Sepiolite-Supported Manganese Oxide as an Efficient Catalyst for Formaldehyde Oxidation: Performance and Mechanism
Abstract
1. Introduction
2. Results and Discussion
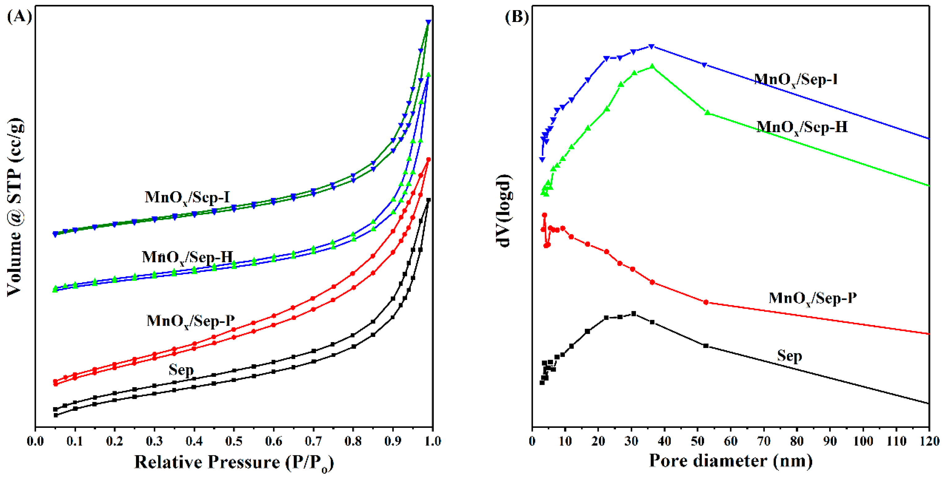
2.1. Structural Characterization
2.2. Catalytic Performance
2.3. Reaction Mechanism of HCHO Oxidation over MnOx/Sep-H
3. Materials and Methods
3.1. Materials
3.2. Catalysts Preparation
3.2.1. Synthesis of MnOx/Sepolite-I Nanoparticles by Impregnation Method
3.2.2. Synthesis of MnOx/Sepolite-P Nanoparticles by Precipitation Method
3.2.3. Synthesis of MnOx/Sepolite-H Nanoparticles by Hydrothermal Method
3.3. Catalysts Characterization
3.4. Catalyst Evaluation
4. Conclusions
Supplementary Materials
Author Contributions
Funding
Institutional Review Board Statement
Informed Consent Statement
Data Availability Statement
Acknowledgments
Conflicts of Interest
References
- Chen, D.; Zhang, G.; Wang, M.; Li, N.; Xu, Q.; Li, H.; He, J.; Lu, J. Pt/MnO2 Nanoflowers Anchored to Boron Nitride Aerogels for Highly Efficient Enrichment and Catalytic Oxidation of Formaldehyde at Room Temperature. Angew. Chem. Int. Ed. 2021, 60, 6377–6381. [Google Scholar] [CrossRef]
- Chai, L.; Zhai, W.; Liu, X.; Xing, G.; Zhang, B.; Zang, J.; Yang, Y.; Ma, K.; Zhang, J. Room Temperature Catalysts for High Effective Degradation of Formaldehyde: Research Progresses and Challenges. ChemistrySelect 2024, 9, e202304418. [Google Scholar] [CrossRef]
- Nie, L.; Yu, J.; Jaroniec, M.; Tao, F.F. Room-temperature catalytic oxidation of formaldehyde on catalysts. Catal. Sci. Technol. 2016, 6, 3649–3669. [Google Scholar] [CrossRef]
- Mai, J.-L.; Yang, W.-W.; Zeng, Y.; Guan, Y.-F.; Chen, S.-J. Volatile organic compounds (VOCs) in residential indoor air during interior finish period: Sources, variations, and health risks. Hyg. Environ. Health Adv. 2024, 9, 100087. [Google Scholar] [CrossRef]
- Gao, W.; Tang, X.; Yi, H.; Jiang, S.; Yu, Q.; Xie, X.; Zhuang, R. Mesoporous molecular sieve-based materials for catalytic oxidation of VOC: A review. J. Environ. Sci. 2023, 125, 112–134. [Google Scholar] [CrossRef]
- Gong, J.; Rong, S.; Wang, X.; Zhou, Y. Critical review of catalytic degradation of formaldehyde via MnO2: From the perspective of process intensification. J. Clean. Prod. 2022, 377, 134242. [Google Scholar] [CrossRef]
- Zhang, K.; Ding, H.; Pan, W.; Mu, X.; Qiu, K.; Ma, J.; Zhao, Y.; Song, J.; Zhang, Z. Research Progress of a Composite Metal Oxide Catalyst for VOC Degradation. Environ. Sci. Technol. 2022, 56, 9220–9236. [Google Scholar] [CrossRef]
- Guo, Y.; Wen, M.; Li, G.; An, T. Recent advances in VOC elimination by catalytic oxidation technology onto various nanoparticles catalysts: A critical review. Appl. Catal. B 2021, 281, 119447. [Google Scholar] [CrossRef]
- Jang, Y.; Lee, Y.H.; Eom, H.; Lee, S.M.; Kim, S.S. Effect of preparation method of noble metal supported catalyts on formaldehyde oxidation at room temperature: Gas or liquid phase reduction. J. Environ. Sci. 2022, 122, 201–216. [Google Scholar] [CrossRef]
- Chen, B.-B.; Shi, C.; Crocker, M.; Wang, Y.; Zhu, A.-M. Catalytic removal of formaldehyde at room temperature over supported gold catalysts. Appl. Catal. B 2013, 132–133, 245–255. [Google Scholar] [CrossRef]
