Sign in to use this feature.

Years

Between: -

Subjects

remove_circle_outline
remove_circle_outline
remove_circle_outline
remove_circle_outline
remove_circle_outline
remove_circle_outline
remove_circle_outline
remove_circle_outline
remove_circle_outline

Journals

remove_circle_outline
remove_circle_outline
remove_circle_outline
remove_circle_outline
remove_circle_outline

Article Types

Countries / Regions

Search Results (209)

Search Parameters:
Keywords = sepiolite

Order results
Result details
Results per page
Select all
Export citation of selected articles as:
20 pages, 3163 KB  
Article
Effect of “Spatially Confined” Sepiolite on the Processing and Properties of Natural Rubber/Silica Composites Prepared by Latex Compounding Method
by Zhanfeng Hou, Yahe Hou, Qi Chen, Hui Yang, Hongzhen Wang and Zhenxiang Xin
Polymers 2026, 18(8), 962; https://doi.org/10.3390/polym18080962 - 15 Apr 2026
Viewed by 181
Abstract
To address the pronounced self-aggregation of highly loaded silica in the aqueous phase and the substantial filler loss occurring during the flocculation stage of latex compounding, this study introduces disaggregated and activated sepiolite possessing a spatial confinement effect as both a suspension stabilizer [...] Read more.
To address the pronounced self-aggregation of highly loaded silica in the aqueous phase and the substantial filler loss occurring during the flocculation stage of latex compounding, this study introduces disaggregated and activated sepiolite possessing a spatial confinement effect as both a suspension stabilizer and a synergistic reinforcing component. On this basis, a multiscale natural rubber (NR)/silica/sepiolite composite system was constructed via a latex compounding route. Rheological characterization combined with static sedimentation observations revealed that the percolation threshold of the sepiolite is approximately 0.8 wt%. When the sepiolite content exceeds 1.0 wt%, its fibrous morphology enables the formation of a continuous three-dimensional network, which physically constrains silica particles and effectively suppresses their sedimentation and self-aggregation in the aqueous medium. Guided by this percolation behavior, a stable silica/sepiolite hybrid slurry was subsequently wet-mixed with natural rubber latex, and the influence of sepiolite loading on silica retention during flocculation, as well as on the resulting composite properties, was systematically examined. The results demonstrate that incorporation of sepiolite reduces filler loss during flocculation, with the loss rate decreasing from 4.7% to 1.1%. The Payne effect, SEM, dynamic and static mechanical analyses indicate that an appropriate sepiolite dosage promotes dispersion of silica within the rubber matrix while simultaneously strengthening filler–rubber interfacial interactions. Accordingly, tensile and tear strengths are increased from 32.1 to 35.5 MPa and from 92.3 to 133.4 N·mm−1, respectively, while wet skid resistance is preserved and both rolling resistance and wear resistance are further improved. The findings of this work establish a practical and efficient strategy for the wet preparation of high-performance NR/silica composites. Full article
(This article belongs to the Special Issue Dynamic Response and Failure of Polymer Composites)
Show Figures

Graphical abstract

19 pages, 2538 KB  
Article
Synchronous Immobilization of Arsenic and Cadmium in Agricultural Soils by Sepiolite-Supported Nanoscale Zero-Valent Iron
by Kuiru Li, Tieguang He, Yan Wang, Xinru Wang, Donghuan Lei and Lijuan Li
Toxics 2026, 14(4), 301; https://doi.org/10.3390/toxics14040301 - 31 Mar 2026
Viewed by 625
Abstract
The cocontamination of arsenic (As) and cadmium (Cd) in agricultural soils poses severe risks to ecosystem stability and food safety because of their high toxicity, mobility, and bioaccumulation potential. However, single amendments often exhibit selective immobilization, which limits their effectiveness for As–Cd-cocontaminated soils. [...] Read more.
The cocontamination of arsenic (As) and cadmium (Cd) in agricultural soils poses severe risks to ecosystem stability and food safety because of their high toxicity, mobility, and bioaccumulation potential. However, single amendments often exhibit selective immobilization, which limits their effectiveness for As–Cd-cocontaminated soils. In this study, a sepiolite-supported nanoscale zero-valent iron composite (S-nZVI) was synthesized via liquid-phase reduction, and its remediation performance and mechanisms under different moisture conditions were evaluated. The characterization results confirmed that the nZVI nanoparticles were uniformly dispersed and anchored onto the sepiolite matrix, thus mitigating aggregation and oxidative passivation while increasing surface reactivity. Soil incubation experiments demonstrated that S-nZVI reduced the bioavailability of As and Cd and promoted their transformation from labile to stable fractions under both 50% and 120% water holding capacity (WHC). Under flooded conditions (120% WHC), 0.5% S-nZVI reduced the bioavailable Cd and As concentrations by 52.3–58.7% and 67.4%, respectively, after 120 days. Mechanistically, immobilization was governed by a synergistic “adsorption–reduction–coprecipitation” pathway coupled with pH–Eh regulation. Rice pot experiments further validated the effectiveness of S-nZVI, with the grain As and Cd concentrations reduced by 73.3% and 52.3%, respectively, without impairing plant growth. Overall, S-nZVI provides an efficient strategy for simultaneous immobilization of As and Cd in As–Cd-cocontaminated soils and supports the safe use of polluted agricultural lands. Full article
(This article belongs to the Special Issue Fate and Transport of Heavy Metals in Polluted Soils)
Show Figures

