Next Article in Journal
Combined Theoretical and Experimental Investigations: Design, Synthesis, Characterization, and In Vitro Cytotoxic Activity Assessment of a Complex of a Novel Ureacellobiose Drug Carrier with the Anticancer Drug Carmustine
Next Article in Special Issue
C-C Bonding in Molecular Systems via Cross-Coupling-like Reactions Involving Noncovalently Bound Constituent Ions
Previous Article in Journal
The Antisolvent Precipitation of CuZnOx Mixed Oxide Materials Using a Choline Chloride-Urea Deep Eutectic Solvent
Previous Article in Special Issue
Relation between Halogen Bond Strength and IR and NMR Spectroscopic Markers
 
 
Font Type:
Arial Georgia Verdana
Font Size:
Aa Aa Aa
Line Spacing:
Column Width:
Background:
Article

Comparative Study of Two Spectral Methods for Estimating the Excited State Dipole Moment of Non-Fluorescent Molecules

by
Mihaela Iuliana Avadanei
1 and
Dana Ortansa Dorohoi
2,*
1
“Petru Poni” Institute of Macromolecular Chemistry, 41A Gr. Ghica Voda Alley, 700487 Iasi, Romania
2
Faculty of Physics, “Alexandru Ioan Cuza” University, 11 Carol Blvd., 700506 Iasi, Romania
*
Author to whom correspondence should be addressed.
Molecules 2024, 29(14), 3358; https://doi.org/10.3390/molecules29143358
Submission received: 29 May 2024 / Revised: 13 July 2024 / Accepted: 16 July 2024 / Published: 17 July 2024
(This article belongs to the Special Issue Chemical Bond and Intermolecular Interactions, 2nd Edition)

Abstract

The electronic absorption spectral characteristics of cycloimmonium ylids with a zwitterionic structure have been analyzed in forty-three solvents with different hydrogen bonding abilities. The two ylids lack fluorescence emission but are very dynamic in electronic absorption spectra. Using the maximum of the ICT band, the goal was to establish an accurate relationship between the shift of the ICT visible band and the solvent parameters and to estimate two of the descriptors of the first (the) excited state: the dipole moment and the polarizability. Two procedures were involved: the variational method and the relationships of the Abe model. The results indicate that the excited state dipole moment of the two methylids decreases in the absorption process in comparison with the ground state. The introduction of a correction term in the Abe model that neglects the intermolecular H-bonding interactions leads to a more accurate determination of the two descriptors. The strong solvatochromic response of both ylids has been further applied in distinguishing the solvents as a function of their specific parameters. Principal component analysis was applied to five selected properties, including the maximum of the charge transfer band. The results were further applied to discriminate several binary solvent mixtures.

Graphical Abstract

1. Introduction

The aim of this study is to analyze the results obtained when estimating the excited state dipole moment of some zwitterionic solute molecules that are spectrally active only in electronic absorption using two known methods: the variational method [1] applied to the solvatochromic results and the theoretical model developed by Takehiro Abe [2] to describe the solvent influence on the wavenumbers in the maxima of the electronic absorption bands of neutral organic molecules. This model was applied by the author’s team to estimate the dipole moments and polarizabilities in the excited states of naphthalene [3].
In 1981, T. Abe developed a new model for the solvent’s effects on the frequency shifts of electronic spectra of anions [4], considering systems containing large anion counters by cations and numerous solvent molecules, such as Janovsky complexes of the potassium salts of 1-acetonyl-1,3-dinitro-2,5-cyclohexadienide, and 4-acetonylidene-1,3-dinitro-2,5-cyclohexadienide.
The theories describing the solvent’s influence on the electronic (absorption and fluorescence) spectra [2,5] establish a series of correlations between the solute descriptors (in their electronic states responsible for the electronic band appearance) and the solvent parameters. These correlations were used when estimating the excited state dipole moment only for those molecules that were spectrally active both in electronic and fluorescence spectra [5,6,7,8,9,10]. The obtained values were, however, affected by the simplifying hypothesis in which the theories were developed. For example, in all theories regarding the solvent influence on the electronic spectra, the specific interactions between the molecules were neglected due to their complexity and local action. This type of interaction is taken into consideration only in empirical terms when added to the theoretically established ones.
Additionally, the other simplifying hypotheses used in each theory determine errors when estimating the excited descriptors of the solute molecules. The different expressions for the terms describing the long-range interactions in the simple liquids, such in [11,12,13,14], compared with [15,16,17,18], cause great differences between the estimated values of the excited states parameters [19,20,21,22], even for the cases of solutes showing both absorption and fluorescence electronic spectra.
For the molecules active only in the absorption spectra, a simple method [1] was developed based on solvatochromic determinations. In this method, the wavenumbers in the maximum of the solute absorption band were measured in a large number of solvents, and a multilinear correlation with the solvent parameters was established. The dependence (established by the theory of solutions) between the correlation coefficients of the linear dependence and the molecular descriptors of the solute were then used to estimate the excited state dipole moment. This method is based on McRae’s hypothesis, which states that the excited polarizability of the solute does not change its value in the absorption process [5,6]. The dependence of the excited state polarizability on the molecular dipole moments is established based on the solvatochromic study. The angle between the dipole moments of the solute in the electronic states of transition is varied until the excited state polarizability equalizes the ground state polarizability. This value of the angle is considered when corresponding to the absorption process and determines the value of the excited state dipole moment.
Because the variational method is based on a restrictive hypothesis, namely, the solute excited state polarizability is equal to the ground state one, we intended to verify the validity of this method for some molecules that are inactive in fluorescence and show absorption bands only, using an alternate procedure based on the Abe model.
The Abe model [2] establishes a series of correlations between the spectral characteristics of the solute and the solvents, based on which one can estimate, using statistical methods, the value of the excited state dipole moment. This theoretical model expresses the spectral shifts from the electronic spectra as being due only to universal interactions (neglecting the specific interactions) and also neglects the angle between the dipole moments of the solute in the electronic states responsible for the absorption process.
Although the two methods are developed for different simplifying hypotheses, we compare the results obtained for estimating the excited state dipole moment of some zwitterionic solutes when their descriptors in the ground electronic states are known.
For this purpose, two zwitterionic molecules from the pyridinium ylid class were chosen. The separated opposite charges of the two ylids were located on the heterocycle and on the carbanion, respectively [23,24]. The carbanion, carrying the negatively charged atom, can be mono- or disubstituted with electronegative atomic groups for increasing molecular stability. These molecular structures have a pronounced basic character and are able to participate in both universal and specific interactions with different solvents [24,25]. In hydroxy solvents, such as acids or alcohols, the pyridinium methylids participate in proton transfer processes between the -OH group of the solvent and their carbanion substituents. They are active only in the electronic absorption spectra and show a visible absorption band that is very sensitive to the solvent’s influence. Attributed to an intramolecular charge transfer (ICT) from the carbanion towards the heterocycle [24,25,26,27,28], this absorption band exhibits a great bathochromic shift when passing from polar to non-polar solvents and even disappears in acid solutions. This ICT process is, therefore, accountable for the lack of fluorescence emission.
A strong relationship between the solvent nature and the electron density has been observed to direct the reactions of pyridinium ylids with various reagents towards specific paths [29,30,31]. Pyridinium ylids are well-known carbon nucleophiles, and in aprotic solvents, they prefer to undergo 1,3-dipolar cycloadditions to afford N-heterocycles [29,30,31,32]. In protic solvents (ethanol or N,N-dimethylformamide), pyridinium ylids may either suffer an elimination reaction or may follow a double path, using 1,3-dipolar cycloaddition simultaneously with an addition–elimination reaction [30]. The protonation of zwitterion in alcohols is sometimes the first stage in the ring closure, leading to dihydrofuran [32] or can be responsible for inhibiting some reaction paths in other cases [30]. The nature of substituents at either the aromatic ring or carbanion influences the course of cycloaddition reactions or [3+2] cycloadditions [33,34,35,36,37]. So, analysis of the electronic properties of a solute, especially in strongly interacting solvents, must be performed with a minimum number of errors. Therefore, this study is very informative about the validity of the methods used in estimating the excited dipole moment of the solute in close relation to the parameters of the solvent.

