Muzitano
Pharmaceuticals 2024, 17(12), 1560; https://doi.org/10.3390/ph17121560 - 21 Nov 2024
Viewed by 1791
Abstract
Background/Objectives: Tuberculosis (TB) is one of the leading infectious causes of death worldwide, highlighting the importance of identifying new anti-TB agents. In previous research, our team identified antimycobacterial activity in Kielmeyera membranacea leaf extract; therefore, this study aims to conduct further exploration [...] Read more.
Background/Objectives: Tuberculosis (TB) is one of the leading infectious causes of death worldwide, highlighting the importance of identifying new anti-TB agents. In previous research, our team identified antimycobacterial activity in Kielmeyera membranacea leaf extract; therefore, this study aims to conduct further exploration of its potential. Methods: Classical chromatography was applied for fractionation and spectrometric techniques were utilized for chemical characterization. For in vitro tests, samples were assessed against Mycobacterium tuberculosis and Mycobacterium marinum. The toxicity and efficacy of active samples were evaluated in vivo using different zebrafish models. Chemogenomics studies were applied to predict the isolated active compound’s potential mode of action. Results: We performed fractionation of K. membranacea ethanolic extract (EE) and then its dichloromethane fraction (DCM), and the biflavonoid podocarpusflavone A (PCFA) was isolated and identified as a promising active compound. The EE and PCFA were found to be non-toxic to zebrafish larvae and were able to inhibit M. tuberculosis growth extracellularly. Additionally, PCFA demonstrated antimycobacterial activity within infected macrophages, especially when combined with isoniazid. In addition, the EE, DCM, and PCFA have shown the ability to inhibit M. marinum’s growth during in vivo zebrafish larvae yolk infection. Notably, PCFA also effectively countered systemic infection established through the caudal vein, showing a similar inhibitory activity profile to rifampicin, both at 32 µM. A reduction in the transcriptional levels of pro-inflammatory cytokines confirmed the infection resolution. The protein tyrosine phosphatase B (PtpB) of M. tuberculosis, which inhibits the macrophage immune response, was predicted as a theoretical target of PCFA. This finding is in agreement with the higher activity observed for PCFA intracellularly and in vivo on zebrafish, compared with the direct action in M. tuberculosis. Conclusions: Here, we describe the discovery of PCFA as an intracellular inhibitor of M. tuberculosis and provide evidence of its in vivo efficacy and safety, encouraging its further development as a combination drug in novel therapeutic regimens for TB. Full article
Show Figures

Graphical abstract

13 pages, 1434 KB  
Article
Seasonal Variation of Polyphenols and Pigments in Ginkgo (Ginkgo biloba L.) Leaves: Focus on 3′,8″-Biflavones
by Iva Jurčević Šangut and Dunja Šamec
Plants 2024, 13(21), 3044; https://doi.org/10.3390/plants13213044 - 30 Oct 2024
Cited by 9 | Viewed by 3769
Abstract
Ginkgo (Ginkgo biloba L.) is a widely recognized medicinal plant, often grown as an ornamental species in parks around the world. Its leaves change color from green in spring to yellow in autumn. In this study, we collected ginkgo leaves at seven [...] Read more.
Ginkgo (Ginkgo biloba L.) is a widely recognized medicinal plant, often grown as an ornamental species in parks around the world. Its leaves change color from green in spring to yellow in autumn. In this study, we collected ginkgo leaves at seven developmental stages from May to November and measured chlorophylls, carotenoids, flavonoids, and antioxidant activity. The total polyphenol content showed a significant increase from May to November, rising from 15.15 ± 0.14 mg GAE g−1 dw to 45.18 ± 0.42 mg GAE g−1 dw. The total flavonoid content reached its peak in August at 5.87 ± 0.18 mg GAE g−1 dw. In contrast, the highest concentrations of total polyphenolic acids (4.13 ± 0.16 mg CAE g−1 dw) and antioxidant activity (306.95 ± 3.47 µmol TE g−1) were recorded in May. We specifically focused on a less-studied group of dimeric flavonoids or biflavonoids—3′,8″-biflavones. We identified five 3′,8″-biflavones (amentoflavone, bilobetin, ginkgetin, isoginkgetin, and sciadopitysin) throughout all developmental stages. Sciadopitysin was the most abundant biflavonoid, with its concentration rising from 614.71 ± 5.49 µg g−1 dw in May to 2642.82 ± 47.47 µg g−1 dw in November. Alongside sciadopitysin, the content of other biflavonoids (excluding amentoflavone) generally increased over the same period. This trend is further highlighted by the total biflavonoid content, which grew from 1448.97 ± 6.63 µg g−1 dw in May to 6071.67 ± 97.15 µg g−1 dw in November. We observed a negative correlation between biflavonoid and chlorophyll content, which may indicate their involvement in leaf senescence. However, this hypothesis warrants further investigation. Full article
(This article belongs to the Section Phytochemistry)
Show Figures