Figure 1

15 pages, 3694 KB  
Article
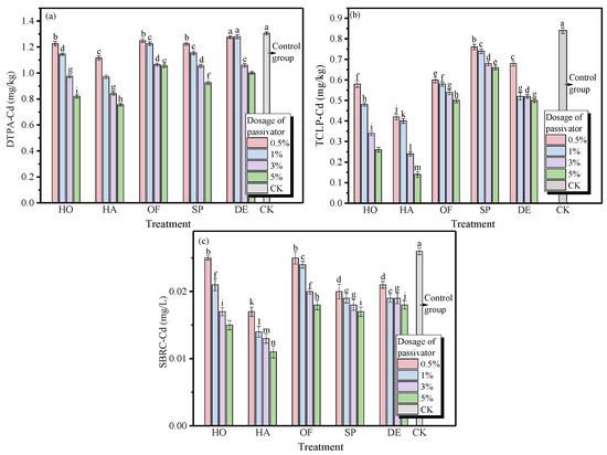
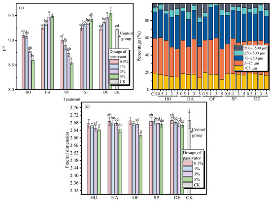
Combined Application of Commercial Hydroxyapatite and a Straw-Derived Organic Fertilizer Immobilizes Cadmium in an Alkaline-Contaminated Soil
by Beibei Ren, Wei Wei, Mingli Wei and Guangsi Zhao
Environments 2026, 13(2), 110; https://doi.org/10.3390/environments13020110 - 15 Feb 2026
Viewed by 922
Abstract
A highly effective and economical method to immobilize cadmium in alkaline agricultural soil is urgently needed. Using adsorption kinetic and isotherm experiments, soil incubation tests, and cadmium leaching assays, this study aimed to evaluate the applicability of hydroxyapatite–organic fertilizer composite amendment (HO), individual [...] Read more.
A highly effective and economical method to immobilize cadmium in alkaline agricultural soil is urgently needed. Using adsorption kinetic and isotherm experiments, soil incubation tests, and cadmium leaching assays, this study aimed to evaluate the applicability of hydroxyapatite–organic fertilizer composite amendment (HO), individual hydroxylapatite (HA), individual organic fertilizer (OF), sepiolite (SP), and diatomite (DE) to passivate soil cadmium and their passivating effect. In the aqueous phase, HO successfully adsorbed Cd2+ onto the surface and has superior potential Cd2+ adsorption capacity than OF, DE, and SP, with its adsorption capacity closely approaching that of HA, enabling its use as a passivator in field Cd-contaminated soils. In Cd-contaminated soil, HO effectively lowered the pH from 9.22 to 8.59 at a 5% application rate and changed the aggregate-size distribution of the soil. The increase in the amount of passivator also significantly increased the soil aggregate size. Moreover, the addition of HO significantly improved the extractable contents of Cd in the soil. Compared with the control, the combined amendment decreased TCLP (toxicity leaching procedure test)-extractable Cd by 30.95%, 42.86%, 59.52%, and 69.05% at application rates of 0.5%, 1%, 3%, and 5% (w/w), respectively. These results demonstrate that HO is a highly efficient and low-cost organic–inorganic composite passivator for cadmium-contaminated soils. Full article
Show Figures

