The Synthesis and Properties of Ladder-Type π-Conjugated Compounds with Pyrrole and Phosphole Rings
Abstract
:1. Introduction
2. Results
2.1. Synthesis
2.2. Photophysical Properties
2.3. Theoretical Study on Photophysical Properties
2.4. Comparison with Higher Homolog
3. Materials and Methods
3.1. General Procedures
3.2. Synthesis
- 2-[(2-Bromophenyl)ethynyl]-N-phenylaniline (10). A Schlenk tube was charged with 2-iodo-N-phenylaniline (197 mg, 0.67 mmol), 1-bromo-2-ethynylbenzene (80 μL, 0.65 mmol), Pd(PPh3)2Cl2 (14 mg, 0.020 mmol), CuI (20 mg, 0.11 mmol), and triethylamine (8 mL). After degassed by three freeze-thaw-pump cycles, the resulting mixture was stirred at 70 °C for 18 h under argon atmosphere. Then, the reaction mixture was cooled to room temperature, and concentrated under reduced pressure to remove trimethylamine. The resulting crude residue was purified using silica-gel column chromatography (hexane as eluent, Rf = 0.20) to produce compound 10 as a yellow solid (220 mg, 97% yield): mp 81–83 °C; 1H NMR (500 MHz, CDCl3) δ 7.59 (dd, J = 8.0, 1.2 Hz, 1H), 7.55 (dd, J = 8.0, 1.7 Hz, 1H), 7.48 (dd, J = 7.7, 1.7 Hz, 1H), 7.33–7.25 (m, 4H), 7.23–7.18 (m, 3H), 7.14 (td, J = 7.7, 1.7 Hz, 1H), 7.55 (t, J = 7.5 Hz, 1H), 6.99 (brs, 1H), 6.80 (td, J = 7.5, 1.2 Hz, 1H); 13C NMR (126 MHz, CDCl3) δ 145.4, 141.5, 133.0, 132.5, 132.4, 130.1, 129.5, 129.4, 127.4, 125.4, 125.2, 122.6, 120.4, 119.0, 113.0, 109.4, 94.4, 90.9; HRMS−APCI+ (m/z) calcd for C20H15BrN ([M + H]+) 348.0382 (monoisotopic ion), found 348.0382.
- 2-(2-Bromophenyl)-1-phenyl-1H-indole (11). A 20-mL Schlenk tube was charged with compound 10 (0.63 mmol, 220 mg), Cu(OAc)2 (20 mol%, 23 mg), decanoic acid (27 mol%, 30 mg), and toluene (5 mL). The resulting mixture was refluxed at 125 °C under air for 18 h. Then, the reaction mixture was cooled to room temperature and diluted with CHCl3. The organic layer was washed with H2O, dried over anhydrous Na2SO4, filtered, and concentrated under reduced pressure. The resulting crude residue was purified using silica-gel column chromatography (hexane as an eluent, Rf = 0.16) to produce compound 11 as a yellow oil (217 mg, 98% yield). The 1H NMR data of the obtained product were identical to that published previously [22].
- 3-Bromo-2-(2-bromophenyl)-1-phenyl-1H-indole (12). A Schlenk tube was charged with compound 11 (1.32 g, 3.8 mmol) and anhydrous THF (40 mL) under argon atmosphere. To the mixture was added N-bromosuccinimide (673 mg, 3.8 mmol) at 0 °C. Then, the resulting mixture was warmed to room temperature and stirred for 21 h. The reaction mixture was diluted with CHCl3 and washed with saturated aqueous Na2S2O3. The organic layer was dried over anhydrous Na2SO4, filtered, and concentrated under reduced pressure. The resulting crude residue was purified using silica-gel column chromatography (hexane as eluent, Rf = 0.30) to produce compound 12 as a colorless solid (1.50 g, 93% yield): mp 142–146 °C; 1H NMR (500 MHz, CDCl3) δ 7.69 (dd, J = 6.9, 1.7 Hz, 1H), 7.54 (d, J = 8.0, 1H), 7.32–7.22 (m, 10H), 7.16 (ddd, J = 8.0, 6.9, 2.3 Hz, 1H),; 13C NMR (126 MHz, CDCl3) δ 137.5, 136.9, 136.8, 133.4, 132.8, 132.4, 130.6, 129.2, 127.7, 127.6, 127.14, 127.08, 125.6, 123,8, 121.4, 119.6, 111.0, 94.3; HRMS−APCI+ (m/z) calcd for C20H14Br2N ([M + H]+) 425.9488 (monoisotopic ion), found 425.9489.
