Abstract
Electron-rich heteroaromatics, such as furan, thiophene and pyrrole, as well as their benzo-condensed derivatives, are of great interest as components of natural products and as starting substances for various products including high-tech materials. Although their reactions with Brønsted and Lewis acids play important roles, in particular as the primary step of various transformations, they are often disregarded and mechanistically not understood. The present publication gives a first overview about this chemistry focusing on the parent compounds. It comprises reactions with strong Brønsted acids forming adducts that can undergo intramolecular proton and/or substituent transfer reactions, ring openings or ring transformations into other heterocycles, depending on their structure. Interactions with weak Brønsted acids usually initiate oligomerizations/polymerizations. A similar behaviour is observed in reactions of these heteroaromatics with Lewis acids. Special effects are achieved when the Lewis acids are activated through primary protonation. Deuterated Brønsted acids allow straight forward deuteration of electron-rich heteroaromatics. Mercury salts as extremely weak Lewis acids cause direct metalation in a straight forward way replacing ring H-atoms yielding organomercury heterocycles. This review will provide comprehensive information about the chemistry of adducts of such heterocycles with Brønsted and Lewis acids enabling chemists to understand the mechanisms and the potential of this field and to apply the findings in future syntheses.
Keywords:
furan; thiophene; pyrrole; protonation; deuteration; Brønsted acid; Lewis acid; mercuration 1. Introduction
The presence of Brønsted acids in reactions of aromatic or heteroaromatic compounds, such as electrophilic substitution, rearrangement or oligomerisation, is often considered as a mere catalytic effect and thus is not investigated in detail. However, detailed knowledge on the mode of interaction of the aromatic compounds with such acids is important, because it allows finding suitable Brønsted acids to optimize reaction conditions and to control deuteration reactions via treatment with deuterated Brønsted acids. Furthermore, the interaction of Brønsted acids with heteroaromatic compounds can cause interesting subsequent reactions, such as additions, oligomerizations, rearrangements and substituent migration. Herein, the first review is presented, summarizing the reaction of aza-free electron-rich heteroaromatic compounds with Brønsted acids, their deuterium analogues and with Lewis acids, comprising recent results from our laboratory. It is focused on the parent heteroaromatic systems and simple derivatives. Occasionally, a few simple non-heterocyclic aromatics are included, while compounds with more complicated substitution patterns or with aza moieties in their ring are not considered.
2. General Remarks on Electrophilic Substitution in Heteroaromatic Compounds
It is well known and reported in common monographs and organic chemistry [1] textbooks that benzene (1), as a prototype of aromatic compounds, is able to react with electrophilic reagents of the general formula E-X, usually after activation of the corresponding electrophilic species with a suitable catalyst (Scheme 1) [2,3]. These catalysts, usually Brønsted or Lewis acids, release the more reactive species E+ from E-X and initiate the formation of an adduct 2a, in which the electrophile is covalently bounded to the benzene ring. Subsequently, from this adduct 2a, usually named the Wheland intermediate [4], the corresponding substitution product 3 is formed through loss of the proton at the ipso position. The introduction of the electrophilic moiety E into the benzene ring increases its reactivity towards electrophiles, e.g., if E = F, Cl, Br or alkyl, further substitution can occur with a second electrophile E’-X. Thereby, ortho- and para-disubstituted products 5a and 5b are obtained usually via 4a and 4b, respectively. In contrast, if the introduction of the electrophilic moiety E into the benzene ring decreases its reactivity towards the electrophiles, e.g., if E = NO2, SO3H, RCO or N = N-Aryl, a second substitution with a further electrophile E’-X usually gives rise to the formation of meta-substitution products 5c. Evidently, these substitution products are generated via 4c.
Scheme 1.
Reaction pathways in the reaction of benzene (1) with electrophilic reagents E-X.
The ability of benzene and its derivatives to undergo substitution reactions (regenerative or meneïd reactivity [5]) instead of additions, which would yield products of the general structure 2b or 2c, are not favoured.
Nevertheless, there are some examples for addition reactions with benzene and some of its derivatives, such as the fluorination of benzene with AgF2, which gives rise to the formation of 3,6-difluoro-1,4-cyclohexadiene as the main product [6], or the chlorination of benzene with elemental chlorine, yielding different chloro-substituted cyclohexadienes, cyclohexenes and cyclohexanes [7]. Although a radical mechanism is widely assumed for these reactions, an electrophilic mechanism cannot be ruled out and has been discussed in the literature.
The occurrence of Wheland intermediate 2a in the electrophilic substitution of aromatic compounds has not been unequivocally demonstrated in all reactions, because they are often short-lived intermediates that are rapidly converted to substitution products 3 [4]. However, since this transformation can also take place in a reversible direction, the formation of the Wheland intermediate 2a should be favoured by increasing the proton concentration of the reaction mixture, e.g., by adding a strong Brønsted acid.
As is well known, electrophilic substitution reactions can proceed in a similar way with hetero-analogues of benzene, such as furan (6A), thiophene (6B) and pyrrole (6C) and a variety of their derivatives (Scheme 2) [8]. Here, the electrophilic attack of the appropriate electrophile E-X can take place both at their 2- and 3-position, so that Wheland intermediates with isomeric structures 7a and 7b are formed, leading to two different substitution products 8a and 8b after deprotonation. Moreover, a repeated reaction with a further electrophile E’-X can occur with formation of di-substitution product 10a–10c via intermediates 9a–9d depending on the types of electrophiles used.
Scheme 2.
Reaction pathways in the reaction of heteroaromatics (6) with electrophilic reagents E-X.
3. Reaction of Electron-Rich Heteroaromatic Compounds with Brønsted Acids
3.1. Formation and Properties of Proton Adducts
Reactions of benzene (1) or its heterocyclic analogues 6A–6C with sufficiently strong Brønstedt acids H-X can occur in a similar way to that observed with electrophilic reagents E-X. Whereas some mineral acids, such as nitric acid or sulphuric acid, act as electrophilic reagents in reactions with heterocyclic compounds 6 leading to corresponding nitro or sulfonic acid substitution products 15 [9,10] (Scheme 3), a variety of other Brønsted acids, such as phosphoric acid, perchloric acid, trifluoroactic acid (TFA), trifluoromethanesulphonic acid (TFS) or common Brønsted acids activated by acidic Zeolites [3] cannot produce substitution products 8 or 10 (Scheme 2) in this way. However, very strong Brønsted acids can reversibly protonate heterocycles 6 leading to cations of the general structure 11a and 11b (Scheme 3). This phenomenon is often not recognized because the equilibrium is predominantly at the side of starting materials and the reversibility of the protonation resulting in re-isolation of the starting compounds 6 after working up. Similar argumentations hold true for benzo-condensed heterocycles 16.
Scheme 3.
Mechanistic pathways in the reaction within the heterocyclic ring of heteroaromatics 6 and 16 with Brønsted acids and deuterated Brønsted acids.
If, however, strong Brønsted acids are used and the concentration of the formed proton adducts 11 is high enough, their identification with special spectroscopic methods, especially by means of 1H NMR spectroscopy, is possible. In this way, proton adducts 11 generated through treatment of the heterocycles 6 or some of their simple derivatives with super acids as well as with TFA or TFS have been unambiguously identified by means of 1H NMR measurements. For example, for thiophene (6B) and its 2-methyl, 3-methyl and 2,4-dimethyl derivatives, 1H NMR spectra recorded in HF and HBF4 indicate the corresponding proton adducts 11Ba or 11Bb [11]. Analogously, the proton adduct generated through treatment of 2-methylmercaptothiophene with TFS could be identified with 1H NMR spectroscopy [12]. For certain halothiophenes, 1H and 13C NMR measurements performed in FSO3H indicate unambiguously the formation of the C2 protonated species 11Ba [13,14].
Appropriate proton adducts of the general structure 11Aa were also identified for some tert-butyl-substituted furans [15] as well as for the products generated in a different way via treatment of 5-methyl-5-hexen-2-one with FSO3H/SbF5 [16,17].
According to 1H NMR measurements, pyrrole (6C) and some of its C- and N-substituted derivatives form definite proton adducts of the structure 11Ca upon treatment with ethereal HBF4 [18]. In contrast, isomeric proton adducts 11Cb appear in reaction of pyrrole (6C) with 16 N sulphuric acid or TFS as evidenced with 1H NMR spectroscopy [19,20,21,22,23,24,25,26,27,28,29,30]. Analogous results were obtained through treatment of N-aryl-substituted pyrroles with TFS resulting in 11Cb (Y = NAryl) [31].
Pyrrolium salts of the structure 11Ca have been indicated for some amino- and methylmercapto-substituted derivatives [32,33] as well as for a few 5-furyl-substituted pyrroles [34].
C2 protonated species 11Aa and 11Ca were generated from furan (6A) and pyrrole (6C) through chemical ionization MS spectrometry where CH5+ or C2H5+ served as protonating agents [35,36]. Proton adducts of furans 6A could also be indicated as Wheland intermediates in the mass spectrometer by the reaction of the parent compounds with gaseous CH3+ [37]. Proton adducts of furans generated through HCl-catalysed cyclisation of 2,5-alkanediones have been detected with mass spectroscopy, while also estimating the relative stability of the isomers was possible [38].
By means of MO calculations, the relative stabilities of the proton adducts of the five-membered heterocyclic compounds 6 and some of their benzo-condensed derivatives 16 have been estimated [39,40,41]. For the same compounds 6, the basicity constants have been calculated and related to the aromatic resonance energies [42].
Proton adducts have also been revealed for a variety of electron-rich benzo-condensed 5-ring heteroaromatics 16 (Scheme 3). Thus, definite proton adducts of the structure 17Cb were observed after treatment of some indoles (16C) with conc. H2SO4 [43], phosphoric acid [44], trifluoracetic acid [45], HClO4 [46] or super acids [47]. In all cases, the proton is added at C3 of the indole giving rise to the formation of the proton adduct 17Cb.
On the other hand, proton adducts of the structure 17b (Y = S, O) derived from benzo[b]thiophene (16B) and benzo[b]furane (16A) have not been found by using strong Brønsted acids, but only in the flame ionization mass spectrometer [48,49]. However, structures of the proton adducts were not provided.
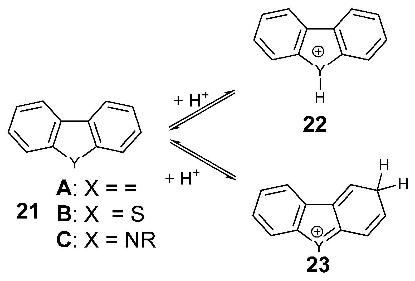
Proton adducts are formed when derivatives of dibenzofuran (21A) [50] and dibenzothiophene (21B) [51], as well as carbazoles (21C), were treated with strong Brønsted or super acids. However, the protonation of the former compounds (21A) and (21B) does not occur at their heterocyclic moiety but at the benzo ring, giving rise to the formation of compounds (23), while N-aryl-substituted carbazoles 21C undergo simultaneous protonation at their N-atom as well as at the C-atoms to form compounds 22C and 23C [52]. The N-unsubstituted and N-methylcarbazole 21C are exclusively protonated at their N-atom under formation of compounds 22C (Y = NR) (Scheme 4) [53].
Scheme 4.
Reaction of heteroaromatics 21 with Brønsted acids.
With all the considerations about the formation of cationic proton adducts 11 of heterocycles in mind, one should be aware that they can undergo a rapid proton exchange between the C2 and C3 position in analogy to the proton exchange at the proton adduct of certain alkyl benzenes, such as of toluene or ethylbenzene [54]. In consequence, both species 11a and 11b (Scheme 3) can exist side by side simultaneously [26]. To clarify this problem, low-temperature measurements of proton adducts 11 seem to be necessary.
An alternative, powerful method for clarifying the proton exchange reaction at Wheland intermediates or the simultaneous formation of isomeric Wheland complexes consists in the use of deuterated Brønsted acids. Details on this method are discussed in the Section 3.2.3.
3.2. Properties of Proton Adducts of Simple Heteroaromatic Compounds
3.2.1. Proton Migration
For the proton adducts of aromatic compounds, a quick proton exchange between adjacent positions was indicated through 1H NMR measurements. For example, in the hexamethylbenzenium cation, this proton exchange occurs very quickly at room temperature with a rate of 102 s−1. However, it can be frozen at lower temperature and gives rise to sharp lines in the proton spectrum [55].
