Effect of Wet-Dry Cycles on the Mechanical Performances and Microstructure of Pisha Sandstone
Abstract
1. Introduction
2. Results and Discussion
2.1. Mechanical Performances
2.1.1. Failure Modes
2.1.2. Water Absorption
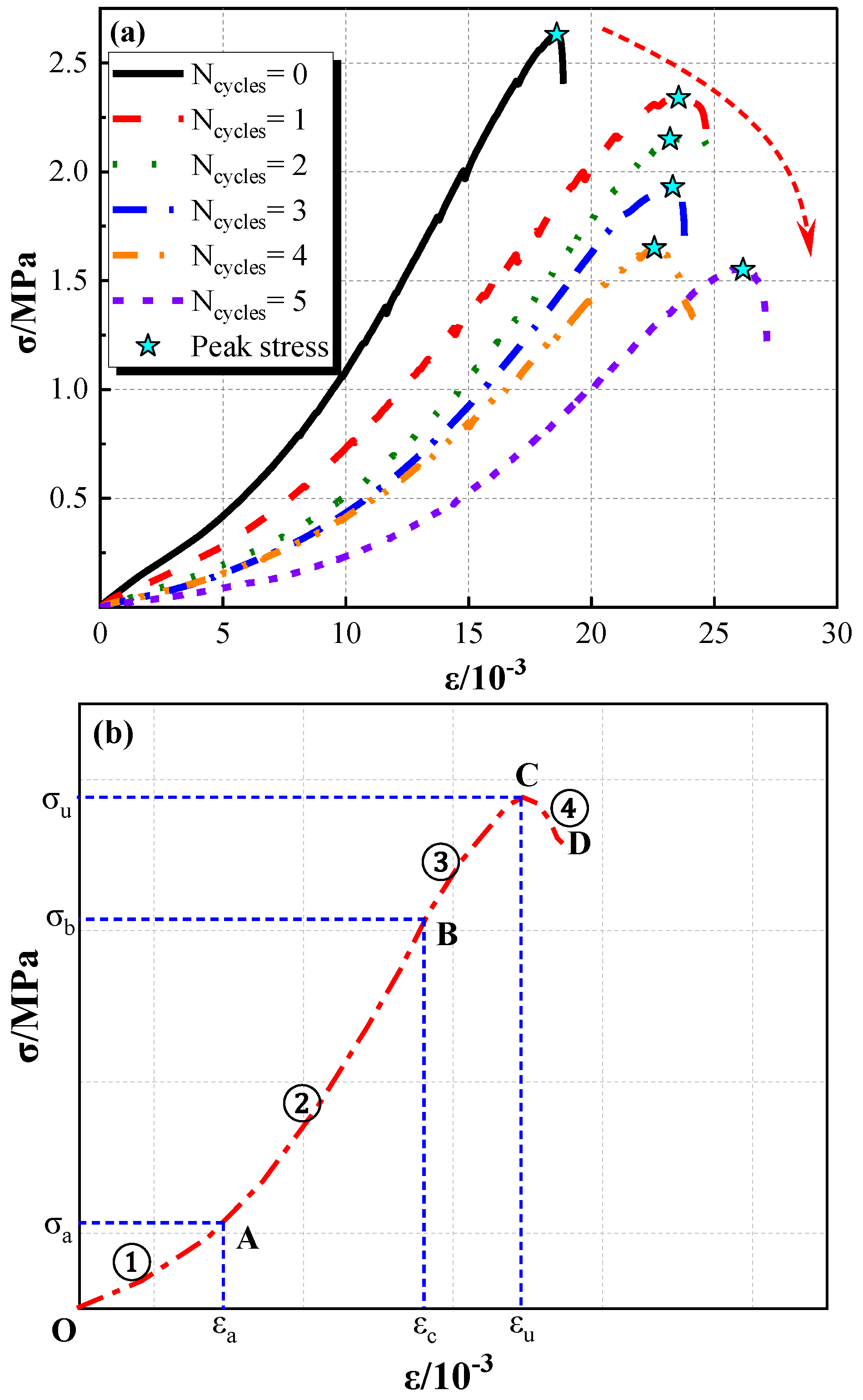
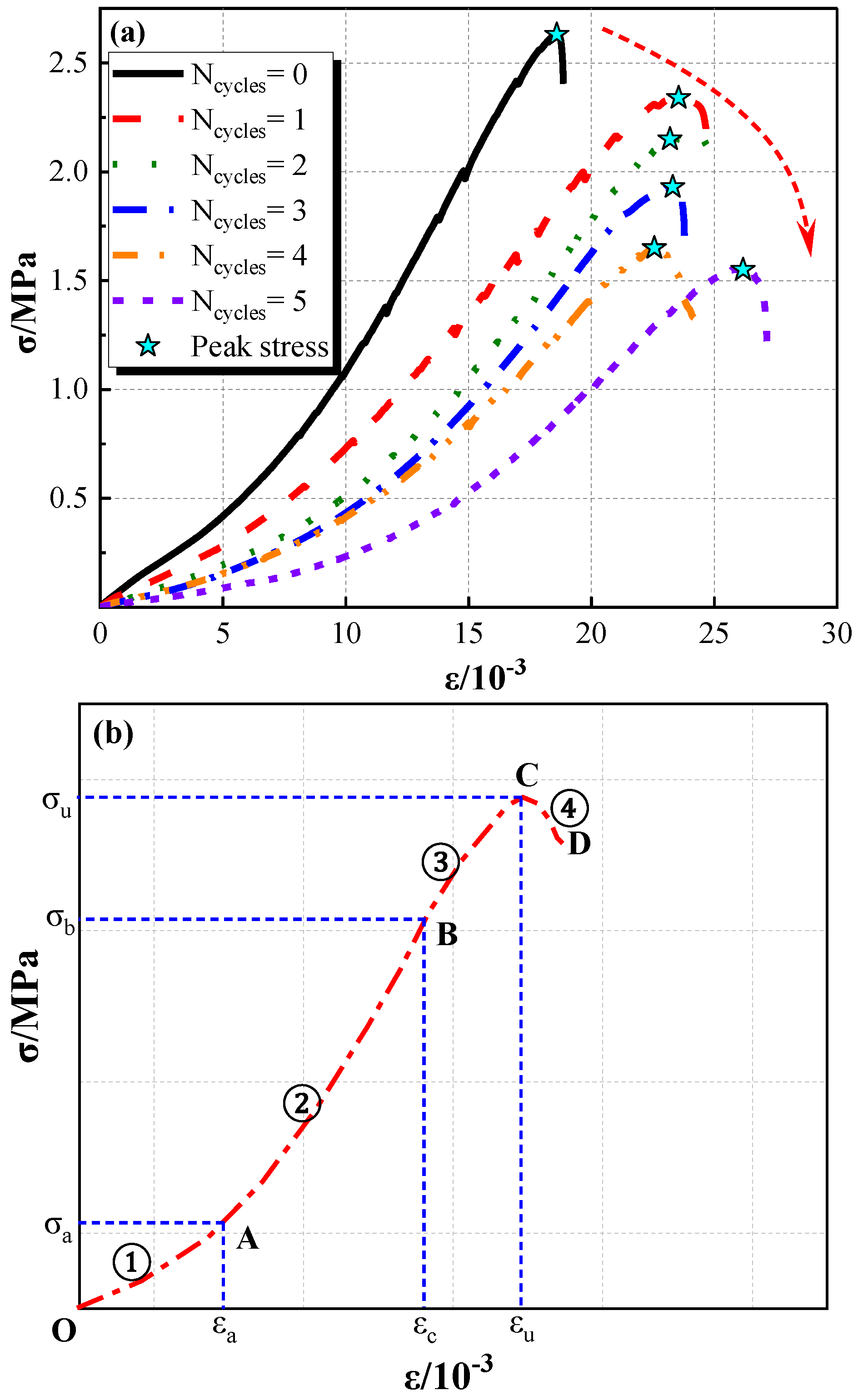
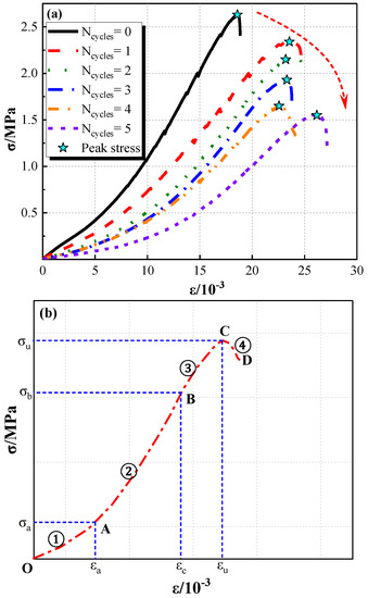
2.1.3. Stress–Strain Curve
2.1.4. Elastic Modulus
2.1.5. Fracture Energy
2.2. Mineral Compositions
2.3. Microstructure Analysis
2.4. Porosity Analysis
2.4.1. Porosity and Distribution
2.4.2. Correlation between Porosity and Strength
2.4.3. Correlation between Porosity and Clay Mineral Content
2.4.4. Discussion
3. Experimental Design
3.1. Sample Selection
3.2. Wet-Dry Cycling Test
3.3. Test Equipment
4. Conclusions
- (1)