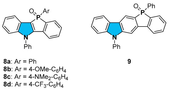
- 5,10-Diphenyl-5H-phosphindolo[3,2-b]indole 10-oxide (8a). A 30-mL Schlenk tube was charged with 12 (85 mg, 0.20 mmol), Et2O (5 mL), and N,N,N′,N′-tetramethylethylenediamine (TMEDA, 0.12 mL, 0.80 mmol) under argon atmosphere. The resulting mixture was cooled to 0 °C, and n-butyllithium (0.22 mL of 2.07 M solution in hexane, 0.46 mmol) was added dropwise to the mixture at 0 °C. After stirring at the same temperature for 15 min, PhPCl2 (50 μL, 0.37 mmol) was added in one portion to the reaction mixture. The resulting mixture was allowed to warm quickly to 25 °C, stirred at the same temperature for 10 min, and concentrated under reduced pressure.
- 10-(4-Methoxyphenyl)-5-phenyl-5H-phosphindolo[3,2-b]indole 10-oxide (8b). A 30-mL Schlenk tube was charged with 12 (128 mg, 0.30 mmol), Et2O (6.0 mL), and N,N,N′,N′-tetramethylethylenediammine (TMEDA, 0.18 mL, 1.2 mmol) under argon atmosphere. The mixture was cooled to −78 °C, and n-butyllithium (0.30 mL of 2.3 M solution in hexane, 0.67 mmol) was added dropwise to the mixture. After stirred at the same temperature for 1 h, (Et2N)PCl2 (58 μL, 0.39 mmol) was added dropwise to the mixture. The resulting mixture was stirred at the same temperature for 30 min and allowed to warm quickly to 25 °C. After stirring for 17 h, the reaction mixture was passed through a short pad of neutral alumina with Et2O, and the neutral alumina was rinsed with hexane. The filtrate was concentrated to give the crude product of aminophosphole intermediate (41 mg), which was used for the next step without further purification.
- 10-[(N,N-Dimethylamino)phenyl]-5-phenyl-5H-phosphindolo[3,2-b]indole 10-oxide (8c). The crude residue was obtained by using 12 (128 mg, 0.30 mmol) and 4-bromo-N,N-dimethylaniline (53 mg, 0.26 mmol). The resulting residue was purified using silica-gel column chromatography (EtOAc as eluent, Rf = 0.22) as a pale yellow solid (6 mg, 5% yield): 7.73–7.61 (m, 7H), 7.54 (dd, J = 7.6, 2.0 Hz, 2H), 7.22–7.08 (m, 5H), 6.683 (d, J = 9.2 Hz, 1H), 6.677 (d, J = 9.2 Hz, 1H), 6.59 (dd, J = 7.8, 3.2 Hz, 1H), 2.98 (s, 6H); 13C NMR (101 MHz, CDCl3) δ 153.0 (d, J = 1.9 Hz), 149.6 (d, J = 33.6 Hz), 143.7 (d, J = 9.6 Hz), 141.3 (d, J = 106.4 Hz), 137.1, 134.3 (d, J = 14.4 Hz), 132.7 (d, J = 12.5 Hz), 131.5, 130.3, 130.0, 129.7 (d, J = 8.6 Hz), 129.6, 128.8 (d, J = 11.5 Hz), 128.6, 128.2, 125.8 (d, J = 8.6 Hz), 123.7, 122.7, 121.1, 120.6 (d, J = 8.6 Hz); 115.0 (d, J = 121.7 Hz), 111.8 (d, J = 14.4 Hz); 111.5, 108.9 (d, J = 127.5 Hz), 40.1; 31P NMR (162 MHz, CDCl3) δ 23.4; HRMS–APCI+ (m/z) calcd for C28H24N2OP+ ([M + H]+) 435.1621, found 435.1627.