Figure 1

40 pages, 3756 KB  
Review
3′-8″- Biflavones: A Review of Their Structural Diversity, Natural Occurrence, Role in Plants, Extraction and Identification
by Dunja Šamec, Iva Jurčević Šangut, Erna Karalija, Bojan Šarkanj, Bruno Zelić and Anita Šalić
Molecules 2024, 29(19), 4634; https://doi.org/10.3390/molecules29194634 - 29 Sep 2024
Cited by 8 | Viewed by 3200
Abstract
Dimeric forms of flavonoids, known as biflavonoids, are much less studied compared to monomeric forms. It is estimated that nearly 600 different natural biflavonoids have been described to date, containing various subtypes that can be subdivided according to the position of their combinations [...] Read more.
Dimeric forms of flavonoids, known as biflavonoids, are much less studied compared to monomeric forms. It is estimated that nearly 600 different natural biflavonoids have been described to date, containing various subtypes that can be subdivided according to the position of their combinations and the nature of the subunits. The group in which two monomers are linked by a 3′-8″-C atom includes the first isolated biflavonoid ginkgetin, derivatives of amentoflavone, and several other compounds. 3′-8″-biflavones recently attracted much attention as potential molecules with biological activity such as antiviral and antimicrobial activity and as effective molecules for the treatment of neurodegenerative and metabolic diseases and in cancer therapies. With the growing interest in them as pharmacologically active molecules, there is also increasing interest in finding new natural sources of 3′-8″-biflavones and optimizing methods for their extraction and identification. Herein, we have summarized the available data on the structural diversity, natural occurrence, role in plants, extraction, and identification of 3′-8″-biflavones. Full article
Show Figures

Figure 1

12 pages, 1713 KB  
Article
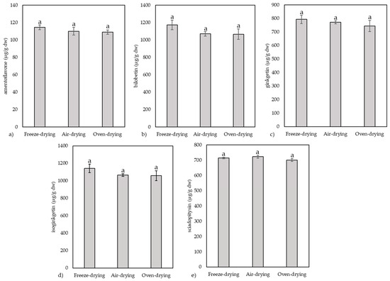
Influence of Air Drying, Freeze Drying and Oven Drying on the Biflavone Content in Yellow Ginkgo (Ginkgo biloba L.) Leaves
by Iva Jurčević Šangut, Lana Pavličević and Dunja Šamec
Appl. Sci. 2024, 14(6), 2330; https://doi.org/10.3390/app14062330 - 10 Mar 2024
Cited by 14 | Viewed by 6687
Abstract
Drying herbs is a crucial method for stabilizing and preserving their essential properties and bioactive compounds. Although freeze drying is the preferred method for most herbs, it is expensive due to high energy consumption and operating costs. Biflavonoids are dimeric flavonoids that have [...] Read more.
Drying herbs is a crucial method for stabilizing and preserving their essential properties and bioactive compounds. Although freeze drying is the preferred method for most herbs, it is expensive due to high energy consumption and operating costs. Biflavonoids are dimeric flavonoids that have recently been recognized as potential molecules possessing biological activities, such as antiviral and antimicrobial activity, and as effective molecules for the treatment of neurodegenerative and metabolic diseases and for cancer therapies. In this study, we performed a comparative analysis of freeze drying, air drying and oven drying to evaluate their effects on biflavonoid content in yellow ginkgo leaves (Ginkgo biloba L.). After drying, we performed spectrophotometric analysis to determine the browning index, pigments, phenolic compounds and antioxidant activity, while HPLC-DAD was used for the identification and quantification of individual biflavones (amentoflavone, bilobetin, ginkgetin, isoginkgetin and sciadopitysin). The most abundant biflavonoids were isoginkgetin and bilobetin, the amounts of which exceeded 1000 µg/g dw in all leaf samples. They were followed by ginkgetin and sciadopitysin, the amounts of which were about 30% lower. The drying method did not influence biflavone content or the total carotenoids, total polyphenols and total flavonoids. Consequently, our study suggests that all three methods may be used for the preparation of yellow ginkgo leaves as a source of biflavones and other bioactive compounds. Full article
Show Figures