2. Results and Discussions

2.1. Theoretical Bases

Spectral studies regarding the solvent’s influence on the electronic bands are conducted with diluted solutions (10−3–10−5 mol/L) of the spectrally active molecule (solutes) in solvents inactive in the searched spectral range. In these conditions, only the solute—solvent and solvent—solvent interactions influence the position of the electronic bands in the wavenumber scale. The distance between the solute molecules is long and their interactions are neglected in the theoretical description of the interaction energies. The existent theories developed for diluted solutions describe only the universal interactions between the solvent (considered as an infinite, homogeneous and polarizable dielectrics) and solute molecules [2,5,6]. The contribution of the universal interactions on the electronic band positions can be described by functions depending on the solvent electric permittivity, ε, and refractive index, n, of the type [15,16,17,18]; f ε = ε 1 ε + 2 and f n = n 2 1 n 2 + 2 .
When the universal (induction, polarization, dispersion) interactions are prevalent in solutions, the relations obtained in the existent theories can be transformed as multilinear functions of the type:
v ¯ c m 1 = v 0 c m 1 + C 1 f Ɛ + C 2 f n
In Equation (1), the free term indicates the wavenumbers in the isolated state of the spectrally active molecule. The next two terms (theoretically established) describe the contribution of the universal interactions between the solvent (considered as a continuous dielectric) and the solute molecule to the spectral shift of the electronic band.
The wavenumbers computed with relation (1) in the maximum of the electronic bands have different values from the experimental ones. In order to avoid this non-concordance, scientists introduced some empirical parameters [38,39,40,41] to describe the possible specific interactions from liquid solutions. The solvent parameters α (acidity parameter) and β (basicity parameter) are used to take into consideration specific interactions by hydrogen bonds when the solvent donates or receives protons are defined in [39,40]. The corresponding terms were added in relation (1).
v ¯ c m 1 = v 0 c m 1 + C 1 f Ɛ + C 2 f n + C 3 β + C 4 α
The specific interaction influence on the electronic band position is given in Equation (2) by the last terms when the solvent receives or donates a proton, respectively. The correlation coefficients from Equation (2) can be estimated by statistical means [15,16,17,18,25,26,27,28] using known solvent parameters and the wavenumbers obtained in the solvatochromic analysis.
The importance of this model in describing the solvatochromic behavior of the electronic spectra lies in the fact that the correlations coefficients C1 and C2 depend on the solute descriptors, as is shown in Equations (3) and (4) [25,26,27,28].
C 1 = 2 µ g ( µ g µ e c o s φ ) a 3 + 3 k T α g α e a 3
C 2 = µ g 2 µ e 2 a 3 2 µ g ( µ g µ e c o s φ ) a 3 3 k T α g α e a 3 + 3 2 α g α e a 3 I u I v I u + I v .
The notations used in these equations indicate the dipole moment, μ, the electric isotropic polarizability, α, the ionization potential, I, the temperature T, the angle φ between the molecular dipole moments in the two electronic states responsible for the visible band appearance, and the solute molecular radius, a.
The indices u and v refer to the solute and solvent molecules, and the indices g and e refer to the ground and excited state of the solute, respectively. The correlation coefficients C 1 and C 2 from Equations (3) to (4) are expressed as erg = 10−7 Joule, the dipole moments in ues·cm, the term 3kT in erg (k = 1.38·10−16 erg·K−1), and absolute temperature in K.
Very simple mathematical operations provide the following:
( C 1 + C 2 ) a 3 = µ g 2 µ e 2 + 3 2 I u I v I u + I v ( α g α e )
α g α e = 2 3 I u + I v I u I v C 1 + C 2 a 3 µ g 2 + µ e 2
Using the difference α g α e from (6), one can obtain Equation (7) from Equation (3):
2 k T I u + I v I u I v µ e 2 2 µ g µ e c o s φ + 2 µ g 2 C 1 a 3 + 2 K T I u + I v I u I v C 1 + C 2 a 3 µ g 2 = 0
In order to give real solutions for the excited dipole moment, μe, of the solute molecule, Equation (7) must have a discriminator, Δ, greater than zero.
= ( 2 µ g c o s φ ) 2 8 k T I u + I v I u I v 2 µ g 2 C 1 a 3 + 2 k T I u + I v I u I v C 1 + C 2 a 3 µ g 2
The solutions µ e 1,2 of Equation (7) depend on the angle φ, as it results from (8) and (9).
µ e 1,2 = 2 µ g c o s φ ± 4 k T I u + I v I u I v
The molecular descriptors (dipole moments, polarizability, and ionization potential) in the ground electronic state of the solute can be estimated by quantum mechanical procedures [42,43].
The values of the correlation coefficients C 1 and C 2 , determined in solvatochromic analyses, are not enough to solve Equations (3) and (4) with three unknown parameters (the excited state dipole moment and polarizability, and the angle φ between the dipole moments in the electronic states responsible for the absorption process).
McRae [3] supposes that the solute’s electric polarizability does not change its value in the absorption process. In this hypothesis, the system of the two equations can be solved with two variables: the excited state dipole moment and the angle φ . In order to obtain information about the excited state dipole moments of solute, the angle φ is varied until the excited state polarizability becomes equal to the ground state polarizability. The results obtained by the variation method [1,26,27] can be verified with the values given based on the model of pure liquid proposed by T. Abe [2].
The final equation of the Abe model shows that between the parameters A and B from (10) and (11), there exists a linear dependence, as expressed by relation (12).
A = µ g 2 ( v ) + 3 2 α g ( v ) I g ( v ) I g u h c ν s I g v + I g u h c ν s 2 3 k T µ g 2 v p + α ( v )
B = ν 0 ν s C + µ g 2 v + 3 2 α g ( v ) I g v I g u I g u I g v + I g u   α g ( u ) 2 3 k T µ g 2 v p + α ( v )
µ e 2 u µ g 2 u + α e u A = B
In relation (11), the constant C can be computed as follows [2]:
C = p R u v ( p ) 6
C = 16 π 3 N A 2 9 ρ v M v 2 3 M u ρ u 1 3 + M v ρ v 1 3 4 + M u ρ u 1 3 + 3 M v ρ v 1 3 4 + M u ρ u 1 3 + 5 M v ρ v 1 3 4 +
The following notations were made in relations (10)–(13): µ—electric dipole moment; α molecular polarizability; I—ionization potential; ν—wavenumber in the maximum of the electronic absorption band; M—molar mass; ρ—density; T—absolute temperature; u and v refer to the spectrally active molecule and to the solvent molecule, while g and e refer to the ground and excited electronic states, respectively; N A is Avogadro’s number; and k is the gaseous constant.
In dependence (12), B vs. A, the slope is the excited state polarizability of the solute molecule, and the intercept is the difference between the squares of the solute molecule dipole moments in the electronic states responsible for the light absorption process.