- Bai, B.; Li, J. Positive Effects of K+ Ions on Three-Dimensional Mesoporous Ag/Co3O4 Catalyst for HCHO Oxidation. ACS Catal. 2014, 4, 2753–2762. [Google Scholar] [CrossRef]
- Li, Y.; Chen, X.; Wang, C.; Zhang, C.; He, H. Sodium Enhances Ir/TiO2 Activity for Catalytic Oxidation of Formaldehyde at Ambient Temperature. ACS Catal. 2018, 8, 11377–11385. [Google Scholar] [CrossRef]
- Bu, Y.; Chen, Y.; Jiang, G.; Hou, X.; Li, S.; Zhang, Z. Understanding of Au-CeO2 interface and its role in catalytic oxidation of formaldehyde. Appl. Catal. B 2020, 260, 118138. [Google Scholar] [CrossRef]
- Sun, X.; Wang, Y.; Cui, J.; Li, Y.; Lin, J. Noble-Metal-Based Catalysts on a Scale from Nanoparticles to Subnanoclusters and Single Atoms for Formaldehyde Oxidation at Room Temperature: A Review. ACS Appl. Nano Mater. 2024, 7, 3546–3563. [Google Scholar] [CrossRef]
- Bai, B.; Arandiyan, H.; Li, J. Comparison of the performance for oxidation of formaldehyde on nano-Co3O4, 2D-Co3O4, and 3D-Co3O4 catalysts. Appl. Catal. B 2013, 142–143, 677–683. [Google Scholar]
- Bai, B.; Li, J.; Hao, J. 1D-MnO2, 2D-MnO2 and 3D-MnO2 for low-temperature oxidation of ethanol. Appl. Catal. B 2015, 164, 241–250. [Google Scholar] [CrossRef]
- Miao, L.; Nie, Q.; Wang, J.; Zhang, G.; Zhang, P. Ultrathin MnO2 nanosheets for optimized hydrogen evolution via formaldehyde reforming in water at room temperature. Appl. Catal. B 2019, 248, 466–476. [Google Scholar] [CrossRef]
- Li, H.-F.; Zhang, N.; Chen, P.; Luo, M.-F.; Lu, J.-Q. High surface area Au/CeO2 catalysts for low temperature formaldehyde oxidation. Appl. Catal. B 2011, 110, 279–285. [Google Scholar] [CrossRef]
- Liu, B.; Liu, Y.; Li, C.; Hu, W.; Jing, P.; Wang, Q.; Zhang, J. Three-dimensionally ordered macroporous Au/CeO2-Co3O4 catalysts with nanoporous walls for enhanced catalytic oxidation of formaldehyde. Appl. Catal. B 2012, 127, 47–58. [Google Scholar] [CrossRef]
- Dong, N.; Ye, Q.; Chen, M.; Cheng, S.; Kang, T.; Dai, H. Sodium-treated sepiolite-supported transition metal (Cu, Fe, Ni, Mn, or Co) catalysts for HCHO oxidation. Chin. J. Catal. 2020, 41, 1734–1744. [Google Scholar] [CrossRef]
- Wang, C.; Chen, J.; Li, Q.; Su, S.; Jia, H.; He, H. Unveiling the Position Effect of Ce within Layered MnO2 to Prolong the Ambient Removal of Indoor HCHO. Environ. Sci. Technol. 2023, 57, 4598–4607. [Google Scholar] [CrossRef] [PubMed]
- Kim, S.C.; Shim, W.G. Catalytic combustion of VOCs over a series of manganese oxide catalysts. Appl. Catal. B 2010, 98, 180–185. [Google Scholar] [CrossRef]
- Wang, J.; Li, J.; Jiang, C.; Zhou, P.; Zhang, P.; Yu, J. The effect of manganese vacancy in birnessite-type MnO2 on room-temperature oxidation of formaldehyde in air. Appl. Catal. B 2017, 204, 147–155. [Google Scholar] [CrossRef]
- Rong, S.; He, T.; Zhang, P. Self-assembly of MnO2 nanostructures into high purity three-dimensional framework for high efficiency formaldehyde mineralization. Appl. Catal. B 2020, 267, 118375. [Google Scholar] [CrossRef]
- He, T.; Zhou, Y.; Ding, D.; Rong, S. Engineering Manganese Defects in Mn3O4 for Catalytic Oxidation of Carcinogenic Formaldehyde. ACS Appl. Mater. Interfaces 2021, 13, 29664–29675. [Google Scholar] [CrossRef] [PubMed]
