Pyrolysis Atmospheres and Temperatures Co-Mediated Spectral Variations of Biochar-Derived Dissolved Organic Carbon: Quantitative Prediction and Self-Organizing Maps Analysis
Abstract
1. Introduction
2. Materials and Methods
2.1. Biochar Preparation and BDOC Extraction
2.2. UV-vis Analysis
2.3. Fluorescence Spectrum and EEM-PARAFAC Analysis
2.4. EEM-SOM and PARAFAC-SOM Analysis
2.5. Statistical Analysis
3. Results and Discussion
3.1. Elemental Compositions and Properties of Biochar
3.2. BDOC Content of Biochar
3.3. Spectral Characteristics of BDOC
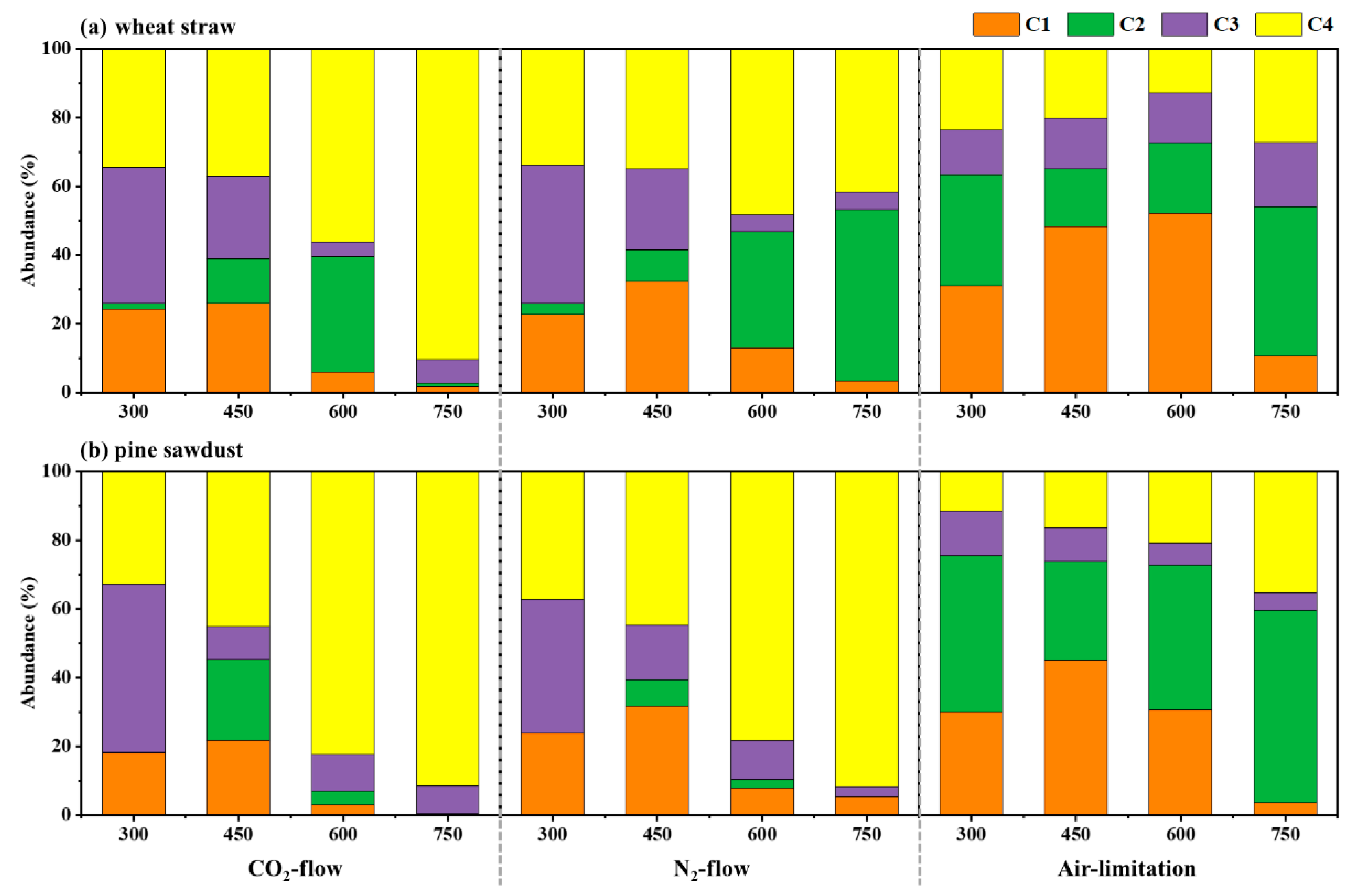
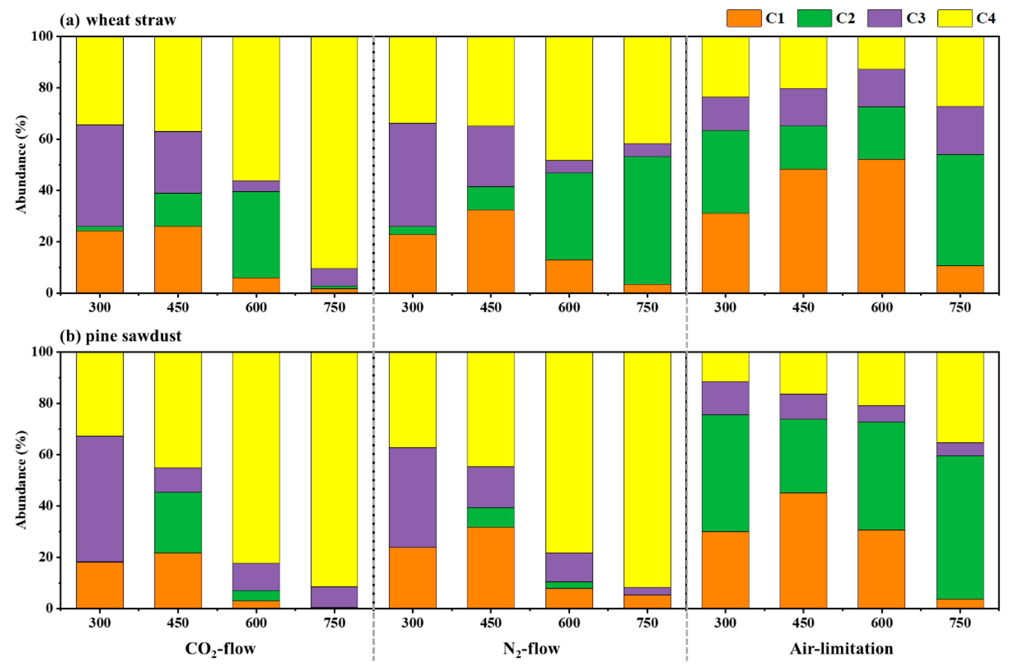
3.4. Organic Components Analysis of BDOC Using EEM-PARAFAC Modeling
3.5. Quantitative Relationships between Characteristics of BDOC and Properties of Biochar
3.6. The Classification of BDOC Using EEM-SOM and PARAFAC-SOM Analysis
4. Conclusions
Supplementary Materials
Author Contributions
Funding
Institutional Review Board Statement
Informed Consent Statement
Data Availability Statement
Conflicts of Interest
References
- Lian, F.; Xing, B. Black Carbon (Biochar) In Water/Soil Environments: Molecular Structure, Sorption, Stability, and Potential Risk. Environ. Sci. Technol. 2017, 51, 13517–13532. [Google Scholar] [CrossRef] [PubMed]
- El-Naggar, A.; Lee, S.S.; Awad, Y.M.; Yang, X.; Ryu, C.; Rizwan, M.; Rinklebe, J.; Tsang, D.C.W.; Ok, Y.S. Influence of soil properties and feedstocks on biochar potential for carbon mineralization and improvement of infertile soils. Geoderma 2018, 332, 100–108. [Google Scholar] [CrossRef]
- Huang, M.; Liao, Z.; Li, Z.; Wen, J.; Zhao, L.; Jin, C.; Tian, D.; Shen, F. Effects of pyrolysis temperature on proton and cadmium binding properties onto biochar-derived dissolved organic matter: Roles of fluorophore and chromophore. Chemosphere 2022, 299, 134313. [Google Scholar] [CrossRef] [PubMed]
- Yang, F.; Wang, C.; Sun, H. A comprehensive review of biochar-derived dissolved matters in biochar application: Production, characteristics, and potential environmental effects and mechanisms. J. Environ. Chem. Eng. 2021, 9, 105258. [Google Scholar] [CrossRef]
- Jia, M.; Wang, F.; Bian, Y.; Stedtfeld, R.D.; Liu, G.; Yu, J.; Jiang, X. Sorption of sulfamethazine to biochars as affected by dissolved organic matters of different origin. Bioresour. Technol. 2018, 248, 36–43. [Google Scholar] [CrossRef]
- Bian, R.; Joseph, S.; Shi, W.; Li, L.; Taherymoosavi, S.; Pan, G. Biochar DOM for plant promotion but not residual biochar for metal immobilization depended on pyrolysis temperature. Sci. Total Environ. 2019, 662, 571–580. [Google Scholar] [CrossRef]