Figure 1

20 pages, 6689 KB  
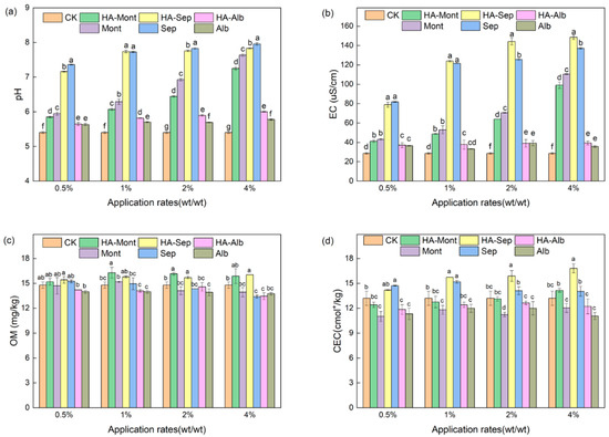
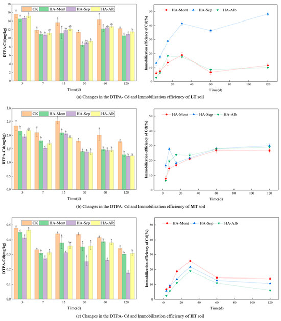
Article
Immobilization of Cadmium in Soil by the Addition of Humic Acid-Modified Montmorillonite, Sepiolite, and Albite
by Dong Tian, Zhuoqun Wang, Zhaoxu Huang, Jing Liu and Ruilian Sun
Sustainability 2026, 18(4), 1760; https://doi.org/10.3390/su18041760 - 9 Feb 2026
Viewed by 359
Abstract
To support secure and sustainable agricultural production, immobilization agents were developed in this study. Montmorillonite (Mont), sepiolite (Sep), and albite (Alb) were modified with humic acid (HA) to remediate cadmium (Cd-contaminated soil. Characterization analysis showed HA-Mont, HA-Sep, and HA-Alb had greater pore diameter [...] Read more.
To support secure and sustainable agricultural production, immobilization agents were developed in this study. Montmorillonite (Mont), sepiolite (Sep), and albite (Alb) were modified with humic acid (HA) to remediate cadmium (Cd-contaminated soil. Characterization analysis showed HA-Mont, HA-Sep, and HA-Alb had greater pore diameter than the unmodified forms which may favor the immobilization of Cd. During the short-time incubation (15 days) experiment, the immobilization efficiencies of HA-Mont, HA-Sep, and HA-Alb at a 4% addition rate were 12.87%, 5.86%, and 6.20% higher than those of Mont, Sep, and Alb. The reduction in the soil DTPA-Cd content was greater under the 0.5% HA-Sep treatment (31.35%) than under the 4% HA-Mont (26.95%) and the 4% HA-Alb (15.44%) treatment. Successive BCR extractions confirmed that HA-Mont, HA-Sep, and HA-Alb promoted the transformation of unstable Cd fractions to stable Cd fractions. Application of 4% HA-Sep produced the highest immobilization effect, with a 19% decrease in exchangeable fraction and reducible fraction. The findings of the long-term incubation (120 days, 1% application rate) experiment showed that the immobilization efficiencies of HA-Mont, HA-Sep, and HA-Alb increased rapidly during the first 30 days and then gradually increased or decreased slowly. In the HT (pH = 7.46) soil, HA-Mont was found to have the highest immobilization efficiency with 25.87% at the 30th day of incubation. HA-Sep had promising potential for long-term Cd immobilization, with the highest immobilization efficiency (48.27% and 29.97%) in the LT (pH = 5.17) and MT (pH = 6.56) soil occurring on the 120th day of incubation. The increase in pH was one of the important mechanisms for Cd immobilization of the LT and MT soil. Overall, humic acid modification of minerals is a beneficial strategy for remediating Cd-contaminated soil while aligning with sustainable agricultural goals. Full article
Show Figures

Figure 1

14 pages, 2876 KB  
Article
Study on the Adsorption Mechanism of Atrazine by Sesame Hull Biochar/Sepiolite Composite Material
by Hongyou Wan, Qiuye Yu, Luqi Yang, Shihao Liu, Yan Zhao, Dezheng Chang and Xinru Li
Toxics 2026, 14(1), 38; https://doi.org/10.3390/toxics14010038 - 29 Dec 2025
Cited by 1 | Viewed by 528
Abstract
Atrazine (ATZ), a typical triazine herbicide with a long half-life and recalcitrant biodegradation, contaminates water and soil, necessitating efficient removal technologies. Conventional adsorbents have limited capacity and stability, while sesame straw-derived biochar realizes agricultural waste recycling and provides an efficient, economical, and eco-friendly [...] Read more.
Atrazine (ATZ), a typical triazine herbicide with a long half-life and recalcitrant biodegradation, contaminates water and soil, necessitating efficient removal technologies. Conventional adsorbents have limited capacity and stability, while sesame straw-derived biochar realizes agricultural waste recycling and provides an efficient, economical, and eco-friendly adsorbent. Sepiolite, a natural mineral with a unique fibrous structure and a high specific surface area, has attracted widespread attention. Therefore, in this work, the agricultural waste of sesame hulls and sepiolite were used as precursors to prepare a composite material of sesame hull biochar/sepiolite (KNPB) through co-mixing heat treatment, followed by sodium hydroxide activation and pyrolysis. The results showed that, under the conditions of an adsorbent dosage of 3 g/L, pH of 6.8, and an adsorption time of 360 min, the removal rate of 3 mg/L ATZ by KNPB was 89.14%. Reusability experiments further demonstrated that KNPB has the potential for practical application in water treatment. Additionally, by integrating adsorption kinetics and isotherm analysis with a suite of characterization results from BET, FTIR, and XPS, the adsorption mechanism of KNPB for ATZ was further clarified to be primarily based on pore-filling, π–π interactions, and hydrogen bonding. This study not only provides a new idea for the resource utilization of waste sesame straw, but also provides scientific guidance for the solution of atrazine pollution, which has important environmental and economic significance. Full article
(This article belongs to the Section Toxicity Reduction and Environmental Remediation)
Show Figures