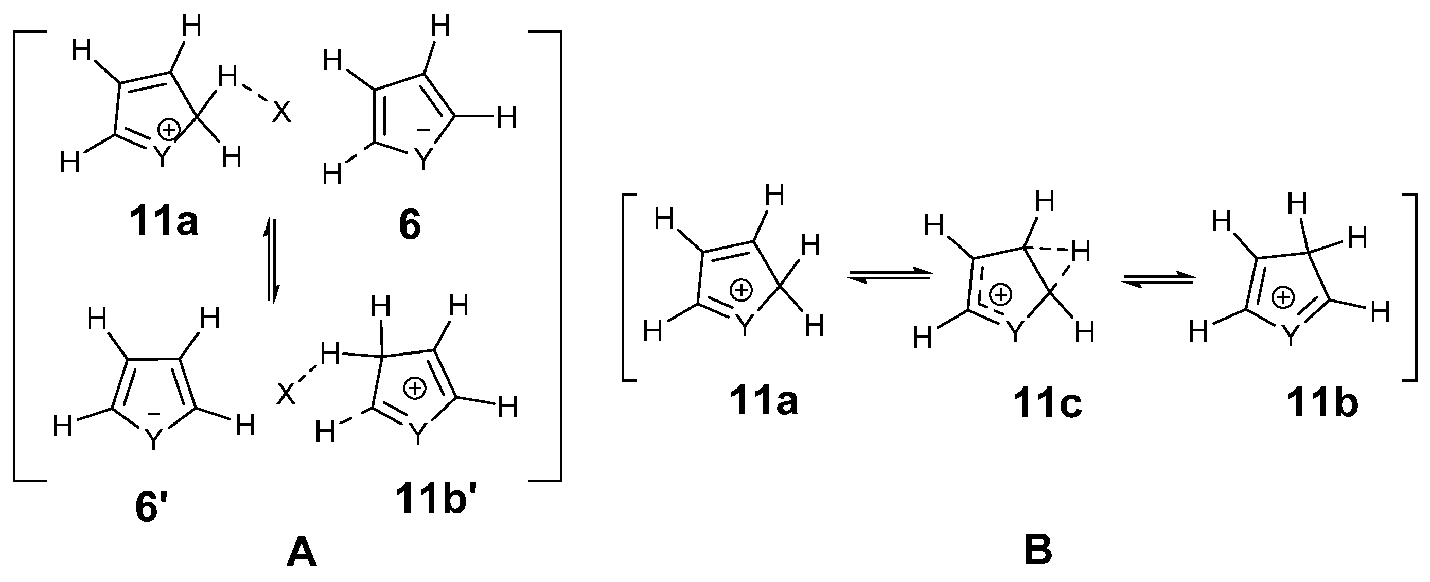
Consistent with this result, a proton exchange between different ring positions in the corresponding proton adducts of heteroaromatic compounds 6 takes place. Thus, the proton adducts (11) differ in the site of proton attachment resulting from disagreement between kinetic and thermodynamic stability [56,57]. This proton exchange can occur in different ways, e.g., through a (bimolecular) intermolecular exchange reaction between 11 and the parent heterocyclic component (6) mediated by the acid H-X (Scheme 5, version A) or via a (monomolecular) intramolecular proton exchange via a three-ring proton σ-complex (Scheme 5, version B). Therefore, statements on the reactivity of these compounds are only correctly possible if these circumstances are taken into account. However, no detailed studies in this respect have been undertaken so far.
Scheme 5.
Alternative mechanism (A,B) of the proton migration at heteroaromatics 6.
3.2.2. Alkyl or Aryl Group Migration
Instead of the proton migration in the proton adducts 11 discussed above, an alkyl or aryl group migration can also occur. However, this reaction requires usually higher temperatures. Thus, 2-methylthiophene (24) and its 3-methyl isomer (26) can be transformed into each other under the influence of acidic zeolites by heating to temperatures of about 350 °C via intermediated cations 25a–25c [58,59,60,61] (Scheme 6).
Scheme 6.
Mechanism of isomerisation reactions for some heteroaromatics initiated with Brønsted acids.
Alkyl group migration was also observed for some special 2H-pyrrole derivatives (27) with alkenyl groups at C2 at temperatures > 115 °C. In this case, however, the mechanism probably involves allylic rearrangement and not adducts to form the isomeric 1H-pyrroles 28 [62].
A migration of alkyl and aryl groups also occur in the indole series. Thus, a variety of 3-subtituted indole derivatives, such as 3-phenyl-, 3-benzyl-, 3-methyl- and 3-tert-butylindole (29) were transformed into their corresponding 2-substituted derivatives 30 through treatment with TFS or, better, with polyphosphoric acid at 100 °C [45]. A similar reaction occurred with 3-phenylindole by heating with ZnCl2 at 170 °C to yield the 2-phenyl isomer 30 (R1 = Ph) [63].
The transformation of 3-phenythioindole (29, R1 = SC6H5) into 2-phenylthioindole (30, R1 = SC6H5) as an example of migration of a heteroatom-containing group was observed for treatment with polyphosphoric acid at about 100 °C (Scheme 6). Thereby, the simultaneous formation of 2-anilinobenzthiophene (31) was observed as result of a ring-opening/ring closure reaction [64].
As further examples of group migrations, the transformation of 3,3-disubstituted 3H-indoles 32 into 2,3-disubstituted 1H-indoles 34 was documented (Scheme 6) [65,66]. This process occurred by heating of the starting compounds in ethanolic 6 N HCl for 15 min. However, the rearrangement was accompanied by oligomerisation and cyclotrimerisation reactions in some cases [67].
Alkyl group migration can also occur at some furan derivatives. For example, the trimethyl-substituted furylium cation (36a), which is formed through treatment of mesityl oxide (35) with chlorosulphonic acid, is transformed into the isomeric furylium cation 36b following a methyl transfer at 150 °C [68] (Scheme 7).
Scheme 7.
Transformation route of 35 into 36b.
Treatment of 3-phenylthiophene 37 with TFS or certain Lewis acids, such as heavy metal triflates at 60 °C, causes phenyl migration to the C2 position until an equilibrium between both phenyl derivatives 37 and 39 is established. Cationic species of the structure 38a, 38b and 38c have been assumed as intermediates (Scheme 8) [69].
Scheme 8.
Isomerisation mechanism at some phenyl-substituted heteroaromatics catalysed with Brønsted acids.
This type of reaction was referred to as an “aryl dance” and has some analogies in the series of different aromatic compounds [69] as well as with halo-substituted compounds, which can undergo a so-called halogen dance, but in this case, it is catalysed by bases [70].
In analogy to the indole derivatives 29 discussed earlier (Scheme 6), some benzo[b]thiophene 40B and benzo[b]furan derivatives 40A can react. They were transformed into their isomeric compounds 42A and 42B via treatment with Brønsted (or Lewis acids) at elevated temperatures. Proton adducts of the general structures 41a and 41b were assumed as intermediates. [69].
It is worth mentioning that an aryl migration can alternatively be initiated by certain heavy metals, such as Pd [71]. However, in this case, another mechanism exists involving hetaryl-Pd species that undergo Pd-migration.
The isomerisation reactions for heterocyclic compounds regarded here have some analogies in the series of aromatic compounds. For example, p-xylene (43) and o-xylene (46) are transformed into their meta isomer 45 through treatment with TFS [56]. Under similar conditions, ethyl benzene yielded a mixture of benzene and m-diethylbenzene. All these reactions occur even at room temperature and run via cationic intermediates such as 44a–44d [57] (Scheme 9).
Scheme 9.
Brønsted-catalysed isomerisation at xylenes.
3.2.3. H/D-Exchange at (Hetero)aromatic Compounds
Detection of proton adducts 11a and 11b (Scheme 3) in reactions of Brønsted acids with heteroaromatics 6 can be challenging in particular if they occur only to a low extent (Scheme 3). In such cases, the use of deuterated acids D-X instead if H-X is very helpful because H/D exchange takes place and can easily be observed. The resulting deuterated compounds 13 and 14 are formed via the corresponding adducts 12 unambiguously and can be reliably analysed through NMR spectroscopy.
All the heterocyclic compounds 6A–6C were transformed into the corresponding deuterated derivatives 14A–14C via treatment with deuterated acids (Scheme 3). For example, thiophene (6B) was converted into its perdeuterated compound 14B via treatment with deuterated sulphuric acid at RT for 4 days [72], via interaction with deuterated polyphosphoric acid (prepared through treatment of P2O5 with D2O) [73] or via treatment with deuterated acetic acid [72]. Analogously, pyrrole (6C) was transformed into its per-deuterated pyrrole 14C through interaction with deuterated acetic acid [74], with deuterated methanol in the presence of catalytic amounts of HClO4 [75] or with DBr, generated through treatment of CD3OD with prenyl bromides [76]. It is worth mentioning that the deuteration of pyrrole and its N-substituted derivatives with suitable deuterating reagents has to be performed under weakly acidic conditions, because an oligomerisation of the starting compounds occurs otherwise. This oligomerisation can also be prevented if very strong acids, such as deuterated trifluoromethanesulfonic acid, are used. In this case, the concentration of the corresponding non-protonated pyrrole as a precondition for an oligomerisation is too small. The same statement is valid for the reaction of deuterated Brønsted acids with thiophenes. By using relative weak Brønsted acids, an oligomerisation is initiated instead of an H/D exchange (v.i. Section 3.2.4).
An interesting phenomenon is observed in H/D exchange reactions with N-arylpyrroles 47 when treated with deuterated TFS [31]. Mixtures of analogously deuterated compounds 49a and pyrroles 49b with partly deuterated phenyl-substituent are generated (Scheme 10).
Scheme 10.
Reaction of N-phenylpyrrole (47), indoles 50 and carbazoles 52 with deuterated Brønsted acids.
For furan (6A), an acid-catalysed D/H-exchange occurs in methanolic sulphuric acid at 20 °C [77]. All experiments with deuterated acids indicate an H/D exchange at both the alpha and beta positions of the heterocycles 6A and indicate, therefore, the intermediate formation of the cationic compounds 11a and 11b as well as 12a and 12b (Scheme 3). In some cases, the relative extent of this H/D exchange has been estimated by means of usual 1H NMR measurements [76].
The relative D/H exchange rates between the C2 and C3 positions of deuterated thiophene, pyrrole and furan as well as selenophene were estimated with kinetic measurements [77]. Thereby, it was found that the exchange rate of thiophene (6B) at C2 is much higher than at the C3 position. In contrast, for furan (6A), these rates are nearly equal for both positions, but somehow inaccurate because of interfering ring splitting.
H/D exchange reactions have also been observed in the series of indoles (Scheme 10). Thus, the treatment of indole derivatives (50) with CD3COOD or DBr results in deuterated indoles 51 via deuteration of position C3 [76]. H/D exchange at C2, C4 and C6 was observed at some indole derivatives, such as melatonin and serotonin, with CD3OD in presence of 5 mol% HClO4 [76].
As mentioned above, an H/D exchange also occurs at carbazole (52a) under these conditions (Scheme 10). Thereby, a deuterated carbazole (53a) was obtained in a yield of 95% with deuterium contents of 43% (at C1 and C8) and 78% (at C3 and C6). This result indicates that these positions in 9H-carbazole (52a) can be protonated with acids HX in which tautomeric 1H- or 3H-carbazole species occur as intermediates (Scheme 4) [52].
An H/D exchange also takes place at benzo[b]thiophene (16B) at position 2 and benzo[b]furan (16A) at positions 2 and 3 if these compounds are treated with D2O in DMSO-d6 in the presence of Ag2CO3 and triarylphosphine as catalysts (Scheme 3) [78]. The authors assume that the reaction runs on a complex of the benzo-analogue of the general structure 7a with E = Ag-triflate. An analogous H/D exchange occurs if the same reaction is performed in CH3OD [78].
H/D exchange at benzo[b]thiophene (16B) can also be performed with phosphine ligated Ag-carboxylates in the presence of Ph3P [79]. Thereby, the starting compound is transformed into its 2-deuterated derivative in 60% yield during 16 h.
Other possibilities to perform an H/D exchange at benzo[b]thiophene (16B) are provided by RuCl3, FeCl3 or CrCl3 dissolved in D2O at elevated temperatures. D+[M(D2O)5OD]2+ are assumed as the reactive species [80].
In this context, it should be mentioned that the formation of proton adducts was also observed with N,N-diaryl-substituted 2-aminothiophenes 54 [81]. These compounds were protonated through treatment with TFS not only at their N-atom but also at C5.
With TFA-d, deuteration at C3 and C5 occurs to afford the bis-deuterated compounds 56. This fact allows the conclusion that proton adducts 55b and 55c form in concurrence to the formation of the generally expected ammonium salt structure 55a when non-deuterated TFS is used (Scheme 11). This was verified by the formation of the 3,5-dideuterated product upon treatment with CF3COOD [81].
Scheme 11.