- With the increase of wet–dry cycles, the mechanical properties of Pisha sandstone gradually decrease. After five wet–dry cycles, the uniaxial compressive strength, elastic modulus, and fracture energy of specimens were reduced by 41.06%, 62.39%, and 31.92%, respectively. The stress–strain curves of specimens can be divided into four stages: the compaction stage, elastic stage, plastic stage, and descending stage. In addition, the failure mode of the specimen changes from inclined shear failure to peel failure.
- (2)
- With the increase of wet–dry cycles, the relative content of primary minerals gradually decreased, while the relative content of clay minerals gradually increased. Compared to the initial specimens, the relative content of primary minerals after five wet–dry cycles declined by 5.94%, and the relative content of clay minerals after five wet–dry cycles increased by 54.33%. Furthermore, the relative content of clay minerals increased rapidly in the early stage (≤2) and developed slowly in the later stages of wet–dry cycles.
- (3)
- Under water–rock interaction, the Pisha sandstone was subject to physical and chemical weathering, and the surface of the Pisha sandstone particles became rough and porous. Additionally, the porosity of samples exhibits a positive correlation with wet–dry cycles. Compared to the initial specimens, the porosity of specimens after five wet–dry cycles increased by 176.32%.
- (4)
- The uniaxial compressive strength and porosity exhibit a negative correlation trend. When the porosity of samples increases from 10.64% to 29.40%, the uniaxial compressive strength of specimens decreases by 41.06%. Moreover, the prediction model proposed in this work is in good agreement with the experimental results.