Figure 1

13 pages, 1323 KB  
Article
A Comparative Analysis of Radical Scavenging, Antifungal and Enzyme Inhibition Activity of 3′-8″-Biflavones and Their Monomeric Subunits
by Iva Jurčević Šangut, Bojan Šarkanj, Erna Karalija and Dunja Šamec
Antioxidants 2023, 12(10), 1854; https://doi.org/10.3390/antiox12101854 - 12 Oct 2023
Cited by 16 | Viewed by 2824
Abstract
Biflavonoids are dimeric forms of flavonoids that have recently gained importance as an effective new scaffold for drug discovery. In particular, 3′-8″-biflavones exhibit antiviral and antimicrobial activity and are promising molecules for the treatment of neurodegenerative and metabolic diseases as well as cancer [...] Read more.
Biflavonoids are dimeric forms of flavonoids that have recently gained importance as an effective new scaffold for drug discovery. In particular, 3′-8″-biflavones exhibit antiviral and antimicrobial activity and are promising molecules for the treatment of neurodegenerative and metabolic diseases as well as cancer therapies. In the present study, we directly compared 3′-8″-biflavones (amentoflavone, bilobetin, ginkgetin, isoginkgetin, and sciadopitysin) and their monomeric subunits (apigenin, genkwanin, and acacetin) and evaluated their radical scavenging activity (with DPPH), antifungal activity against mycotoxigenic fungi (Alternaria alternata, Aspergillus flavus, Aspergillus ochraceus, Fusarium graminearum, and Fusarium verticillioides), and inhibitory activity on enzymes (acetylcholinesterase, tyrosinase, α-amylase, and α-glucosidase). All the tested compounds showed weak radical scavenging activity, while antifungal activity strongly depended on the tested concentration and fungal species. Biflavonoids, especially ginkgetin and isoginkgetin, proved to be potent acetylcholinesterase inhibitors, whereas monomeric flavonoids showed higher tyrosinase inhibitory activity than the tested 3′-8″-biflavones. Amentoflavone proved to be a potent α-amylase and α-glucosidase inhibitor, and in general, 3′-8″-biflavones showed a stronger inhibitory potential on these enzymes than their monomeric subunits. Thus, we can conclude that 3′-8″-dimerization enhanced acetylcholinesterase, α-amylase, and α-glucosidase activities, but the activity also depends on the number of hydroxyl and methoxy groups in the structure of the compound. Full article
Show Figures