- Huang, M.; Li, Z.; Huang, B.; Luo, N.; Zhang, Q.; Zhai, X.; Zeng, G. Investigating binding characteristics of cadmium and copper to DOM derived from compost and rice straw using EEM-PARAFAC combined with two-dimensional FTIR correlation analyses. J. Hazard. Mater. 2018, 344, 539–548. [Google Scholar] [CrossRef] [PubMed]
- Fang, G.; Zhu, C.; Dionysiou, D.D.; Gao, J.; Zhou, D. Mechanism of hydroxyl radical generation from biochar suspensions: Implications to diethyl phthalate degradation. Bioresour. Technol. 2015, 176, 210–217. [Google Scholar] [CrossRef] [PubMed]
- Guo, Y.; Guo, Y.; Hua, S.; Xu, G.; Xu, Z.; Yan, C. Coupling band structure and oxidation-reduction potential to expound photodegradation performance difference of biochar-derived dissolved black carbon for organic pollutants under light irradiation. Sci. Total Environ. 2022, 820, 153300. [Google Scholar] [CrossRef]
- Du, Z.; Hu, A.; Wang, Q.; Ai, J.; Zhang, W.; Liang, Y.; Cao, M.; Wu, H.; Wang, D. Molecular composition and biotoxicity effects of dissolved organic matters in sludge-based carbon: Effects of pyrolysis temperature. J. Hazard. Mater. 2022, 424, 127346. [Google Scholar] [CrossRef]
- Gui, X.; Liu, C.; Li, F.; Wang, J. Effect of pyrolysis temperature on the composition of DOM in manure-derived biochar. Ecotoxicol. Environ. Saf. 2020, 197, 110597. [Google Scholar] [CrossRef]
- Huang, M.; Li, Z.; Chen, M.; Wen, J.; Luo, N.; Xu, W.; Ding, X.; Xing, W. Dissolved organic matter released from rice straw and straw biochar: Contrasting molecular composition and lead binding behaviors. Sci. Total Environ. 2020, 739, 140378. [Google Scholar] [CrossRef]
- Wei, S.; Zhu, M.; Fan, X.; Song, J.; Peng, P.; Li, K.; Jia, W.; Song, H. Influence of pyrolysis temperature and feedstock on carbon fractions of biochar produced from pyrolysis of rice straw, pine wood, pig manure and sewage sludge. Chemosphere 2019, 218, 624–631. [Google Scholar] [CrossRef] [PubMed]
- Han, L.; Nie, X.; Wei, J.; Gu, M.; Wu, W.; Chen, M. Effects of feedstock biopolymer compositions on the physiochemical characteristics of dissolved black carbon from lignocellulose-based biochar. Sci. Total. Environ. 2022, 751, 141491. [Google Scholar] [CrossRef]
- Peng, N.; Wang, K.; Tu, N.; Liu, Y.; Li, Z. Fluorescence regional integration combined with parallel factor analysis to quantify fluorescencent spectra for dissolved organic matter released from manure biochars. RSC Adv. 2020, 10, 31502–31510. [Google Scholar] [CrossRef]
- Wu, H.; Qi, Y.; Dong, L.; Zhao, X.; Liu, H. Revealing the impact of pyrolysis temperature on dissolved organic matter released from the biochar prepared from Typha orientalis. Chemosphere 2019, 228, 264–270. [Google Scholar] [CrossRef] [PubMed]