- Liu, X.-H.; Lu, T.; Jiao, X.; Jiang, Z.; Chen, C.; Wang, Y.; Jian, Y.; He, C. Formaldehyde Ambient-Temperature Decomposition over Pd/Mn3O4–MnO Driven by Active Sites’ Self-Tandem Catalysis. Environ. Sci. Technol. 2024, 58, 1752–1762. [Google Scholar] [CrossRef] [PubMed]
- Wang, F.; Feng, Y.; Wang, Z.; Liu, Y.; Gu, H.; Liu, X. Oxygen vacancy promoted H2O activation over K+-doped ε-MnO2 for low-temperature HCHO oxidation. Appl. Surf. Sci. 2023, 624, 157127. [Google Scholar] [CrossRef]
- Zhao, H.; Tang, B.; Tang, J.; Cai, Y.; Cui, Y.; Liu, H.; Wang, L.; Wang, Y.; Zhan, W.; Guo, Y.; et al. Ambient Temperature Formaldehyde Oxidation on the Pt/Na-ZSM-5 Catalyst: Tuning Adsorption Capacity and the Pt Chemical State. Ind. Eng. Chem. Res. 2021, 60, 7132–7144. [Google Scholar] [CrossRef]
- Nie, L.; Meng, A.; Yu, J.; Jaroniec, M. Hierarchically Macro-Mesoporous Pt/γ-Al2O3 Composite Microspheres for Efficient Formaldehyde Oxidation at Room Temperature. Sci. Rep. 2013, 3, 3215. [Google Scholar] [CrossRef]
- Wang, C.; Zou, X.; Liu, H.; Chen, T.; Suib, S.L.; Chen, D.; Xie, J.; Li, M.; Sun, F. A highly efficient catalyst of palygorskite-supported manganese oxide for formaldehyde oxidation at ambient and low temperature: Performance, mechanism and reaction kinetics. Appl. Surf. Sci. 2019, 486, 420–430. [Google Scholar] [CrossRef]
- Wang, C.; Li, Y.; Zheng, L.; Zhang, C.; Wang, Y.; Shan, W.; Liu, F.; He, H. A Nonoxide Catalyst System Study: Alkali Metal-Promoted Pt/AC Catalyst for Formaldehyde Oxidation at Ambient Temperature. ACS Catal. 2021, 11, 456–465. [Google Scholar] [CrossRef]
- Bao, W.; Chen, H.; Wang, H.; Zhang, R.; Wei, Y.; Zheng, L. Pt Nanoparticles Supported on N/Ce-Doped Activated Carbon for the Catalytic Oxidation of Formaldehyde at Room Temperature. ACS Appl. Nano Mater. 2020, 3, 2614–2624. [Google Scholar] [CrossRef]
- Li, Y.; Han, D.; Wang, Z.; Gu, F. Double-Solvent-Induced Derivatization of Bi-MOF to Vacancy-Rich Bi4O5Br2: Toward Efficient Photocatalytic Degradation of Ciprofloxacin in Water and HCHO Gas. ACS Appl. Mater. Interfaces 2024, 16, 7080–7096. [Google Scholar] [CrossRef] [PubMed]
- Ma, Y.; Zhang, G. Sepiolite nanofiber-supported platinum nanoparticle catalysts toward the catalytic oxidation of formaldehyde at ambient temperature: Efficient and stable performance and mechanism. Chem. Eng. J. 2016, 288, 70–78. [Google Scholar] [CrossRef]
- Liu, L.; Chen, H.; Shiko, E.; Fan, X.; Zhou, Y.; Zhang, G.; Luo, X.; Hu, X. Low-cost DETA impregnation of acid-activated sepiolite for CO2 capture. Chem. Eng. J. 2018, 353, 940–948. [Google Scholar] [CrossRef]
- Li, D.; Gao, X.; Huang, X.; Liu, P.; Xiong, W.; Wu, S.; Hao, F.; Luo, H. Preparation of organic-inorganic chitosan@silver/sepiolite composites with high synergistic antibacterial activity and stability. Carbohydr. Polym. 2020, 249, 116858. [Google Scholar] [CrossRef]
- Hamid, Y.; Tang, L.; Hussain, B.; Usman, M.; Liu, L.; Ulhassan, Z.; He, Z.; Yang, X. Sepiolite clay: A review of its applications to immobilize toxic metals in contaminated soils and its implications in soil–plant system. Environ. Technol. Innovation 2021, 23, 101598. [Google Scholar] [CrossRef]