Figure 1

16 pages, 2355 KB  
Review
Neuroprotective Potential of Biflavone Ginkgetin: A Review
by İ. İrem Tatlı Çankaya, Hari Prasad Devkota, Gokhan Zengin and Dunja Šamec
Life 2023, 13(2), 562; https://doi.org/10.3390/life13020562 - 16 Feb 2023
Cited by 17 | Viewed by 4780
Abstract
Neurological disorders are becoming more common, and there is an intense search for molecules that can help treat them. Several natural components, especially those from the flavonoid group, have shown promising results. Ginkgetin is the first known biflavonoid, a flavonoid dimer isolated from [...] Read more.
Neurological disorders are becoming more common, and there is an intense search for molecules that can help treat them. Several natural components, especially those from the flavonoid group, have shown promising results. Ginkgetin is the first known biflavonoid, a flavonoid dimer isolated from ginkgo (Ginkgo biloba L.). Later, its occurrence was discovered in more than 20 different plant species, most of which are known for their use in traditional medicine. Herein we have summarized the data on the neuroprotective potential of ginkgetin. There is evidence of protection against neuronal damage caused by ischemic strokes, neurotumors, Alzheimer’s disease (AD), and Parkinson’s disease (PD). Beneficial effects in ischemic strokes have been demonstrated in animal studies in which injection of ginkgetin before or after onset of the stoke showed protection from neuronal damage. AD protection has been the most studied to date. Possible mechanisms include inhibition of reactive oxygen species, inhibition of β-secretase, inhibition of Aβ fibril formation, amelioration of inflammation, and antimicrobial activity. Ginkgetin has also shown positive effects on the relief of PD symptoms in animal studies. Most of the available data are from in vitro or in vivo animal studies, where ginkgetin showed promising results, and further clinical studies should be conducted. Full article
(This article belongs to the Special Issue Inflammation and Natural Products)
Show Figures

Figure 1

11 pages, 2516 KB  
Article
Protective Effect of Biflavones from Platonia insignis Mart. against Ethidium Bromide-Induced Lethality in Staphylococcus aureus
by Andressa Sabrina Guimarães Moura, Júlia de Andrade Ferreira Barreto, Andressa Kelly Ferreira e Silva, Maria Luísa Lima Barreto do Nascimento, Emanuelly Elanny Andrade Pinheiro, Arkellau Kenned Silva Moura, João Marcelo de Castro e Sousa, José de Souza Lima-Neto, Antonia Maria das Graças Lopes Citó, Henrique Douglas Melo Coutinho and Humberto Medeiros Barreto
Compounds 2023, 3(1), 194-204; https://doi.org/10.3390/compounds3010016 - 10 Feb 2023
Cited by 1 | Viewed by 2425
Abstract
Brazilian flora are highly diverse and have great potential for research into new medicines of plant origin. Platonia insignis Mart. is a fruit tree from the Amazon region with several potential pharmacological applications already demonstrated. The present study aimed to investigate the protective [...] Read more.
Brazilian flora are highly diverse and have great potential for research into new medicines of plant origin. Platonia insignis Mart. is a fruit tree from the Amazon region with several potential pharmacological applications already demonstrated. The present study aimed to investigate the protective effect of a mixture of the biflavones volkensiflavone and moreloflavone obtained from P. insignis flowers against the lethality induced by ethidium bromide in efflux pump overproducer strains of Staphylococcus aureus. Microdilution tests were performed to determine the minimum inhibitory concentration of ethidium bromide in the absence or presence of biflavones. The addition of biflavones to the growth medium increased the minimum inhibitory concentration of ethidium bromide against all strains tested, indicating that biflavones protected the bacterial cells against cell damage induced by this biocide agent. Comparative analysis of the infrared absorption spectra of each isolated compound, as well as of the associated compounds, demonstrated the complexation reaction, indicating that there was a preferential interaction between the H2N- groups of primary amines of ethidium bromide with the carbonyls of biflavones that formed imines -C=NH. Such complexation could reduce the amount of free ethidium bromide molecules available for DNA intercalation, resulting in the observed protective effect. These results suggest a possible technological application of the biflavones from P. insignis as protective agents against cell damage induced by ethidium bromide. Full article
(This article belongs to the Special Issue Organic Compounds with Biological Activity)
Show Figures