Graphical abstract

22 pages, 2575 KB  
Article
Sustained Release of Azoxystrobin from Clay Carriers for the Management of Maize Late Wilt Disease
by Ofir Degani, Adar Abramovici, Achinoam Levi-Lion, Daniel Demenchuk, Ariel Hadad and Elhanan Dimant
J. Fungi 2026, 12(1), 21; https://doi.org/10.3390/jof12010021 - 27 Dec 2025
Cited by 2 | Viewed by 614
Abstract
Controlled-release technologies based on natural clays offer a sustainable approach to enhance the efficacy and environmental compatibility of agrochemicals. This study reports the development and evaluation of clay-based azoxystrobin (Az) formulations for controlling Magnaporthiopsis maydis, the causal agent of maize late wilt [...] Read more.
Controlled-release technologies based on natural clays offer a sustainable approach to enhance the efficacy and environmental compatibility of agrochemicals. This study reports the development and evaluation of clay-based azoxystrobin (Az) formulations for controlling Magnaporthiopsis maydis, the causal agent of maize late wilt disease. Among six carriers tested, raw bentonite and sepiolite were selected for their comparable adsorption capacity (9.5% Az loading efficiency) and ease of preparation. A novel mycelial plug-immersion bioassay was established and calibrated (R2 = 0.92–0.95) to assess release kinetics and antifungal efficacy, showing approximately tenfold higher sensitivity than conventional disk-diffusion or mycelial-growth inhibition assays. Sequential wash and extended incubation experiments demonstrated sustained Az release equivalent to ≥1 mg L−1 over 144 h, resulting in approximately 50% (p < 0.05) fungal growth suppression. A comparative analysis of particle suspensions and supernatants revealed formulation-specific release behaviors, which differed among clay carriers. Overall, bentonite and sepiolite acted as efficient carriers that prolonged fungicide bioavailability, minimized leaching losses, and preserved biological activity. These findings provide proof of concept for clay–Az formulations as eco-friendly and cost-effective tools for late wilt management and advance understanding of clay–fungicide interactions that support sustainable, integrated disease-control strategies. Full article
(This article belongs to the Special Issue Plant Fungal Diseases and Crop Protection, 2nd Edition)
Show Figures

Graphical abstract

19 pages, 2244 KB  
Article
Enhancement of Rheological Performance and Smoke Suppression in Sepiolite-Modified Asphalt
by Yongle Xu, Hongling Fan, Jing Yang and Peng Yin
Materials 2025, 18(24), 5627; https://doi.org/10.3390/ma18245627 - 15 Dec 2025
Viewed by 397
Abstract
To address the technical bottleneck of the coordinated improvement of high-temperature rutting resistance, low-temperature cracking resistance and environmental protection performance of road asphalt, and to address the existing problems in the research of sepiolite modified asphalt, such as the ambiguous microscopic mechanism of [...] Read more.
To address the technical bottleneck of the coordinated improvement of high-temperature rutting resistance, low-temperature cracking resistance and environmental protection performance of road asphalt, and to address the existing problems in the research of sepiolite modified asphalt, such as the ambiguous microscopic mechanism of action, the lack of quantitative relationship between dosage and performance, and the unclear adaptability of modification processes, this study employed high-purity sepiolite as a modifier. After optimizing its microstructure through organic and surface modification, the sepiolite with the best compatibility with asphalt was selected. Four dosage gradients of 2%, 4%, 6%, and 8% were designed. Rheological tests were conducted to investigate the effects of sepiolite on the rutting resistance at high temperature, the cracking resistance at low temperature, and the fatigue durability of asphalt. Gas chromatography–mass spectrometry (GC–MS) was used to analyze changes in the organic components of asphalt fumes, while Fourier-transform infrared spectroscopy (FTIR) and gel permeation chromatography (GPC) were applied to reveal the microscopic interaction mechanisms and smoke-suppression principles. Results show that pristine sepiolite exhibits the best compatibility with asphalt. Although modified sepiolite shows a 43–45% increase in specific surface area, the overall high–low temperature coordination of the modified asphalt decreases by 10–15%. The sepiolite dosage has a significant influence on asphalt performance: when the dosage is 4–6%, the rutting factor of asphalt increases by 25–30%, indicating the best high-temperature deformation resistance; at 4%, the asphalt creep stiffness decreases by over 15%, minimizing the low-temperature cracking risk; and at 2–4%, the fatigue life extends by 9–13%, with the most notable improvement at 2%. In terms of smoke suppression, the porous structure of sepiolite adsorbs 3–5% of the light volatile components in asphalt, while its metal oxides inhibit the release of aliphatic and aromatic hydrocarbons, reducing toxic fume emissions by 12–18%. Microscopically, the interaction between sepiolite and asphalt is dominated by physical adsorption without chemical functional group recombination. The fibrous network of sepiolite enhances the structural stability of asphalt, while the adsorption of small and medium molecular components optimizes the molecular weight distribution, achieving a dual effect of performance enhancement and smoke suppression. Full article
(This article belongs to the Section Construction and Building Materials)
Show Figures

