Grafting of Maleic Anhydride onto Poly(vinylidene fluoride) Using Reactive Extrusion
Abstract
1. Introduction
2. Results
2.1. FTIR Analysis
2.2. Wetting Properties
2.3. Grafting Degree
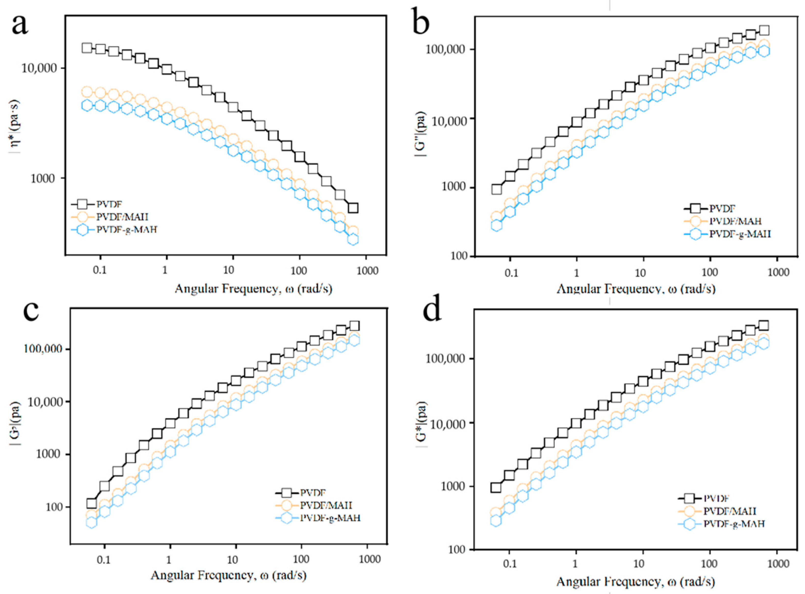
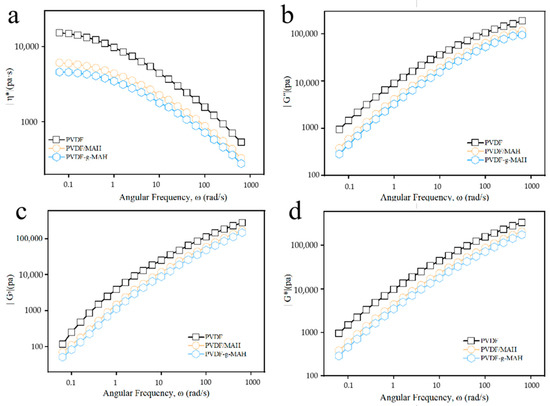
2.4. Rheological Properties of PVDF, PVDF/MAH and PVDF-g-MAH
2.5. Mechanical Properties of PVDF, PVDF/MAH and PVDF-g-MAH
2.6. Analysis of the Crystallization and Melting Behavior
2.7. Thermal Stability
2.8. Analysis of the Crystallization of PVDF, PVDF/MAH and PVDF-g-MAH
3. Materials and Methods
3.1. Materials
3.2. Reactive Processing of PVDF with MAH
3.3. Purification of the Grafted PVDF
3.4. Determination of the Grafting Degree
3.5. Characterization
4. Conclusions
Author Contributions
Funding
Institutional Review Board Statement
Informed Consent Statement
Data Availability Statement
Conflicts of Interest
Sample Availability
References
- Ma, H.; Yang, Y. Rheology, morphology and mechanical properties of compatibilized poly(vinylidene fluoride) (PVDF)/thermoplastic polyurethane (TPU) blends. Polym. Test. 2008, 27, 441–446. [Google Scholar] [CrossRef]
- Iezzi, R.A.; Gaboury, S.; Wood, K. Acrylic-fluoropolymer mixtures and their use in coatings. Prog. Org. Coat. 2000, 40, 55–60. [Google Scholar] [CrossRef]
- Tian, B.; Wang, X.-Y.; Zhang, L.-N.; Shi, F.-N.; Zhang, Y.; Li, S.-X. Preparation of PVDF anionic exchange membrane by chemical grafting of GMA onto PVDF macromolecule. Solid State Ion. 2016, 293, 56–63. [Google Scholar] [CrossRef]
- Li, W.; Li, H.; Zhang, Y.-M. Preparation and investigation of PVDF/PMMA/TiO2 composite film. J. Mater. Sci. 2009, 44, 2977–2984. [Google Scholar] [CrossRef]
- Kumar, C.; Viswanath, P. Structure, morphology and wettability studies on Langmuir-Schaefer multilayer of poly(vinylidene fluoride)/poly(methyl methacrylate) blends. Eur. Polym. J. 2017, 96, 97–110. [Google Scholar] [CrossRef]
- Liu, F.; Hashim, N.A.; Liu, Y.; Abed, M.R.M.; Li, K. Progress in the production and modification of PVDF membranes. J. Membr. Sci. 2011, 375, 1–27. [Google Scholar] [CrossRef]
- Martins, P.; Lopes, A.C.; Lanceros-Mendez, S. Electroactive phases of poly(vinylidene fluoride): Determination, processing and applications. Prog. Polym. Sci. 2014, 39, 683–706. [Google Scholar] [CrossRef]