Reaction of 2-(N,N-diarylamino)thiophenes with Brønsted acids and their deuterated derivatives.
In this context, it is remarkable that naphthyl-substituted 2-aminothiophenes (55 with Ar = 1- or 2-C10H7) undergo not only H/D exchange at their thiophene moieties but also partially at the naphthalene groups. This reaction has some analogy to the reaction of N-naphthyl-substituted diphenylamines, where H/D exchange was observed at the naphthyl moieties too [52].
3.2.4. Brønsted Acid-Catalysed Oligomerisation of (Hetero)aromatic Compounds
In the examples discussed so far, reaction of (hetero)aromatic compounds 6 and their benzo-condensed derivatives 16 and 21 with strong acids stopped at the protonation (or deuteration) of their rings. Nevertheless, certain subsequent reactions, such as dimerisations, olgomerisations and isomerisations, are also possible as repeatedly documented in the literature.
Obviously, all these reactions are initiated by the formation of the proton adducts 11a and/or 11b (Scheme 3), which exhibit significant electrophilic character. This property enables these compounds to react with their non-protonated parent compounds 6 as species with decidedly nucleophilic character (Scheme 12). Thereby, six different products 58a–58f can be formed primarily. Their structures depend on the ring positions involved in the coupling reactions. Thus, by coupling of the proton adduct 11a at C5 with the parent compound 6 at C2 or C3, the dimers 58a and 58b are formed via the corresponding primarily generated adducts 57a and 57b, respectively, in the course of a 2,5-addition at the heterocyclic starting compound 6.
Scheme 12.
Mechanism of Brønsted acid-catalysed dimerisation of heteroaromatics 6.
Analogously, by coupling of the proton adduct 11a at C3 with the parent compound 6 at C2 or C3, the dimers 58c and 58d are formed via the corresponding primary adducts 57c and 57d or their isomeric compounds 57c’ and 57d’, respectively, in the course of a 2,3-addition. Finally, dimers 58e and 58f are formed by coupling of the proton adduct 11b at C2 with the parent compound 6 at C2 or C3 via the corresponding primary adducts 57e and 57f, respectively, in the course of a 3,2-addition.
In special cases, the dimers 58a–58f are able to react with a further equivalent of the appropriate proton adducts 11a or 11b under formation of the corresponding trimers. Their structure depends again on the ring positions involved in the coupling reactions. Hence, a large variety of different products can be formed through coupling reactions starting from the simple aromatic compounds 6 treated with Brønsted acids.
The variability of these dimerisation reactions is somewhat restricted during reaction of the benzo condensed heteroaromatic compounds of the general structure 16 with their corresponding proton adducts 17, because only a 2,3- or 3,2-addition can occur. In fact, only one of them will generally appear in a reaction of a heteroaromatic compound 16 with its corresponding proton adduct 17a and 17b (Scheme 3).
However, such restriction does not exist with simple heteroaromatic compounds non-substituted at their heteroaromatic core. Thus, pyrrole (6C) is transformed into a trimer of the structure 60 besides some polymeric compounds via treatment with simple mineral acids, such as with aqueous hydrochloric acid for 30 s [82,83]. Cations 11a and 11b (Scheme 12) will primarily form when reacting with unprotonated pyrrole (6c). However, only the dimer 59a was obtained when pyrrole was treated with aqueous HCl at 0 °C for 5 s. At higher temperature, under flash vacuum pyrolysis, this compound could be transformed into indole (59b) and indolizine (59c) [84] (Scheme 13).
Scheme 13.
Mechanism of the Brønsted acid-catalysed oligomerisation of pyrrole (6C) and thiophenes (24).
A similar reaction occurs with several C-alkyl and C-phenylpyrroles, which are transformed into corresponding C-substituted dimers [85] through treatment with aqueous HCl, or, under slightly changed conditions (heating of the appropriate pyrrole with acetic acid), into the corresponding C-substituted indoles [67]. Obviously, the corresponding proton adducts and dimers are the necessary intermediates for this transformation.
As indicated with 1H NMR measurements, dimers and polymers are also formed when N-arylpyrroles (47) are treated with TFA [31], whereas proton adducts as H-analogues of 48b appear in the presence of TFS.
Analogously, N-(tert-butyl)pyrrole 6C (R = t-Bu) was transformed into dimer 61 through treatment with TFA. Its structure was elucidated via 1H NMR measurements (Scheme 13) [31]. However, a stable proton adduct of the general structure 11Cb (Y = N-t-Bu) was formed with treatment of this N-substituted pyrrole with TFS.
Similar oligomerisation reactions like in pyrroles were observed in the thiophene series. Thus, the treatment of the parent thiophene 24 (R = H) with phosphoric acid gave rise to a trimer of the structure 62 [86,87] (Scheme 13). Remarkably, the structure of this thiophene trimer 62 differs from the pyrrole trimer 60 with respect to the linking positions of the heterocyclic rings.
Through treatment of thiophene 24 (R = H) with trichloroacetic acid or TFA, a polymerization occurs. Thereby, polymers with ca. fifteen thiophene and tetrahydrothiophene units are formed [88,89].
However, the corresponding solid trimers were obtained through treatment of alkylthiophenes 24 with phosphoric acid [86,87]. The interaction of these thiophene derivatives with acid-activated clay at 150–170 °C resulted in dimers and trimers with cationic structures 64a, 64b and 65 as well as polymers [90].
A similar result was obtained through treatment of some thiophene derivatives, such as 2- and 3-methylthiophene, with TFA [12]. However, no detailed information on the structures of the oligomeric products could be derived from the 1H NMR spectra. On the other hand, the 1H NMR spectrum of 2-methylmercaptothiophene 24 (R = MeS) in TFA shows characteristic signals in the region between 3.0 and 5.0 unambiguously verifying the formation of a dimer of the structure 64b with R = MeS [12].
Another result was obtained if 2- or 3-methylthiophene was treated with zeolites at higher temperature [61]. Thereby, not only a migration of the methyl groups as discussed in Scheme 6 can occur but also a dimerisation under incorporation of the methyl groups arises. The mechanism depicted in Scheme 14 can be assumed. 2-Methylene-2,5-dihydrothiophene (24d) can be assumed as an intermediate in this methylene bridging. An alternative mechanism also seems possible involving the primary formation of the radical cation 24b that is transformed into the radical 24c and subsequently attacks a parent thiophene under formation of a dimeric compound (Scheme 14).
Scheme 14.
Mechanism of the Brønsted acid-catalysed dimerisation of 2-methylthiophene (24a).
This type of dimerisation was also observed for the 2- and 3-methyl-substituted benzo[b]thiophenes [60]. Here, the two benzo[b]thiophene moieties were connected at their heterocyclic or carbocyclic moiety via the methyl groups.
The polymerisation of tetrathiophene (67) can be accomplished by using para-toluenesulphonic acid at about 100 °C in the gas phase [91] (Scheme 15). It was assumed that under this condition, the p-toluenesulphonate can split into toluene and SO3 that generates the corresponding adduct 68. This adduct can be either transformed into the corresponding thiophene-2-sulphonic acid derivative 69 [91] or splits into the radical anion (SO3−) and the thiophene radical cation 70, which start a polymerisation by reaction with the starting thiophene oligomer (67). Under the same condition, terthiophene can also be polymerised [92].
Scheme 15.
Mechanism of p-toluenesulphonic acid initiated polymerisation of tetrathiophene 67.
In contrast to the oligomerisation and polymerization reactions of pyrrole and thiophene, a slightly different behaviour was observed with furan (6A) when treated with Brønsted acids. By using aqueous acids, this compound and some of its 2,5-dialkyl-substituted derivatives underwent a facile ring opening reaction resulting in the corresponding 1,4-dicarbonyl compounds, e.g., 72 (Scheme 16) [93]. At a higher temperature, furan (6A) was transformed into benzofuran (73) as well as into polymeric products through treatment with mineral acids or zeolites [94,95,96,97,98]. In the first step of this transformation, a ring opening occurs initiated by the formation of the corresponding proton adducts 11Aa or 11Ab. The resulting succinaldehyde (72) undergoes a cycloaddition with the parent furan 6A. It is worth mentioning, that the ring-opening failed when furans were treated with super acids [16,17,68].
Scheme 16.
Mechanism of the Bronsted acid-catalysed ring opening of furane (6A) and the subsequent recyclisation of the intermediately formed succinic aldehyde (72) to benzofurane (73).
Acid-catalysed dimerisation reactions are also reported for benzofurans [99], benzothiophene [100] and indole [101,102,103,104]. The latter can also form triindol [103] through treatment with phosphoric acid [105]. Indole and 3-substituted indole produce mixed dimers and trimers upon treatment with gaseous HCl at low temperatures [106].
3.3. Formation and Reactions of Lewis Acid Adducts with Simple Heteroaromatic Compounds
Besides the addition of protons to the heterocyclic compounds 6 initiated with Brønsted acids, which gives rise to the formation of proton adducts of the structure 11a or 11b, there are many hints for the formation of addition products of Lewis acids E-X with heterocyclic compounds 6 or some of their benzo-condensed derivatives 16. However, in most cases, the structures of such addition products are unknown yet, but they were usually indicated by reactions initiated by the Lewis acids added to the heteroaromatic starting compounds. Nevertheless, a priori, these addition compounds can exhibit different structures. Thus, they can have the π-complex structure 74c, a σ-complex skeleton 74a or 74b, in which the Lewis acid is added at one of the C-atom, or form structures 74d, wherein E-X coordinates to the hetero atom. If the heterocycle 6R reacts with a sterically congested Lewis acid, e.g., B(C6F5)3, so called frustrated Lewis pairs are formed maintaining both the Lewis acidity of the Lewis acid and the Lewis basicity of the heterocycle. Such compounds have gained application for introducing substituents into the heterocycle 6R as well as in catalysed hydrogenations [107,108,109]. Moreover, the addition compounds of heteroaromatics with Lewis acids can be radical cations 74e if they are formed in the course of an electron transfer between the starting heterocyclic compound 6 and the Lewis acid E-X. Last, but not least, structures 74f are possible, if NH-substituted pyrroles are used (Scheme 17).
Scheme 17.
Product formation in the reaction of heteroaromatics 6 with Lewis acids E-X.
Furthermore, a corresponding Brønsted acid H+[EXY]− can be formed if another weak Brønsted acid H-Y, such as water, which is unable to react with the heteroaromatic compounds 6, is present in the reaction mixture. This creates a cationic Brønsted adduct 74g or 74h enabling various subsequent reactions of the heterocyclic compound 6. Taking AlCl3 as an example of a typical Lewis acid, the formation of Brønsted acids via its reaction with water has been examined in more detail. Very strong Brønsted acids of the general formula H+[(AlCl3)nOH]− with strongly negative pKa values were formed [110].
As can be derived from the experimental data, the structures of the addition products formed through the reaction of Lewis acids with heteroaromatic compounds 6 or their benzo-condensed derivatives 16 depend not only to a certain extent on the structure of the corresponding heterocyclic compound, but also significantly on the chemical nature of the Lewis acid, especially on its hardness.
Besides AlBr3, the following Lewis acids arranged by their strength according to the scale of Kobayashi et al. [111] were used in typical acid base reactions with heteroaromatics: TiCl4 > AlCl3~SnCl4 > SbCl5 > SnCl2 > ZnCl2. Furthermore, also FeCl3, CuCl2 and HgX2 were applied but react in different ways, as shown later (v.i.)
Despite many hints to the formation of adducts between the heteroaromatic compounds 6 and 16 and different types of Lewis acids, there are only few examples in the literature documenting the structure of such addition products. In most cases, the formation of these adducts was deduced from the reactions initiated by treatment of the heteroaromatic compounds with the respective Lewis acid. Nevertheless, few Lewis acid adducts have been unambiguously indicated. For example, addition of TiCl4 to a solution of tetramethylthiophene (75) in CH2Cl2 resulted in a red-coloured product. Because this compound can be transformed into the proton adduct 77 through treatment with gaseous HCl, the structure 76 for this primary product has been stated (Scheme 18) [3].
Scheme 18.
Structure and transformation of the complex 76 formed via reaction of tetramethylthiophene (75) with TiCl4.
Similarly, pyrrole (6C) forms a zwitterionic complex 78 with AlCl3 in an ionic liquid as elucidated with NMR spectroscopy (Scheme 19) [112].
Scheme 19.
Structures of products formed via reaction of pyrrole (6C) and heteroaromatics 16 with AlCl3.