- Zhang, P.; Huang, P.; Xu, X.; Sun, H.; Jiang, B.; Liao, Y. Spectroscopic and molecular characterization of biochar-derived dissolved organic matter and the associations with soil microbial responses. Sci. Total Environ. 2020, 708, 134619. [Google Scholar] [CrossRef]
- Wu, L.; Ni, J.; Zhang, H.; Yu, S.; Wei, R.; Qian, W.; Chen, W.; Qi, Z. The composition, energy, and carbon stability characteristics of biochars derived from thermo-conversion of biomass in air-limitation, CO2, and N2 at different temperatures. Waste Manag. 2022, 141, 136–146. [Google Scholar] [CrossRef]
- Cao, Q.; An, T.; Xie, J.; Liu, Y.; Xing, L.; Ling, X.; Chen, C. Insight to the physiochemical properties and DOM of biochar under different pyrolysis temperature and modification conditions. J. Anal. Appl. Pyrol. 2022, 166, 105590. [Google Scholar] [CrossRef]
- Yang, C.; Liu, Y.; Sun, X.; Miao, S.; Guo, Y.; Li, T. Characterization of fluorescent dissolved organic matter from green macroalgae (Ulva prolifera)-derived biochar by excitation-emission matrix combined with parallel factor and self-organizing maps analyses. Bioresour. Technol. 2019, 287, 121471. [Google Scholar] [CrossRef]
- Liu, C.; Chu, W.; Li, H.; Boyd, S.; Teppen, B.J.; Mao, J.; Lehmann, J.; Zhang, W. Quantification and characterization of dissolved organic carbon from biochars. Geoderma 2019, 335, 161–169. [Google Scholar] [CrossRef]
- Li, M.; Zhang, A.; Wu, H.; Liu, H.; Lv, J. Predicting potential release of dissolved organic matter from biochars derived from agricultural residues using fluorescence and ultraviolet absorbance. J. Hazard. Mater. 2017, 334, 86–92. [Google Scholar] [CrossRef] [PubMed]
- Cuss, C.W.; Guéguen, C. Analysis of dissolved organic matter fluorescence using self-organizing maps: Mini-review and tutorial. Anal. Methods. 2016, 8, 716–725. [Google Scholar] [CrossRef]
- Erlandsson, M.; Futter, M.N.; Kothawala, D.N.; Kohler, S.J. Variability in spectral absorbance metrics across boreal lake waters. J. Environ. Monit. 2012, 14, 2643–2652. [Google Scholar] [CrossRef] [PubMed]
- Quan, G.; Fan, Q.; Zimmerman, A.R.; Sun, J.; Cui, L.; Wang, H.; Gao, B.; Yan, J. Effects of laboratory biotic aging on the characteristics of biochar and its water-soluble organic products. J. Hazard. Mater. 2020, 382, 121071. [Google Scholar] [CrossRef] [PubMed]
- Helms, J.R.; Stubbins, A.; Ritchie, J.D.; Minor, E.C.; Kieber, D.J.; Mopper, K. Absorption spectral slopes and slope ratios as indicators of molecular weight, source, and photobleaching of chromophoric dissolved organic matter. Limnol. Oceanogr. 2008, 53, 955–969. [Google Scholar] [CrossRef]