Figure 1

17 pages, 1306 KB  
Article
Evaluation of the Effects of Different In-Situ Passivation Materials on Heavy Metal Remediation in Corn Fields in Arid Regions of Northwest China
by Ke Yang, Dongbo Zhang, Tiantian Ma, Yilong Yu, Yifan Li, Ziheng Zhang, Yunpeng Guo and Rongguang Shi
Agronomy 2025, 15(12), 2796; https://doi.org/10.3390/agronomy15122796 - 4 Dec 2025
Viewed by 587
Abstract
The research on cadmium (Cd) pollution remediation technologies in farmland is of great significance for ensuring food security. However, there is currently a lack of empirical research on the passivation effects of the related repair materials on alkaline farmland in arid regions. This [...] Read more.
The research on cadmium (Cd) pollution remediation technologies in farmland is of great significance for ensuring food security. However, there is currently a lack of empirical research on the passivation effects of the related repair materials on alkaline farmland in arid regions. This study selected a typical experimental area in a dryland corn farmland in Ningxia, Northwest China. Field experiments were conducted on four typical remediation materials: mercapto clay minerals, sepiolite remediation materials, microbial inoculants, and bio-organic fertilizers. The effects of these four materials on the available cadmium in the soil, cadmium content in corn stems and leaves, and enrichment coefficients were analyzed. The results show that the four types of remediation fertilizers have significant differences in their effects on the available Cd content in the soil, with a reduction range of 3.33–60.94%. The order of the inhibitory effect from strong to weak is as follows: mercapto clay mineral passivation material, bio-organic fertilizer, sepiolite, and microbial inoculant. The cumulative distribution pattern of Cd in the organs of corn plants is leaf > stem > grain. It reduces the cadmium content in corn stems by 7.01–37.16% and reduces the cadmium content in corn leaves by 1.45–26.56%. Under the four types of remediation fertilizer treatments, the enrichment coefficients of corn stems and leaves all decreased. The enrichment coefficient of stems decreased by 3.78% to 29.42%, and the enrichment coefficient of leaves decreased by 3.41% to 31.92%. The mercapto clay minerals passivation material has the best effect on reducing the available cadmium in the soil of dryland corn in the arid areas of Northwest China and also has the best effect on inhibiting the absorption of cadmium by various organs of corn. It can be further verified in the field and promoted for application, providing support for the restoration of heavy metal pollution in farmland based on local conditions and differentiated measures. Full article
(This article belongs to the Section Soil and Plant Nutrition)
Show Figures

Figure 1

16 pages, 3169 KB  
Article
Ceramic Bracket Surface Treated with Hydrofluoric Acid, Er, Cr: YSGG Laser, and Phthalocyanine Activated via Low-Level Laser Therapy on Surface Roughness and Shear Bond Strength Bonded to Enamel via Unmodified and Sepiolite-Modified Orthodontic Adhesive-A SEM, EDX, and DC Evaluation
by Salem Almoammar, Muhammad Abdullah Kamran, Abdulrahman Alshehri, Wael Awadh, Amirah Mesfer Alshahrani and Ibrahim Alshahrani
Crystals 2025, 15(12), 1010; https://doi.org/10.3390/cryst15121010 - 24 Nov 2025
Viewed by 669
Abstract
Influence of surface pretreatment Hydrofluoric acid (HFA), Erbium yttrium scandium gallium garnet (Er, Cr: YSGG) laser (ECL), and Phthalocyanine (Pc) photosensitizer (Ps) activated by Low-level laser therapy (LLLT) via a light-emitting diode (LED) device on surface roughness (Ra) and shear bond strength (SBS) [...] Read more.
Influence of surface pretreatment Hydrofluoric acid (HFA), Erbium yttrium scandium gallium garnet (Er, Cr: YSGG) laser (ECL), and Phthalocyanine (Pc) photosensitizer (Ps) activated by Low-level laser therapy (LLLT) via a light-emitting diode (LED) device on surface roughness (Ra) and shear bond strength (SBS) of ceramic bracket bonded to enamel via unmodified and Sepiolite-modified adhesive. Sixty non-cavitated human maxillary premolars were obtained. Ninety ceramic brackets were classified into three groups based on different pretreatment methods: Group 1: HFA; Group 2: ECL; and Group 3: Pc-LLLT. Twenty samples from each cohort were allocated into two subgroups by adhesive type: unmodified Transbond XT(A) and adhesive-modified Sep-NPs(B) (n = 10). Ra was measured using profilometry followed by surface topography via SEM, SBS via universal testing machine, and degree of conversion (DC) through FTIR spectroscopy. ANOVA and Tukey’s post hoc tests compared Ra, SBS, and DC across groups (p ˂ 0.05). Maximum Ra was observed in the ECL group (1087.43 ± 0.043 µm), while Group 3 (Pc-LLLT) showed the lowest Ra (706.53 ± 0.054 µm). Maximum SBS was recorded in Group 2B (ECL + SepNPs modified adhesive) (8.79 ± 0.48 MPa), while Group 3A (Pc-LLLT + unmodified adhesive) (5.23 ± 0.32 MPa) showed minimum bond integrity. ECL serves as an appropriate substitute for HFA in improving Ra and SBS of ceramic brackets to enamel. SepNPs improved the SBS of orthodontic adhesive to enamel with no significant difference in DC. Full article
(This article belongs to the Section Inorganic Crystalline Materials)
Show Figures