- 10-[4-(Trifluoromethyl)phenyl]-5-phenyl-5H-phosphindolo[3,2-b]indole 10-oxide (8d). The crude residue was obtained by using 12 (171 mg, 0.40 mmol) and 1-bromo-4-(trifluoromethyl)benzene (36 μL, 0.26 mmol). The resulting residue was purified using silica-gel column chromatography [EtOAc/hexane (5/1) as an eluent, Rf = 0.50] as a pale yellow solid (37 mg, 20% yield): 1H NMR (400 MHz, CDCl3) δ 8.0 (d, J = 8.2 Hz, 1H), 7.97 (d, J = 8.2 Hz, 1H), 7.69–7.61 (m, 7H), 7.56–7.54 (m, 2H), 7.28–7.19 (m, 4H), 7.13–7.11 (m, 1H), 6.66 (dd, J = 7.1, 3.0 Hz, 2H); 13C NMR (101 MHz, CDCl3) δ 150.0 (d, J = 34.5 Hz), 143.8 (d, J = 10.5 Hz), 139.2 (d, J = 107.4 Hz), 136.6, 136.2 (d, J = 107.4 Hz), 134.6 (d, J = 15.3 Hz), 133.9 (qd, J = 32.6, 2.9 Hz), 132.5, 131.8 (d, J = 11.5 Hz), 130.4, 130.21 (d, J = 7.7 Hz), 130.17, 129.9, 129.3 (d, J = 11.5 Hz), 128.4, 128.1, 125.8 (dq, J = 13.4, 3.8 Hz), 125.4 (d, 8.6 Hz), 124.2, 123.7 (q, J = 272.2 Hz), 123.2, 121.0 (d, J = 9.6 Hz), 120.8, 111.8, 107.3 (d, J = 130.4 Hz); 31P NMR (162 MHz, CDCl3) δ 20.7; HRMS–APCI+ (m/z) calcd for C27H18F3NOP+ ([M + H]+) 460.1073, found 460.1078.
- 3-Bromo-2-(2-bromophenyl)-9-phenyl-9H-carbazole (14). A 30-mL Schlenk tube was charged with 3-bromo-2-(2-bromophenyl)-9H-carbazole (66 mg, 0.17 mmol), KOtBu (44 mg, 0.39 mmol), and toluene (2 mL) under argon atmosphere. After stirring at 50 °C for 10 min, diphenyliodonium trifluoromethansulfonate (86 mg, 0.20 mmol) was added to the mixture. The resulting mixture was stirred at the same temperature for 28 h, and water was added to the reaction mixture. The resulting mixture was extracted with EtOAc (three times), and the combined organic layers were dried over Na2SO4, filtered, and concentrated under reduced pressure. The resulting crude reside was purified using silica-gel column chromatography [hexane/CH2Cl2 (10/1) as an eluent, Rf = 0.38] to give 14 as a colorless solid (57 mg, 72% yield): mp 80–90 °C; 1H NMR (400 MHz, CDCl3) δ 8.41 (s, 1H), 8.11 (dd, J = 7.8, 0.9 Hz, 1H), 7.65 (dd, J = 8.0, 0.9 Hz, 1H), 7.58–7.52 (m, 4H), 7.45–7.38 (m, 3H), 7.36–7.28 (m, 3H), 7.25–7.20 (m, 2H); 13C NMR (101 MHz, CDCl3) δ 143.0, 141.7, 139.8, 139.2, 137.3, 132.6, 131.5, 130.2, 129.4, 127.9, 127.15, 127.12, 126.9, 124.8, 124.2, 124.0, 122.2, 120.7, 120.6, 114.1, 112.0, 110.2; HRMS–APCI+ (m/z) calcd for C24H16Br2N+ ([M + H]+) 475.9644 (monoisotopic ion), found 475.9649.