- Stedmon, C.A.; Bro, R. Characterizing dissolved organic matter fluorescence with parallel factor analysis: A tutorial. Limnol. Oceanogr. Meth. 2008, 6, 572–579. [Google Scholar] [CrossRef]
- Zhang, H.; Wu, L.; Qian, W.; Ni, J.; Wei, R.; Qi, Z.; Chen, W. Spectral characteristics of dissolved organic carbon derived from biomass-pyrogenic smoke (SDOC) in the aqueous environment and its solubilization effect on hydrophobic organic pollutants. Water Res. 2021, 203, 117515. [Google Scholar] [CrossRef]
- Li, L.; Liu, Y.; Ren, D.; Wang, J. Characteristics and chlorine reactivity of biochar-derived dissolved organic matter: Effects of feedstock type and pyrolysis temperature. Water Res. 2022, 211, 118044. [Google Scholar] [CrossRef]
- Kohonen, T. Self-Organization and Associative Memory; Springer Science & Business Media: Heidelberg, Germany, 2012. [Google Scholar]
- Bieroza, M.; Baker, A.; Bridgeman, J. Exploratory analysis of excitation-emission matrix fluorescence spectra with self-organizing maps-A tutorial. Educ. Chem. Eng. 2012, 7, e22–e31. [Google Scholar] [CrossRef]
- Niu, S.; Zhou, Y.; Zhu, S.; Ren, L.; Yan, L.; Li, F.; Bai, Y. Investigation into the yields and characteristics of products from lignite low-temperature pyrolysis under CO2 and N2 atmospheres. J. Anal. Appl. Pyrolysis 2019, 138, 161–169. [Google Scholar] [CrossRef]
- Cerciello, F.; Senneca, O.; Russo, C.; Apicella, B. Comparison of Primary Volatiles from Coal and Biomass Pyrolysis in N2 and CO2. Energy Fuel 2019, 33, 12822–12829. [Google Scholar] [CrossRef]
- Wang, D.; Li, B.; Yang, H.; Zhao, C.; Yao, D.; Chen, H. Influence of biochar on the steam reforming of biomass volatiles: Effects of activation temperature and atmosphere. Energy Fuel 2019, 33, 2328–2334. [Google Scholar] [CrossRef]
- Wang, Z.; Ma, X.; Yao, Z.; Yu, Q.; Wang, Z.; Lin, Y. Study of the pyrolysis of municipal sludge in N2/CO2 atmosphere. Appl. Therm. Eng. 2018, 128, 662–671. [Google Scholar] [CrossRef]
- Xiang, Y.; Zhang, H.; Yu, S.; Ni, J.; Wei, R.; Chen, W. Influence of pyrolysis atmosphere and temperature co-regulation on the sorption of tetracycline onto biochar: Structure-performance relationship variation. Bioresour. Technol. 2022, 360, 127647. [Google Scholar] [CrossRef] [PubMed]
- Yu, S.; Wu, L.; Ni, J.; Zhang, H.; Wei, R.; Chen, W. The chemical compositions and carbon structures of pine sawdust- and wheat straw-derived biochars produced in air-limitation, carbon dioxide, and nitrogen atmospheres, and their variation with charring temperature. Fuel 2022, 315, 122852. [Google Scholar] [CrossRef]
- Chen, W.; Wei, R.; Yang, L.; Yang, Y.; Li, G.; Ni, J. Characteristics of wood-derived biochars produced at different temperatures before and after deashing: Their different potential advantages in environmental applications. Sci. Total Environ. 2019, 651, 2762–2771. [Google Scholar] [CrossRef]