However, this finding contradicts with results found through treatment of pyrrole (6C) and indole (16C) with AlCl3 in CD3NO2. Thereby, the formation of corresponding proton adducts 11Cb and 17Cb were indicated and their structure was confirmed with NMR spectral data [113]. Thus, in the 1H NMR spectrum of the product resulting from treatment of pyrrole (6C) with AlCl3 in CD3NO2, five proton signals at 5.2, 7.0, 8.3, 9.2 and 11.42 ppm with an intensity ratio of 2:1:1:1:1 were recorded. Whereas the first mentioned signal stems from the CH2 moiety in the compound 11Cb, the last one, which occurs as characteristic triplet, stems from the proton at the N-atom. Obviously, this species owes its formation to the interaction with the Brønsted acid H+[(AlCl3)nOH]− as mentioned above [112].
Analogous results were obtained with treatment of N-arylpyrroles 47 and N-arylindoles 50 (R1 = aryl) with AlCl3 in nitromethane. Again, the formation of the corresponding proton adducts instead of the corresponding Lewis acid adducts was observed and their structures were confirmed with 1H NMR measurements [113].
In addition to the studies on the elucidation of the chemical structures of complexes formed through interaction of the heteroarenes with Lewis acids discussed above (Scheme 17) there are a lot of studies on the role of these complexes in oligomerisation or polymerization of the starting materials. Depending on the oxidation strength of the Lewis acids used, polymers with full-conjugated structures or with structures containing non-aromatic moieties in their molecular frameworks can result. Whereas the first-mentioned type of polymers stemming obviously from the reaction of the heteroarenes with FeCl3 (Fe3+/Fe2+ = +0.77 V), CuCl2 (Cu2+/Cu+ = +0.16 V) or SnCl4 (Sn4+/Sn2+ = 0.14 V) via oxidation, the other ones derive from the reaction with a Lewis acid, e.g., AlCl3 (Al3+/Al = −1.66 V). However, only in certain cases do detailed studies exist on the formation mechanism of the polymers. A priori, the formation of the polymers with a fully conjugated π-system can occur in two ways, either primary formation of a radical cation 74e (Scheme 17) takes place that initiates the subsequent reactions by its addition to a parent heteroarene [114,115,116,117] or, alternatively, later oxidation of the polymer formed through a primary addition of a Lewis acid complex 74a or 74b to the parent heteroarene occurs in analogy to a mechanism depicted in Scheme 12 [89,118,119].
An oligomerisation also happens through treatment of benzo[b]thiophene (80) with AlCl3 [100] (Scheme 20) resulting in dimers 81a and 81b. In contrast, an arylation at the C2- and/or C3-position of 80 rather than an oligomerisation takes place when aromatic solvents are used. Treatment of benzo[b]thiophene 80 with Al2(SO4)3 in supercritical CO2 results in the formation of the dimers 81a and 81b and three further dimers 81c–81e [120].
Scheme 20.
Products generated through reaction of benzothiophene 80 with AlCl3.
Another interesting result was obtained via treatment of indole 16C with SnCl4. After addition of this Lewis acid to a solution of indole 16C, a product of the formula (16C)2·SnCl4 precipitated from which indole 16C could be re-isolated after treatment with ammonia [121,122]. Analogous results were achieved with SnBr4, TiCl4 and AlBr3. In these cases, products of the composition (16C)2·SnBr4, (16C)2·TiCl4 and (16C)2·AlBr3, respectively, were obtained. Because the subsequent treatment of these compounds with ammonia regenerates the parent indole 16C, the corresponding π-complexes seem to be formed. As shown with SnCl4, these adducts decompose into oligomers, thus they are intermediates in Lewis acid-catalysed oligomerisation/polymerisation [119]. It has to be mentioned that nitrogen-free heteroaromatics, e.g., thiophene [123,124,125] and furan [126] and their benzo-condensed derivatives do not form analogous complexes but structures similar to the complex 7a or 7b. When furan (6A) is treated with ZnCl2, TiCl4 or SnCl4, intermediate Lewis acid complexes 74 are assumed, which initiate its polymerisation [126].
In contrast to the results mentioned above, where treatment of the heteroaromatic compounds 6 and 16 with different Lewis acids gives rise to the formation of the corresponding Lewis acid adducts, the treatment of these heteroaromatics with FeCl3 and/or CuCl2 follows another course. Here, the Lewis acid does not react as such but as an oxidizing reagent primarily forming a radical cations 74e. This reacts further with starting heteroaromatic compounds 6 to form oligomers or polymers. Since this type of reaction is out of the scope of our review, we just provide some hint to representative examples of these reactions. They can be found in the furan series 6A in references [127,128,129], in the thiophene series 6B in references [130] and in the pyrrole series 6C in references [119,131,132,133,134].
Interesting results were obtained through reaction of furan 6A, thiophene 6B and pyrrole 6C as well as their benzo condensed derivatives with certain mercury(II) salts HgX2 wherein X = Cl, OAc. Thus, treatment of furan 6A or thiophene 6B with mercury chloride (HgCl2) in aqueous solution and in the presence of sodium acetate leads to mercury substitution products 82–85 as solid and air- and water-stable compounds in a very straight forward way (Scheme 21) [135,136,137,138,139,140]. These transformations are very remarkable because they represent direct metalation reactions via H-metal exchange that usually can only be achieved with very reactive metals or organometallics, such as RLi under inert conditions [141]. In the case of mercury-substituted heteroarenes, water and polar solvents can mostly be used, whereas inert conditions are not necessary. An older comprehensive review on the chemistry of thiophene mercury compounds was provided by Steinkopf in 1941, who studied these compounds extensively for a longer period [142].
Scheme 21.
Products generated through reaction of the heteroaromatics 6 with certain Hg(II) salts.
In contrast to the formation of the mercury compounds 82–85 obtained from furan (6A) or thiophene (6B), an adduct of the general formula (6C)2Hg.(HgCl2)4 was obtained when pyrrole (6C) was treated with HgCl2 in acetic acid [143]. Performing the reaction of pyrrole with HgCl2 in water gave rise to partial hydrolysis resulting in a presumed mixed complex of (6C)(HgCl)2HgClO. This forms polypyrrole single- and double-shelled hollow nanospheres in the presence of oxidizing reagents [144].
The mercuration reaction was also performed with benzo[b]furans (16A) [145] and benzo[b]thiophenes (16B) [146] using Hg(OAc)2 or HgCl2 (Scheme 22). While the mercuration of benzofuran (16A) yields the mono-mercurated compound 95A (X = Cl) through treatment with HgCl2 [145] in hot ethanol, the reaction continues to the bis-mercury compound 96B if benzo[b]thiophene (16B) is treated under these conditions [146]. The reaction stops at the mono-mercurated benzo[b]thiophenes 95B (X = OAc), however, when HgOAc2 in boiling methanol is used (Scheme 22) [147,148].
Scheme 22.
Reaction of benzofuran, benzothiophene and indole with Hg(II) salts.
The treatment of indole (16C) with Hg(OAc)2 in ethanol gives rise to the corresponding 2,3-di(acetylmercury)indole [149]. By working in Ac2O, an acetylmercury group and an acetyl moiety are introduced in position 3 and at the N-atom (Y = NAc), respectively [150].
1-Methylindole was 3-mono or 2,3-bis-mercurated with HgCl2 or Hg(OAc)2, respectively, in ethanol or ethanol/diethyl ether [151,152].
Alternatively, mercurated heterocycles 82 and 83 can also be prepared through reaction of metallated heterocycles, e.g., of lithiated species [153,154] or boron derivatives [155], with mercury chloride under inert conditions.
Mercurated heterocycles 82 and 83 can be used as educts for the synthesis of a variety of products. Thus, the mercurated compounds 82 can undergo exchange reactions at their HgX moieties yielding different mercury-substituted compounds 89 when treated with alkali halides or pseudohalogenides as well as with silver acetate or silver triflate [156]. Moreover, the mercurated compounds 82 and 83 can be applied as educts for the synthesis of mercury-free products, such as for the synthesis of alkyl-substituted compounds 90 [157] and acyl substituted products 91–93. For example, alkyl-substituted compounds 90 (R’ = Alkyl) result from the reaction of 82 with MeRh reagent [158], with tert-Bu-Cl [157] or with vinylcarbonyl compounds [159]. The acylated derivatives 91–93 are generated through treatment of the appropriate mercury compounds 82 or 83 with certain acylating reagents [135,142]. The reaction of the tetramercury compound 85B with D2O or TCl allows the synthesis of the perdeuterated or pertritiated thiophene derivate 94A (Y = D) [160] or 94 (Y = T) [161], respectively. The iodo compound 88 (Hal = I) was obtained through reaction of compound 82A with KI3 [162] while the corresponding chloro products 88 (Hal = Cl) were produced with disulphur dichloride [162].
Mercurated heterocycles 82 can be transformed into dihetaryl mercurials 86 in a so-called symmetrisation reaction by heating in an appropriate solvent [156,163,164,165], with basic aluminium oxide in toluene at room temperature [166] or in the presence of sodium iodide [167]. An aryl–aryl coupling to mercury-free biheteroaryl 87 can be achieved through heavy metal catalysis [163,168].
Usually, the structures of the mercury compounds 82–85 were derived from their elemental analyses as well as from the verified structures of their reaction products. Nevertheless, for the compound 83 (X = tfl) and its bithiophene derivative, prepared through reaction of the corresponding parent thiophenes with Hg(tfl)2, X-ray analyses are known [130,169]. In these compounds, the metal organyl moieties are linked to the 2- and 5-positions of the thiophene core. This is in contrast to the compounds formed via reaction of Hg-II compounds with aromatic hydrocarbons. This reaction leads to compounds with variable structures 98a–98e (Scheme 23), their proportion has been determined through subsequent reaction of the primarily formed Hg-adduct with bromine and analysis of the resulting product mixture [170].
Scheme 23.
Products generated through reaction of toluene (97) with Hg(tfl)2.
It is worth mentioning that special mercury compounds have been prepared in the aromatic series also through reaction of appropriate Hg(I)-compounds, such as of Hg2(AsF6)2, with aromatic hydrocarbons [127]. The structures of these products are similar to the ones of the compounds 98 with the change that instead of [Hg(tfl)]+ the cationic group [Hg(AsF6)]+ is present therein. Corresponding investigations are unknown with heteroaromatics.
In addition to the papers dealing with experimental studies on reactions of electron-rich heteroaromatics with Brønsted and Lewis acids considered here, there are also several publications on corresponding theoretical studies. For reactions with Brønsted acids, RHF/6-31G, MP2/6-31G and B3LYP/6-31G methods [171,172], the MINDO method [173] and ab-initio calculation [174] were successfully applied. The results of F. P. Colonna [175] on the interaction of mercuryl halides with furan and thiophene are, in particular, worth mentioning.
Finally, it should be noted that there are also extensive publications on the reactions of arenes with Brønstedt acids, which were summarized in Topics of Current Chemistry I–III by V. A. Barkhash [176], V. G. Shubin [177] and by V. A. Koptyug [55] and could help to understand the chemistry of heteroaromatics reviewed here.
4. Conclusions
A first review about reactions of basic electron-rich heteroaromatic compounds such as furan, thiophene and pyrrole and their benzo-condensed derivatives with Brønsted and Lewis acids is provided. At first glance, the reaction of these heteroaromatic compounds 6, 16 and 21 with Brønsted acids seems to be a simple equilibrium reaction whose direction is only determined by the strength of the acid used and the position-specific proton affinity of the heteroaromatic compound. A detailed consideration reveals, however, that the aromatic π-systems of the heteroaromatic compounds are destroyed by the proton addition giving rise to compounds with a high electrophilicity. This initiates intramolecular proton or substituent migrations as well as ring opening and ring transformation reactions. Moreover, intermolecular reactions with the nucleophilic starting heterocycle, giving rise to the formation of appropriate dimers, oligomers or polymers, can also be induced. Whereas the chemical structures of the products arising through such intermolecular reactions are mostly insufficiently elucidated, the corresponding structures of the primary proton adducts can be resolved well thanks to the use of deuterated acids and the application of modern structural–analytical methods, especially 1H NMR spectroscopy.
However, this statement is nearly not valid for the Lewis acid adducts formed through the reaction of Lewis acids with the heteroaromatic compounds. Although these adducts initiate similar subsequent reactions as observed with the aforementioned proton adducts, there is only sparse information on the structure of the Lewis acid adducts primarily formed. A similar situation is found in reactions of heteroaromatic compounds with Hg(II) salts, where usually only elemental analysis studies exist, or the structure of the primary adducts is concluded from subsequent transformations. Although heteroaryl–mercury compounds are extremely easy to prepare, exhibit a robust stability and offer a large synthetic potential, their application is limited because of toxicity issues.
The field of heterocyclic chemistry described in this review traces back more than 100 years and is still in the focus of contemporary chemistry with applications in the laboratory and industry. It still offers interesting challenges for synthesis also including substituted heterocycles, mechanistic research, theoretical methods and analysis exploiting the modern facilities existing nowadays.