- 5,11-Diphenyl-5H-phosphindolo[3,2-b]carbazole 11-oxide (9). A 50-mL Schlenk tube was charged with 14 (74 mg, 0.16 mmol), Et2O (4 mL), and TMEDA (95 μL, 0.64 mmol) under argon atmosphere. The mixture was cooled to −78 °C, and n-butyllithium (0.13 mL of 2.7 M solution in hexane, 0.34 mmol) was added dropwise to the mixture. After stirring at the same temperature for 2 h, PhPCl2 (27 μL, 0.20 mmol) was added in one portion to the reaction mixture. After stirring at the same temperature for 30 min, the reaction mixture was allowed to warm quickly to 25 °C and stirred for 18 h. The reaction mixture was concentrated under reduced pressure, and the resulting crude residue, which would contain trivalent phosphole intermediate, was dissolved with CH2Cl2 (8 mL) under argon atmosphere. H2O2 (1.0 mL, 35% aqueous solution) was added to the resulting solution, and the resulting mixture was stirred at 25 °C for 1 h. After the reaction was quenched with saturated aqueous Na2S2O3, the resulting mixture was extracted with CH2Cl2 (three times). The combined organic layers were dried over Na2SO4, filtered, and concentrated under reduced pressure. The resulting crude residue was purified using silica-gel column chromatography [EtOAc/hexane (2/1) as eluent, Rf = 0.30] and recycling preparative HPLC (CHCl3 as an eluent) to produce the title compound as a colorless solid (15 mg, 17% yield): 1H NMR (400 MHz, CDCl3) δ 8.47 (d, J = 9.6 Hz, 1H), 8.06 (d, J = 7.3 Hz, 1H), 7.79–7.67 (m, 8H), 7.61–7.47 (m, 5H), 7.44–7.28 (m, 6H); 13C NMR (101 MHz, CDCl3) δ 144.4, 142.5 (d, J = 21.1 Hz), 142.2, 140.1 (d, J = 24.0 Hz), 136.9, 134.3 (d, J = 106.4 Hz), 133.2 (d, J = 1.9 Hz), 132.1 (d, J = 2.9 Hz), 132.0 (d, J = 104.5 Hz), 131.4 (d, J = 11.5 Hz), 130.4, 129.9 (d, J = 9.6 Hz), 129.3 (d, J = 10.5 Hz), 128.8 (d, J = 12.5 Hz), 128.5, 127.5, 127.0, 124.7 (d, J = 13.4 Hz), 123.9 (d, J = 113.1 Hz), 123.1 (d, J = 10.5 Hz), 123.0, 121.25, 121.19 (d, J = 11.5 Hz), 120.6, 110.3, 102.7 (d, J = 11.5 Hz); 31P NMR (202 MHz, CDCl3) δ 33.5; HRMS–APCI+ (m/z) calcd for C30H21NOP+ ([M + H]+) 442.1355, found 442.1361.