- Hassan, M.; Liu, Y.; Naidu, R.; Parikh, S.J.; Willett, I.R. Influences of feedstock sources and pyrolysis temperature on the properties of biochar and functionality as adsorbents: A meta-analysis. Sci. Total Environ. 2020, 744, 140714. [Google Scholar] [CrossRef]
- Giudicianni, P.; Cardone, G.; Ragucci, R. Cellulose, hemicellulose and lignin slow steam pyrolysis: Thermal decomposition of biomass components mixtures. J. Anal. Appl. Pyrol. 2013, 100, 213–222. [Google Scholar] [CrossRef]
- He, C.; He, X.; Li, J.; Luo, Y.; Li, J.; Pei, Y.; Jiang, J. The spectral characteristics of biochar-derived dissolved organic matter at different pyrolysis temperatures. J. Environ. Chem. Engin. 2021, 9, 106075. [Google Scholar] [CrossRef]
- Liu, G.; Zheng, H.; Jiang, Z.; Zhao, J.; Wang, Z.; Pan, B.; Xing, B. Formation and physicochemical characteristics of nano biochar: Insight into chemical and colloidal stability. Environ. Sci. Technol. 2018, 52, 10369–10379. [Google Scholar] [CrossRef] [PubMed]
- Chun, Y.; Sheng, G.; Chiou, C.T.; Xing, B. Compositions and sorptive properties of crop residue-derived chars. Environ. Sci. Technol. 2004, 38, 4649–4655. [Google Scholar] [CrossRef] [PubMed]
- Xu, W.; Walpen, N.; Keiluweit, M.; Kleber, M.; Sander, M. Redox properties of pyrogenic dissolved organic matter (pyDOM) from biomass-derived chars. Environ. Sci. Technol. 2021, 55, 11434–11444. [Google Scholar] [CrossRef]
- Kim, H.; Kim, J.; Kim, T.; Alessi, D.S.; Baek, K. Mobility of arsenic in soil amended with biochar derived from biomass with different lignin contents: Relationships between lignin content and dissolved organic matter leaching. Chem. Eng. J. 2020, 393, 124687. [Google Scholar] [CrossRef]
- Shang, H.; Fu, Q.; Zhang, S.; Zhu, X. Heating temperature dependence of molecular characteristics and biological response for biomass pyrolysis volatile-derived water-dissolved organic matter. Sci. Total Environ. 2021, 757, 143749. [Google Scholar] [CrossRef]
- Abbas, Q.; Liu, G.; Yousaf, B.; Ali, M.U.; Ullah, H.; Munir, M.; Liu, R. Contrasting effects of operating conditions and biomass particle size on bulk characteristics and surface chemistry of rice husk derived-biochars. J. Anal. Appl. Pyrol. 2018, 134, 281–292. [Google Scholar] [CrossRef]
- Pilon, G.; Lavoie, J.M. Pyrolysis of switchgrass (Panicum virgatum L.) at low temperatures in N2 and CO2 environments; a study on chemical composition of chars extracts and bio-oils. J. Anal. Appl. Pyrol. 2013, 101, 122–131. [Google Scholar] [CrossRef]
