Carbon Dioxide Adsorption over Activated Biocarbons Derived from Lemon Peel
Abstract
1. Introduction
2. Results
2.1. XRD Results
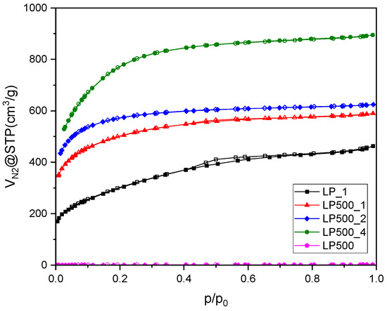
2.2. Textural Properties
2.3. SEM Results
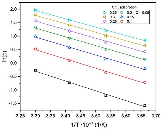
2.4. CO2 Adsorption
3. Materials and Methods
3.1. Starting Materials
3.2. Preparation of Activated Biocarbons from Lemon Peels
3.3. Characterization of the Activated Biocarbon
4. Conclusions
Author Contributions
Funding
Institutional Review Board Statement
Informed Consent Statement
Data Availability Statement
Conflicts of Interest
References
- Dale, S. BP Statistical Review of World Energy, 68th ed.; Plance of Publication: London, UK, 2019. [Google Scholar]
- European Environment Agency. Trends in Atmospheric Concentrations of CO2 (Ppm), CH4 (Ppb) and N2O (Ppb), between 1800 and 2017. Available online: https://www.eea.europa.eu/data-and-maps/daviz/atmospheric-concentration-of-carbon-dioxide-5#tab-chart_5_filters=%7B%22rowFilters%22%3A%7B%7D%3B%22columnFilters%22%3A%7B%22pre_config_polutant%22%3A%5B%22CH4(ppb)%22%5D%7D%7D (accessed on 1 August 2024).
- Page, M. Le New Scientist. 2020. Carbon Dioxide Levels Will Soar Past the 410 Ppm Milestone in 2019. Available online: https://www.newscientist.com/article/2191881-carbon-dioxide-levels-will-soar-past-the-410-ppm-milestone-in-2019/ (accessed on 1 August 2024).
- UNEP, UN Environment Programme, Cut Global Emissions by 7.6 Percent Every Year for next Decade to Meet 1.5 °C Paris Target–Unreport. Available online: https://www.unep.org/news-and-stories/press-release/cut-global-emissions-76-percent-every-year-next-decade-meet-15degc (accessed on 1 August 2024).
- Raganati, F.; Miccio, F.; Ammendola, P. Adsorption of Carbon Dioxide for Post-Combustion Capture: A Review. Energy Fuels 2021, 35, 12845–12868. [Google Scholar] [CrossRef]
- Chen, J.; Xia, N.; Zhou, T.; Tan, S.; Jiang, F.; Yuan, D. Mesoporous Carbon Spheres: Synthesis, Characterization and Supercapacitance. Int. J. Electrochem. Sci. 2009, 4, 1063–1073. [Google Scholar] [CrossRef]
- Jin, Y.Z.; Kim, Y.J.; Gao, C.; Zhu, Y.Q.; Huczko, A.; Endo, M.; Kroto, H.W. High Temperature Annealing Effects on Carbon Spheres and Their Applications as Anode Materials in Li-Ion Secondary Battery. Carbon 2006, 44, 724–729. [Google Scholar] [CrossRef]
- Sun, X.; Liu, J.; Li, Y. Use of Carbonaceous Polysaccharide Microspheres as Templates for Fabricating Metal Oxide Hollow Spheres. Chem. Eur. J. 2006, 12, 2039–2047. [Google Scholar] [CrossRef]
- Wang, Z.; Xiao, P.; He, N. Synthesis and Characteristics of Carbon Encapsulated Magnetic Nanoparticles Produced by a Hydrothermal Reaction. Carbon 2006, 44, 3277–3284. [Google Scholar] [CrossRef]
- Song, X.; Gunawan, P.; Jiang, R.; Leong, S.S.J.; Wang, K.; Xu, R. Surface Activated Carbon Nanospheres for Fast Adsorption of Silver Ions from Aqueous Solutions. J. Hazard. Mater. 2011, 194, 162–168. [Google Scholar] [CrossRef] [PubMed]
- Wen, Z.; Wang, Q.; Zhang, Q.; Li, J. Hollow Carbon Spheres with Wide Size Distribution as Anode Catalyst Support for Direct Methanol Fuel Cells. Electrochem. Commun. 2007, 9, 1867–1872. [Google Scholar] [CrossRef]
- Wang, Q.; Ling, X.; Zhang, R.; Liu, C.; Liu, X.; Qiao, W.; Zhan, L.; Ling, L. Preparation of Polystyrene-Based Activated Carbon Spheres and Their Adsorption of Dibenzothiophene. New Carbon Mater. 2009, 24, 55–60. [Google Scholar] [CrossRef]
- Liu, Z.; Ling, L.; Qiao, W.; Liu, L. Effect of Hydrogen on the Mesopore Development of Pitch-Based Spherical Activated Carbon Containing Iron during Activation by Steam. Carbon 1999, 37, 2063–2066. [Google Scholar] [CrossRef]