- Chen, Z.; Pei, J.; Li, R. Study of the Preparation and Dielectric Property of PP/SMA/PVDF Blend Material. Appl. Sci. 2017, 7, 389. [Google Scholar] [CrossRef]
- Ye, C.; Yu, Q.; He, T.; Shen, J.; Li, Y.; Li, J. Physical and Rheological Properties of Maleic Anhydride-Incorporated PVDF: Does MAH Act as a Physical Crosslinking Point for PVDF Molecular Chains? ACS Omega 2019, 4, 21540–21547. [Google Scholar] [CrossRef]
- Naruke, A.; Liang, X.; Nakajima, K.; Nishi, T. Morphological characterization of the novel fine structure of the PMMA/PVDF blend. Polym. J. 2022, 54, 783–792. [Google Scholar] [CrossRef]
- Tang, Y.P.; Cai, T.; Loh, D.; O’Brien, G.S.; Chung, T.S. Construction of antifouling lumen surface on a poly(vinylidene fluoride) hollow fiber membrane via a zwitterionic graft copolymerization strategy. Sep. Purif. Technol. 2017, 176, 294–305. [Google Scholar] [CrossRef]
- Ameduri, B. Copolymers of vinylidene fluoride with functional comonomers and applications therefrom: Recent developments, challenges and future trends. Prog. Polym. Sci. 2022, 133, 101591. [Google Scholar] [CrossRef]
- Dang, Z.-M.; Yan, W.-T.; Xu, H.-P. Novel high-dielectric-permittivity poly(vinylidene fluoride)/polypropylene blend composites: The influence of the poly(vinylidene fluoride) concentration and compatibilizer. J. Appl. Polym. Sci. 2007, 105, 3649–3655. [Google Scholar] [CrossRef]
- Govinna, N.; Sadeghi, I.; Asatekin, A.; Cebe, P. Thermal properties and structure of electrospun blends of PVDF with a fluorinated copolymer. J. Polym. Sci. Part B Polym. Phys. 2019, 57, 312–322. [Google Scholar] [CrossRef]
- Behera, K.; Chen, J.-F.; Yang, J.-M.; Chang, Y.-H.; Chiu, F.-C. Evident improvement in burning anti-dripping performance, ductility and electrical conductivity of PLA/PVDF/PMMA ternary blend-based nanocomposites with additions of carbon nanotubes and organoclay. Compos. Part B 2023, 248, 110371. [Google Scholar] [CrossRef]
- Shi, Z.; Zhao, G.; Zhang, L.; Wang, G. Lightweight, strong, flame-retardant PVDF/PMMA microcellular foams for thermal insulation fabricated by supercritical CO2 foaming. Compos. Part B 2022, 230, 109554. [Google Scholar] [CrossRef]
- Ma, L.; Liu, C.; Dou, R.; Yin, B. Significantly improved high dielectric MWCNTs filled PVDF/PS/HDPE composites via constructing double bi-continuous structure. Compos. Part B 2021, 224, 109158. [Google Scholar] [CrossRef]