Author Contributions
Conceptualization, H.H.; writing—original draft preparation, H.H.; writing—review and editing, H.H. and J.L. All authors have read and agreed to the published version of the manuscript.
Funding
This research received no external funding
Institutional Review Board Statement
Not applicable.
Informed Consent Statement
Not applicable.
Data Availability Statement
Not applicable.
Conflicts of Interest
The authors declare no conflicts of interest.
References
- Taylor, R.J.K. Electrophilic Aromatic Substitution; Wiley: Chichester, UK, 1990. [Google Scholar] [CrossRef]
- Becker, H.G. Einführung in die Elektronentheorie Organisch—Chemischer Reaktionen, 3rd ed.; VEB Deutscher Verlag der Wissenschaften: Berlin, Germany, 1975; p. 174. [Google Scholar]
- Feng, Q.; Luo, S.; Olmstead, M.; Rauchfuss, T.B.; Stafford, P.R. Activation of Thiophenes by Superacids: Protonation and Polymerization. Chem. Mater. 1979, 9, 641–643. [Google Scholar] [CrossRef]
- Galabov, B.; Nalbantova, D.; Schleyer, P.V.; Schaefer, H.F. Electrophilic Aromatic Substitution: New Insights into an Old Class of Reactions. Acc. Chem. Res. 2016, 49, 1191–1199. [Google Scholar] [CrossRef] [PubMed]
- Lloyd, D.; Marshall, D.R. An Alternative Approach to the Nomenclature of Cyclic Conjugated Polyolefines, Together with Some Observations on the Use of the Term “Aromatic”. Angew. Chem. Int. Ed. 1972, 11, 404–408. [Google Scholar] [CrossRef]
- Zweig, A.; Fischer, R.G.; Lancester, J.E. New Methods for Selective Monofluorination of Aromatics Using Silver Difluoride. J. Org. Chem. 1980, 45, 3597–3603. [Google Scholar] [CrossRef]
- Kanda, J. On the Yield of Eight Isomers of Benzene Hexachloride. J. Am. Chem. Soc. 1960, 82, 3085–3090. [Google Scholar] [CrossRef]
- Belenkii, L.I. Positional Selectivity in Electrophilic Substitution in pi-Excessive Heteroaromatics. Adv. Heterocycl. Chem. 2010, 99, 143–183. [Google Scholar]
- Schatz, J. Product Class 10: Thiophenes, Thiophene 1,1-Dioxides, and Thiophene 1-oxides. In Science of Synthesis; Maas, G., Ed.; Georg Thieme Verlag KG: Stuttgart, Germany, 2002; Volume 9, pp. 287–422. [Google Scholar] [CrossRef]
- Katritzky, A.R.; Scriven, E.F.V.; Majumder, S.; Akhmedova, R.G.; Akhmedov, N.G.; Vakulenko, A.V. Direct Nitration of Five Membered Heterocycles. Arkivoc 2005, 3, 179–191. [Google Scholar] [CrossRef]
- Hogeveen, H. Chemistry and Spectroscopy in Strongly Acidic Solutions I. NMR Spectroscopic Observation of Protonated Thiophenes. Rec. Trav. Chim. Pays-Bas 1966, 85, 1072–1076. [Google Scholar] [CrossRef]
- Hartmann, H. On the Protonation and Deuteration of 2-Methylmercaptothiophene: Formation of a 2′,3′-Dihydro-2,3′-bithiophene Dimer. Tetrahedron Lett. 2023, 117, 154379. [Google Scholar] [CrossRef]
- Yokoyama, Y.; Yamashita, Y.; Takahashi, K.; Sone, T. NMR Study of Protonated Halothiophenes. I. 1H NMR Study of Chlorothiophenium Ions. Bull. Chem. Soc. Jpn. 1983, 56, 2208–2211. [Google Scholar] [CrossRef]
- Yamashita, Y.; Kobayashi, H.; Yoshino, A. NMR Study of Protonated Halothiophenens. II. An Ab Initio Self-Consistent Field Calculation of Protonation of Chlorothiophenes. Bull. Chem. Soc. Jpn. 1984, 57, 1312–1316. [Google Scholar] [CrossRef]
- Wiersum, U.E.; Wynberg, H. Stable Furanonium Ions. Tetrahedron Lett. 1967, 8, 2951–2956. [Google Scholar] [CrossRef]
- Brouwer, D.M.; van Doorn, J.A. Reactions of Hydroxycarbonium Ions in Strong Acids. III. Effect of Structure and Solvent on the Rate of ß-Fission of Dialkyl Hydroxcarbonium Ions. Rec. Trav. Chim. Pays-Bas 1971, 90, 535–548. [Google Scholar] [CrossRef]
- Brouwer, D.M.; van Doorn, J.A. Cracking and Dehydrogenation of Protonated Mesityl oxide. Rec. Trav. Chim. Pays-Bas 1970, 89, 553–568. [Google Scholar] [CrossRef]
- Gassner, R.; Krumbholz, E.; Steuber, F.W. Stable Protonated Pyrroles. Liebigs Ann. Chem. 1981, 1981, 789–791. [Google Scholar] [CrossRef]
- Whipple, E.B.; Chiang, Y.; Hinman, R.L. The Conjugate Acid of 2,5-Dimethylpyrrole. J. Am. Chem. Soc. 1963, 85, 26–30. [Google Scholar] [CrossRef]
- Chiang, Y.; Whipple, E.B. The Protonation of Pyrrole. J. Am. Chem. Soc. 1963, 85, 2763–2767. [Google Scholar] [CrossRef]
- Belenkii, L.I.; Kim, T.G.; Suslov, I.A.; Chuvylkin, N.D. Positional Selectivity in Reactions of Pyrrole and its N-Substituted Derivatives with Electrophiles. Arkivoc 2003, 13, 59–67. [Google Scholar] [CrossRef]
- Xie, Q.; Zhao, Y.; Chen, D.; Zhu, J. Probing Reaction Mechanism of [1,5] Migration on Pyrrolium and Pyrroles: Activation of a Stronger Bond in Electropositive Groups Becomes Easier. Asian J. Chem. 2019, 14, 2604–2613. [Google Scholar] [CrossRef] [PubMed]
- Sigalov, M.V.; Toyota, S.; Oki, M.; Trofimov, B.A. Dynamic Nmr as a Non-destructive Method for Determination of Rates of Dissociation. 21. Dissociation in 1-(1-Haloethyl)Pyrrolium Cations. Bull. Chem. Soc. Jpn. 1994, 67, 1161–1169. [Google Scholar] [CrossRef]
- Bullock, E. The Structure of Pyrrole Salts and the Basic Strength of Simple Pyrroles. Canad. J. Chem. 1958, 36, 1686–1690. [Google Scholar] [CrossRef]
- Abraham, R.J.; Bullock, E.; Mitra, S.S. Physical Properties of Alkyl Pyrroles and Their salts. Canad. J. Chem. 1959, 37, 1859–1869. [Google Scholar] [CrossRef]
- Bean, G.P. Acid-Catalysed Proton Exchange on Pyrrole and N-Methylpyrrole. Chem. Commun. 1971, 421–422. [Google Scholar] [CrossRef]
- Naqvi, N.; Fernando, Q. The Basic Strength of Pyrrole. J. Org. Chem. 1960, 25, 551–554. [Google Scholar] [CrossRef]
- Mosley, J.D.; Ricks, A.M.; Schleyer, P.V.R.; Wu, J.I.; Duncan, M.A. IR Spectroscopy of α- and β-Protonated Pyrrole via Argon Complex Photodissociation. J. Phys. Chem. A 2012, 116, 9689–9695. [Google Scholar] [CrossRef] [PubMed]
- Lui, K.H.; Sammes, M.P. Synthesis and Chemistry of Azolenines. 19. Basicities of Some 2H-Pyrroles and 3H-Pyrroles and the Remarkably Large pKa of 2,2,3,5-Tetramethyl-2H-Pyrrole. J. Phys. Org. Chem. 1990, 3, 555–557. [Google Scholar] [CrossRef]
- Treibs, A.; Kolm, H.G. Über die Basischen und Sauren Eigenschaften des Pyrrolkerns. Liebigs Ann. Chem. 1957, 606, 166–183. [Google Scholar] [CrossRef]
- Hartmann, H.; Schönewerk, J. On the Protonation and Deuteration of Pyrroles. ChemistrySelect 2023, 8, e202301087. [Google Scholar] [CrossRef]
- Marchand, E.; Morel, G.; Sinbandhit, S. A New Access to 2-(Alkylamino)- and 2-(Arylamino)pyrroles by Addition of Isocyanides to Protonated 1-Azabutadienes. Eur. J. Org. Chem. 1999, 1999, 1729–1738. [Google Scholar] [CrossRef]
- Abuelhalawa, R.; Jochims, J.C. On the Reaction of N-Alkylnitrilium Salts with Acetylenes—A New Synthesis of 2-Azoniaallene Salts. Synthesis 1992, 1992, 871–874. [Google Scholar] [CrossRef]
- Sigalov, M.V.; Schmidt, E.Y.; Trofimov, A.B.; Trofimov, B.A. Protonated Forms of 2-(2-Furyl)pyrroles and Their Interconversion—Proton NMR and Quantum-Chemical (MNDO) Study. J. Org. Chem. 1992, 57, 3934–3938. [Google Scholar] [CrossRef]
- Lorenz, U.J.; Lemaire, J.; Maitre, P.; Crestoni, M.E.; Fornarini, S.; Dopfer, O. Protonation of Heterocyclic Aromatic Molecules: IR Signature of the Protonation Site of Furan and Pyrrole. Int. J. Mass Spectrom. 2007, 267, 43–53. [Google Scholar] [CrossRef]
- Nguyen, V.Q.; Turecek, F. Protonation Sites in Gaseous Pyrrole and Imidazole: A Neutralization-Reionization and Ab Initio Study. J. Mass Spectrom. 1996, 31, 1173–1184. [Google Scholar] [CrossRef]
- Robin, D.; Hoppilliard, Y.; Audier, H. Gas-Phase Alkylation of 2-Methylfuran under Chemical Ionization Conditions. Org. Mass Spectrom. 1988, 23, 370–374. [Google Scholar] [CrossRef]
- Nikbin, N.; Caratzoulas, S.; Vlachos, D.G. On the Bronsted Acid-Catalyzed Homogeneous Hydrolysis of Furans. ChemSusChem 2013, 6, 2066–2068. [Google Scholar] [CrossRef] [PubMed]
- Gubina, T.I.; Labunskaya, V.I.; Pankratov, A.N.; Trushin, S.A.; Harchenko, V.G. Recyclization Mechanism of Furans into Thiophenes and Selenophenes in Conditions of Acid Catalysis. 3. Investigation of Recyclization of Furan Homologs and Functional-Derivatives—Quantum-Chemical Calculations of Recyclization Objects. Khim. Geterotsikl. Soedin. 1993, 1614–1620. [Google Scholar] [CrossRef]
- Gubina, T.I.; Labunskaya, V.I.; Pankratov, A.N.; Trushin, S.A.; Kharchenko, V.G. Studies of the Mechanism of Recyclization of Furans into Thiophenes and Selenophenes in Conditions of Acid Catalysis; 5. Direction of Protonation. Khim. Geterotsikl. Soedin. 1993, 12, 898–902. [Google Scholar] [CrossRef]
- Gubina, T.I.; Pankratov, A.N.; Labunskaya, V.I.; Voronin, S.P.; Kharchenko, V.G. Studies on the Mechanism of Recyclization of Furans into Thiophenes and Selenophenes in Conditions of Acid Catalysis; 6. Experiments with Labelled Atoms. Quantum Chemical Calculations of Intermediates of Recyclization and Hydrolysis. Khim. Geterotsikl. Soedin. 1998, 33, 903–909. [Google Scholar] [CrossRef]
- Houriet, R.; Rolli, E.; Bouchoux, G.; Hoppilliard, Y. Gas-Phase Basicities of Furan Compounds—The Role of Alkyl Substitution on Proton Affinity and on the Site of Protonation. Helv. Chim. Acta 1985, 68, 2037–2045. [Google Scholar] [CrossRef]
- Hinman, R.L.; Whipple, E.B. The Protonation of Indoles: Position of Protonation. J. Am. Chem. Soc. 1962, 84, 2534–2539. [Google Scholar] [CrossRef]
- Andonovski, B.; Stojkovic, G.M. UV study of Indole and 3-Acetylindole in Phosphoric Acid and Hydrochloric Acid Solution. Acta Chim. Slov. 2000, 47, 349–362. [Google Scholar]