3.3. X-ray Crystallography
3.4. Computational Studies
4. Conclusions
Supplementary Materials
Author Contributions
Funding
Institutional Review Board Statement
Informed Consent Statement
Data Availability Statement
Acknowledgments
Conflicts of Interest
References
- Crassous, J.; Reau, R. π-Conjugated phosphole derivatives: Synthesis, optoelectronic functions and coordination chemistry. Dalton Trans. 2008, 6865–6876. [Google Scholar] [CrossRef] [PubMed]
- Matano, Y.; Imahori, H. Design and synthesis of phosphole-based π systems for novel organic materials. Org. Biomol. Chem. 2009, 7, 1258–1271. [Google Scholar] [CrossRef] [PubMed]
- Stolar, M.; Baumgartner, T. Phosphorus-containing materials for organic electronics. Chem. Asian J. 2014, 9, 1212–1225. [Google Scholar] [CrossRef] [PubMed]
- Baumgartner, T. Insights on the design and electron-acceptor properties of conjugated organophosphorus materials. Acc. Chem. Res. 2014, 47, 1613–1622. [Google Scholar] [CrossRef] [PubMed]
- Matano, Y. Synthesis and Structure-Property Relationships of Phosphole-Based π Systems and Their Applications in Organic Solar Cells. Chem. Rec. 2015, 15, 636–650. [Google Scholar] [CrossRef]
- Duffy, M.P.; Delaunay, W.; Bouit, P.A.; Hissler, M. π-Conjugated phospholes and their incorporation into devices: Components with a great deal of potential. Chem. Soc. Rev. 2016, 45, 5296–5310. [Google Scholar] [CrossRef]
- Shameem, M.A.; Orthaber, A. Organophosphorus Compounds in Organic Electronics. Chem. Eur. J. 2016, 22, 10718–10735. [Google Scholar] [CrossRef]
- Hibner-Kulicka, P.; Joule, J.A.; Skalik, J.; Bałczewski, P. Recent studies of the synthesis, functionalization, optoelectronic properties and applications of dibenzophospholes. RSC Adv. 2017, 7, 9194–9236. [Google Scholar] [CrossRef]
- Yamaguchi, S.; Fukazawa, A.; Taki, M. Phosphole P-Oxide-Containing π-Electron Materials: Synthesis and Applications in Fluorescence Imaging. J. Synth. Org. Chem. Jpn. 2017, 75, 1179–1187. [Google Scholar] [CrossRef]
- Wu, J.; Wu, S.; Geng, Y.; Yang, G.; Muhammad, S.; Jin, J.; Liao, Y.; Su, Z. Theoretical study on dithieno[3,2-b:2′,3′-d]phosphole derivatives: High-efficiency blue-emitting materials with ambipolar semiconductor behavior. Theor. Chem. Acc. 2010, 127, 419–427. [Google Scholar] [CrossRef]
- Fukazawa, A.; Hara, M.; Okamoto, T.; Son, E.C.; Xu, C.H.; Tamao, K.; Yamaguchi, S. Bis-phosphoryl-bridged stilbenes synthesized by an intramolecular cascade cyclization. Org. Lett. 2008, 10, 913–916. [Google Scholar] [CrossRef] [PubMed]
- Fukazawa, A.; Yamada, H.; Yamaguchi, S. Phosphonium- and borate-bridged zwitterionic ladder stilbene and its extended analogues. Angew. Chem. Int. Ed. 2008, 47, 5582–5585. [Google Scholar] [CrossRef] [PubMed]
- Fukazawa, A.; Yamaguchi, E.; Ito, E.; Yamada, H.; Wang, J.; Irle, S.; Yamaguchi, S. Zwitterionic Ladder Stilbenes with Phosphonium and Borate Bridges: Intramolecular Cascade Cyclization and Structure–Photophysical Properties Relationship. Organometallics 2011, 30, 3870–3879. [Google Scholar] [CrossRef]
- Xu, Y.; Wang, Z.; Gan, Z.; Xi, Q.; Duan, Z.; Mathey, F. Versatile synthesis of phospholides from open-chain precursors. Application to annelated pyrrole- and silole-phosphole rings. Org. Lett. 2015, 17, 1732–1734. [Google Scholar] [CrossRef] [PubMed]