- Ameduri, B. From vinylidene fluoride (VDF) to the applications of VDF-containing polymers and copolymers: Recent developments and future trends. Chem. Rev. 2009, 109, 6632–6686. [Google Scholar] [CrossRef]
- Qiu, G.M.; Zhu, L.P.; Zhu, B.K.; Xu, Y.Y.; Qiu, G.L. Grafting of styrene/maleic anhydride copolymer onto PVDF membrane by supercritical carbon dioxide: Preparation, characterization and biocompatibility. J. Supercrit. Fluids 2008, 45, 374–383. [Google Scholar] [CrossRef]
- Qiu, J.; Zhao, L.; Zhai, M.; Ni, J.; Zhou, H.; Peng, J.; Wei, G. Pre-irradiation grafting of styrene and maleic anhydride onto PVDF membrane and subsequent sulfonation for application in vanadium redox batteries. J. Power Sources 2008, 177, 617–623. [Google Scholar] [CrossRef]
- Iqbal, M.; Chuai, C.; Huang, Y.; Che, C. Modification of low-density polyethylene by graft copolymerization with maleic anhydride and blends with polyamide 6. J. Appl. Polym. Sci. 2010, 116, 1558–1565. [Google Scholar] [CrossRef]
- Ismail, H.; Mathialagan, M. Compatibilization of bentonite filled ethylene-propylene-diene monomer composites: Effect of maleic anhydride grafted EPDM. J. Appl. Polym. Sci. 2013, 127, 1164–1171. [Google Scholar] [CrossRef]
- Choi, E.Y.; Kim, C.K.; Park, C.B. Fabrication of MA-EPDM grafted MWCNTs by reactive extrusion for enhanced interfacial adhesion and mechanical properties of PP/MA-EPDM composite. Compos. Part B 2022, 242, 110043. [Google Scholar] [CrossRef]
- Simonetti, P.; Nazir, R.; Gooneie, A.; Lehner, S.; Jovic, M.; Salmeia, K.A.; Gaan, S. Michael addition in reactive extrusion: A facile sustainable route to developing phosphorus based flame retardant materials. Compos. Part B 2019, 178, 107470. [Google Scholar] [CrossRef]
- Liu, Y.; Liu, S.; Liu, Z.; Lei, Y.; Jiang, S.; Zhang, K.; Yu, J. Enhanced mechanical and biodegradable properties of PBAT/lignin composites via silane grafting and reactive extrusion. Compos. Part B 2021, 220, 108980. [Google Scholar] [CrossRef]
- Bonnet, A.; Ramfel, B.; Chopinez, F.; Triballier, K.; Werth, M.; Pascal, T. Process for Grafting Fluoropolymer and Multilayered Structure Containing Obtained Graft Polymer. FR. CN1572822. 2 February 2005. Available online: https://kns.cnki.net/kns8/defaultresult/index (accessed on 24 April 2022).