- Budylin, V.A.; Kost, A.N.; Mateevy, E.D. Indole Chemistry XXIX: Prototropic Rearrangement of 3-Alkyl- and 3-Arylindoles. Chem. Het. Comp. 1972, 8, 52–56. [Google Scholar] [CrossRef]
- Andonovski, B.; Spirevska, I.; Nikolovski, A. UV Study of the Protonation of Indole and 3-Substituted Indoles in Perchloric Acid Media. Croat. Chem. Acta 1996, 69, 1201–1213. [Google Scholar]
- Olah, G.A.; Brydon, D.L.; Porter, R.D. Stable Carbonium ions. LXXXIII. Protonation of Amino Acids, Simple Peptides and Insulin in Superacidic Solutions. J. Org. Chem. 1970, 35, 317–328. [Google Scholar] [CrossRef]
- McAllister, T. Possible Heterocyclic Ions in the Reaction Zones of Flames with Added Nitrogen or Sulfur. Aust. J. Chem. 1984, 37, 511–516. [Google Scholar] [CrossRef]
- Takhistov, V.V.; Ponomarev, D.A.; Misharev, A.D.; Orlov, V.M.; Pikhlaiya, K. Isomerization and Fragmentation of Certain Ionized Allyl and 1-Propenyl Ethers of Phenols—Determination of Enthalpies of Formation of C8H7O+, C9H9O+ Isomeric Ions and Series of Model Ions by the Photoionization Technique and Calculating Methods. Zh. Obshch. Khim. 1994, 64, 110–118. [Google Scholar]
- Okazaki, T.; Nakagawa, M.; Kitagawa, T.; Laali, K.K. Experimental NMR and DFT Studies of Persistent Carbocations Derived from Hetero-Polycyclic Aromatic Hydrocarbons Containing Oxygen Atom: Dibenzo[b,d]furan, Benzo[b]Naphtho[1,2-d]furan, Benzo[b]naphtho[2,3-d]furan, Benzo[b]naphtho[2,1-d]furan, and Dinaphtho[2,1-b:1′2′-d]furan. Bull. Chem. Soc. Jpn. 2014, 87, 1235–1244. [Google Scholar] [CrossRef]
- Laali, K.K.; Chun, J.H.; Okazaki, T.; Kumar, S.; Borosky, G.L.; Swartz, C. Electrophilic Chemistry of Thia-PAHs: Stable Carbocations (NMR and DFT), S-Alkylated Onium Salts, Model Electrophilic Substitutions (Nitration and Bromination), and Mutagenicity Assay. J. Org. Chem. 2007, 72, 8383–8393. [Google Scholar] [CrossRef] [PubMed]
- Hartmann, H.; Heichert, C. On the Protonation and Deuteration of Per-Arylated Amines. ChemistrySelect 2021, 6, 13773–13780. [Google Scholar] [CrossRef]
- Chen, H.J.; Hakka, L.E.; Hinman, R.L.; Kresge, A.J.; Whipple, E.B. The Basic Strength of Carbazole. An Estimation of the Nitrogen Basicity of Pyrrole and Indole. J. Am. Chem. Soc. 1971, 93, 5102–5107. [Google Scholar] [CrossRef]
- Olah, G.A.; Schlosberg, R.H.; Porter, R.D.; Mo, Y.K.; Kelly, D.P.; Matescu, G.D. Stable Carbocations. CXXIV. The Benzenium Ion and Monoalkylbenzenium Ions. J. Am. Chem. Soc. 1972, 94, 2034–2043. [Google Scholar] [CrossRef]
- Koptyug, V.A. Contemporary Problems in Carbonium Ion Chemistry III: Arenium Ions-Structure and Reactivity. In Topics in Current Chemistry; Springer: Berlin/Heidelberg, Germany, 1984; Volume 122, p. 250. [Google Scholar]
- Roberts, R.M.G. Studies in Trifluoromethanesulfonic Acid. 2. Kinetics and Mechanism of Isomerization of Xylenes. J. Org. Chem. 1982, 47, 4050–4053. [Google Scholar] [CrossRef]
- Bakoss, H.J.; Roberts, R.M.G.; Sadri, A.R. Studies in Trifluoromethanesulfonic Acid. 3. Kinetics and Mechanism of Transalkylation Reactions. J. Org. Chem. 1982, 47, 4053–4055. [Google Scholar] [CrossRef]
- Rozanska, X.; Saintigny, X.; van Santen, R.A.; Hutschka, F. A DFT Study of Isomerization and Transalkylation Reactions of Aromatic Species Catalyzed by Acidic Zeolites. J. Catal. 2001, 202, 141–155. [Google Scholar] [CrossRef]
- Rozanska, X.; van Santen, R.A.; Hutschka, F.; Hafner, J. A Periodic DFT Study of the Isomerization of Thiophenic Derivatives Catalyzed by Acidic Mordenite. J. Catal. 2002, 205, 388–397. [Google Scholar] [CrossRef]
- Richard, F.; Boita, T.; Moreau, M.; Bachmann, C.; Pérot, G. Transformation of Thiophenic Compounds Over HY Zeolite Study of the Acid-Catalyzed Isomerization and Disproportionation Mechanisms by Quantum Chemical Calculations. J. Mol. Catal. A-Chem. 2007, 273, 48–54. [Google Scholar] [CrossRef]
- Boita, T.; Moreau, M.; Richard, F.; Pérot, G. Transformation of Thiophenic Compounds Over Acidic Zeolites. Appl. Catal. A-Gen. 2006, 305, 90–101. [Google Scholar] [CrossRef]
- Patterson, J.M.; Ferry, J.D.; Dehaan, J.W.; Boyd, M.R. Thermal Rearrangements of (Substituted Allyl)Dialkyl-2H-Pyrroles. J. Am. Chem. Soc. 1975, 97, 360–362. [Google Scholar] [CrossRef][Green Version]
- Fischer, E.; Schmidt, T. Über 3-Phenylindol. Ber. Dtsch. Chem. Ges. 1888, 21, 1811–1812. [Google Scholar] [CrossRef]
- Hamel, P.; Girard, Y.; Atkinson, J.G.; Bernstein, M.A. Unexpected Acid-Catalyzed Rearrangement of Certain 3-(Arylthio)Indoles to 2-(2-Aminophenyl)Benzothiophenes. J. Chem. Soc. Chem. Comm. 1990, 1072–1074. [Google Scholar] [CrossRef]
- Jackson, A.H.; Smith, P. Electrophilic Substitution in Indoles. III. Rearrangement of 3,3-Dialkyl indolenines. Tetrahedron 1968, 24, 2227–2239. [Google Scholar] [CrossRef]
- Jackson, A.H.; Lynch, P.P. Electrophilic Substitution in Indoles. 12. Kinetic-Studies of the Rearrangement of 3,3-Disubstituted Indolenines to 2,3-Disubstituted Indoles. J. Chem. Soc. Perk. Trans. 2 1987, 1215–1219. [Google Scholar] [CrossRef]
- Allen, C.F.H.; Young, D.M.; Gilbert, G.M. Indole Formation from Pyrroles. J. Org. Chem. 1937, 2, 235–244. [Google Scholar] [CrossRef]
- Brouwer, D.M.; Van Doorn, J.A.; Kiffen, A.A. Reactions of Hydrocarbonium Ions. VII. Rearrangement of the 2,5,5-Trimethyldihydrofuryl Ion, a Heteroaromatic Carbonium-Ion Rearrangement. Rec. Trav. Chim. Pays-Bas 1972, 91, 1359–1363. [Google Scholar] [CrossRef]
- Nakahara, H.; Yamaguchi, J. Aryl Dance Reaction of Arylbenzoheteroles. Org. Lett. 2022, 24, 8083–8087. [Google Scholar] [CrossRef] [PubMed]
- Bunnett, J.F. The Base-Catalysed Halogen Dance, and Other Reactions of Aryl Halides. Acc. Chem. Res. 1972, 5, 139–147. [Google Scholar] [CrossRef]
- Liu, L.H.; Doucet, H. One Pot Access to 2′-Aryl-2,3′-bithiophenes via Twofold Palladium-Catalyzed C-X/C-H Coupling Associated to a Pd-1,4-Migration. Adv. Synth. Catal. 2022, 364, 2783–2795. [Google Scholar] [CrossRef]
- Schreiner, H. Darstellung von Deuterothiophenen durch Wasserstoffaustausch. Monatsh. Chem. 1951, 82, 702–707. [Google Scholar] [CrossRef]
- Mikaya, A.I.; Romanov, G.D.; Zaikin, V.G. Gas-Phase Deuterium-Exchange of Fluorenes, Furans, and Thiophenes in the Inlet System of a Gas-Chromatograph Mass-Spectrometer. Bull. Acad. Sci. USSR 1991, 40, 653–654. [Google Scholar] [CrossRef]
- Fajer, J.; Borg, D.C.; Forman, A.; Felton, R.H.; Vegh, L.; Dolphin, D. ESR Studies of Porphyrin pi-Cations: The 2A1u and 2A2u States. Ann. N. Y. Acad. Sci. 1973, 206, 349–364. [Google Scholar] [CrossRef] [PubMed]
- Fischer, O.; Hubert, A.; Heinrich, M.R. Shifted Selectivity in Protonation Enables the Mild Deuteration of Arenes Through Catalytic Amounts of Bronsted Acids in Deuterated Methanol. J. Org. Chem. 2020, 85, 11856–11866. [Google Scholar] [CrossRef] [PubMed]
- Darshana, D.; Sureram, S.; Mahidol, C.; Ruchirawat, S.; Kittakoop, P. Spontaneous Conversion of Prenyl Halides to Acids: Application in Metal-Free Preparation of Deuterated Compounds Under Mild Conditions. Org. Biomol. Chem. 2021, 19, 7390–7402. [Google Scholar] [CrossRef] [PubMed]
- Schwetlick, K.; Unverferth, K. Die Relativen Geschwindigkeiten für den sauer katalysierten Wasserstoffisotopenaustausch von substituierten Benzolen, Thiophen, Furan, Selenophen und Pyrrol. J. Prakt. Chem. 1972, 314, 603–611. [Google Scholar] [CrossRef]
- Li, E.C.; Hu, G.Q.; Zhu, Y.X.; Zhang, H.H.; Shen, K.; Hang, X.C.; Zhang, C.; Huang, W. Ag2CO3-Catalyzed H/D Exchange of Five-Membered Heteroarenes at Ambient Temperature. Org. Lett. 2019, 21, 6745–6749. [Google Scholar] [CrossRef] [PubMed]
- Sheng, F.; Li, E.C.; Bai, J.-W.; Wang, C.X.; Hu, G.Q.; Liu, K.-H.; Sun, Z.Y.; Shen, K.; Zhang, H.H. Silver Salt Enabled H/D Exchange at the β-Position of Thiophene Rings: Synthesis of Fully Deuterated Thiophene Derivatives. Org. Biomol. Chem. 2022, 20, 1176–1188. [Google Scholar] [CrossRef] [PubMed]
- Clark, P.D.; Primax, A. Studies on the Deuteration of Aromatic Organosulfur Compounds Using Aqueous Transition Metal Species. Phosphorous Sulfur Silicon Relat. Elem. 1993, 84, 149–157. [Google Scholar] [CrossRef]
- Heichert, C.; Hartmann, H. On the Protonation and Deuteration of Disubstituted 2-Aminothiophenes, 2-Aminothiazoles, and Some 3-Amino Substituted Analogues. J. Heterocycl. Chem. 2021, 58, 1531–1540. [Google Scholar] [CrossRef]
- Dennstedt, M.; Zimmermann, J. Über die Durch Einwirkung von Salzsäure auf die Pyrrole Entstehenden Basen. Ber. Dtsch. Chem. Ges. 1888, 21, 1478–1481. [Google Scholar] [CrossRef]
- Potts, H.A.; Smith, G.F. The Structure of Pyrrole Trimer. J. Chem. Soc. 1957, 4018–4022. [Google Scholar] [CrossRef]
- Xiang, Y.B.; Drenkard, S.; Baumann, K.; Hickey, D.; Eschenmoser, A. Chemistry of Alpha-Amino Nitriles. 12. Exploratory Experiments on Thermal-Reactions of Alpha-Amino Nitriles. Helv. Chim. Acta 1994, 77, 2209–2250. [Google Scholar] [CrossRef]
- Smith, G.F. The Acid-Catalysed Polymerisation of Pyrroles and Indoles. Adv. Heterocycl. Chem. 1962, 2, 287–309. [Google Scholar] [CrossRef]
- Curtis, R.F.; Jones, D.M.; Ferguson, G.; Hawley, D.M.; Sime, J.G.; Cheung, K.K.; German, G. The Structure of the “Trimer” and “Pentamer” Obtained on Polymerisation of Thiophen und Phosphoric Acid. Chem. Commun. 1969, 165–166. [Google Scholar] [CrossRef]