- Wen, S.; Yan, Y.; Liu, J.; Buyukada, M.; Evrendilek, F. Pyrolysis performance, kinetic, thermodynamic, product and joint optimization analyses of incense sticks in N2 and CO2 atmospheres. Renew. Energy 2019, 141, 814–827. [Google Scholar] [CrossRef]
- Yang, L.; Han, D.; Lee, B.M.; Hur, J. Characterizing treated wastewaters of different industries using clustered fluorescence EEM-PARAFAC and FT-IR spectroscopy: Implications for downstream impact and source identification. Chemosphere 2015, 127, 222–228. [Google Scholar] [CrossRef]
- He, M.; Xu, Z.; Sun, Y.; Chan, P.; Lui, I.; Tsang, D.C.W. Critical impacts of pyrolysis conditions and activation methods on application-oriented production of wood waste-derived biochar. Bioresour. Technol. 2021, 341, 125811. [Google Scholar] [CrossRef]
- Ishii, S.K.; Boyer, T.H. Behavior of reoccurring PARAFAC components in fluorescent dissolved organic matter in natural and engineered systems: A critical review. Environ. Sci. Technol. 2012, 46, 2006–2017. [Google Scholar] [CrossRef]
- Huang, M.; Li, Z.; Luo, N.; Yang, R.; Wen, J.; Huang, B.; Zeng, G. Application potential of biochar in environment: Insight from degradation of biochar-derived DOM and complexation of DOM with heavy metals. Sci. Total Environ. 2019, 646, 220–228. [Google Scholar] [CrossRef] [PubMed]
- Yuan, D.; Guo, X.; Wen, L.; He, L.; Wang, J.; Li, J. Detection of Copper (II) and Cadmium (II) binding to dissolved organic matter from macrophyte decomposition by fluorescence excitation-emission matrix spectra combined with parallel factor analysis. Environ. Pollut. 2015, 204, 152–160. [Google Scholar] [CrossRef] [PubMed]
- Mahamuni, G.; Rutherford, J.; Davis, J.; Molnar, E.; Posner, J.D.; Seto, E.; Korshin, G.; Novosselov, I. Excitation-emission matrix spectroscopy for analysis of chemical composition of combustion generated particulate matter. Environ. Sci. Technol. 2020, 54, 8198–8209. [Google Scholar] [CrossRef]
- Murphy, K.R.; Stedmon, C.A.; Graeber, D.; Bro, R. Fluorescence spectroscopy and multi-way techniques. PARAFAC. Anal. Methods 2013, 5, 6557. [Google Scholar] [CrossRef]
- He, Q.; Ding, L.; Gong, Y.; Li, W.; Wei, J.; Yu, G. Effect of torrefaction on pinewood pyrolysis kinetics and thermal behavior using thermogravimetric analysis. Bioresour. Technol. 2019, 280, 104–111. [Google Scholar] [CrossRef] [PubMed]
- Zhong, W.; Zhang, Z.; Luo, Y.; Sun, S.; Qiao, W.; Xiao, M. Effect of biological pretreatments in enhancing corn straw biogas production. Bioresour. Technol. 2011, 102, 11177–11182. [Google Scholar] [CrossRef]





| Atmosphere | Temperature (℃) | C (wt.%) | N (wt.%) | H (wt.%) | O (wt.%) | H/C | (O+N)/C | Volatile Matter (wt.%) | Fixed C (wt.%) | Ash (wt.%) | |
|---|---|---|---|---|---|---|---|---|---|---|---|