- Gregorio, R., Jr.; de Souza Nociti, N.C.P. Effect of PMMA addition on the solution crystallization of the alpha and beta phases of poly(vinylidene fluoride) (PVDF). J. Phys. D Appl. Phys. 1995, 28, 432. [Google Scholar] [CrossRef]
- Mohamadi, M. Interpretation of thermal transitions and phase transformations in semi-crystalline PVDF/PEO/graphene nanocomposites characterized by modulated-temperature DSC. J. Therm. Anal. Calorim. 2022, 147, 6701–6712. [Google Scholar] [CrossRef]
- Xiao, X.-X.; Zhang, X.-H. The grafting rate of PP-g-MAH was determined by the back-titration method. Friends Chem. Ind. 2007, 9, 44–45. [Google Scholar] [CrossRef]










| Sample | Tm (°C) | Tc (°C) | ∆Hm (J·g−1) | Χc (%) |
|---|---|---|---|---|
| PVDF | 170.145 | 137.718 | 53.43 | 51.03 |
| PVDF/MAH | 170.581 | 136.463 | 51.41 | 49.1 |
| PVDF-g-MAH | 169.552 | 136.526 | 49.16 | 46.9 |
| Sample | T0 (°C) | T10wt% (°C) | T50wt% (°C) | Tmax (°C) |
|---|---|---|---|---|
| PVDF | 406.4 | 444.7 | 473.7 | 467.6 |
| PVDF/MAH | 133.8 | 436.7 | 469.8 | 462.2 |
| PVDF-g-MAH | 132.9 | 440.5 | 470.1 | 465.2 |
| MAH | 130.7 | 173.5 | 212.9 | 202.3 |
| Name | Dose 1 | Dose 2 | Dose 3 | Dose 4 | Dose 5 |
|---|---|---|---|---|---|
| PVDF | 97% | 95% | 92% | 90% | 88% |
| MAH | 3% | 5% | 8% | 10% | 12% |
| DCP | 0.1% | 0.1% | 0.1% | 0.1% | 0.1% |
| VAN | 0.05% | 0.05% | 0.05% | 0.05% | 0.05% |
| G | 0.32% | 0.45% | 0.53% | 0.62% | 0.74% |
| Name | Dose 1 | Dose 2 | Dose 3 | Dose 4 | Dose 5 |
|---|---|---|---|---|---|
| PVDF | 95% | 95% | 95% | 95% | 95% |
| MAH | 5% | 5% | 5% | 5% | 5% |
| DCP | 0.025% | 0.05% | 0.1% | 0.125% | 0.15% |
| VAN | 0.05% | 0.05% | 0.05% | 0.05% | 0.05% |
| G | 0.16% | 0.28% | 0.47% | 0.49% | 0.43% |
| Name | Dose 1 | Dose 2 | Dose 3 | Dose 4 | Dose 5 |
|---|---|---|---|---|---|
| PVDF | 95% | 95% | 95% | 95% | 95% |
| MAH | 5% | 5% | 5% | 5% | 5% |
| DCP | 0.1% | 0.1% | 0.1% | 0.1% | 0.1% |
| VAN | 0.025% | 0.05% | 0.1% | 0.125% | 0.15% |
| G | 0.37% | 0.45% | 0.63% | 0.58% | 0.52% |
Disclaimer/Publisher’s Note: The statements, opinions and data contained in all publications are solely those of the individual author(s) and contributor(s) and not of MDPI and/or the editor(s). MDPI and/or the editor(s) disclaim responsibility for any injury to people or property resulting from any ideas, methods, instructions or products referred to in the content. |
© 2023 by the authors. Licensee MDPI, Basel, Switzerland. This article is an open access article distributed under the terms and conditions of the Creative Commons Attribution (CC BY) license (https://creativecommons.org/licenses/by/4.0/).
Share and Cite
Zhang, C.; Lu, Z.; Wu, B.; Jiang, S.-D.; Qian, J. Grafting of Maleic Anhydride onto Poly(vinylidene fluoride) Using Reactive Extrusion. Molecules 2023, 28, 2246. https://doi.org/10.3390/molecules28052246
Zhang C, Lu Z, Wu B, Jiang S-D, Qian J. Grafting of Maleic Anhydride onto Poly(vinylidene fluoride) Using Reactive Extrusion. Molecules. 2023; 28(5):2246. https://doi.org/10.3390/molecules28052246
Chicago/Turabian StyleZhang, Cuichuan, Zhiqiang Lu, Bin Wu, Shu-Dong Jiang, and Jiasheng Qian. 2023. "Grafting of Maleic Anhydride onto Poly(vinylidene fluoride) Using Reactive Extrusion" Molecules 28, no. 5: 2246. https://doi.org/10.3390/molecules28052246
APA StyleZhang, C., Lu, Z., Wu, B., Jiang, S.-D., & Qian, J. (2023). Grafting of Maleic Anhydride onto Poly(vinylidene fluoride) Using Reactive Extrusion. Molecules, 28(5), 2246. https://doi.org/10.3390/molecules28052246