2.2. Spectral Analysis

The analyzed molecules show intense electronic absorption UV bands due to ππ* transitions and a visible electronic band of low intensity that is very sensitive to the solvent characteristics, which is attributed to a n → π* transition [23,24]. The visible electronic absorption band of PDCM and PCAnM shifts to the blue in protic solvents, and when the polarity of the solvent increases due to the charge transfer from carbanion to the heterocycle. Table 1 lists the parameters used in the calculation of the excited state dipole by the variational method. The Abe parameters and the wavenumbers of the ICT band in the studied solvents are listed in Table 2 and Table 3. The blue shift of the ICT band of PDCM and PCAnM as a function of the dielectric permittivity of the solvent is represented in Figure 1 and Figure 2, respectively.
The graphs in Figure 1 and Figure 2 provide evidence of the action of specific interactions in protic solvents for which the wavenumbers in the maximum of the ICT band are shifted towards higher values compared with the values measured in aprotic solvents.
The statistical analysis of experimental data of PDCM and PCAnM using the solvent parameters was conducted, showing that the dispersive interactions described by the term C 2 f n and the specific interactions in which the solvent accepts protons were not significant [27,28]. The following equations describe the solvent’s influence on the ICT band of PDCM and PCAnM:
v ¯ c m 1 = ( 21940 ± 130 ) + ( 1731 ± 210 ) f Ɛ + ( 1735 ± 120 ) α
(for PDCM);
v ¯ c m 1 = 22600 ± 143 + 1358 ± 401 f Ɛ + ( 1872 ± 203 ) α
(for PCAnM).
The correlation coefficient C1 that multiplies the f(ε) parameter depends on the solute descriptors, as is shown in Equation (3).
The molecular descriptors for PDCM and PCAnM were determined by Spartan’14 software [42]. Equations (6) and (7), written using these molecular descriptors, are listed in the last column of Table 1. The real solutions for the excited state dipole moments of PDCM and PCAnM are also listed in the last column of Table 1. The intramolecular charge transfer of electrons from the carbanion towards the heterocycle takes place along the ylid bond ( φ = 0 ° ). One can consider that the error in estimating the excited dipole moment of the studied molecules affects the first decimal.
Table 1. Parameters (computed with Spartan’14 and Density Functional EDF, 6-3131G*) used in the variational method for estimating the excited state dipole moment of the studied methylids.
Table 1. Parameters (computed with Spartan’14 and Density Functional EDF, 6-3131G*) used in the variational method for estimating the excited state dipole moment of the studied methylids.
MoleculeParameterValueEquation and Results
PDCMIu (eV)5.12
µ g   ( D ) 3.94 α e = 61.5333 0.1290 µ e 2
α g   ( A 3 ) 60.41 0.0156 µ e 2 7.88 µ e c o s φ   + 24.09663 = 0
C 1   ( c m 1 ) 1371 µ e = 3.07 D; φ = 0 °
a (A)2.7063
PCAnMIu (eV)5.24
µ g   ( D ) 4.67 α e = 65.7770 0.1290 µ e 2
α g   ( A 3 ) 63.71 0.0156 µ e 2 9.34 µ e c o s φ   + 37.5862 = 0
C 1   ( c m 1 ) 1257 µ e = 4.05 D; φ = 0 °
a (A)2.8507
The dipole moment in the ground state of methylids was considered in toluene (Iv = 8.72 eV). From Table 1, the results show that, due to the absorption of a visible photon, the methylid molecules are excited in an electronic state with smaller dipole moment. Taking into account the approximation in which the spectral theory of solution was developed, the above results can be considered valid.
In the second part of this research, the model proposed by Takehiro Abe was considered for estimating the dipole moment in the first excited state of PDCM and PCAnM. By using Equations (10) and (11) and constant C determined according to Equation (13), the Abe parameters A and B were calculated, and their values are listed in Table 2 and Table 3. Also, the maxima of the ICT band of PDCM and PCAnM are included in the last column of Table 2 and Table 3.
Table 2. Abe parameters and wavenumbers for the maximum of ICT visible band of PDCM.
Table 2. Abe parameters and wavenumbers for the maximum of ICT visible band of PDCM.
No.Solvent 10 44 C 10 12 A 10 36 B ν   ( c m 1 )
1Dioxane1.944.42379.3322,900
2p-Xylene0.794.36362.5422,520
3Benzene1.194.46381.3222,550
4CCl41.094.63481.6721,910
5Cyclohexane0.944.88512.0722,000
6n-Heptane0.624.65464.5322,080
7Mesitylene0.674.44382.6422,410
8Toluene0.953.68283.3322,720
9o-Xylene0.813.01257.3222,450
10Trichloroethylene1.951.90187.6322,500
11Chloroform1.3412776.5223,280
12Anisole0.931.3084.6423,040
131,2 Dichloroetane1.650.9672.5523,090
14Cyclohexanol0.991.0913.6724,100
15Chlorobenzene1.021.3899.3422,950
16Dichloromethane1.860.6640.6323,420
17n-Hexyl alcohol0.980.2316.9524,520
18n-Butyl alcohol1.170.73−1.5424,550
19Methyl acetate1.480.6332.2523,400
20Iso-Propyl alcohol1.480.58−12.1625,000
21Benzyl alcohol0.990.570.2124,770
22n-Propyl alcohol1.520.56−8.0024,950
23n-Octyl alcohol0.751.1016.8524,560
24Ethanol2.090.52−3.2224,970
25Methanol3.300.31−3.6225,230
26Pentanol0.930.87−12.5824,350
27Iso-Butyl alcohol1.150.55−1.4124,700
28Iso-Amyl acetate0.621.0553.3123,210
29Ethyl acetate1.070.7439.7423,300
30n-Butyl acetate0.720.9155.3423,020
31Water4.110.173.5525,420
32Pyridine1.370.19−2.7823,100
331,2 Propane diol1.560.39−4.8225,620
341,2 Ethane diol2.201.25−2.7525,560
351,3 Propane diol1.590.28−9.0225,650
36Methyl ethyl ketone1.200.3516.3023,500
37Acetone2.020.2615.2223,450
38Diacetone alcohol0.720.33−2.4924,500
39Formamide3.370.136.5124,190
40DMF1.330.198.3723,650
41Acetophenone0.850.3017.8623,370
42Acetonitrile2.400.136.5323,750
43DMSO1.620.189.2423,370
The data in Table 2 were obtained using the following parameters of PDCM: ν 0 = 21,940   c m 1 ;   ρ = 1.6149   g c m 3 ; I u = 5.12   e V ; µ g = 3.94   D ; α g = 60.41   A 3 ;   a n d   M = 237.26   u a m . The value of ν0 (resulting from the statistical analysis) approximates the wavenumber in the maximum of the ICT band in vacuum. Because the methylids change their structure at high temperatures [23], we used the value of ν0 obtained by statistical means in Equation (14) for computing Abe parameters using the solvent data (in Table 4) and the maximum of the ICT band in Table 2.
Table 3. Abe parameters and wavenumbers in the maximum of ICT visible band of PCAnM.
Table 3. Abe parameters and wavenumbers in the maximum of ICT visible band of PCAnM.
No.Solvent 10 44 C 10 12 A 10 36 B ν   ( c m 1 )
1Dioxane1.724.34426.3523,300
2p-Xylene0.714.28390.3823,110
3Benzene1.074.38434.5022,995
4CCl40.984.63481.6722,080
5Cyclohexane0.844.88512.0722,310
6n-Heptane0.564.65382.6422,900
7Mesitylene0.864.44382.6422,900
8Toluene0.863.25345.1423,120
9o-Xylene0.733.25330.7422,995
10Trichloroethylene1.094.29505.2222,910
11Chloroform1.191.2580.0823,680
12Anisole0.841.28103.1423,340
131,2 Dichloroetane1.460.9695.1823,090
14Cyclohexanol0.891.0717.2325,060
15Chlorobenzene0.911.1699.2823,370
16Dichloromethane1.630.6653.4123,560
17n-Hexyl alcohol0.690.93−28.7625,360
18n-Butyl alcohol1.050.650.7625,100
19Iso-Propyl alcohol1.320.56−8.7225,310
20Methyl acetate1.330.6350.3023,400
21Benzyl alcohol0.890.84−0.2425,270
22n-Propyl alcohol1.360.55−4.5225,290
23n-Octyl alcohol0.511.1013.6924,560
24Ethanol1.860.44−1.8725,370
25Methanol2.910.31−1.9625,530
26Pentanol0.841.0342.3624,350
27iso-Butyl alcohol1.030.65−2.6825,240
28Iso-Amyl acetate0.550.9663.4423,510
29Ethyl acetate1.690.7363.4323,730
30n-Butyl acetate0.650.9069.6823,370
31Water0.760.18−16.4226,410
32Pyridine1.230.180.7023,510
331,2 Propane diol1.390.409.4725,120
341,2 Ethane diol1.860.302.7525,380
351,3 Propane diol1.430.28−0.9025,410
36Methyl ethyl ketone1.040.3219.2323,720
37Acetone0.820.253.4023,950
38Diacetone alcohol0.710.339.1424,500
39Formamide2.990.135.5425,190
40Acetophenone0.770.3025.0023,370
41DMF1.280.1912.9923,650
42Acetonitrile21.360.1312.9923,750
43DMSO1.450.1811.6123,370
The data in Table 3 were obtained with the following parameters of PCAnM [14]: ν 0 = 22,600   c m 1 , ρ = 1.561 g c m 3 ; I u = 5.24   e V ; µ g = 4.67   D ; and α g = 63.71   A 3 ;   M = 268.165   u a m . The value of ν0 results from statistical analysis and approximates the maximum of the ICT band in vacuum. Similarly, with the PDCM case, the ν0 value obtained by statistical means in Equation (15) was considered as the value of the ICT wavenumber for the isolated molecule. The Abe parameters were computed with the solvent data from Table 5 and the maxima of the ICT band from Table 3.
Table 4. The solvent parameters for the Abe model.
Table 4. The solvent parameters for the Abe model.
No.Solvent µ g   ( D ) α g   ( Å 3 ) I g   ( e V ) M   ( g / m o l ) ρ   ( g c m 3 )
1Dioxane0.009.449.5288.111.417
2p-Xylene0.0014.358.52106.170.862
3Benzene0.0010.449.2578.110.868
4CCl40.0010.59.72153.821.594
5Cyclohexane0.0010.8511.084.160.779
6n-Heptane0.0013.6110.35100.20.683
7Mesitylene0.0016.128.76120.200.864
8Toluene0.3812.48.7292.140.867
9o-Xylene0.6414.258.56106.170.880
10Trichloroethylene0.809.759.45131.41.460
11Chloroform1.158.2311.50119.381.446
12Anisole1.3813.108.20108.140.995
131,2 Dichloroethane1.438.6810.49173.842.447
14Cyclohexanol1.4611.9410.0100.160.962
15Chlorobenzene1.5013.09.07112.561.110
16Dichloromethane1.606.6611.3284.931.330
17n-Hexyl alcohol1.6012.48.98102.1750.814
18n-Butyl alcohol1.668.889.9974.120.810
19Iso-Propyl alcohol1.666.679.9060.10.786
20Methyl acetate1.676.9910.5174.080.972
21Benzyl alcohol1.6711.898.26108.141.044
22n-Propyl alcohol1.686.6710.5260.100.803
23n-Octyl alcohol1.6816.19.8130.2270.827
24Ethanol1.695.0610.7046.070.789
25Methanol1.703.2110.8532.040.792
26Pentanol1.7011.5810.4288.150.814
27Iso-Butyl alcohol1.769.0710.1274.120.802
28Iso-Amyl acetate1.7715.189.90130.180.884
29Ethyl acetate1.789.7010.1188.110.902
30n-Butyl acetate1.8413.4210.00116.160.883
31Water1.851.5012.59181.000
32Pyridine2.202.419.3479.10.978
331,2 Propane diol2.278.0110.0076.101.036
341,2 Ethane diol2.285.4810.5562.071.11
351,3 Propane diol2.536.5010.4276.101.060
36Methyl ethyl ketone2.768.289.5472.110.805