- Meisel, S.L.; Johnson, G.C.; Hartouch, H.D. Polymerisation of Thiophene and Alkylthiophene. J. Am. Chem. Soc. 1950, 72, 1910–1912. [Google Scholar] [CrossRef]
- Armour, M.; Davies, A.G.; Upadhyay, J.; Wassermann, A. Colored Electrically Conducting Polymers from Furan, Pyrrole, and Thiophene. J. Polymer Sci. A, Polymer Chem. 1967, 5, 1527–1538. [Google Scholar] [CrossRef]
- Kovacic, P.; Mcfarland, K.N. Polymerization of Aromatic Nuclei. 19. Polymerization of Thiophene by Aluminum-Chloride. J. Polym. Sci. A Polym. Chem. 1979, 17, 1963–1976. [Google Scholar] [CrossRef]
- Geobaldo, F.; Palomino, G.T.; Bordiga, S.; Zecchina, A.; Areán, C.O. Spectroscopic Study in the UV-Vis, Near and Mid IR of Cationic Species Formed by Interaction of Thiophene, Dithiophene and Terthiophene with the Zeolite H-Y. Phys. Chem. Chem. Phys. 1999, 1, 561–569. [Google Scholar] [CrossRef]
- Ong, C.; Bayley, P.M.; Winther-Jensen, O.; Winther-Jensen, B. Toward a Trace-Free Oxidant-Insight into Unexpected High Yields of Vapor Phase Polymerized Polyterthiophene. Polym. J. 2013, 45, 391–395. [Google Scholar] [CrossRef]
- So, J.H.; Mayevsky, D.; Winther-Jensen, O.; Winther-Jensen, B. A Novel Route for Polymerisation of Thiophene Based Conducting Polymers Using Trace-Free Oxidants. Polym. Chem. 2014, 5, 361–364. [Google Scholar] [CrossRef]
- Piancatelli, G.; Dauria, M.; Donofrio, F. Synthesis of 1,4-Dicarbonyl Compounds and Cyclopentenones from Furans. Synthesis 1994, 1994, 867–889. [Google Scholar] [CrossRef]
- Grandmaison, J.L.; Chantal, P.D.; Kaliaguine, S.C. Conversion of Furanic Compounds Over H-ZSM-5 Zeolite. Fuel 1990, 69, 1058–1061. [Google Scholar] [CrossRef]
- Cheng, Y.T.; Huber, G.W. Chemistry of Furan Conversion into Aromatics and Olefins Over H-ZSM-5: A Model Biomass Conversion Reaction. ACS Catal. 2011, 1, 611–628. [Google Scholar] [CrossRef]
- Gilbert, C.J.; Espindola, J.S.; Conner, W.C.; Trierweiler, J.O.; Huber, G.W. The Effect of Water on Furan Conversion over ZSM-5. ChemCatChem 2014, 6, 2497–2500. [Google Scholar] [CrossRef]
- Vaitheeswaran, S.; Green, S.K.; Dauenhauer, P.; Auerbach, S.M. On the Way to Biofuels from Furan: Discriminating Diels Alder and Ring-Opening Mechanisms. ACS Catal. 2013, 3, 2012–2019. [Google Scholar] [CrossRef]
- Hu, X.; Jiang, S.J.; Kadarwati, S.; Dong, D.H.; Li, C.Z. Effects of Water and Alcohols on the Polymerization of Furan During its Acid-Catalyzed Conversion into Benzofuran. RSC Adv. 2016, 6, 40489–40501. [Google Scholar] [CrossRef]
- Abe, T.; Shimizu, T. Acid-Catalyzed Dimerization Reactions of 2- and 3-Methylbenzofuranes. Nippon Kagaku Zasshi 1970, 91, 753–759. [Google Scholar] [CrossRef][Green Version]
- Clark, P.D.; Clarke, K.; Ewing, D.F.; Scrowston, R.M. Addition-Reactions of Benzo[b]Thiophen. 1. Self-Addition and Addition of Simple Aromatic-Hydrocarbons. J. Chem. Soc. Perk. Trans. 1 1980, 677–685. [Google Scholar] [CrossRef]
- Smith, G.F.; Walters, A.E. Indoles. V. 3-Alkylindole Dimers. J. Chem. Soc. 1961, 940–943. [Google Scholar] [CrossRef]
- Schmitz-Dumont, O.; Nocolojannis, B. Über die Polymersation des Indols. I. Die Darstellung des Diindols. Ber. Dtsch. Chem. Ges. 1930, 63, 323–328. [Google Scholar] [CrossRef]
- Smith, G.F. The dimerization and trimerization of indole. Chem. Ind. 1954, 1451–1452. [Google Scholar]
- Schmitz-Dumont, O.; Nicolojannis, B.; Schnorrenberger, E.; Saenger, H.H. Über die Polymerisation des Indols. II. Mitteilung. Die Einwirkung von wäßrigen Halogenwasserstoffen auf Indol. J. Prakt. Chem. 1931, 131, 146–181. [Google Scholar] [CrossRef]
- Keller, K. Über Polymere Indole. Ber. Dtsch. Chem. Ges. 1913, 46, 726–733. [Google Scholar] [CrossRef]
- Noland, W.E.; Hammer, C.F. Mixed Indole Dimers, Trimers, and Their Acyl Derivatves. J. Org. Chem. 1961, 26, 1525–1535. [Google Scholar] [CrossRef]
- Stephan, D.W.; Erker, G. Frustrated Lewis Pair Chemistry: Development and Perspectives. Angew. Chem. Ed. Engl. 2015, 54, 6400–6441. [Google Scholar] [CrossRef] [PubMed]
- Stephan, D.W. Frustrated Lewis Pairs. J. Am. Chem. Soc. 2015, 137, 10018–10032. [Google Scholar] [CrossRef] [PubMed]
- Li, N.; Zhang, W.-X. Frustrated Lewis Pairs: Discovery and Overview in Catalysis. Chin. J. Chem. 2020, 38, 1330–1370. [Google Scholar] [CrossRef]
- Vo, M.N.; Basdogan, Y.; Derksen, B.S.; Proust, N.; Cox, G.A.; Kowall, C.; Keith, J.A.; Johnson, J.K. Mechanism of Isobutylene Polymerisation: Quantum Chemical Insight into AlCl3/H2O-Catalysed Reactions. ACS Catal. 2018, 8, 8006–8013. [Google Scholar] [CrossRef]
- Kobayashi, S.; Busujima, T.; Nagayama, S. A Novel Classification of Lewis Acids on the Basis of Activity and Selectivity. Chem. Eur. J. 2000, 6, 3491–3494. [Google Scholar] [CrossRef] [PubMed]
- Zawodzinski, T.A.; Janiszewska, L.; Osteryoung, R.A. On the Chemistry of Pyrrole in Room-Temperature Chloroaluminate Melts. J. Electroanal. Chem. 1988, 255, 111–117. [Google Scholar] [CrossRef]
- Hartmann, H.; Schoenewerk, J. On the Interaction of Lewis Acids on Pyrroles and Indoles. Z. Naturforschung, 2024; submitted. [Google Scholar] [CrossRef]
- Kabasakalolu, M.; Kiyak, T.; Toprak, H.; Aksu, M.L. Electrochemical Properties of Polythiophene Depending on Preparation Conditions. Appl. Surf. Chem. 1999, 152, 115–125. [Google Scholar] [CrossRef]
- Can, M.; Pekmez, K.; Pekmez, N.; Yildiz, A. Electropreparation and Electrochemical Stability of Polythiophenes in Acetonitrile Containing Anhydrous HBF. J. Appl. Polym. Sci. 2000, 77, 312–322. [Google Scholar] [CrossRef]
- Schrebler, R.; Grez, P.; Cury, P.; Veas, C.; Merino, M.; Gomez, H.; Cordova, R.; del Valle, M.A. Nucleation and Growth Mechanisms of Poly(thiophene)—Part 1. Effect of Electrolyte and Monomer Concentration in Dichloromethane. J. Electroanal. Chem. 1997, 430, 77–90. [Google Scholar] [CrossRef]
- Wei, Y.; Chan, C.-C.; Tian, J.; Jang, G.-W.; Hsueh, K.F. Electrochemical Polymerization of Thiophenes in the Presence of Bithiophene or Terthiophene: Kinetics and Mechanism of the Polymerization. Chem. Mater. 1991, 3, 888–897. [Google Scholar] [CrossRef]
- Valencia, D.; Whiting, G.T.; Bulo, R.E.; Weckhuysen, B.M. Protonated Thiophene-Based Oligomers as Formed within Zeolites: Understanding Their Electron Delocalization and Aromaticity. Phys. Chem. Chem. Phys. 2016, 18, 2080–2086. [Google Scholar] [CrossRef] [PubMed]
- Lee, S.J.; Jung, M.; Cheong, T.W.; Lee, H.; Kim, J.H. A Facile Route of Polythiophene Nanoparticles via Fe3+ Catalysed Oxidative Polymerization in Aqueous Medium. J. Polymer Sci. A Polymer Chem. 2008, 46, 2097–2107. [Google Scholar] [CrossRef]
- Sakanishi, K.; Obata, H.; Mochida, I.; Sakaki, T.; Shibata, M. Selective Dimerization of Benzothiophene Using Supported Aluminum Sulfate Under Supercritical CO Conditions. J. Supercrit. Fluids 1998, 13, 203–210. [Google Scholar] [CrossRef]
- Schmitz-Dumont, O.; Motzkus, E. Über die Nebenvalenzkräfte des Indol-Stickstoffs. Ber. Dtsch. Chem. Ges. 1929, 62, 466–473. [Google Scholar] [CrossRef]
- Schmitz-Dumont, O.; Hamann, K.; Diebold, A. Über die Katalytische Polymerisation von Äthylenderivaten. II Der Mechanismus der Dimerisation. Ber. Dtsch. Chem. Ges. 1938, 71, 205–220. [Google Scholar] [CrossRef]
- Bruce, J.; Challenger, F.; Gibson, H.B.; Allenby, W. Substitution and Polymerisation Reactions of Thiophene and the Isomeric Thiophthenes. J. Inst. Petrol. 1948, 34, 226–235. [Google Scholar]
- Goldstein, I.P.; Ilicheva, Z.F.; Slovokhotova, N.A.; Guryanova, E.N.; Kocheshkov, K.A. A Spectroscope Investigation of Complexes formed by Thiophane and Thiophene with the Tin Tetrachoride. Dokl. Acad. Nauk USSR 1962, 144, 788–791. [Google Scholar]
- Goldstein, L.P.; Gurjanowa, J.N.; Kotschechkow, K.A. Complexes of Tin Tetrachloride with Hetero-containing Unsaturated Compounds. Dokl. Acad. Nauk USSR 1962, 144, 569–572. [Google Scholar]
- Korshak, V.V.; Sultanov, A.S.; Abduvaliev, A.A. Polymerisation of Furan and Sylvan with the Aid of Ionic Catalyst. Uzbekskii Khim. Zh. 1959, 39–46. [Google Scholar]
- Dean, P.A.W.; Ibbott, D.G.; Stothers, J.B. Mercury(I) Chemistry. 1. Complexes of Mercurous Ion with Some Arenes. Can. J. Chem. 1976, 54, 166–176. [Google Scholar] [CrossRef]
- Benvenuti, F.; Galletti, A.M.R.; Carlini, C.; Sbrana, G.; Nannini, A.; Bruschi, P. Synthesis, Structural Characterization and Electrical Properties of Highly Conjugated Soluble Poly(furan)s. Polymer 1997, 38, 4973–4982. [Google Scholar] [CrossRef]
- Li, X.G.; Kang, Y.; Huang, M.R. Optimization of Polymerization Conditions of Furan with Aniline for Variable Conducting Polymers. J. Comb. Chem. 2006, 8, 670–678. [Google Scholar] [CrossRef] [PubMed]
- Lannes, A.; Manceau, A.; Rovezzi, M.; Glatzel, P.; Joly, Y.; Gautier-Luneau, I. Intramolecular Hg⋯π Interactions of d-Character with Non-Bridging Atoms in Mercury-Aryl Complexes. Dalton Trans. 2016, 45, 14035–14038. [Google Scholar] [CrossRef] [PubMed]
- Olinga, T.; Francois, B. Kinetics of Polymerization of Thiophene by FeCl3 in Chloroform and Acetonitrile. Synth. Met. 1995, 69, 297–298. [Google Scholar] [CrossRef]
- Senthilkumar, B.; Thenamirtham, P.; Selvan, R.K. Structural and Electrochemical Properties of Polythiophene. Appl. Surf. Sci. 2011, 257, 9063–9067. [Google Scholar] [CrossRef]