Figure 1

44 pages, 2549 KB  
Review
Natural Clay in Geopolymer Concrete: A Sustainable Alternative Pozzolanic Material for Future Green Construction—A Comprehensive Review
by Md Toriqule Islam, Bidur Kafle and Riyadh Al-Ameri
Sustainability 2025, 17(22), 10180; https://doi.org/10.3390/su172210180 - 13 Nov 2025
Cited by 3 | Viewed by 3414
Abstract
The ordinary Portland cement (OPC) manufacturing process is highly resource-intensive and contributes to over 5% of global CO2 emissions, thereby contributing to global warming. In this context, researchers are increasingly adopting geopolymers concrete due to their environmentally friendly production process. For decades, [...] Read more.
The ordinary Portland cement (OPC) manufacturing process is highly resource-intensive and contributes to over 5% of global CO2 emissions, thereby contributing to global warming. In this context, researchers are increasingly adopting geopolymers concrete due to their environmentally friendly production process. For decades, industrial byproducts such as fly ash, ground-granulated blast-furnace slag, and silica fume have been used as the primary binders for geopolymer concrete (GPC). However, due to uneven distribution and the decline of coal-fired power stations to meet carbon-neutrality targets, these binders may not be able to meet future demand. The UK intends to shut down coal power stations by 2025, while the EU projects an 83% drop in coal-generated electricity by 2030, resulting in a significant decrease in fly ash supply. Like fly ash, slag, and silica fume, natural clays are also abundant sources of silica, alumina, and other essential chemicals for geopolymer binders. Hence, natural clays possess good potential to replace these industrial byproducts. Recent research indicates that locally available clay has strong potential as a pozzolanic material when treated appropriately. This review article represents a comprehensive overview of the various treatment methods for different types of clays, their impacts on the fresh and hardened properties of geopolymer concrete by analysing the experimental datasets, including 1:1 clays, such as Kaolin and Halloysite, and 2:1 clays, such as Illite, Bentonite, Palygorskite, and Sepiolite. Furthermore, this review article summarises the most recent geopolymer-based prediction models for strength properties and their accuracy in overcoming the expense and time required for laboratory-based tests. This review article shows that the inclusion of clay reduces concrete workability because it increases water demand. However, workability can be maintained by incorporating a superplasticiser. Calcination and mechanical grinding of clay significantly enhance its pozzolanic reactivity, thereby improving its mechanical performance. Current research indicates that replacing 20% of calcined Kaolin with fly ash increases compressive strength by up to 18%. Additionally, up to 20% replacement of calcined or mechanically activated clay improved the durability and microstructural performance. The prediction-based models, such as Artificial Neural Network (ANN), Multi Expression Programming (MEP), Extreme Gradient Boosting (XGB), and Bagging Regressor (BR), showed good accuracy in predicting the compressive strength, tensile strength and elastic modulus. The incorporation of clay in geopolymer concrete reduces reliance on industrial byproducts and fosters more sustainable production practices, thereby contributing to the development of a more sustainable built environment. Full article
(This article belongs to the Special Issue Advanced Materials and Technologies for Environmental Sustainability)
Show Figures