37Acetone2.806.279.8958.080.971
38Diacetone alcohol3.2412.49.6116.160.938
39Formamide3.734.0810.2045.041.133
40Acetophenone3.8114.379.77120.141.028
41DMF3.867.919.1273.940.944
42Acetonitrile3.924.3012.2041.050.786
43DMSO4.18.09.1078.131.100
Table 5. The solvent parameters.
Table 5. The solvent parameters.
No.Solventεrnαβπ*
1Dioxane2.211.42240.000.370.49
2p-Xylene2.281.49580.000.120.43
3Benzene2.271.50110.000.100.59
4Carbon tetrachloride2.241.46010.000.100.28
5Cyclohexane2.021.42660.000.000.00
6n-Heptane1.921.38550.000.00−0.08
7Mesitylene2.401.4990.000.130.41
8Toluene2.381.49690.000.110.49
9o-Xylene2.601.50540.000.160.48
10Trichloroethylene3.401.47670.000.050.48
11Chloroform4.811.44590.200.100.53
12Anisole4.331.5170.000.320.73
131,2 Dichloroethane4.501.53890.100.100.48
14Cyclohexanol13.41.4650.660.840.45
15Chlorobenzene5.601.52410.000.070.71
16Dichloromethane9.931.42420.130.100.82
17n-Hexyl alcohol13.31.4180.550.320.13
18n-Butyl alcohol17.511.3930.840.840.47
19Methyl acetate6.681.36140.000.420.60
20Iso-Propyl alcohol19.921.37720.760.840.48
21Benzyl alcohol13.31.53960.600.520.98
22n-Propyl alcohol20.451.38560.840.900.52
23n-Octyl alcohol10.31.4290.540.320.14
24Ethanol24.551.36140.860.750.54
25Methanol32.631.33140.980.660.6
26Pentanol14.81.4090.540.490.15
27Iso-Butyl alcohol18.31.39430.540.310.15
28Iso-Amyl acetate5.31.3980.000.450.46
29Ethyl acetate6.081.37230.000.450.55
30n-Butyl acetate5.11.3950.000.450.46
31Water80.041.331.200.501.20
32Pyridine12.51.50930.000.70.9
331,2 Propane diol23.41.43240.830.780.76
341,2 Ethane diol411.4320.900.520.92
351,3 Propane diol351.43980.800.770.84
36Methyl ethyl ketone181.37930.060.480.60
37Acetone20.561.38550.080.480.62
38Diacetone alcohol18.21.42320.000.450.72
39Formamide1091.44750.710.480.97
40N,N-Dimethylformamide181.43050.000.760.88
41Acetophenone36.711.5340.040.490.81
42Acetonitrile35.941.34410.190.400.66
43Dimethyl sulfoxide46.451.47930.000.761.00
The dependencies B vs. A of the Abe parameters for PDCM and PCAnM are plotted in Figure 3 and Figure 4 for all solvents from Table 2 and Table 3, respectively. One can see that the points corresponding to the protic solvents are located at the beginning of the line and are clearly separated from the rest of the solvents.
As observed in Figure 3, for PDCM, the linear fit of experimental data gives Equation (16) for aprotic solvents:
B = 23.72 ± 4.02 + 96.88 ± 3.03 A
From (16), the following is obtained: µ e 2 µ g 2 = 23.72 . The dipole moment of PDCM in the ground state in toluene is computed as µ g = 3.94   D ; therefore, µ e 2 = 8.196   D . This value is unacceptable from a mathematical point of view. By using the ground state dipole moment of PDCM calculated by Spartan’14 in water, µ g = 6.28   D , and it results in µ e = 3.96   D . Therefore, the Abe model applied to PDCM in aprotic solvents gives a lower value for the dipole moment in the excited state than the value calculated for the ground state in water.
For PDCM in protic solvents, the linear fit of experimental data in Figure 3 gives Equation (17):
B = 1.85 ± 4.02 + 2.98 ± 3.03 A
In this case, the value of μg calculated for water (6.28 D) must be used for determining the dipole moment in the excited state, μe, where the condition µ e 2 µ g 2 = 1.85   D is valid. It results µ e = 6.13   D , a value that is lower than the dipole moment in the ground state, which is in accordance with the experimental data. The small variation in the dipole moment of PDCM in protic solvents during absorption could be explained by the intermolecular hydrogen bond formation with the solvent.
An analysis of the plots in Figure 4 for PCAnM gives the linear fitting for aprotic solvents as follows:
B = 14.03 ± 4.02 + 98.88 ± 3.03 A
For µ e 2 µ g 2 = 14.03 and by using the value µ g = 4.67   D (the dipole moment of PCAnM in the ground state calculated in toluene), the µ e = 2.79   D value is determined. Here, the Abe model applied for aprotic solvents gives a dipole moment in the excited state that is lower than that in the ground state. This result is in agreement with the intramolecular charge transfer that occurs during absorption.
For PCAnM in protic solvents, the linear fit of experimental points is described using Equation (19):
B = 9.54 ± 2.55 + 18.92 ± 4.48 A
Using the calculated value of the ground state dipole moment in water by Spartan’14, which is µ g = 5.61   D , the dipole moment in the excited state of PCAnM is obtained as µ e = 4.68   D .
By analyzing the above results for both PDCM and PCAnM, the Abe model shows that the polarizability does not remain unchanged in the absorption process. Instead, a large difference is observed in polarizability between the ground and the excited state.
Although in the Abe model, the specific interactions are neglected, and the electric dipole moments in the transition states are considered as collinear, the results obtained on its base indicate a difference between the electric polarizabilities in transition electronic states. Therefore, the variational method could be only estimative in the absence of a third possibility for estimating the dipole moment in the excited state of molecules with only absorption spectra.
Figure 3 and Figure 4 also suggest that the Abe model does not correctly describe the influence of the protic solvents on the wavenumbers in the maximum of the visible absorption band of zwitterionic molecules, such as methylids.
The results of the statistical analysis of the experimental data based on Equation (2) were used in order to eliminate the influence of the specific interactions on the wavenumber of the visible ICT band of PDCM and PCAnM. Relations (14) and (15), obtained in statistical analysis, allowed the contribution of these interactions to the spectral shifts in hydroxy solvents to be estimated.
Accordingly, the correlation coefficients calculated for PDCM and PCAnM are given in Equations (14) and (15). Using the values of C4 and the empirical coefficient α, the contribution of the hydrogen bond between the protic solvents and the methylids, ν s p . was determined. The values of ν s p are included in the last column in Table 6 and Table 7.
Next, the ν u n i v parameter was introduced as being the difference between the measured wavenumber of the maximum in the ICT band and the spectral shift ν s p due to the specific interactions of intermolecular hydrogen bonding. The ν u n i v values contain only the contribution of the universal interactions to the ICT band wavenumber. The maximum of the ICT band that does not contain the spectral shift arising from specific interactions, i.e., ν u n i v , is listed in the last column of Table 6 and Table 7.
Table 6. Abe parameters for PDCM in hydroxy solvents.
Table 6. Abe parameters for PDCM in hydroxy solvents.
No.Solventα ν s p . 10 44 C 10 12 A 10 36 B ν u n i v .   ( c m 1 )
14Cyclohexanol0.6611450.991.1759.9123,224
17n-Hexyl alcohol0.8013880.770.9853.9623,132
18n-Butyl alcohol0.8414571.170.7741.0023,093
19Iso-Propyl alcohol0.7613201.480.6121.2823,680
21Benzyl alcohol0.6010410.990.9035.3423,730
22n-Propyl alcohol0.8414571.520.6027.7723,493
23n-Octyl alcohol0.7713360.570.5271.4223,224
24Ethanol0.8614922.090.4827.3323,478
25Methanol0.9817003.300.4916.5023,530
26Pentanol0.8414570.9430.4759.2223,893
27Iso-Butyl alcohol0.6911971.160.7136.0423,503
31Water1.1720304.110.183.6423,570
331,2-Propane diol1.1019081.560.5013.6123,410
341,2-Ethane diol0.9015622.200.3112.7023,998
351,3-Propane diol1.2121001.590.3114.5523,520
38Diacetone alcohol0.6511280.780.3512.8323,372
39Formamide0.7113203.370.149.6822,960
Table 7. Abe parameters for PCAnM in hydroxy solvents.
Table 7. Abe parameters for PCAnM in hydroxy solvents.
No.Solventα ν s p . 10 44 C 10 12 A 10 36 B ν u n i v .   ( c m 1 )
14Cyclohexanol0.6612290.881.1375.7723,831
17n-Hexyl alcohol0.8014901.171.0077.0423,870
18n-Butyl alcohol0.8415641.050.7155.3823,536
19Iso-Propyl alcohol0.7614151.330.5932.1223,895
21n-Benzyl alcohol0.6011170.890.8842.7524,153
22n-Propyl alcohol0.8415641.360.6038.6923,726
23n-Octyl alcohol0.7714340.511.49130.2723,126
24Ethanol0.8616001.860.4830.9523,770
25Methanol0.9818252.920.3322.4823,705
26Pentanol0.8415640.840.9498.4922,786
27Iso-Butyl alcohol0.6912851.030.6937.2723,955
31Water1.1721797.630.1710.8724,231
331,2-Propane diol1.1020481.380.4440.9623,072
341,2-Ethane diol0.9016761.960.3223.1623,704
351,3-Propane diol1.2122531.420.3227.1723,157
38Diacetone alcohol0.6512100.710.3527.3123,290
39Formamide0.7113222.990.139.3123,868
Using the obtained values ν u n i v . for the maximum of the ICT band of PDCM and PCAnM that does not contain the contribution of specific interactions, ν s p , the Abe parameters were recalculated. Therefore, the contribution of specific interactions was eliminated from the values of the new A and B parameters. With these values, plotted in Figure 5 and Figure 6 for PDCM and PCAnM, respectively, the dipole moment in the excited state and the polarizability were estimated for both methylids.
The graphs in Figure 5 and Figure 6 demonstrate the applicability of the Abe model to solutions where the specific interactions have a low or no contribution at all.
A very good linear dependence between the Abe parameters B and A was obtained in these conditions for both PDCM and PCAnM. Moreover, by using the Abe model to estimate the dipole moment in the excited state, values were obtained that were lower than those in the ground state. These values are in agreement with the variational model and with the experimental hipsochromic shift of the ICT band in protic and polar solvents compared to the non-polar solvents.
The Abe model provides evidence of the variations in polarizability during absorption of visible light. For both PDCM and PCAnM, the estimated values of the excited state polarizability (in the limits of this model) are higher than those in the ground state. In the case of protic solvents, the methylids that are intermolecularly H-bonded with the solvent molecules have a polarizability in the excited state smaller than that in the ground state.