- Zhou, Y.; Yang, S.; Li, J.; He, G.; Duan, Z.; Mathey, F. Phosphorus and silicon-bridged stilbenes: Synthesis and optoelectronic properties. Dalton Trans. 2016, 45, 18308–18312. [Google Scholar] [CrossRef] [PubMed]
- Ren, Y.; Baumgartner, T. Dually Switchable Heterotetracenes: Addressing the Photophysical Properties and Self-Organization of the P-S System. J. Am. Chem. Soc. 2011, 133, 1328–1340. [Google Scholar] [CrossRef]
- Ren, Y.; Biegger, F.; Baumgartner, T. Molecular Engineering of the Physical Properties of Highly Luminescent π-Conjugated Phospholes. J. Phys. Chem. C 2013, 117, 4748–4758. [Google Scholar] [CrossRef]
- Weymiens, W.; Zaal, M.; Slootweg, J.C.; Ehlers, A.W.; Lammertsma, K. Ladder-type P,S-bridged trans-stilbenes. Inorg. Chem. 2011, 50, 8516–8523. [Google Scholar] [CrossRef]
- Takahashi, M.; Nakano, K.; Nozaki, K. Synthesis and Properties of Benzophospholo[3,2-b]benzofuran Derivatives. J. Org. Chem. 2015, 80, 3790–3797. [Google Scholar] [CrossRef]
- Wei, X.; Lu, Z.; Zhao, X.; Duan, Z.; Mathey, F. Synthesis of annelated phospholes through intramolecular C-H activation by monovalent phosphorus. Angew. Chem. Int. Ed. 2015, 54, 1583–1586. [Google Scholar] [CrossRef]
- Matsumura, M.; Yamada, M.; Muranaka, A.; Kanai, M.; Kakusawa, N.; Hashizume, D.; Uchiyama, M.; Yasuike, S. Synthesis and photophysical properties of novel benzophospholo[3,2-b]indole derivatives. Beilstein J. Org. Chem. 2017, 13, 2304–2309. [Google Scholar] [CrossRef] [PubMed]
- Gao, J.; Shao, Y.; Zhu, J.; Zhu, J.; Mao, H.; Wang, X.; Lv, X. One-pot approach to 1,2-disubstituted indoles via Cu(II)-catalyzed coupling/cyclization under aerobic conditions and its application for the synthesis of polycyclic indoles. J. Org. Chem. 2014, 79, 9000–9008. [Google Scholar] [CrossRef] [PubMed]
- Reichardt, C. Solvatochromic Dyes as Solvent Polarity Indicators. Chem. Rev. 1994, 94, 2319–2358. [Google Scholar] [CrossRef]
- Frisch, M.J.; Trucks, G.W.; Schlegel, H.B.; Scuseria, G.E.; Robb, M.A.; Cheeseman, J.R.; Scalmani, G.; Barone, V.; Petersson, G.A.; Nakatsuji, H.; et al. Gaussian 16, Rev. B.01; Gaussian, Inc.: Wallingford, CT, USA, 2016. [Google Scholar]
- Hanifi, D.; Pun, A.; Liu, Y. Synthesis and properties of bisphosphole-bridged ladder oligophenylenes. Chem. Asian J. 2012, 7, 2615–2620. [Google Scholar] [CrossRef] [PubMed]
- Furukawa, S.; Haga, S.; Kobayashi, J.; Kawashima, T. Synthesis of π-extended dibenzophospholes by intramolecular radical cyclization and their properties. Org. Lett. 2014, 16, 3228–3231. [Google Scholar] [CrossRef] [PubMed]
- Kuninobu, Y.; Yoshida, T.; Takai, K. Palladium-catalyzed synthesis of dibenzophosphole oxides via intramolecular dehydrogenative cyclization. J. Org. Chem. 2011, 76, 7370–7376. [Google Scholar] [CrossRef] [PubMed]
- Baba, K.; Tobisu, M.; Chatani, N. Palladium-catalyzed direct synthesis of phosphole derivatives from triarylphosphines through cleavage of carbon-hydrogen and carbon-phosphorus bonds. Angew. Chem. Int. Ed. 2013, 52, 11892–11895. [Google Scholar] [CrossRef]