- Serafin, J.; Kiełbasa, K.; Michalkiewicz, B. The New Tailored Nanoporous Carbons from the Common Polypody (Polypodium Vulgare): The Role of Textural Properties for Enhanced CO2 Adsorption. Chem. Eng. J. 2022, 429, 131751. [Google Scholar] [CrossRef]
- Serafin, J.; Dziejarski, B.; Vendrell, X.; Kiełbasa, K.; Michalkiewicz, B. Biomass Waste Fern Leaves as a Material for a Sustainable Method of Activated Carbon Production for CO2 Capture. Biomass Bioenergy 2023, 175, 106880. [Google Scholar] [CrossRef]
- Elaiyappillai, E.; Srinivasan, R.; Johnbosco, Y.; Devakumar, P.; Murugesan, K.; Kesavan, K.; Johnson, P.M. Low Cost Activated Carbon Derived from Cucumis Melo Fruit Peel for Electrochemical Supercapacitor Application. Appl. Surf. Sci. 2019, 486, 527–538. [Google Scholar] [CrossRef]
- Yogin Soodesh, C.; Seriyala, A.K.; Navjot; Chattopadhyay, P.; Rozhkova, N.; Michalkiewicz, B.; Chatterjee, S.; Roy, B. Carbonaceous Catalysts (Biochar and Activated Carbon) from Agricultural Residues and Their Application in Production of Biodiesel: A Review. Chem. Eng. Res. Des. 2024, 203, 759–788. [Google Scholar] [CrossRef]
- Akula, S.; Varathan, P.; Menon, R.S.; Sahu, A.K. Rationally Constructing Nitrogen–Fluorine Heteroatoms on Porous Carbon Derived from Pomegranate Fruit Peel Waste towards an Efficient Oxygen Reduction Catalyst for Polymer Electrolyte Membrane Fuel Cells. Sustain. Energy Fuels 2021, 5, 886–899. [Google Scholar] [CrossRef]
- Gandla, D.; Wu, X.; Zhang, F.; Wu, C.; Tan, D.Q. High-Performance and High-Voltage Supercapacitors Based on N-Doped Mesoporous Activated Carbon Derived from Dragon Fruit Peels. ACS Omega 2021, 6, 7615–7625. [Google Scholar] [CrossRef]
- Jothi Ramalingam, R.; Sivachidambaram, M.; Vijaya, J.J.; Al-Lohedan, H.A.; Muthumareeswaran, M.R. Synthesis of Porous Activated Carbon Powder Formation from Fruit Peel and Cow Dung Waste for Modified Electrode Fabrication and Application. Biomass Bioenergy 2020, 142, 105800. [Google Scholar] [CrossRef]
- Jawad, A.H.; Saud Abdulhameed, A.; Wilson, L.D.; Syed-Hassan, S.S.A.; ALOthman, Z.A.; Rizwan Khan, M. High Surface Area and Mesoporous Activated Carbon from KOH-Activated Dragon Fruit Peels for Methylene Blue Dye Adsorption: Optimization and Mechanism Study. Chinese J. Chem. Eng. 2021, 32, 281–290. [Google Scholar] [CrossRef]
- Ahmad, M.A.; Eusoff, M.A.; Oladoye, P.O.; Adegoke, K.A.; Bello, O.S. Statistical Optimization of Remazol Brilliant Blue R Dye Adsorption onto Activated Carbon Prepared from Pomegranate Fruit Peel. Chem. Data Collect. 2020, 28, 100426. [Google Scholar] [CrossRef]
- Sahu, S.; Pahi, S.; Sahu, J.K.; Sahu, U.K.; Patel, R.K. Kendu (Diospyros Melanoxylon Roxb) Fruit Peel Activated Carbon—An Efficient Bioadsorbent for Methylene Blue Dye: Equilibrium, Kinetic, and Thermodynamic Study. Environ. Sci. Pollut. Res. 2020, 27, 22579–22592. [Google Scholar] [CrossRef]
- Arie, A.A.; Kristianto, H.; Cengiz, E.C.; Demir-Cakan, R. Activated Porous Carbons Originated from the Indonesian Snake Skin Fruit Peel as Cathode Components for Lithium Sulfur Battery. Ionics 2019, 25, 2121–2129. [Google Scholar] [CrossRef]
- Murugesan, K.; Tareke, K.; Gezehegn, M.; Kebede, M.; Yazie, A.; Diyana, G. Rapid Development of Activated Carbon and ZnO Nanoparticles via Green Waste Conversion Using Avocado Fruit Peel Powder and Its High Performance Efficiency in Aqueous Dye Removal Application. J. Inorg. Organomet. Polym. Mater. 2019, 29, 1368–1374. [Google Scholar] [CrossRef]
- Miserius, M.; Behr, H.-C. Fruitlogistica 2021 European Statistics Handbook; Messe Berlin GmbH: Berlin, Germany, 2021. [Google Scholar]
- Consumer Goods & FMCG› Food & Nutrition. Available online: https://www.statista.com/statistics/577445/world-lemon-and-lime-production/ (accessed on 1 August 2024).