2.3. The Ability of PDCM and PCAnM to Discriminate the Solvents

Based on the solvatochromic response of the ICT band, we further analyzed the ability of PDCM and PCAnM to discriminate the solvents, using the principal component analysis (PCA) as a statistical method [44,45,46,47]. The solvatochromic response matrix was constructed from the wavenumber maximum of the ICT band, ν ~ , and the f(ε) α, β and π* parameters of the solvent extracted from the above-reported study. In the first stage, all forty-three solvents were used as the learning matrix.
When the whole set of the sensing parameters was subjected to PCA, the scree plot showed that the first two principal components out of five covered approx. 85% of the total variance of the data for both PDCM and PCAnM. The first principal component accounted for about 66%, while the second component carried around 18% of the variance data. By repeatedly narrowing the set of the solvent parameters, we obtained the best segregation when only ν ~ , f(ε) and α were subjected to PCA. As illustrated in Figure 7, the first two components had eigenvalues of more than 0.95 for both PDCM and PCAnM. The first component was dominant and covered more than 85% of the total variance of the data for PDCM and 79% for PCAnM; the second one accounted for ≈12%, and the third one represented 2% and 7%, respectively.
The two-dimensional plots in Figure 7 for the first two principal components provide several well-separated clusters for alcohols, acetates, chlorine solvents, or diols. In each area, the corresponding solvents generate distinct solvatochromic patterns. Water stood as an outlier irrespective of which set of parameters was used. Methyl ethyl ketone, pyridine or acetophenone formed a distinct cluster, as they produced similar responses to the ICT band. Similar PCA results were obtained when α was replaced with β. In this context, we concluded that, for these kinds of zwitterionic molecules, the most sensitive elements for identification and discrimination of the solvent type from a large set of data that work with the wavenumber of the ICT band are the hydrogen donating and accepting abilities of the solvents.
Next, we tested the performance of PDCM and PCAnM as solvatochromic sensors for identifying binary solvent mixtures from the rest of the studied solvents. The ethylene–glycol–dioxane mixture (EG + dioxane) was chosen for PDCM, where the solvent composition, the dielectric permittivity, and the maximum of the ICT band for every volume ratio were taken from a previous study [48]. We extended the list of the need parameters by calculating f(ε), α, β, and π* of each ratio in the solvent mixture. The final set of parameters for binary solvents prepared for PCA discriminatory investigation is reported in Table 8.
The water and ethanol (W + EtOH) and water and methanol (W + MeOH) alcohol mixtures were chosen from a previously reported study for PCAnM, with different volume ratios [28]. Table 9 gives the composition and the solvent parameters for PCAnM in the two alcohol mixtures.
Table 8. The ethylene glycol volume fraction, xEG, the parameters of the ethylene glycol–dioxane mixtures, and the maximum of the ICT band of PDCM.
Table 8. The ethylene glycol volume fraction, xEG, the parameters of the ethylene glycol–dioxane mixtures, and the maximum of the ICT band of PDCM.
No. crtxEG aA bΒ bπ* bf(ε) b ν ~ P D C M  a
1 000.370.550.2857122,640
2 0.050.0450.37750.56850.4444422,700
3 0.10.090.3850.5870.5714322,810
4 0.20.180.40.6240.7272723,090
5 0.30.270.4150.6610.8013223,360
6 0.40.360.430.6980.8369624,040
7 0.50.450.4450.7350.8654724,305
8 0.60.540.460.7720.885524,570
9 0.70.630.4750.8090.924,760
10 0.80.720.490.8460.9120224,980
11 0.90.810.5050.8830.9206325,210
12 10.90.520.920.9302325,560
a value taken from Ref. [48]; b values calculated in this work.
Table 9. The water volume xwater in the water + ethanol, and water + methanol binary solvents, the corresponding solvents parameters, and the maximum of the ICT band of PCAnM [28].
Table 9. The water volume xwater in the water + ethanol, and water + methanol binary solvents, the corresponding solvents parameters, and the maximum of the ICT band of PCAnM [28].
No. crt.Binary Solventxwaterαβπ*f(ε) ν ~ P C A n M
1water + ethanol 00.830.980.510.22125,370
2 0.10.840.960.570.88825,460
3 0.20.830.930.630.89925,570
4 0.30.820.920.680.90425,682
5 0.40.80.910.730.91225,760
6 0.50.790.90.770.92125,840
7 0.60.770.890.820.9325,880
8 0.70.740.880.90.93925,920
9 0.80.670.8710.94825,946
10 0.90.590.971.110.95625,965
11 10.51.261.130.20425,980
12water + methanol0.10.741.120.640.92325,608
13 0.20.741.090.70.93125,685
14 0.30.741.060.760.93825,750
15 0.40.721.040.820.94325,810
16 0.50.71.030.880.94825,854
17 0.60.661.010.950.95125,890
18 0.70.631.011.010.95425,918
19 0.80.591.061.060.95825,942
20 0.90.541.091.110.96125,965
21 10.491.231.140.20425,980
The response pattern of PDCM and PCAnM with binary mixtures reported in Table 8 and Table 9, along with the whole set of forty-three solvents, are visualized in the PCA plots in Figure 8 and Figure 9. The first two principal components of PDCM and PCAnM were 85% and 82%, respectively, from the total variance when the whole set of sensing elements was used in the analysis (Figure 8A and Figure 9A). The pattern of the EG + dioxane mixture in PDCM in Figure 8A spreads along the two quadrants of the plot. A similar distribution was obtained for the W + EtOH and W + MeOH points for PCAnM (Figure 9A). At first sight, the location of these clusters seemed to be determined by an equilibrium between the protonation of the ylide and the proton-donating ability of the solvent, and this phenomenon was clearly observed in the binary mixtures.
Still, the sensitivity of either PDCM or PCAnM to the ratio between the two solvents in the binary mixture decreased when the π* polarizability parameter was removed from the analysis (Figure 8B and Figure 9B). This trend is even better highlighted for PCAnM (Figure 9B), where the points in the W + EtOH and W + MeOH clusters cannot be individually identified due to the high overlap. So, the discrimination power is less affected when the solvent polarizability is not included in the analysis of a polar protic—aprotic solvent mixture. When a mixture of two strong protic solvents is investigated, the discrimination power of the solute is lost if the polarizability of the solvent is removed. This points to the fact that, for zwitterionic molecules, the solvatochromic response, especially to strong interacting solvents, is a complex function of intermolecular proton transfer processes and polarization phenomena.
When a sufficiently large set of sensing elements is used, the two methylids, PDCM and PCAnM, are able to distinguish different types of mixtures with a complex composition and at any volume ratio with high accuracy. This sensitivity might be applied to the detection of harmful reagents in contaminated waters or in organic solvents.