- Li, D.; Liu, P.; Hao, F.; Lv, Y.; Xiong, W.; Yan, C.; Wu, Y.; Luo, H. Preparation and application of silver/chitosan-sepiolite materials with antimicrobial activities and low cytotoxicity. Int. J. Biol. Macromol. 2022, 210, 337–349. [Google Scholar] [CrossRef] [PubMed]
- Li, D.; Huang, X.; Hao, F.; Lv, Y.; Chen, H.; Wu, S.; Xiong, W.; Liu, P.; Luo, H. Preparation of organic-inorganic composites with high antibacterial activity based on sepiolite, chitosan and zinc: The study of the active antibacterial sites of chitosan-zinc oxide structure. Appl. Clay Sci. 2022, 216, 106325. [Google Scholar] [CrossRef]
- Liu, R.; Wang, J.; Zhang, J.; Xie, S.; Wang, X.; Ji, Z. Honeycomb-like micro-mesoporous structure TiO2/sepiolite composite for combined chemisorption and photocatalytic elimination of formaldehyde. Microporous Mesoporous Mater. 2017, 248, 234–245. [Google Scholar] [CrossRef]
- Hu, X.; Li, C.; Sun, Z.; Song, J.; Zheng, S. Enhanced photocatalytic removal of indoor formaldehyde by ternary heterogeneous BiOCl/TiO2/sepiolite composite under solar and visible light. Build. Environ. 2020, 168, 106481. [Google Scholar] [CrossRef]
- Song, J.; Ren, X.; Hu, G.; Wang, L.; Hu, X. Enhanced photocatalytic degradation of indoor formaldehyde by sepiolite decorated with TiO2 nanoparticles: Effects of key preparation parameters. Microporous Mesoporous Mater. 2023, 353, 112515. [Google Scholar] [CrossRef]
- Li, D.; Liu, P.; Zheng, Y.; Wu, Y.; Ling, L.; Chen, L.; Hao, F.; Lv, Y.; Xiong, W.; Luo, H.A. Chitosan-promoted sepiolite supported Ag as efficient catalyst for catalytic oxidative degradation of formaldehyde at low temperature. J. Environ. Chem. Eng. 2022, 10, 108510. [Google Scholar] [CrossRef]
- Zhou, F.; Yan, C.; Zhang, Y.; Tan, J.; Wang, H.; Zhou, S.; Pu, S. Purification and defibering of a Chinese sepiolite. Appl. Clay Sci. 2016, 124–125, 119–126. [Google Scholar] [CrossRef]
- Li, J.; Zhang, R.; Liu, Y.; Sun, T.; Jia, J.; Guo, M. Enhanced catalytic activity of toluene oxidation over in-situ prepared Mn3O4-Fe2O3 with acid-etching treatment. Catal. Commun. 2023, 174, 106581. [Google Scholar] [CrossRef]
- Dai, Y.; Men, Y.; Wang, J.; Liu, S.; Li, S.; Li, Y.; Wang, K.; Li, Z. Tailoring the morphology and crystal facet of Mn3O4 for highly efficient catalytic combustion of ethanol. Colloids Surf. A 2021, 627, 127216. [Google Scholar] [CrossRef]
- Duan, X.; Qu, Z.; Dong, C.; Qin, Y. Enhancement of toluene oxidation performance over Pt/MnO2@Mn3O4 catalyst with unique interfacial structure. Appl. Surf. Sci. 2020, 503, 144161. [Google Scholar] [CrossRef]
- Wang, X.; Xu, Z.; Li, J.; Zhang, M.; Li, K.; Zheng, Y.; Ji, H. Mn/HZSM-5 catalyst with high content of Mn4+ and surface hydroxyls for formaldehyde oxidation at room temperature. Appl. Surf. Sci. 2023, 637, 157917. [Google Scholar] [CrossRef]
- Wang, J.; Zhang, G.; Zhang, P. Graphene-assisted photothermal effect on promoting catalytic activity of layered MnO2 for gaseous formaldehyde oxidation. Appl. Catal. B 2018, 239, 77–85. [Google Scholar] [CrossRef]