- John, I.; Muthukumar, K.; Arunagiri, A. A Review on the Potential of Citrus Waste for D-Limonene, Pectin, and Bioethanol Production. Int. J. Green Energy 2017, 14, 599–612. [Google Scholar] [CrossRef]
- Divahar, R.; Meenambal, T.; Senophiyah Mary, J.; Aravind Raj, P.S.; Sangeetha, S.P.; Athavan Alias Anand, S. Lemon Peel Activated Carbon: A Sustainable Solution for Lead Ion Removal from E-Waste Bioleachate. Sustain. Chem. Environ. 2024, 6, 100094. [Google Scholar] [CrossRef]
- Weldekidan, H.; Patel, H.; Mohanty, A.; Misra, M. Synthesis of Porous and Activated Carbon from Lemon Peel Waste for CO2 Adsorption. Carbon Capture Sci. Technol. 2024, 10, 100149. [Google Scholar] [CrossRef]
- Mohamad Yusop, M.F.; Abdullah, A.Z.; Ahmad, M.A. Amoxicillin Adsorption from Aqueous Solution by Cu(II) Modified Lemon Peel Based Activated Carbon: Mass Transfer Simulation, Surface Area Prediction and F-Test on Isotherm and Kinetic Models. Powder Technol. 2024, 438, 119589. [Google Scholar] [CrossRef]
- De Rose, E.; Bartucci, S.; Poselle Bonaventura, C.; Conte, G.; Agostino, R.G.; Policicchio, A. Effects of Activation Temperature and Time on Porosity Features of Activated Carbons Derived from Lemon Peel and Preliminary Hydrogen Adsorption Tests. Colloids Surfaces A Physicochem. Eng. Asp. 2023, 672, 131727. [Google Scholar] [CrossRef]
- Li, Z.; Zhou, M.; Liu, N.; Zhang, F.; An, K.; Xiong, X.; Fan, S.; Sun, Q.; Le, T. Engineered Biochar Derived from Lemon Peel Waste for Highly Efficient Removal of Organic Pollutants from Water. Arab. J. Chem. 2023, 16, 105158. [Google Scholar] [CrossRef]
- Ramutshatsha-Makhwedzha, D.; Mbaya, T.; Mavhungu, A.; Mavhunga, M.L.; Mbaya, R. Adsorptive Removal of Cd2+, Pb2+, and Fe2+ from Acid Mine Drainage Using a Mixture of Waste Orange and Lemon Activated Carbon (WOLAC): Equilibrium Study. J. Iran. Chem. Soc. 2023, 20, 1119–1133. [Google Scholar] [CrossRef]
- Ramutshatsha-Makhwedzha, D.; Mavhungu, A.; Moropeng, M.L.; Mbaya, R. Activated Carbon Derived from Waste Orange and Lemon Peels for the Adsorption of Methyl Orange and Methylene Blue Dyes from Wastewater. Heliyon 2022, 8, e09930. [Google Scholar] [CrossRef]
- Praipipat, P.; Ngamsurach, P.; Prasongdee, V. Comparative Reactive Blue 4 Dye Removal by Lemon Peel Bead Doping with Iron(III) Oxide-Hydroxide and Zinc Oxide. ACS Omega 2022, 7, 41744–41758. [Google Scholar] [CrossRef]
- Surya, K.; Michael, M.S. Hierarchical Porous Activated Carbon Prepared from Biowaste of Lemon Peel for Electrochemical Double Layer Capacitors. Biomass Bioenergy 2021, 152, 106175. [Google Scholar] [CrossRef]
- Naser, S.M.; Ali, S.A.; Alkizwini, R.S.; Alshamali, M.; Alquzweeni, S.S.; Abdellatif, M.; Amoako-Attah, J.; AlKhayyat, A. Agro-Based Carbon for Lead Removal from Solutions. IOP Conf. Ser. Mater. Sci. Eng. 2021, 1058, 012019. [Google Scholar] [CrossRef]