3. Materials and Methods

Two carbanion disubstituted pyridinium methylids were chosen to verify the applicability of the spectral procedures to estimate the excited dipole moments of the solute molecules.
The salt method [23] was used for their preparation. Both pyridinium methylid’s structural features and purity were checked by spectral (1H-NMR and IR) and chemical methods. The structural formulae of the studied methylids are given in Scheme 1.
Some information about the molecular descriptors and also some values for wavenumbers in the maximum of the ICT visible band in a part of solvents are available from the literature [27,28] for the chosen carbanion and disubstituted pyridinium methylids for PDCM and PCAnM. For this study, the number of solvents in which the visible spectrum is recorded was increased using the liquids that solve the solutes, and which have known parameters asked for applying the Abe model.
The electronic absorption spectra were recorded with a Specord UV Vis spectrophotometer Carl Zeiss Jena with a data acquisition system. The wavenumbers in the maximum of the visible absorption band with ICT were measured with a precision of about ± 5   c m 1 in 43 solvents with spectral purity.
The data for the molecular descriptors of the studied molecules are given in [27,28]. The solvent parameters used in our research are listed in Table 4 and Table 5.
The solvent parameters listed in Table 4 and Table 5 were used when computing the Abe parameters, A and B, for the studied methylids and to make a statistical analysis based on relation (2). As it is shown in ref. [41], the π* parameter linearly depends on the solvent functions f(ε) and f(n) and was neglected in this study.

4. Conclusions

The aim of this study is to decide if the two described models can be applied in estimating the excited state dipole moment of molecules that are spectrally active only in absorption and lack fluorescence. Both models used to estimate the dipole moment in an excited state were developed from simplified hypotheses, and the obtained results can be considered as being only informative.
In spite of the different hypotheses introduced in both models, in order to avoid the complexity of the liquid state, a common conclusion can be drawn, namely, the fact that the dipole moment in the excited state of both methylids decreases in the visible photon absorption. These results are in agreement with the transition of the electronic charge from the carbanion to the heterocycle.
Important differences between the two methods used to estimate the excited dipole moment of the studied zwitterionic molecules appear when characterizing the polarizability of the excited state. The restrictive hypothesis that the electric polarizability of one molecule does not change (or changes in neglectable quantities) in the visible photon absorption was confirmed by the results obtained with the Abe procedure, which indicates the increase in electric polarizability by excitation for the case of solutions achieved in non-protic solvents.
In aprotic solvents, the polarizability of methylids in the excited state computed by the Abe model is higher than in the ground state, while the variational model supposes that the polarizability remains unchanged during absorption in the visible domain.
When the supplementary contribution of the specific interactions is eliminated, the Abe model gives very good linear dependence between the calculated parameters A and B and also provides the values for both the dipole moment and the polarizability in an excited state.
In order to decide what method is applicable to estimate the excited state dipole moments of the non-fluorescent molecules, more studies must be made both with different solute molecules and a greater number of solvents with different physical-chemical parameters.
Finally, the sensitive solvatochromic responses of PDCM and PCAnM were tested for discriminating solvents and binary solvent mixtures. The principal component analysis demonstrates the ability of the studied methylids to participate in proton changes in protic solvents and also to distinguish between different types of mixtures (with a complex composition and at any volume ratio) with high accuracy.

Author Contributions

Conceptualization, D.O.D. and M.I.A.; methodology, D.O.D.; validation, D.O.D.; formal analysis, D.O.D. and M.I.A.; investigation, D.O.D..; resources, D.O.D.; data curation, D.O.D. and M.I.A.; writing—original draft preparation, D.O.D.; writing—review and editing, D.O.D.; visualization, D.O.D. and M.I.A.; supervision, D.O.D. All authors have read and agreed to the published version of the manuscript.

Funding

This research received no external funding.

Institutional Review Board Statement

Not applicable.

Informed Consent Statement

Not applicable.

Data Availability Statement

The data presented in this study will be available on request from the corresponding author.

Conflicts of Interest

The authors declare no conflicts of interest.