| Wheat straw biochars | CO2 flow | 300 | 43.31 ± 0.23 | 1.23 ± 0.03 | 3.40 ± 0.02 | 32.45 ± 0.32 | 0.94 ± 0.00 | 0.59 ± 0.01 | 67.69 ± 3.28 | 12.70 ± 3.33 | 19.61 ± 0.08 |
| CO2 flow | 450 | 47.26 ± 0.96 | 1.06 ± 0.02 | 2.60 ± 0.25 | 27.00 ± 0.73 | 0.62 ± 0.00 | 0.38 ± 0.11 | 55.56 ± 3.51 | 22.37 ± 3.53 | 22.08 ± 0.25 | |
| CO2 flow | 600 | 58.78 ± 0.42 | 0.90 ± 0.02 | 1.73 ± 0.01 | 14.44 ± 0.59 | 0.35 ± 0.00 | 0.20 ± 0.01 | 55.99 ± 2.23 | 19.87 ± 2.01 | 24.14 ± 0.22 | |
| CO2 flow | 750 | 44.36 ± 0.18 | 0.91 ± 0.03 | 1.33 ± 0.01 | 15.41 ± 0.04 | 0.36 ± 0.00 | 0.28 ± 0.00 | 47.04 ± 4.24 | 14.96 ± 4.21 | 37.99 ± 0.21 | |
| N2 flow | 300 | 52.03 ± 0.26 | 1.12 ± 0.03 | 4.43 ± 0.02 | 27.27 ± 0.15 | 1.02 ± 0.00 | 0.41 ± 0.00 | 55.56 ± 3.22 | 29.30 ± 3.22 | 15.14 ± 0.14 | |
| N2 flow | 450 | 55.97 ± 0.11 | 0.97 ± 0.04 | 3.21 ± 0.01 | 19.17 ± 0.12 | 0.69 ± 0.00 | 0.27 ± 0.00 | 47.71 ± 5.00 | 31.61 ± 5.01 | 20.68 ± 0.05 | |
| N2 flow | 600 | 57.10 ± 0.41 | 0.84 ± 0.03 | 2.18 ± 0.02 | 16.60 ± 0.51 | 0.46 ± 0.00 | 0.23 ± 0.01 | 35.08 ± 7.45 | 41.64 ± 7.52 | 23.28 ± 0.16 | |
| N2 flow | 750 | 55.73 ± 0.38 | 0.65 ± 0.18 | 1.55 ± 0.18 | 17.75 ± 0.71 | 0.35 ± 0.00 | 0.32 ± 0.14 | 28.49 ± 5.15 | 47.19 ± 5.16 | 24.32 ± 0.21 | |
| Air limitation | 300 | 49.16 ± 0.09 | 1.18 ± 0.01 | 3.72 ± 0.40 | 28.12 ± 0.71 | 0.85 ± 0.00 | 0.38 ± 0.13 | 59.68 ± 5.11 | 22.47 ± 4.55 | 17.85 ± 0.55 | |
| Air limitation | 450 | 46.30 ± 0.26 | 1.07 ± 0.02 | 2.61 ± 0.01 | 22.41 ± 0.58 | 0.68 ± 0.00 | 0.38 ± 0.01 | 51.93 ± 3.91 | 20.46 ± 3.87 | 27.61 ± 0.29 | |
| Air limitation | 600 | 37.21 ± 0.04 | 0.78 ± 0.04 | 1.86 ± 0.00 | 16.60 ± 0.47 | 0.60 ± 0.00 | 0.35 ± 0.01 | 42.22 ± 3.71 | 14.23 ± 3.42 | 43.56 ± 0.46 | |
| Air limitation | 750 | 7.39 ± 0.02 | 0.27 ± 0.02 | 0.84 ± 0.00 | 8.22 ± 0.29 | 1.36 ± 0.00 | 0.87 ± 0.03 | 11.79 ± 0.05 | 4.94 ± 0.30 | 83.27 ± 0.25 | |
| Pine sawdust biochars | CO2 flow | 300 | 61.90 ± 0.29 | 0.18 ± 0.03 | 4.75 ± 0.02 | 26.36 ± 0.32 | 0.92 ± 0.00 | 0.32 ± 0.01 | 61.03 ± 4.27 | 32.17 ± 4.29 | 6.81 ± 0.04 |
| CO2 flow | 450 | 72.56 ± 0.39 | 0.23 ± 0.03 | 3.18 ± 0.02 | 14.00 ± 0.46 | 0.53 ± 0.00 | 0.15 ± 0.01 | 33.02 ± 0.96 | 56.96 ± 0.88 | 10.03 ± 0.06 | |
| CO2 flow | 600 | 76.31 ± 0.02 | 0.23 ± 0.03 | 1.97 ± 0.00 | 9.98 ± 0.11 | 0.31 ± 0.00 | 0.10 ± 0.00 | 26.60 ± 3.49 | 61.92 ± 3.61 | 11.50 ± 0.09 | |
| CO2 flow | 750 | 68.20 ± 0.07 | 0.26 ± 0.02 | 1.40 ± 0.00 | 10.60 ± 0.16 | 0.25 ± 0.00 | 0.15 ± 0.00 | 23.28 ± 2.14 | 60.18 ± 2.26 | 16.53 ± 0.12 | |
| N2 flow | 300 | 62.01 ± 0.18 | 0.19 ± 0.04 | 4.36 ± 0.01 | 26.95 ± 0.19 | 0.84 ± 0.00 | 0.33 ± 0.00 | 60.57 ± 2.48 | 32.94 ± 2.46 | 6.49 ± 0.05 | |