- Chrzanowska, A.; Nosach, L.V.; Voronin, E.F.; Derylo-Marczewska, A.; Wasilewska, M. Effect of geometric modification of fumed nanoscale silica for medical applications on adsorption of human serum albumin: Physicochemical and surface properties. Int. J. Biol. Macromol. 2022, 220, 1294–1308. [Google Scholar] [CrossRef]
- Deryło-Marczewska, A.; Chrzanowska, A.; Marczewski, A.W. Morphological, structural and physicochemical characteristics of the surface of mesocellular silica foam with the adsorbed OVA and BSA proteins. Microporous Mesoporous Mater. 2020, 293, 109769. [Google Scholar] [CrossRef]
- Do, S.-B.; Lee, S.-E.; Kim, T.-O. Oxidative decomposition with PEG-MnO2 catalyst for removal of formaldehyde: Chemical aspects on HCHO oxidation mechanism. Appl. Surf. Sci. 2022, 598, 153773. [Google Scholar] [CrossRef]
- Zhou, H.; Zeng, Y.; Low, Z.; Zhang, F.; Zhong, Z.; Xing, W. Core-dual-shell structure MnO2@Co–C@SiO2 nanofiber membrane for efficient indoor air cleaning. J. Membr. Sci. 2023, 677, 121644. [Google Scholar] [CrossRef]
- Boyjoo, Y.; Rochard, G.; Giraudon, J.-M.; Liu, J.; Lamonier, J.-F. Mesoporous MnO2 hollow spheres for enhanced catalytic oxidation of formaldehyde. Sustain. Mater. Technol. 2019, 20, e00091. [Google Scholar] [CrossRef]












| Samples | SBET (m2/g) a | Vpore (cm3/g) a | Dpore (nm) a | Mn3+/Mn4+ b | OL or Oads b | AOS Values c |
|---|---|---|---|---|---|---|
| Sep | 325.16 | 0.32 | 3.82 | --- | --- | --- |
| MnOx/Sep-H | 136.13 | 0.32 | 3.82 | 1.67:1 | 10.0% | 2.31 |
| MnOx/Sep-I | 176.77 | 0.33 | 3.42 | 1:1 | 16.4% | 2.65 |
| MnOx/Sep-P | 229.45 | 0.35 | 3.41 | 1.15:1 | 6.7% | --- |
Disclaimer/Publisher’s Note: The statements, opinions and data contained in all publications are solely those of the individual author(s) and contributor(s) and not of MDPI and/or the editor(s). MDPI and/or the editor(s) disclaim responsibility for any injury to people or property resulting from any ideas, methods, instructions or products referred to in the content. |
© 2024 by the authors. Licensee MDPI, Basel, Switzerland. This article is an open access article distributed under the terms and conditions of the Creative Commons Attribution (CC BY) license (https://creativecommons.org/licenses/by/4.0/).
Share and Cite
Li, D.; Liu, H.; He, X.; Yao, Y.; Liu, H.; Chen, J.; Deng, B.; Lan, X. Sepiolite-Supported Manganese Oxide as an Efficient Catalyst for Formaldehyde Oxidation: Performance and Mechanism. Molecules 2024, 29, 2826. https://doi.org/10.3390/molecules29122826
Li D, Liu H, He X, Yao Y, Liu H, Chen J, Deng B, Lan X. Sepiolite-Supported Manganese Oxide as an Efficient Catalyst for Formaldehyde Oxidation: Performance and Mechanism. Molecules. 2024; 29(12):2826. https://doi.org/10.3390/molecules29122826
Chicago/Turabian StyleLi, Dongdong, Hongyan Liu, Xiaobao He, Yujie Yao, Haoming Liu, Jun Chen, Bin Deng, and Xiaobing Lan. 2024. "Sepiolite-Supported Manganese Oxide as an Efficient Catalyst for Formaldehyde Oxidation: Performance and Mechanism" Molecules 29, no. 12: 2826. https://doi.org/10.3390/molecules29122826
APA StyleLi, D., Liu, H., He, X., Yao, Y., Liu, H., Chen, J., Deng, B., & Lan, X. (2024). Sepiolite-Supported Manganese Oxide as an Efficient Catalyst for Formaldehyde Oxidation: Performance and Mechanism. Molecules, 29(12), 2826. https://doi.org/10.3390/molecules29122826