- Thanasamy, D.; Jesuraj, D.; Kannan, S.K.K.; Avadhanam, V. A Novel Route to Synthesis Polythiophene with Great Yield and High Electrical Conductivity Without Post Doping Process. Polymer 2019, 175, 32–40. [Google Scholar] [CrossRef]
- Kasisomayajula, S.; Jadhav, N.; Gelling, V.J. In Situ Preparation and Characterization of a Conductive and Magnetic Nanocomposite of Polypyrrole and Copper Hydroxychloride. RSC Adv. 2016, 6, 967–977. [Google Scholar] [CrossRef]
- Volhard, J. Über Verbindungen des Thiophens, seiner Homologen und einiger Ketone mit Quecksilberchlorid. Liebigs Ann. Chem. 1892, 267, 172–185. [Google Scholar] [CrossRef]
- Steinkopf, W.; Burmeister, M. Über Quecksilberchloridthiophene. Liebigs Ann. Chem. 1914, 403, 50–66. [Google Scholar] [CrossRef]
- Steinkopf, W. Studien in der Thiophenreihe. Über Quecksilber- und Arsen-Thiophenverbindungen. Liebigs Ann. Chem. 1916, 413, 310–333. [Google Scholar] [CrossRef]
- Steinkopf, W.; Killingstad, A. Studien in der Thiophenreihe. XL. Quecksilberderivate des Thiophens. Liebigs Ann. Chem. 1937, 532, 288–293. [Google Scholar] [CrossRef]
- Gilman, H.; Wright, G.F. Furan Mercurials. J. Am. Chem. Soc. 1933, 55, 3302–3314. [Google Scholar] [CrossRef]
- Ciusa, R.; Grilla, G. Mercuric Compounds of Furan and of Pyrrole. Gazz. Chim. Ital. 1927, 57, 323–329. [Google Scholar]
- Yus, M. Arene-Catalysed Lithiation Reactions. Chem. Soc. Rev. 1996, 25, 155–161. [Google Scholar] [CrossRef]
- Steinkopf, W. Die Chemie des Thiophens; Verlag von Steinkopff: Dresden, Germany, 1941; Volume 53, p. 232. [Google Scholar] [CrossRef]
- Fischer, H.; Müller, R. Über Quecksilber- und Arsenverbindungen einiger Pyrrole. Z. Physiol. Chem. 1925, 148, 155–180. [Google Scholar] [CrossRef]
- Song, G.P.; Liu, L.; Han, J.; Wang, C.Y.; Wang, G.X. Polypyrrole Single and Double-Shelled Nanospheres Templated by Pyrrole-Hg(II) Complex: Synthesis, Characterization, Formation Mechanism and Electrochemical Performance. Synth. Met. 2014, 197, 126–133. [Google Scholar] [CrossRef]
- Guillaumel, J.; Royer, R. Synthese d’Ethers Diéthylamino Ethyliques de Bibenzofurannes et de Bis-Benzofuryl Cétones. J. Heterocycl. Chem. 1986, 23, 1277–1282. [Google Scholar] [CrossRef]
- Challenger, F.; Royer, R. The Mercuration of Thionaphthen. J. Chem. Soc. 1939, 1005–1008. [Google Scholar] [CrossRef]
- Weißgerber, R.; Kruber, O. Über das Thionaphthen im Steinkohlenteer. Ber. Dtsch. Chem. Ges. 1920, 53, 1551–1565. [Google Scholar] [CrossRef][Green Version]
- Bezdrik, A.; Friedländer, P.; Koeniger, P. Über Einige Derivate des Thionaphthens. Ber. Dtsch. Chem. Ges. 1908, 41, 227–242. [Google Scholar] [CrossRef]
- Ramachandran, L.K.; Witkop, B. The Interaction of Mercury Actetate with Indoles, Tryptophan and Peptides. Biochemistry 1964, 3, 1603–1611. [Google Scholar] [CrossRef] [PubMed]
- Yudin, L.G.; Pavlyuchenko, A.I.; Kost, A.N. The Mercuration of Indoles in Acetic Anhydride Medium. Khim. Getertsik. Soed. 1970, 6, 275. [Google Scholar] [CrossRef]
- Reck, C.E.; Bretschneider-Hurley, A.; Heeg, M.J.; Winter, C.H. Synthesis, Structure, and Reactivity of a 2,3-Dialuminated Indole Derivative. Organometallics 1998, 17, 2906–2911. [Google Scholar] [CrossRef]
- Banerji, A.; Sarkar, M. Reactions of Indoles with Mercury (II) Salts. Proc. Indian Acad. Sci. Chem. Sci. 1982, 91, 247–254. [Google Scholar] [CrossRef]
- Pinhey, J.T.; Roche, E.G. The Chemistry of Organolead(IV)tricarboxylates—Synthesis and Electrophilic Heteroarylation Reactions of 2-Thienyl-Lead and 3-Thienyl-Lead, and 2-Furyl-Lead and 3-Furyl-Lead Tricarboxylates. J. Chem. Soc. Perk. Trans. 1 1988, 2415–2421. [Google Scholar] [CrossRef]
- Schmidbaur, H.; Oller, H.J.; Wilkinson, D.L.; Huber, B.; Muller, G. Extremely Short Mercury-Mercury Contacts in Peri-Dimercurated Naphthalene Compounds. Chem. Ber. 1989, 122, 31–36. [Google Scholar] [CrossRef]
- Partyka, D.V.; Gray, T.G. Facile Syntheses of Homoleptic Diarylmercurials via Arylboronic Acids. J. Organomet. Chem. 2009, 694, 213–218. [Google Scholar] [CrossRef]
- Obafemi, C.A. Studies of Heterocyclic-Compounds. 3. Synthesis and Thermal Decompositions of Some 2-Thiophenemercuric Derivatives. J. Organomet. Chem. 1981, 219, 1–7. [Google Scholar] [CrossRef]
- Nyulaszi, L.; Gyuricza, A.; Veszpremi, T. Tertiary Butylation of 5 Membered Heterocycles—A UPS Study. Tetrahedron 1987, 43, 5955–5959. [Google Scholar] [CrossRef]
- Larock, R.C.; Hershberger, S.S. Mercury in Organic-Chemistry. 19. Rhodium Promoted Methylation of Organomercurials. Tetrahedron Lett. 1981, 22, 2443–2446. [Google Scholar] [CrossRef]
- Matiychuk, V.S.; Teslenko, Y.O.; Obushak, M.D. Methods for Synthesis of 2-Amino-5-(2-thienylmethyl)thiazole. Chem. Heterocycl. Comp. 2004, 40, 1502–1503. [Google Scholar] [CrossRef]
- Kammerer, R.C.; Kloc, K. Synthesis of a Deuterium Labeled Variant of the Rat Hepatocarcinogen, Methapyrilene. J. Labelled Compd. Radiopharn. 1987, 24, 1469–1477. [Google Scholar] [CrossRef]
- Buu-Hoi, N.P. Note on the Synthesis of Thiophene and Thiophene Derivatives Labelled by Radioactive Elements. Bull Chem. Soc. France 1958, 1407–1408. [Google Scholar]
- Khodeir, M.N.M.; Skulski, L.; Wroczynski, P. Preparation of 2-Chlorofuran and 2-Chlorothiophene from the Respective Furan and Thiophene Mercurials and Disulfur Dichloride. Bull. Polish Acad. Sci. Chem. 1987, 34, 443–448. [Google Scholar]
- Kretchmer, R.A.; Glowinski, R. Organomercury Compounds as Synthetic Intermediates—Coupling of Aryl-Mercuric Salts. J. Org. Chem. 1976, 41, 2661–2662. [Google Scholar] [CrossRef]
- Garti, N.; Halpern, Y. Arylmercury Compounds I. A General Procedure for the Preparation of Diarylmercury Compounds by Symmetrisation Reactions. J. Appl. Chem. Biotech. 1975, 25, 249–258. [Google Scholar] [CrossRef]
- Halpern, Y.; Garti, N. Arylmercury Compounds. 6. Asymmetric Diarylmercury Compounds. Isr. J. Chem. 1975, 13, 205–211. [Google Scholar] [CrossRef]
- Bell, N.A.; Johnson, D.; Skinner, M.J. Symmetrization of Organomercury(II) Chlorides Using Basic Alumina. Appl. Organomet. Chem. 1998, 12, 475–478. [Google Scholar] [CrossRef]
- Cherbuliez, E.; Giddey, C. Sur l’a-Rhodanothiophene et sa Condensation Avec le Chloral. Helv. Chim. Acta 1952, 35, 160–166. [Google Scholar] [CrossRef]
- More, P.G.; Desai, B.J. Transition Metal Catalyzed Reactions of Organomercurials. I: Palladium-Catalyzed Acyldemetalation and Cross-Coupling Reactions. Asian J. Chem. 1993, 5, 943–947. [Google Scholar]
- Hogg, J.M.; Brown, L.C.; Matuszek, K.; Latos, P.; Chrobok, A.; Swadzba-Kwasny, M. Liquid Coordination Complexes of Lewis Acidic Metal Chlorides: Lewis Acidity and Insights into Speciation. Dalton Trans. 2017, 46, 11561–11574. [Google Scholar] [CrossRef] [PubMed]
- Brown, H.C.; Wirkkala, R.A. Trifluoroacetic Acid as a Medium for Electrophilic Substitution Reactions. Rates and Isomer Distributions for the Bromination, Nitration, and Mercuration of Benzene and Toluene in Trifluoroacetic Acid. J. Am. Chem. Soc. 1966, 88, 1447–1452. [Google Scholar] [CrossRef]
- Belenkii, L.I.; Suslov, I.A.; Chuvylkin, N.D. Substrate and Positional Selectivity in Electrophilic Substitution Reactions of Pyrrole, Furan, Thiophene, and Selenophene. Chem. Het. Comp. 2003, 39, 36–38. [Google Scholar] [CrossRef]
- Belen’kii, L.I.; Nesterov, I.D.; Chuvylkin, N.D. Quantum-Chemical Investigation of the Electrophile Affinity of Five-membered Heterocycles with One Heteroatom and Some Model Systems. Chem. Het. Comp. 2008, 44, 1339–1346. [Google Scholar] [CrossRef]
- Houriet, R.; Schwarz, H.; Zummack, W.; Andrade, J.G.; von Ragué Schleyer, P. The α-vs ß-Protonation of Pyrrole, Furan, Thiophene and Cyclopentadiene. Gas Phase Proton and Hydrogen Affinities. The Bishomocyclopropenyl Cation. Nouv. J. Chim. 1981, 5, 505–509. [Google Scholar]
- Bernasconi, C.F.; Wenzel, J.P. Effect of Transition State Aromaticity and Antiaromativcity on Intrinsic Barriers of Proton Transfers in Aromatic and Antiaromatic Heterocyclic Systems; An ab Initio Study. J. Org. Chem. 2010, 75, 8422–8434. [Google Scholar] [CrossRef] [PubMed]
- Colonna, F.P.; Distefano, G.; Guerro, M.; Jones, D.; Modelli, A. Furyl- and Thienylmercury Derivatives Studied by Means of Ultraviolet Photoelectron Spectroscopy. Evidence for the Participation in Bonding of the Vacant 6pπ Orbitals of Mercury in Bis(2-furyl)- and Bis(2-thienyl)mercury. Dalton Trans. 1979, 2037–2041. [Google Scholar] [CrossRef]
- Barkash, V.A. Nonclassical Carbocations. In Topics in Current Chemistry; Rees, C., Ed.; Springer: Berlin/Heidelberg, Germany, 1984; Volume 116–117, p. 249. [Google Scholar]
- Shubin, V.G. Rearrangements of Carbocations by 1,2-Shifts. In Topics in Current Chemistry; Rees, C., Ed.; Springer: Berlin/Heidelberg, Germany, 1984; Volume 116–117, pp. 267–343. [Google Scholar]
Disclaimer/Publisher’s Note: The statements, opinions and data contained in all publications are solely those of the individual author(s) and contributor(s) and not of MDPI and/or the editor(s). MDPI and/or the editor(s) disclaim responsibility for any injury to people or property resulting from any ideas, methods, instructions or products referred to in the content. |
© 2024 by the authors. Licensee MDPI, Basel, Switzerland. This article is an open access article distributed under the terms and conditions of the Creative Commons Attribution (CC BY) license (https://creativecommons.org/licenses/by/4.0/).






