Figure 1

15 pages, 2211 KB  
Article
Brain Targeting by Intranasal Drug Delivery: Effect of Different Formulations of the Biflavone “Cupressuflavone” from Juniperus sabina L. on the Motor Activity of Rats
by El-Sayed Khafagy, Gamal A. Soliman, Ahmad Abdul-Wahhab Shahba, Mohammed F. Aldawsari, Khalid M. Alharthy, Maged S. Abdel-Kader and Hala H. Zaatout
Molecules 2023, 28(3), 1354; https://doi.org/10.3390/molecules28031354 - 31 Jan 2023
Cited by 8 | Viewed by 4724
Abstract
The polar fractions of the Juniperus species are rich in bioflavonoid contents. Phytochemical study of the polar fraction of Juniperus sabina aerial parts resulted in the isolation of cupressuflavone (CPF) as the major component in addition to another two bioflavonoids, amentoflavone and robustaflavone. [...] Read more.
The polar fractions of the Juniperus species are rich in bioflavonoid contents. Phytochemical study of the polar fraction of Juniperus sabina aerial parts resulted in the isolation of cupressuflavone (CPF) as the major component in addition to another two bioflavonoids, amentoflavone and robustaflavone. Biflavonoids have various biological activities, such as antioxidant, anti-inflammatory, antibacterial, antiviral, hypoglycemic, neuroprotective, and antipsychotic effects. Previous studies have shown that the metabolism and elimination of biflavonoids in rats are fast, and their oral bioavailability is very low. One of the methods to improve the bioavailability of drugs is to alter the route of administration. Recently, nose-to-brain drug delivery has emerged as a reliable method to bypass the blood–brain barrier and treat neurological disorders. To find the most effective CPF formulation for reaching the brain, three different CPF formulations (A, B and C) were prepared as self-emulsifying drug delivery systems (SEDDS). The formulations were administered via the intranasal (IN) route and their effect on the spontaneous motor activity in addition to motor coordination and balance of rats was observed using the activity cage and rotarod, respectively. Moreover, pharmacokinetic investigation was used to determine the blood concentrations of the best formulation after 12 h. of the IN dose. The results showed that formulations B and C, but not A, decreased the locomotor activity and balance of rats. Formula C at IN dose of 5 mg/kg expressed the strongest effect on the tested animals. Full article
(This article belongs to the Special Issue Natural Polyphenols in Human Health)
Show Figures

Figure 1

18 pages, 2702 KB  
Article
Medicinal Values and Potential Risks Evaluation of Ginkgo biloba Leaf Extract (GBE) Drinks Made from the Leaves in Autumn as Dietary Supplements
by Xiaojia Su, Ruirui Shi, Haiyan Hu, Linfeng Hu, Qichao Wei, Yuanyuan Guan, Jingling Chang and Chengwei Li
Molecules 2022, 27(21), 7479; https://doi.org/10.3390/molecules27217479 - 2 Nov 2022
Cited by 9 | Viewed by 4142
Abstract
Ginkgo tea and ginkgo wine are two familiar Ginkgo biloba leaf extract (GBE) drinks in the form of dietary supplements (DS) used for healthcare in east Asia. Nevertheless, a comprehensive evaluation of their safety and efficacy is still lacking. In this study, GBE [...] Read more.
Ginkgo tea and ginkgo wine are two familiar Ginkgo biloba leaf extract (GBE) drinks in the form of dietary supplements (DS) used for healthcare in east Asia. Nevertheless, a comprehensive evaluation of their safety and efficacy is still lacking. In this study, GBE drinks were prepared from naturally newly senescent yellow leaves (YL) and green leaves (GL) in autumn. Their total flavonoids, antioxidant capacity and prescribed ingredients were investigated. In brief, the proportions of total flavonoids, total flavonol glycosides (TFs), total terpene trilactones (TTLs) and ginkgolic acids in the GBE drinks all did not meet the standards of worldwide pharmacopoeias. Specifically, the levels of TFs in the ginkgo tea prepared from YL were significantly higher than that prepared from GL. Further analyses revealed a substandard ratio of isorhamnetin/quercetin and an accumulation of leaf-age-related compounds, which were both unqualified. The proportions of specific TTLs varied between the ginkgo tea and ginkgo wine, although no significant differences were detected in terms of the total levels of TTLs. Noticeably, numerous biflavones and thousands of times over the limiting concentration of ginkgolic acids, including newly identified types, were only detected in ginkgo wine. Finally, the use of the GBE drinks as DSs was comprehensively evaluated according to the acceptable daily intake. This study showed the limited healthcare effects of GBE drinks despite their powerful antioxidant capacity. Full article
Show Figures