Author Contributions
Funding
Institutional Review Board Statement
Informed Consent Statement
Data Availability Statement
Acknowledgments
Conflicts of Interest
Sample Availability
References
- Ma, W.; Zhang, X. Effect of Pisha sandstone on water infiltration of different soils on the Chinese Loess Plateau. J. Arid. Land 2016, 8, 331–340. [Google Scholar] [CrossRef]
- Li, C.; Zhang, T.; Wang, L. Mechanical properties and microstructure of alkali-activated Pisha sandstone geopolymer composites. Constr. Build. Mater. 2014, 68, 233–239. [Google Scholar] [CrossRef]
- Wang, Y.; Wu, Y.; Kou, Q.; Chang, Y.; Zhang, R. Definition of distribution range and type division of soft sandstone. Sci. Soil Water Conserv. 2007, 5, 14–18. [Google Scholar]
- Zhao, C.; Gao, J.; Huang, Y.; Wang, G.; Xu, Z. The contribution of Astragalus adsurgens roots and canopy to water erosion control in the water–wind crisscrossed erosion region of the Loess Plateau, China. Land Degrad. Dev. 2017, 28, 265–273. [Google Scholar] [CrossRef]
- Zhang, P.; Yao, W.; Xiao, P.; Liu, G.; Yang, C. Study on the interaction and superposition effect of multi-dynamic erosion in the soft sandstone area of the Yellow River basin. J. Hydraul. Eng. 2022, 53, 109–116. [Google Scholar]
- Ziadat, F.M.; Taimeh, A.Y. Effect of rainfall intensity, slope, land use and antecedent soil moisture on soil erosion in an arid environment. Land Degrad. Dev. 2013, 24, 582–590. [Google Scholar] [CrossRef]
- Liang, Z.; Liu, H.; Zhao, Y.; Wang, Q.; Gao, H. Effects of rainfall intensity, slope angle, and vegetation coverage on the erosion characteristics of Pisha sandstone slopes under simulated rainfall conditions. Environ. Sci. Pollut. Res. 2019, 27, 17458–17467. [Google Scholar] [CrossRef]
- Yang, C.; Liu, Q.; Qu, F.; Zhao, Y.; Wu, Z. Experimental study on weathering characteristics of Pisha sandstone. Adv. Sci. Technol. Water Resour. 2019, 39, 10–15. [Google Scholar]
- Xiao, P.; Yao, W.; Liu, H. Research progress and harnessing method of soil and water loss in Pisha sandstone region. Yellow River 2014, 36, 92–94. [Google Scholar] [CrossRef]
- Wang, Y.; Wu, Y.; Min, D.; Chang, Y.; Zhang, R. Investigation on measures for soil erosion in soft rock area. Glob. Seabuckthorn Res. Dev. 2007, 5, 39–44. [Google Scholar]
- Li, J. Study on Influence Factors of Slope Erosion with Scouring Experiment in Pisha Sandstone Region. Master’s Thesis, Southeast University, Nanjing, China, 2016. [Google Scholar]
- Wang, Q. Erosion Study on Pisha Sandstone Slope under Simulated Rainfall Conditions. Master’s Thesis, Southeast University, Nanjing, China, 2016. [Google Scholar]
- Wang, Q.; Sun, X.; Liu, Y.; Zhang, G.; Shi, J.; Ye, H. Indoor modeling the effect of water-rock interaction on the weathering and erosion of Pi-sandstone. Yellow River 2013, 35, 45–47. [Google Scholar]
- Su, T.; Zhang, X.; Zhao, H. Study on hydraulic characteristics of slope runoff in Pisha sandstone region. J. Northwest A F Univ. (Nat. Sci. Ed.) 2011, 39, 203–209. [Google Scholar]
- Su, T.; Zhang, X. Hydraulic Characteristics of Steep Slope Runoff of Pisha Sandstone. J. Soil Water Conserv. 2012, 26, 17–21. [Google Scholar]
- Shi, J.; Ye, H.; Wang, Q.; Sun, Y. Effect of water-rock interaction on the weathering and erosion of Pi-sandstone, Southern Inner Mongolia, China. Geoscience 2009, 23, 171–177. [Google Scholar]
- Nara, Y.; Morimoto, K.; Yoneda, T.; Kaneko, K. Effect of the Humidity on Subcritical Crack Growth in Sandstone. J. Mmij 2009, 125, 57–61. [Google Scholar] [CrossRef]
- Yang, X.; Wang, J.; Zhu, C.; He, M.; Gao, Y. Effect of wetting and drying cycles on microstructure of rock based on SEM. Environ. Earth Sci. 2019, 78, 183. [Google Scholar] [CrossRef]
- Wu, S.; Li, X.; Chang, P.; Li, M.; Chne, S. Experimental study on mechanical properties of red Pisha-sandstone under dry–wet cycles in Ordos. J. Drain. Irrig. Mach. Eng. 2018, 36, 625–631. [Google Scholar]
- Wu, S.; Li, X.; Chang, P.; Zhang, Y.; Guo, L. Experimental study on mechanical properties of red Pisha-sandstone cement soil under wetting-drying cycles. J. Drain. Irrig. Mach. Eng. 2019, 37, 1093–1099. [Google Scholar]
- Ma, W.; Ding, Z.; Wu, Z.; Liang, Z.; Yang, C. Mechanical properties and meso-mechanism of Pisha sandstone with W-OH solidified under drying-wetting cycles. Bull. Soil Water Conserv. 2018, 38, 22–28. [Google Scholar]
- GBT 50123-2019; Standard for Geotechnical Test Method. China Planning Press: Beijing, China, 2019.