Figure 1

21 pages, 1990 KB  
Article
Heavy Metal Adsorption and Desorption Behavior of Raw Sepiolite: A Study on Cd(II), Cu(II), and Ni(II) Ions
by Anna Bourliva
Minerals 2025, 15(11), 1110; https://doi.org/10.3390/min15111110 - 25 Oct 2025
Viewed by 1702
Abstract
This study investigates the adsorption behavior of natural sepiolite for the removal of cadmium (Cd2+), copper (Cu2+), and nickel (Ni2+) ions from aqueous solutions under batch conditions. The sepiolite was extensively characterized prior to adsorption experiments. Mineralogical [...] Read more.
This study investigates the adsorption behavior of natural sepiolite for the removal of cadmium (Cd2+), copper (Cu2+), and nickel (Ni2+) ions from aqueous solutions under batch conditions. The sepiolite was extensively characterized prior to adsorption experiments. Mineralogical analysis confirmed the presence of crystalline sepiolite, while DTG-TGA revealed thermal stability with distinct weight loss linked to surface and structural water. BET analysis indicated a high surface area of 194 m2/g and a mesoporous structure favorable for adsorption. Batch experiments evaluated the effects of contact time, pH, adsorbent dosage, and initial metal concentration. Adsorption was highly pH-dependent, with maximum removal near-neutral pH values. Higher adsorbent dosages reduced in a lower adsorption capacity per unit mass, primarily because the fixed amount of solute was distributed over a larger number of available sites, leading to unsaturation of the adsorbent surface and possible particle agglomeration. Isotherm modeling revealed that the Langmuir model provided the best fit, indicating monolayer adsorption with maximum adsorption capacities of 15.95 mg/g for Cd(II), 37.31 mg/g for Cu(II), and 17.83 mg/g for Ni(II). Langmuir constants indicated favorable interactions. Kinetics showed rapid adsorption within the first hour, reaching equilibrium at 240 min through surface adsorption and intraparticle diffusion. Cu(II) exhibited the fastest uptake, while Ni(II) adsorbed more slowly, suggesting differences in diffusion rates among the metal ions. Desorption using 0.1 N HCl achieved over 80% efficiency for all metals, confirming sepiolite reusability. Overall, raw sepiolite is an effective, low-cost adsorbent for removing potentially toxic elements from water. Full article
Show Figures

Figure 1

24 pages, 5971 KB  
Article
Differential Effects of Four Materials on Soil Properties and Phaseolus coccineus L. Growth in Contaminated Farmlands in Alpine Lead–Zinc Mining Areas, Southwest China
by Xiuhua He, Qian Yang, Weixi Meng, Xiaojia He, Yongmei He, Siteng He, Qingsong Chen, Fangdong Zhan, Jianhua He and Hui Bai
Agronomy 2025, 15(11), 2467; https://doi.org/10.3390/agronomy15112467 - 23 Oct 2025
Viewed by 953
Abstract
Soils in alpine mining areas suffer from severe heavy metal contamination and infertility, yet little is known about the effects of different materials on soil improvement in such regions. In this study, a field experiment was conducted in farmlands contaminated by the Lanping [...] Read more.
Soils in alpine mining areas suffer from severe heavy metal contamination and infertility, yet little is known about the effects of different materials on soil improvement in such regions. In this study, a field experiment was conducted in farmlands contaminated by the Lanping lead–zinc mine in Yunnan, China, to compare the effects of four materials (biochar, organic fertilizer, lime, and sepiolite) on soil properties, heavy metal (lead (Pb), cadmium (Cd), copper (Cu), and zinc (Zn) fractions and their availability, and the growth of Phaseolus coccineus L. Results showed that biochar and organic fertilizer significantly enhanced soil nutrient content and enzyme activities. Lime, biochar, and sepiolite effectively reduced heavy metal bioavailability by promoting their transition to residual fractions. Notably, biochar outperformed other materials by substantially increasing grain yield (by 82%), improving nutritional quality (sugars, protein, and starch contents raised by 20–88%), and reducing heavy metal accumulation in grains (by 36–50%). A comprehensive evaluation based on subordinate function values confirmed biochar as the most effective amendment. Structural equation modeling further revealed that biochar promoted plant growth and grain quality primarily by enhancing soil available nutrients and immobilizing heavy metals. These findings demonstrate the strong potential of biochar for remediating heavy metal-contaminated farmlands in alpine lead–zinc mining regions. Full article
(This article belongs to the Section Soil and Plant Nutrition)
Show Figures

Figure 1

20 pages, 4050 KB  
Article
The Efficiency of Fibrous Mg Clays for the Removal of Ciprofloxacine and Lidocaine from Water—The Role of Associated Clay Minerals
by Telma Belén Musso, Maria Eugenia Roca-Jalil, Vanina Rodriguez-Ameijide, Micaela Sanchez, Andrea Maggio, Miria Teresita Baschini, Gisela Pettinari, Luis Villa, Alejandro Pérez-Abad and Manuel Pozo
Minerals 2025, 15(10), 1083; https://doi.org/10.3390/min15101083 - 17 Oct 2025
Cited by 1 | Viewed by 728
Abstract
Adsorption studies of ciprofloxacine (CPX) and lidocaine (LID) emerging contaminants were performed on two fibrous Mg clays from the Madrid basin and Senegal. The samples were characterized by X-ray diffraction, ICP major element analysis, infrared spectroscopy, thermal analysis, optical petrography, scanning and transmission [...] Read more.
Adsorption studies of ciprofloxacine (CPX) and lidocaine (LID) emerging contaminants were performed on two fibrous Mg clays from the Madrid basin and Senegal. The samples were characterized by X-ray diffraction, ICP major element analysis, infrared spectroscopy, thermal analysis, optical petrography, scanning and transmission electron microscopy, cation exchange capacity (CEC), and N2-BET analysis. Two mineral assemblages were established. Assemblage 1 mainly consists of sepiolite and minor trioctahedral smectite, while assemblage 2 is mostly composed of palygorskite, which is associated with dioctahedral smectite. The sorption was fast and reached equilibrium in 2 h. Fibrous Mg clays showed a higher adsorption capacity for CPX than for LID in the conditions studied. CPX adsorption on sepiolite and palygorskite can be the result of the combination of various mechanisms: ion exchange with permanently charged sites, electrostatic attractions with external surfaces, and an inner sphere complex with broken edges. LID adsorption mainly occurs by ion exchange and electrostatic interaction with the external surfaces of the clays. Dioctahedral smectite, as an associated phase, contributed to a higher removal percentage in palygorskite samples. By contrast, the trioctahedral smectite did not play a significant role in the adsorption of the samples with sepiolite. The mesoporous structure, high surface area, and moderate cation exchange of fibrous clays play a key role in the sorption process of CPX and LID. Full article
(This article belongs to the Collection Clays and Other Industrial Mineral Materials)
Show Figures