References

  1. Dorohoi, D.O. Excited state molecular parameters determined by spectral means. Ukr. J. Phys. 2018, 63, 701–708. [Google Scholar] [CrossRef]
  2. Abe, T. Theory of solvent effects on molecular electronic spectra. Frequency shifts. Bull. Chem. Soc. Jpn. 1965, 38, 1314–1318. [Google Scholar] [CrossRef]
  3. Abe, T.; Amako, I.; Nishioka, T.; Azumi, H. The dipole moments and polarizabilities in the excited states of naphthalene from spectral shifts. Bull. Chem. Soc. Jpn. 1966, 39, 845–847. [Google Scholar] [CrossRef]
  4. Abe, T. Theoretical treatment of solvent effects on frequency shifts of electronic spectra of anions. Bull. Chem. Soc. Jpn. 1981, 54, 327–334. [Google Scholar] [CrossRef]
  5. McRae, E.G. Theory of Solvent Effects on Molecular Electronic Spectra. Frequency Shifts. J. Phys. Chem. 1957, 61, 562–572. [Google Scholar] [CrossRef]
  6. Kawski, A. Ground and excited state dipole moments of 6-propionyl-2-(dimethyl amino)-naphthalene determined by solvatochromic shifts. Z. Naturforsch. 1999, 54, 379–381. [Google Scholar] [CrossRef]
  7. Gahlaut, R.; Tewari, N.; Bridhkoti, J.P.; Joshi, N.K.; Joshi, H.C.; Pant, S. Determination of ground and excited states dipole moments of some naphthols using solvatochromic shift method. J. Mol. Liq. 2011, 163, 141–146. [Google Scholar] [CrossRef]
  8. Zakerhamidi, M.S.; Moghadam, M.; Ghanadzadeh, A.; Hosseini, S. Anisotropic and isotropic solvent effects on the dipole moment and photophysical properties of rhodamine dyes. J. Lumin. 2012, 132, 931–937. [Google Scholar] [CrossRef]
  9. Kawski, A. On the estimation of excited state dipole moments from solvatochromic shifts of absorption and fluorescence spectra. Z. Naturforsch. A 2002, 57, 255–262. [Google Scholar] [CrossRef]
  10. Kawski, A.; Bojarski, P. Comments on the determination of excited state dipole moment of molecules using the method of solvatochromism. Spectrochim. Acta A 2011, 82, 527–528. [Google Scholar] [CrossRef]
  11. Mataga, N.; Kaifu, Y.; Koizumi, M. The solvent effect on fluorescence spectrum. Change of solvit-solvent interactions during the life time of excited solute molecule. Bull. Chem. Soc. Jpn. 1955, 28, 690–691. [Google Scholar] [CrossRef]
  12. Mataga, N.; Kaifu, Y.; Koizumi, M. Solvent effects upon fluorescence spectra and dipolemoments of excited states. Bull. Chem. Soc. Jpn. 1956, 29, 465–470. [Google Scholar] [CrossRef]
  13. Lippert, E. Dipolmoment und elektronenstruktur von angeregten molekülen. Z. Naturforsch. A Phys. Sci. 1955, 10, 541–545. [Google Scholar] [CrossRef]
  14. Kapturkiewicz, A.; Herbich, J.; Karpiuk, J.; Nowacki, J. Intramolecular radiative and radiationless charge recombination processes in donor-acceptor carbazole derivatives. J. Phys. Chem. 1997, 101, 2332–2344. [Google Scholar] [CrossRef]
  15. Hilliard, L.J.; Foulk, D.S.; Gold, H.S.; Rechisteiner, C.F. Effects of solute-solvent interactions on electronic spectra-a predictive analysis. Anal. Chim Acta-Comp Tech. Optim. 1981, 5, 319–327. [Google Scholar] [CrossRef]
  16. Gulseven Sidir, Y.; Sidir, I.; Beker, H.; Tasal, E. UV spectral changes for some azo-compounds in the presence of different solvents. J. Mol. Liq. 2011, 162, 148–154. [Google Scholar] [CrossRef]
  17. Sidir, I.; Sari, T.; Gulseven Sidir, Y.; Beker, H. Synthesis, solvatochromism and dipole moment in ground and excited states of substituted phenol derivative fluorescent shift base compounds. J. Mol. Liq. 2022, 346, 17075. [Google Scholar] [CrossRef]
  18. Sidir, I.; Gulseven Sidir, Y.; Demiray, F.; Beker, H. Estimation of ground and excited states dipole moments of α-hydroxy-phenyl hydrazone derivatives. J. Mol. Liq. 2014, 197, 386–394. [Google Scholar] [CrossRef]
  19. Pantil, S.K.; Wari, N.M.; Yohannan Panicker, C.; Inamdar, S.R. Solvatochromic study of coumarin 545 in alcohols for determination of ground and excited state dipole moments. Int. J. Adv. Res. 2013, 1, 616–626. [Google Scholar]
  20. Divac, V.M.; Sakic, D.; Weitner, T.; Gabricevic, M. Solvent effect on the absorption and fluorescence spectra of Zaleplon. Determination of ground and excited dipole moments. Spectrochim. Acta Part A Mol. Biomol. Spectrosc. 2019, 212, 356–362. [Google Scholar] [CrossRef]
  21. Pantil, M.K.; Kotresh, M.G.; Inamdar, S.R. A combined solvatochromic shift and TDDFT study probing solute-solvent interactions in the fluorescent Alexa Fluor 350 dye: Evaluation of ground and excited state dipole moments. Spectrochim. Acta Part A Mol. Biomol. Spectrosc. 2019, 215, 142–152. [Google Scholar] [CrossRef] [PubMed]
  22. Tiwari, K.; Arora, P.; Pandey, N.; Pandey, P.; Joshi, H.C.; Pant, S. Experimental and computational approaches on dipole moment of 5-aminoisoquinoline. J. Mol. Liq. 2014, 200, 460–464. [Google Scholar] [CrossRef]
  23. Zugravescu, I.; Petrovanu, M. N-Ylid Chemistry; McGraw Hill: New York, NY, USA, 1976. [Google Scholar]
  24. Dorohoi, D.O. Electronic spectra of N-ylids. J. Mol. Struct. 2004, 704, 31–43. [Google Scholar] [CrossRef]
  25. Babusca, D.; Morosanu, C.; Dorohoi, D.O. Study of specific interactions between zwitterionic compounds and protic solvents. Spectrochim. Acta A 2017, 172, 58–64. [Google Scholar] [CrossRef] [PubMed]
  26. Morosanu, A.C.; Gritco-Todirascu, A.; Creanga, D.E.; Dorohoi, D.O. Computational and solvatochromic study of pyridinium-acetyl-benzoyl-methylid (PABM). Spectrochim. Acta A 2018, 189, 307–315. [Google Scholar] [CrossRef] [PubMed]
  27. Dorohoi, D.O.; Creanga, D.E.; Dimitriu, D.G.; Morosanu, A.C.; Gritco-Todirascu, A.; Mariciuc, G.G.; Puica Melniciuc, N.; Ardelean, E.; Cheptea, C. Computational and spectral means for characterizing the intermolecular interactions in solutions and for estimating excited state dipole moment of solute. Symmetry 2020, 12, 1299. [Google Scholar] [CrossRef]
  28. Dorohoi, D.O.; Gosav, S.; Morosanu, A.C.; Dimitriu, D.G.; Apreotesei, G.; Gosav, T. Molecular descriptors-spectral property relations for characterization molecular interactions in binary and ternary solutions. Symmetry 2023, 15, 2075. [Google Scholar] [CrossRef]
  29. Morris, W.; Lorance, E.D.; Gould, I.R. Understanding the solvent contribution to chemical reaction barriers. J. Phys. Chem. A 2019, 123, 10490–10499. [Google Scholar] [CrossRef] [PubMed]
  30. Dontsova, N.E.; Nesterov, V.N.; Shestopalov, A.M. Effect of solvent nature on the regioselectivity of the reactions of pyridinium ylides with E-1,2-di(alkylsulfonyl)-1,2-dichloroethene. From the reaction of 1,3-dipolar cycloaddition to the reaction of nucleophilic addition-elimination (AdNeE 1,5). Tetrahedron 2013, 69, 5016–5021. [Google Scholar] [CrossRef]
  31. Bonte, S.; Ghinea, I.O.; Dinica, R.; Baussanne, I.; Demeunynck, M. Investigation of the pyridinium ylide—Alkyne cycloaddition as a fluorogenic coupling reaction. Molecules 2016, 21, 332. [Google Scholar] [CrossRef]
  32. Wang, Q.F.; Song, X.K.; Chen, J.; Yan, C.G. Pyridinium ylide-assisted one-pot two-step tandem synthesis of polysubstituted cyclopropanes. J. Comb. Chem. 2009, 11, 1007–1010. [Google Scholar] [CrossRef]
  33. Wang, Q.F.; Hou, H.; Hui, L.; Yan, C.G. Diastereoselective synthesis of trans-2,3-dihydrofurans with pyridinium ylide assisted tandem reaction. J. Org. Chem. 2009, 74, 7403–7406. [Google Scholar] [CrossRef]
  34. Dong, S.; Fu, X.; Xu, X. [3+2]-Cycloaddition of catalytically generated pyridinium ylide: A general access to indolizine derivatives. Asian J. Org. Chem. 2020, 9, 1133–1143. [Google Scholar] [CrossRef]
  35. He, X.L.; Wen, Y.W.; Li, H.; Qian, S.; He, M.; Song, Q.; Wang, Z. Diastereoselective synthesis of dihydrobenzofuran-fused spiroindolizidines via double-dearomative [3+2] cycloadditions. J. Org. Chem. 2023, 88, 493–503. [Google Scholar] [CrossRef]
  36. Kumari, A.; Patanvadiya, D.J.; Jain, A.; Patra, R.; Paranjothy, M.; Rana, N.K. Pyridinium ylide-mediated diastereoselective synthesis of spirocyclopropanyl-pyrazolones via cascade Michael/substitution reaction. J. Org. Chem 2024, 88, 8230–8242. [Google Scholar] [CrossRef]
  37. Demidov, M.R.; Osyanin, V.A.; Osipov, D.V.; Klimochkin, Y.N. Three-component condensation of pyridinium ylides, β-ketonitriles, and aldehydes with divergent regioselectivity: Synthesis of 4,5-dihydrofuran-3- and 2H-pyran-5-carbonitriles. J. Org. Chem. 2021, 86, 7460–7476. [Google Scholar] [CrossRef]