- Ma, W.; Gao, W.; Guo, S.; Zhao, Y.; Wu, Z.; Yang, C. Evaluation and improvement on the freeze-thaw durability performance of the polyurethane stabilized Pisha sandstone for water and soil conservation. Cold Reg. Sci. Technol. 2020, 177, 103065. [Google Scholar] [CrossRef]
- Zhao, Y.; Yang, C.; Li, K.; Qu, F.; Yan, C.; Wu, Z. Toward understanding the activation and hydration mechanisms of composite activated coal gangue geopolymer. Constr. Build. Mater. 2022, 318, 125999. [Google Scholar] [CrossRef]
- Fu, Y. Study on Water-Rock Interaction with Cyclic Drying-Wetting Effect on Rock. Master’s Thesis, Chongqing University, Chongqing, China, 2010. [Google Scholar]
- Summer, P.; Loubser, M. Experimental sandstone weathering using different wetting and drying moisture amplitudes. Earth Surf. Process. Landf. 2008, 33, 985–990. [Google Scholar] [CrossRef]
- Li, K.; Zheng, D.; Huang, W. Neural network simulation of mechanical properties and constitutive model of sandstone under dry–wet cycles. Rock Soil Mech. 2013, 34, 168–173. [Google Scholar]
- Liang, Z.; Wu, Z.; Yao, W.; Noori, M.; Yang, C.; Xiao, P.; Leng, Y.; Deng, L. Pisha sandstone: Causes, processes and erosion options for its control and prospects. Int. Soil Water Conserv. Res. 2019, 7, 1–8. [Google Scholar] [CrossRef]
- Liu, X.; Liu, Q.; Huang, S.; Liu, B.; Liu, J. Effects of cyclic wetting-drying on the mechanical behavior and improved damage model for sandstone. Mar. Georesour. Geotechnol. 2021, 39, 1244–1254. [Google Scholar] [CrossRef]
- Huang, S.; He, Y.; Liu, X.; Xin, Z. Experimental investigation of the influence of dry-wet, freeze-thaw and water immersion treatments on the mechanical strength of the clay-bearing green sandstone. Int. J. Rock Mech. Min. Sci. 2021, 138, 104613. [Google Scholar] [CrossRef]
- Ye, H.; Shi, J.; Li, X.; Hou, H.; Shi, Y.; Chen, Y. The effect of soft rock lithology upon its anti erosion ability. Acta Geosci. Sin. 2006, 27, 145–150. [Google Scholar]















| Minerals | d (A) | N = 0 | N = 1 | N = 2 | N = 3 | N = 4 | N = 5 |
|---|---|---|---|---|---|---|---|
| Ch | 14.98 | 37.93 | 33.59 | 37.45 | 28.61 | 31.87 | 6.37 |
| M, B, I | 9.81 | 11.82 | 11.84 | 13.81 | 10.76 | 12.69 | 1.53 |
| Ch | 7.01 | 8.92 | 8.814 | 10.08 | 7.86 | 9.19 | 1.64 |
| F, K | 6.31 | 10.25 | 8.11 | 9.17 | 7.19 | 8.43 | 1.35 |
| Q | 4.22 | 32.23 | 11.50 | 12.11 | 9.55 | 10.56 | 1.69 |
| Q, F, I | 3.33 | 100.00 | 100.00 | 100.00 | 100.00 | 100.00 | 100.00 |