Graphical abstract

14 pages, 6556 KB  
Article
Promoting Effects of Acid Treatment on Catalytic Performance of K-Sepiolite Clay Fibers for Soot Oxidation
by Haizhen Li, Wensheng Yang, Jiateng Hu, Mengjiao Niu, Shengjian Qin, Zhigang Yang and Gang Yu
Catalysts 2025, 15(10), 994; https://doi.org/10.3390/catal15100994 - 17 Oct 2025
Cited by 1 | Viewed by 1121
Abstract
In this study, sepiolite clay fibers were activated through hydrochloric acid acidification at various concentrations. The effects of different acid environments on the phase structure, morphology, and physicochemical properties of the activated sepiolite fibers were studied extensively. It was found that calcite impurities [...] Read more.
In this study, sepiolite clay fibers were activated through hydrochloric acid acidification at various concentrations. The effects of different acid environments on the phase structure, morphology, and physicochemical properties of the activated sepiolite fibers were studied extensively. It was found that calcite impurities can be effectively removed when the acid concentration exceeds 1 M. Furthermore, the specific surface area of K-supported sepiolite fibers increases continuously with rising acid concentration, reaching 107.9 m2/g when the hydrochloric acid concentration is 7 M. The soot temperature-programmed oxidation (TPO) results demonstrated that K-supported sepiolite fibers acidified with 3 M HCl exhibited the highest catalytic activity, with T10 and T50 values of 323 °C and 348 °C, respectively. The 10 wt% K-supported sepiolite paper catalyst, using 3 M HCl-activated sepiolite fibers as the matrix, exhibited the lowest T50 value of 436 °C and showed excellent stability compared to all other paper catalyst samples. This study on the activation of sepiolite-based catalysts under various acidic conditions advances the development of highly active and stable mineral catalytic materials and facilitates their practical application. Full article
(This article belongs to the Special Issue Fiber Catalysts for Efficient Energy and Environmental Catalysis)
Show Figures

Graphical abstract

18 pages, 2432 KB  
Article
Citric Acid-Modified Sepiolite as an Efficient and Sustainable Adsorbent for the Removal of Methylene Blue from Aqueous Solutions
by Zhuangzhuang Tian, Ziyi Chen, Qing Wang, Xin Gao and Wei Wei
Water 2025, 17(20), 2998; https://doi.org/10.3390/w17202998 - 17 Oct 2025
Cited by 2 | Viewed by 1169
Abstract
Eco-friendly clay-based adsorbents with low cost and high adsorption capacity for toxic dyes have attracted significant attention. In this study, a novel citric acid-modified sepiolite (CA-SEP) composite was developed for the efficient removal of methylene blue (MB) from aqueous solutions. The morphological, crystalline, [...] Read more.
Eco-friendly clay-based adsorbents with low cost and high adsorption capacity for toxic dyes have attracted significant attention. In this study, a novel citric acid-modified sepiolite (CA-SEP) composite was developed for the efficient removal of methylene blue (MB) from aqueous solutions. The morphological, crystalline, and structural properties of the composite were characterized using XRD, FTIR, SEM, and BET analyses. Compared to pristine SEP, CA-SEP exhibited a 2.6-fold increase in adsorption capacity for MB and demonstrated excellent reusability. The effects of key parameters—including solution pH (2.0–10.0), contact time (0–300 min), adsorbent dosage (0.2–2.0 g/L), and initial MB concentration (10–150 mg/L)—on adsorption performance were systematically investigated. Modeling results indicated that the Sips isotherm provided the optimal fit for the equilibrium data. In kinetic studies, the adsorption process was best described by the pseudo-second-order model. The maximum adsorption capacity of CA-SEP for MB was estimated to be 40.61 mg/g. Moreover, the adsorbent retained high removal efficiency after five adsorption-desorption cycles, demonstrating good regenerability. These results indicate that CA-SEP is a highly efficient, sustainable, and economically viable adsorbent for the elimination of MB from contaminated water. Full article
Show Figures

Figure 1

Back to TopTop