- Su, A.; Wang, D.; Shu, X.; Zhong, Q.; Chen, Y.; Liu, J.; Wang, Y. Synthesis of Fluorescent Carbon Quantum Dots from Dried Lemon Peel for Determination of Carmine in Drinks. Chem. Res. Chin. Univ. 2018, 34, 164–168. [Google Scholar] [CrossRef]
- Sharifzade, G.; Asghari, A.; Rajabi, M. Highly Effective Adsorption of Xanthene Dyes (Rhodamine B and Erythrosine B) from Aqueous Solutions onto Lemon Citrus Peel Active Carbon: Characterization, Resolving Analysis, Optimization and Mechanistic Studies. RSC Adv. 2017, 7, 5362–5371. [Google Scholar] [CrossRef]
- Mohammadi, S.Z.; Karimi, M.A.; Yazdy, S.N.; Shamspur, T.; Hamidian, H. Removal of Pb(Ii) Ions and Malachite Green Dye From Wastewater Yy Activated Carbon Produced From Lemon Peel. Quim. Nova 2014. [Google Scholar] [CrossRef]
- Fu, X.-P.; Wang, Y.-L.; Zhang, X.-F.; Krishna, R.; He, C.-T.; Liu, Q.-Y.; Chen, B. Collaborative Pore Partition and Pore Surface Fluorination within a Metal–Organic Framework for High-Performance C2H2/CO2 Separation. Chem. Eng. J. 2022, 432, 134433. [Google Scholar] [CrossRef]
- Yang, S.-Q.; Krishna, R.; Chen, H.; Li, L.; Zhou, L.; An, Y.-F.; Zhang, F.-Y.; Zhang, Q.; Zhang, Y.-H.; Li, W.; et al. Immobilization of the Polar Group into an Ultramicroporous Metal–Organic Framework Enabling Benchmark Inverse Selective CO2/C2H2 Separation with Record C2H2 Production. J. Am. Chem. Soc. 2023, 145, 13901–13911. [Google Scholar] [CrossRef]
- Casco, M.E.; Martínez-Escandell, M.; Silvestre-Albero, J.; Rodríguez-Reinoso, F. Effect of the Porous Structure in Carbon Materials for CO2 Capture at Atmospheric and High-Pressure. Carbon 2014, 67, 230–235. [Google Scholar] [CrossRef]
- Rouzitalab, Z.; Maklavany, D.M.; Jafarinejad, S.; Rashidi, A. Lignocellulose-Based Adsorbents: A Spotlight Review of the Effective Parameters on Carbon Dioxide Capture Process. Chemosphere 2020, 246, 125756. [Google Scholar] [CrossRef]
- Wickramaratne, N.P.; Jaroniec, M. Importance of Small Micropores in CO2 Capture by Phenolic Resin-Based Activated Carbon Spheres. J. Mater. Chem. A 2013, 1, 112–116. [Google Scholar] [CrossRef]
- Presser, V.; McDonough, J.; Yeon, S.H.; Gogotsi, Y. Effect of Pore Size on Carbon Dioxide Sorption by Carbide Derived Carbon. Energy Environ. Sci. 2011, 4, 3059. [Google Scholar] [CrossRef]
- Chen, T.; Deng, S.; Wang, B.; Huang, J.; Wang, Y.; Yu, G. CO2 Adsorption on Crab Shell Derived Activated Carbons: Contribution of Micropores and Nitrogen-Containing Groups. RSC Adv. 2015, 5, 48323–48330. [Google Scholar] [CrossRef]
- Siemak, J.; Michalkiewicz, B. Adsorption Equilibrium of CO2 on Microporous Activated Carbon Produced from Avocado Stone Using H2SO4 as an Activating Agent. Sustainability 2023, 15, 16881. [Google Scholar] [CrossRef]
- Radke, C.J.; Prausnitz, J.M. Adsorption of Organic Solutes from Dilute Aqueous Solution of Activated Carbon. Ind. Eng. Chem. Fundam. 1972, 11, 445–451. [Google Scholar] [CrossRef]