  38. Kamlet, M.J.; Abboud, J.L.M.; Taft, R.W. An examination of linear solvation energy relationships. In Progress in Physical Organic Chemistry; Taft, R.W., Ed.; Interscience, John Wiley and Sons: New York, NY, USA, 1981; Volume 13. [Google Scholar]
  39. Kamlet, M.J.; Abboud, J.L.M.; Abraham, M.H.; Taft, R.W. Linear solvation energy relationships. 23. A comprehensive collection of the solvatochromic parameters π*, α, and β, and some methods for simplifying the generalized solvatochromic equation. J. Org. Chem. 1983, 48, 2877–2887. [Google Scholar] [CrossRef]
  40. Taft, R.W.; Abboud, J.L.M.; Kamlet, M.J.; Abraham, M.H. Linear solvation energy relationships. J. Sol. Chem. 1985, 14, 153–186. [Google Scholar] [CrossRef]
  41. Reichardt, C. Solvents and Solvent Effects in Organic Chemistry, 3rd ed.; Wiley-VCH: Weinheim, Germany, 2003. [Google Scholar]
  42. Spartan’14 for Windows, Macintosh and Linux, Tutorial and User’s Guide, 10 January 2014. Modeling 2014. Available online: http://downloads.wavefun.com/Spartan14Manual.pdf (accessed on 30 May 2024).
  43. Young, D. Appendix A. A.16. In Computational Chemistry: A Practical Guide for Applying Techniques to Real World Problems; Wiley Interscience: New York, NY, USA, 2001; p. 330. [Google Scholar]
  44. Katritzky, A.R.; Fara, D.C.; Kuanar, M.; Hur, E.; Karelson, M. The classification of solvents by combining classical QSPR methodology with principal component analysis. J. Phys. Chem. A 2005, 109, 10323–10341. [Google Scholar] [CrossRef]
  45. Stairs, R.A.; Buncel, E. Principal component analysis of solvent effects on equilibria and kinetics—A semiphere model. Can. J. Chem. 2006, 84, 1580–1591. [Google Scholar] [CrossRef]
  46. Bures, F.; Pytela, O.; Kivala, O.; Diederich, F. Solvatochromism as an efficient tool to study N,N-dimethylamino- and cyano-substituted p-conjugated molecules with an intramolecular charge-transfer absorption. J. Phys. Org. Chem. 2011, 24, 274–281. [Google Scholar] [CrossRef]
  47. Du, J.; Deng, Y.; He, Y. A single 9-mesityl-10-methylacridinium ion as a solvatochromic sensor array for multicolor visual discrimination of solvents. Analyst 2019, 144, 5420–5424. [Google Scholar] [CrossRef] [PubMed]
  48. Dorohoi, D.O.; Dimitriu, D.G.; Dimitriu, M.; Closca, V. Specific interactions in N-ylid solutions, studied by nuclear magnetic resonance and electronic absorption spectropscopy. J. Mol. Struct. 2013, 1044, 79–86. [Google Scholar] [CrossRef]
Figure 1. Wavenumber in the maximum of the ICT band of PDCM vs. the dielectric permittivity of the solvent (spectral data from Table 2).
Figure 1. Wavenumber in the maximum of the ICT band of PDCM vs. the dielectric permittivity of the solvent (spectral data from Table 2).
Molecules 29 03358 g001
Figure 2. Wavenumber in the maximum of the ICT band of PCAnM vs. the dielectric permittivity of the solvent (spectral data from Table 3).
Figure 2. Wavenumber in the maximum of the ICT band of PCAnM vs. the dielectric permittivity of the solvent (spectral data from Table 3).
Molecules 29 03358 g002
Figure 3. The graphical representation of the B vs. A dependency for PDCM in all solvents using the data from Table 2.
Figure 3. The graphical representation of the B vs. A dependency for PDCM in all solvents using the data from Table 2.
Molecules 29 03358 g003
Figure 4. The graphical representation of the B vs. A dependency for PCAnM in all solvents using the data from Table 3.
Figure 4. The graphical representation of the B vs. A dependency for PCAnM in all solvents using the data from Table 3.
Molecules 29 03358 g004
Figure 5. Dependence of B as a function of A for PDCM in all solvents when the contribution of intermolecular hydrogen bonding to the spectral shift was eliminated.
Figure 5. Dependence of B as a function of A for PDCM in all solvents when the contribution of intermolecular hydrogen bonding to the spectral shift was eliminated.
Molecules 29 03358 g005
Figure 6. Dependence of B as a function of A for PCAnM in all solvents when the contribution of intermolecular hydrogen bonding to the spectral shift was eliminated.
Figure 6. Dependence of B as a function of A for PCAnM in all solvents when the contribution of intermolecular hydrogen bonding to the spectral shift was eliminated.
Molecules 29 03358 g006
Figure 7. The two-dimensional PCA score plots of PDCM (top) and PCAnM (down) for the discrimination of the forty-three solvents used in the solvatochromic analysis. The sensing parameters are the maximum of the ICT band, ν ~ , and the solvent parameters are f(ε) and α. The color code and solvent assignments for PCAnM are identical to those given for PDCM.
Figure 7. The two-dimensional PCA score plots of PDCM (top) and PCAnM (down) for the discrimination of the forty-three solvents used in the solvatochromic analysis. The sensing parameters are the maximum of the ICT band, ν ~ , and the solvent parameters are f(ε) and α. The color code and solvent assignments for PCAnM are identical to those given for PDCM.
Molecules 29 03358 g007aMolecules 29 03358 g007b
Figure 8. Discrimination of different volume ratios of the binary mixture ethylene glycol + dioxan (EG + dioxan) using PDCAM and two different sets of solvatochromic sensing elements: (A)—the maximum of the ICT band, ν ~ , f(ε), and the α, β and π* parameters of the solvent; (B)—with ν ~ , f(ε), and α.
Figure 8. Discrimination of different volume ratios of the binary mixture ethylene glycol + dioxan (EG + dioxan) using PDCAM and two different sets of solvatochromic sensing elements: (A)—the maximum of the ICT band, ν ~ , f(ε), and the α, β and π* parameters of the solvent; (B)—with ν ~ , f(ε), and α.
Molecules 29 03358 g008
Figure 9. Discrimination of different volume ratios of the binary mixtures water + ethanol (W + EtOH) and water + methanol (W + MeOH) using PCAnM and two different sets of solvatochromic sensing elements: (A)—the maximum of the ICT band, ν ~ , f(ε), and the α, β and π* parameters of the solvent; (B)—with ν ~ , f(ε), and α.
Figure 9. Discrimination of different volume ratios of the binary mixtures water + ethanol (W + EtOH) and water + methanol (W + MeOH) using PCAnM and two different sets of solvatochromic sensing elements: (A)—the maximum of the ICT band, ν ~ , f(ε), and the α, β and π* parameters of the solvent; (B)—with ν ~ , f(ε), and α.
Molecules 29 03358 g009
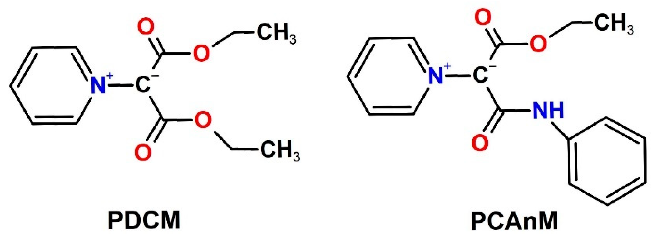
Scheme 1. Structural formulae of the studied methylids: (PDCM—pyridinium dicarbethoxy methylid; PCAnM—pyridinium carbethoxy anilido methylid).
Scheme 1. Structural formulae of the studied methylids: (PDCM—pyridinium dicarbethoxy methylid; PCAnM—pyridinium carbethoxy anilido methylid).
Molecules 29 03358 sch001
Disclaimer/Publisher’s Note: The statements, opinions and data contained in all publications are solely those of the individual author(s) and contributor(s) and not of MDPI and/or the editor(s). MDPI and/or the editor(s) disclaim responsibility for any injury to people or property resulting from any ideas, methods, instructions or products referred to in the content.

Share and Cite

MDPI and ACS Style

Avadanei, M.I.; Dorohoi, D.O. Comparative Study of Two Spectral Methods for Estimating the Excited State Dipole Moment of Non-Fluorescent Molecules. Molecules 2024, 29, 3358. https://doi.org/10.3390/molecules29143358

AMA Style

Avadanei MI, Dorohoi DO. Comparative Study of Two Spectral Methods for Estimating the Excited State Dipole Moment of Non-Fluorescent Molecules. Molecules. 2024; 29(14):3358. https://doi.org/10.3390/molecules29143358

Chicago/Turabian Style

Avadanei, Mihaela Iuliana, and Dana Ortansa Dorohoi. 2024. "Comparative Study of Two Spectral Methods for Estimating the Excited State Dipole Moment of Non-Fluorescent Molecules" Molecules 29, no. 14: 3358. https://doi.org/10.3390/molecules29143358

APA Style

Avadanei, M. I., & Dorohoi, D. O. (2024). Comparative Study of Two Spectral Methods for Estimating the Excited State Dipole Moment of Non-Fluorescent Molecules. Molecules, 29(14), 3358. https://doi.org/10.3390/molecules29143358

Article Metrics

Back to TopTop