- Guo, F.; Wang, L.; Wang, P.; Yu, J.; Han, J. Transition-Metal-Free N-Arylation of Carbazoles and C-Arylation of Tetrahydrocarbazoles by using Diaryliodonium Salts. Asian J. Org. Chem. 2012, 1, 218–221. [Google Scholar] [CrossRef]
- Chen, D.M.; Qin, Q.; Sun, Z.B.; Peng, Q.; Zhao, C.H. Synthesis and properties of B,N-bridged p-terphenyls. Chem. Commun. 2014, 50, 782–784. [Google Scholar] [CrossRef]
- Yoo, E.J.; Chang, S. A New Route to Indolines by the Cu-Catalyzed Cyclization Reaction of 2-Ethynylanilines with Sulfonyl Azides. Org. Lett. 2008, 10, 1163–1166. [Google Scholar] [CrossRef]
- Burla, M.C.; Caliandro, R.; Camalli, M.; Carrozzini, B.; Cascarano, G.L.; De Caro, L.; Giacovazzo, C.; Polidori, G.; Siliqi, D.; Spagna, R. IL MILIONE: A suite of computer programs for crystal structure solution of proteins. J. Appl. Crystallogr. 2007, 40, 609–613. [Google Scholar] [CrossRef]
- Sheldrick, G.M. A short history of SHELX. Acta Crystallogr. Sect. A Found. Crystallogr. 2008, 64, 112–122. [Google Scholar] [CrossRef] [PubMed]
- Sheldrick, G.M. Crystal structure refinement with SHELXL. Acta Crystallogr. Sect. C Struct. Chem. 2015, 71, 3–8. [Google Scholar] [CrossRef] [PubMed]










| λabs (nm) a | λem (nm) b | Stokes Shift (cm−1) | Φ c | |
|---|---|---|---|---|
| 8a | 355 | 449 | 5900 | 0.72 |
| 8b | 355 | 449 | 5900 | 0.68 |
| 8c | --- | 448 | --- | 0.50 |
| 8d | 358 | 453 | 5860 | 0.68 |
| Solvent | ET(30) a (kcal·mol−1) | λabs (nm) | λem (nm) b | Stokes Shift (cm−1) |
|---|---|---|---|---|
| C6H6 | 34.5 | 353 | 441 | 5650 |
| CHCl3 | 39.1 | 355 | 449 | 5900 |
| CH2Cl2 | 41.1 | 353 | 449 | 6060 |
| CH3CN | 46.0 | 349 | 452 | 6530 |
| CH3OH | 55.5 | 355 | 459 | 6380 |
Disclaimer/Publisher’s Note: The statements, opinions and data contained in all publications are solely those of the individual author(s) and contributor(s) and not of MDPI and/or the editor(s). MDPI and/or the editor(s) disclaim responsibility for any injury to people or property resulting from any ideas, methods, instructions or products referred to in the content. |
© 2023 by the authors. Licensee MDPI, Basel, Switzerland. This article is an open access article distributed under the terms and conditions of the Creative Commons Attribution (CC BY) license (https://creativecommons.org/licenses/by/4.0/).
Share and Cite
Truong, M.A.; Morishita, S.; Noguchi, K.; Nakano, K. The Synthesis and Properties of Ladder-Type π-Conjugated Compounds with Pyrrole and Phosphole Rings. Molecules 2024, 29, 38. https://doi.org/10.3390/molecules29010038
Truong MA, Morishita S, Noguchi K, Nakano K. The Synthesis and Properties of Ladder-Type π-Conjugated Compounds with Pyrrole and Phosphole Rings. Molecules. 2024; 29(1):38. https://doi.org/10.3390/molecules29010038
Chicago/Turabian StyleTruong, Minh Anh, Suzuho Morishita, Keiichi Noguchi, and Koji Nakano. 2024. "The Synthesis and Properties of Ladder-Type π-Conjugated Compounds with Pyrrole and Phosphole Rings" Molecules 29, no. 1: 38. https://doi.org/10.3390/molecules29010038
APA StyleTruong, M. A., Morishita, S., Noguchi, K., & Nakano, K. (2024). The Synthesis and Properties of Ladder-Type π-Conjugated Compounds with Pyrrole and Phosphole Rings. Molecules, 29(1), 38. https://doi.org/10.3390/molecules29010038