- Farrier, D.S.; Hines, A.L.; Wang, S.W. Adsorption of Phenol and Benzoic Acid from Dilute Aqueous Solution onto a Macroreticular Resin. J. Colloid Interface Sci. 1979, 69, 233–237. [Google Scholar] [CrossRef]
- Fu, Y.; Viraraghavan, T. Removal of Congo Red from an Aqueous Solution by Fungus Aspergillus Niger. Adv. Environ. Res. 2002, 7, 239–247. [Google Scholar] [CrossRef]
- Wang, S.W.; Hines, A.L.; Farrier, D.S. Adsorption of Aliphatic Acids from Aqueous Solutions onto Activated Carbon. J. Chem. Eng. Data 1979, 24, 345–347. [Google Scholar] [CrossRef]
- Basha, S.; Murthy, Z.V.P.; Jha, B. Isotherm Modeling for Biosorption of Cu(II) and Ni(II) from Wastewater onto Brown Seaweed, Cystoseira Indica. AIChE J. 2008, 54, 3291–3302. [Google Scholar] [CrossRef]
- Chen, T.; Da, T.; Ma, Y. Reasonable Calculation of the Thermodynamic Parameters from Adsorption Equilibrium Constant. J. Mol. Liq. 2021, 322, 114980. [Google Scholar] [CrossRef]
- Tran, H.N.; Lima, E.C.; Juang, R.S.; Bollinger, J.C.; Chao, H.P. Thermodynamic Parameters of Liquid–Phase Adsorption Process Calculated from Different Equilibrium Constants Related to Adsorption Isotherms: A Comparison Study. J. Environ. Chem. Eng. 2021, 9, 106674. [Google Scholar] [CrossRef]
- Do, D.D. Adsorption Analysis: Equilibria and Kinetics; Series on Chemical Engineering; Imperial College Press: London, UK, 1998; Volume 2, ISBN 978-1-86094-130-6. [Google Scholar]
- Sayari, A.; Belmabkhout, Y.; Serna-Guerrero, R. Flue Gas Treatment via CO2 Adsorption. Chem. Eng. J. 2011, 171, 760–774. [Google Scholar] [CrossRef]












| Sample Name | Thermal Pretreatment | Ratio KOH–Lemon |
|---|---|---|
| LP_1 | No pretreatment | 1 |
| LP500_1 | 500 °C | 1 |
| LP500_2 | 500 °C | 2 |
| LP500_4 | 500 °C | 4 |
| LP500 | 500 °C | - |
| AC | SSA (m2/g) | Vtot (cm3/g) | Vmicro (cm3/g) | Vmicro/Vtot (%) | qCO2_0 °C (mmol/g) |
|---|---|---|---|---|---|
| LP_1 | 1087 | 0.72 | 0.20 | 28 | 2.01 |
| LP500_1 | 1836 | 0.91 | 0.52 | 58 | 4.99 |
| LP500_2 | 2159 | 0.97 | 0.68 | 70 | 5.69 |
| LP500_4 | 2821 | 1.39 | 0.70 | 50 | 4.97 |
| LP500 | 0.24 | 0.003 | - | - | 1.42 |
| SSE | HYBRID | ARE | MPSD | SAE | |
|---|---|---|---|---|---|
| CO2 adsorption at 0 °C | |||||
| Freundlih | 0.066 | 0.15 | 2.47 | 3.66 | 1.27 |
| Langmuir | 0.22 | 0.41 | 4.13 | 5.59 | 2.43 |
| Sips | 0.0023 | 0.0076 | 0.56 | 0.84 | 0.22 |
| Toth | 0.00026 | 0.00067 | 0.17 | 0.24 | 0.17 |
| UNILAN | 0.12 | 0.24 | 3.11 | 4.33 | 1.81 |
| Radke–Prausnitz | 0.00018 | 0.00013 | 0.058 | 0.069 | 0.061 |
| CO2 adsorption at 10 °C | |||||
| Freundlih | 0.038 | 0.10 | 2.18 | 3.30 | 0.89 |
| Langmuir | 0.11 | 0.24 | 3.23 | 4.71 | 1.62 |
| Sips | 0.009 | 0.015 | 0.68 | 1.00 | 0.54 |
| Toth | 0.0082 | 0.010 | 0.51 | 0.69 | 0.38 |
| UNILAN | 0.068 | 0.15 | 2.49 | 3.73 | 1.25 |
| Radke–Prausnitz | 0.0080 | 0.0094 | 0.45 | 0.65 | 0.36 |