Figure 1

12 pages, 2286 KB  
Article
Screening of Promising Chemotherapeutic Candidates from Plants against Human Adult T-Cell Leukemia/Lymphoma (VII): Active Principles from Thuja occidentalis L.
by Daisuke Nakano, Kenji Ishitsuka, Madoka Ishihara, Ryota Tsuchihashi, Masafumi Okawa, Kazuo Tamura and Junei Kinjo
Molecules 2021, 26(24), 7619; https://doi.org/10.3390/molecules26247619 - 15 Dec 2021
Cited by 3 | Viewed by 3074
Abstract
During the screening of novel chemotherapeutic candidates from plants against adult T-cell leukemia/lymphoma, we identified that the extracts of Thuja occidentalis (Cupressaceae) showed potent anti-proliferative activity in MT-1 and MT-2 cells. Therefore, we attempted to isolate the active components from this plant. We [...] Read more.
During the screening of novel chemotherapeutic candidates from plants against adult T-cell leukemia/lymphoma, we identified that the extracts of Thuja occidentalis (Cupressaceae) showed potent anti-proliferative activity in MT-1 and MT-2 cells. Therefore, we attempted to isolate the active components from this plant. We isolated and identified 32 compounds (132; eight lignans, 18 terpenoids, and six flavonoids) from the extracts of the leaves and cones. Their structures were determined by spectroscopic analysis. Several of the isolated compounds inhibited the growth of both cell lines. Lignans showed more potent activity than other classes of compounds. A comparison of the activities of compounds 18 revealed that the presence of a trans-lactone (linkage of C-6 to C-7) correlated with increased activity. Diterpenes showed moderate activity, and the presence of a ketone moiety at the C-7 position correlated with increased activity in compounds 1221. In addition, biflavones showed moderate activity, and the presence of methoxy functions appeared to influence the activity of these compounds. Several lignans were lead compound of anti-cancer reagent (etoposide). In conclusion, not only lignans, but also diterpenes and/or biflavones, may be promising candidates for the treatment of adult T-cell leukemia/lymphoma. Full article
Show Figures

Figure 1

13 pages, 1744 KB  
Article
Biflavones from Platonia insignis Mart. Flowers Promote In Vitro Antileishmanial and Immunomodulatory Effects against Internalized Amastigote Forms of Leishmania amazonensis
by Érika Alves Bezerra, Michel Mualém de Moraes Alves, Simone Kelly Rodrigues Lima, Emanuelly Elanny Andrade Pinheiro, Layane Valéria Amorim, José de Sousa Lima Neto, Fernando Aécio de Amorim Carvalho, Antônia Maria das Graças Lopes Citó and Daniel Dias Rufino Arcanjo
Pathogens 2021, 10(9), 1166; https://doi.org/10.3390/pathogens10091166 - 10 Sep 2021
Cited by 10 | Viewed by 2918
Abstract
Leishmaniasis is an infectious disease that affects millions of people worldwide, making the search essential for more accessible treatments. The species Platonia insignis Mart. (Clusiaceae) has been extensively studied and has gained prominence for its pharmacological potential. The objective of this work was [...] Read more.
Leishmaniasis is an infectious disease that affects millions of people worldwide, making the search essential for more accessible treatments. The species Platonia insignis Mart. (Clusiaceae) has been extensively studied and has gained prominence for its pharmacological potential. The objective of this work was to evaluate the antileishmania activity, cytotoxic effect and activation patterns of macrophages of hydroalcoholic extract (EHPi), ethyl acetate fractions (FAcOEt) and morelloflavone/volkensiflavone mixture (MB) from P. insignis flowers. EHPi, FAcOEt and MB demonstrated concentration-dependent antileishmania activity, with inhibition of parasite growth in all analyzed concentrations. EHPi exhibited maximum effect at 800 μg/mL, while FAcOEt and MB reduced the growth of the parasite by 94.62% at 800 μg/mL. EHPi, FAcOEt and MB showed low cytotoxic effects for macrophages at 81.78, 159.67 and 134.28 μg/mL, respectively. EHPi (11.25 µg/mL), FAcOEt (11.25 and 22.5 µg/mL) and MB (22.5 µg/mL) characterized the increase in lysosomal activity, suggesting a possible modulating effect. These findings open for the application of flowers from a P. insignis flowers and biflavones mixture thereof in the promising treatment of leishmaniasis. Full article
(This article belongs to the Special Issue Immune Response in Parasite Infections)
Show Figures