| F, Ca | 3.22 | 79.84 | 38.70 | 19.91 | 24.54 | 17.85 | 51.56 |
| M, K | 3.17 | 73.68 | 17.48 | 11.62 | 14.70 | 14.06 | 25.43 |
| H | 2.57 | 5.21 | 8.22 | 8.72 | 6.83 | 8.66 | 1.27 |
| Q, I | 2.45 | 8.94 | 9.65 | 9.62 | 7.60 | 9.89 | 1.37 |
| Q | 2.23 | 7.53 | 5.69 | 6.26 | 5.20 | 6.59 | 0.92 |
| Q | 2.12 | 15.25 | 8.92 | 8.16 | 6.95 | 10.98 | 2.14 |
| H | 1.67 | 6.31 | 7.49 | 6.55 | 6.18 | 6.68 | 1.37 |
| Q | 1.54 | 8.40 | 10.43 | 9.17 | 7.89 | 9.98 | 2.41 |
| Q | 1.37 | 7.11 | 8.45 | 8.17 | 10.01 | 10.53 | 1.042 |
| N | σE (MPa) | σPre (MPa) | σE/σPre |
|---|---|---|---|
| 0 | 2.63 | 2.55 | 1.03 |
| 1 | 2.34 | 2.43 | 0.96 |
| 2 | 2.15 | 2.09 | 1.03 |
| 3 | 1.93 | 1.94 | 0.99 |
| 4 | 1.65 | 1.71 | 0.96 |
| 5 | 1.55 | 1.53 | 1.01 |
| Diameter (mm) | Height (mm) | Mass (g) | Water Content (%) | Density (g/cm3) |
|---|---|---|---|---|
| 60.00 | 120.00 | 766.13 | 5.23 | 2.26 |
Disclaimer/Publisher’s Note: The statements, opinions and data contained in all publications are solely those of the individual author(s) and contributor(s) and not of MDPI and/or the editor(s). MDPI and/or the editor(s) disclaim responsibility for any injury to people or property resulting from any ideas, methods, instructions or products referred to in the content. |
© 2023 by the authors. Licensee MDPI, Basel, Switzerland. This article is an open access article distributed under the terms and conditions of the Creative Commons Attribution (CC BY) license (https://creativecommons.org/licenses/by/4.0/).
Share and Cite
Zhao, Y.; Yang, C.; Qu, F.; Wu, Z.; Ding, K.; Liang, Z. Effect of Wet-Dry Cycles on the Mechanical Performances and Microstructure of Pisha Sandstone. Molecules 2023, 28, 2533. https://doi.org/10.3390/molecules28062533
Zhao Y, Yang C, Qu F, Wu Z, Ding K, Liang Z. Effect of Wet-Dry Cycles on the Mechanical Performances and Microstructure of Pisha Sandstone. Molecules. 2023; 28(6):2533. https://doi.org/10.3390/molecules28062533
Chicago/Turabian StyleZhao, Yanbing, Caiqian Yang, Feng Qu, Zhiren Wu, Kejie Ding, and Zhishui Liang. 2023. "Effect of Wet-Dry Cycles on the Mechanical Performances and Microstructure of Pisha Sandstone" Molecules 28, no. 6: 2533. https://doi.org/10.3390/molecules28062533
APA StyleZhao, Y., Yang, C., Qu, F., Wu, Z., Ding, K., & Liang, Z. (2023). Effect of Wet-Dry Cycles on the Mechanical Performances and Microstructure of Pisha Sandstone. Molecules, 28(6), 2533. https://doi.org/10.3390/molecules28062533