| CO2 adsorption at 20 °C | |||||
| Freundlih | 0.029 | 0.077 | 1.92 | 2.95 | 0.82 |
| Langmuir | 0.049 | 0.11 | 2.34 | 3.38 | 1.29 |
| Sips | 0.011 | 0.01 | 0.68 | 0.93 | 0.47 |
| Toth | 0.010 | 0.012 | 0.57 | 0.75 | 0.44 |
| UNILAN | 0.033 | 0.073 | 1.83 | 2.70 | 0.91 |
| Radke–Prausnitz | 0.010 | 0.012 | 0.55 | 0.73 | 0.44 |
| CO2 adsorption at 30 °C | |||||
| Freundlih | 0.019 | 0.079 | 2.55 | 3.52 | 0.62 |
| Langmuir | 0.021 | 0.073 | 2.44 | 3.18 | 0.69 |
| Sips | 0.0057 | 0.011 | 0.72 | 0.87 | 0.35 |
| Toth | 0.0053 | 0.0082 | 0.50 | 0.62 | 0.30 |
| UNILAN | 0.015 | 0.049 | 1.94 | 2.56 | 0.58 |
| Radke–Prausnitz | 0.0052 | 0.0080 | 0.48 | 0.61 | 0.29 |
| Temp | a | b | n | SSE | HYBRID | ARE | MPSD | SAE |
|---|---|---|---|---|---|---|---|---|
| 0 °C | 0.191 | 0.802 | 0.504 | 0.00018 | 0.00013 | 0.058 | 0.069 | 0.060 |
| 10 °C | 0.140 | 0.637 | 0.518 | 0.0080 | 0.0094 | 0.46 | 0.65 | 0.36 |
| 20 °C | 0.096 | 0.541 | 0.521 | 0.010 | 0.012 | 0.55 | 0.73 | 0.44 |
| 30 °C | 0.068 | 0.449 | 0.530 | 0.0052 | 0.0080 | 0.47 | 0.61 | 0.29 |
| Parameter | Value | Unit |
|---|---|---|
| Q | 13 090 | J/mol |
| b0 | 0.490 | kPa−1 |
| n0 | 0.505 | |
| α | 0.24 | |
| a0 | 0.193 | mmol/g |
| χ | 10.49 |
Disclaimer/Publisher’s Note: The statements, opinions and data contained in all publications are solely those of the individual author(s) and contributor(s) and not of MDPI and/or the editor(s). MDPI and/or the editor(s) disclaim responsibility for any injury to people or property resulting from any ideas, methods, instructions or products referred to in the content. |
© 2024 by the authors. Licensee MDPI, Basel, Switzerland. This article is an open access article distributed under the terms and conditions of the Creative Commons Attribution (CC BY) license (https://creativecommons.org/licenses/by/4.0/).
Share and Cite
Kiełbasa, K.; Siemak, J.; Sreńscek-Nazzal, J.; Benaouda, B.; Roy, B.; Michalkiewicz, B. Carbon Dioxide Adsorption over Activated Biocarbons Derived from Lemon Peel. Molecules 2024, 29, 4183. https://doi.org/10.3390/molecules29174183
Kiełbasa K, Siemak J, Sreńscek-Nazzal J, Benaouda B, Roy B, Michalkiewicz B. Carbon Dioxide Adsorption over Activated Biocarbons Derived from Lemon Peel. Molecules. 2024; 29(17):4183. https://doi.org/10.3390/molecules29174183
Chicago/Turabian StyleKiełbasa, Karolina, Joanna Siemak, Joanna Sreńscek-Nazzal, Bestani Benaouda, Banasri Roy, and Beata Michalkiewicz. 2024. "Carbon Dioxide Adsorption over Activated Biocarbons Derived from Lemon Peel" Molecules 29, no. 17: 4183. https://doi.org/10.3390/molecules29174183
APA StyleKiełbasa, K., Siemak, J., Sreńscek-Nazzal, J., Benaouda, B., Roy, B., & Michalkiewicz, B. (2024). Carbon Dioxide Adsorption over Activated Biocarbons Derived from Lemon Peel. Molecules, 29(17), 4183. https://doi.org/10.3390/molecules29174183