Figure 1

33 pages, 3676 KB  
Article
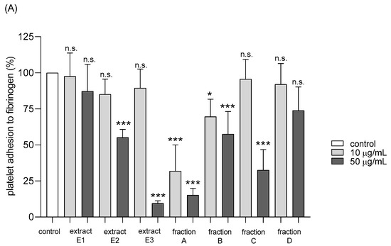
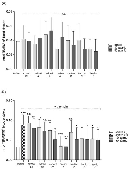
Flavonoid Preparations from Taraxacum officinale L. Fruits—A Phytochemical, Antioxidant and Hemostasis Studies
by Bernadetta Lis, Dariusz Jedrejek, Joanna Rywaniak, Agata Soluch, Anna Stochmal and Beata Olas
Molecules 2020, 25(22), 5402; https://doi.org/10.3390/molecules25225402 - 18 Nov 2020
Cited by 39 | Viewed by 5238
Abstract
Dandelion (Taraxacum officinale L.) roots, leaves, and flowers have a long history of use in traditional medicine. Compared to the above organs, dandelion fruits are the least known and used. Hence, the present paper was aimed at the phytochemical analysis of T. [...] Read more.
Dandelion (Taraxacum officinale L.) roots, leaves, and flowers have a long history of use in traditional medicine. Compared to the above organs, dandelion fruits are the least known and used. Hence, the present paper was aimed at the phytochemical analysis of T. officinale fruit extract and estimating its antiradical, antiplatelet, and antioxidant properties related to hemostasis. Methanolic extract of fruits (E1), enriched with polyphenols (188 mg gallic acid equivalents (GAE)/g), was successfully separated into cinnamic acids (E2; 448 mg GAE/g) and flavonoids (E3; 377 mg GAE/g) extracts. Flavonoid extract was further divided into four fractions characterized by individual content: A (luteolin fraction; 880 mg GAE/g), B (philonotisflavone fraction; 516 mg GAE/g), C (flavonolignans fraction; 384 mg GAE/g), and D (flavone aglycones fraction; 632 mg GAE/g). High DPPH radical scavenging activity was evaluated for fractions A and B (A > B > Trolox), medium for extracts (Trolox > E3 > E2 > E1), and low for fractions C and D. No simple correlation between polyphenol content and antiradical activity was observed, indicating a significant influence of qualitative factor, including higher anti-oxidative effect of flavonoids with B-ring catechol system compared to hydroxycinnamic acids. No cytotoxic effect on platelets was observed for any dandelion preparation tested. In experiments on plasma and platelets, using several different parameters (lipid peroxidation, protein carbonylation, oxidation of thiols, and platelet adhesion), the highest antioxidant and antiplatelet potential was demonstrated by three fruit preparations–hydroxycinnamic acids extract (E2), flavonoid extract (E3), and luteolin fraction (A). The results of this paper provide new information on dandelion metabolites, as well as their biological potential and possible use concerning cardiovascular diseases. Full article
Show Figures

Figure 1

Back to TopTop