| N2 flow | 450 | 71.34 ± 0.24 | 0.21 ± 0.02 | 3.28 ± 0.01 | 15.51 ± 0.25 | 0.55 ± 0.00 | 0.17 ± 0.00 | 37.86 ± 1.09 | 52.49 ± 1.06 | 9.66 ± 0.05 | |
| N2 flow | 600 | 75.79 ± 0.04 | 0.19 ± 0.01 | 2.17 ± 0.00 | 10.42 ± 0.07 | 0.34 ± 0.00 | 0.11 ± 0.00 | 27.25 ± 1.16 | 61.32 ± 1.12 | 11.44 ± 0.04 | |
| N2 flow | 750 | 75.67 ± 0.08 | 0.22 ± 0.03 | 1.43 ± 0.00 | 10.63 ± 0.10 | 0.23 ± 0.00 | 0.11 ± 0.00 | 22.96 ± 1.17 | 64.98 ± 1.22 | 12.06 ± 0.14 | |
| Air limitation | 300 | 59.31 ± 0.19 | 0.30 ± 0.01 | 2.72 ± 0.01 | 28.15 ± 0.21 | 0.55 ± 0.00 | 0.36 ± 0.00 | 53.60 ± 3.35 | 36.89 ± 3.37 | 9.51 ± 0.02 | |
| Air limitation | 450 | 58.37 ± 0.16 | 0.37 ± 0.02 | 2.34 ± 0.01 | 20.39 ± 0.21 | 0.48 ± 0.00 | 0.27 ± 0.00 | 43.42 ± 4.08 | 38.05 ± 4.04 | 18.53 ± 0.04 | |
| Air limitation | 600 | 58.40 ± 0.35 | 0.23 ± 0.02 | 1.63 ± 0.01 | 13.53 ± 0.48 | 0.34 ± 0.00 | 0.18 ± 0.01 | 28.82 ± 2.57 | 44.97 ± 2.31 | 26.21 ± 0.27 | |
| Air limitation | 750 | 34.27 ± 0.16 | 0.14 ± 0.01 | 0.70 ± 0.00 | 11.71 ± 0.48 | 0.24 ± 0.00 | 0.26 ± 0.01 | 22.38 ± 0.31 | 24.43 ± 0.43 | 53.19 ± 0.37 |
Disclaimer/Publisher’s Note: The statements, opinions and data contained in all publications are solely those of the individual author(s) and contributor(s) and not of MDPI and/or the editor(s). MDPI and/or the editor(s) disclaim responsibility for any injury to people or property resulting from any ideas, methods, instructions or products referred to in the content. |
© 2023 by the authors. Licensee MDPI, Basel, Switzerland. This article is an open access article distributed under the terms and conditions of the Creative Commons Attribution (CC BY) license (https://creativecommons.org/licenses/by/4.0/).
Share and Cite
Zhang, H.; Ni, J.; Qian, W.; Yu, S.; Xiang, Y.; Yang, L.; Chen, W. Pyrolysis Atmospheres and Temperatures Co-Mediated Spectral Variations of Biochar-Derived Dissolved Organic Carbon: Quantitative Prediction and Self-Organizing Maps Analysis. Molecules 2023, 28, 2247. https://doi.org/10.3390/molecules28052247
Zhang H, Ni J, Qian W, Yu S, Xiang Y, Yang L, Chen W. Pyrolysis Atmospheres and Temperatures Co-Mediated Spectral Variations of Biochar-Derived Dissolved Organic Carbon: Quantitative Prediction and Self-Organizing Maps Analysis. Molecules. 2023; 28(5):2247. https://doi.org/10.3390/molecules28052247
Chicago/Turabian StyleZhang, Huiying, Jinzhi Ni, Wei Qian, Shuhan Yu, Yu Xiang, Liuming Yang, and Weifeng Chen. 2023. "Pyrolysis Atmospheres and Temperatures Co-Mediated Spectral Variations of Biochar-Derived Dissolved Organic Carbon: Quantitative Prediction and Self-Organizing Maps Analysis" Molecules 28, no. 5: 2247. https://doi.org/10.3390/molecules28052247
APA StyleZhang, H., Ni, J., Qian, W., Yu, S., Xiang, Y., Yang, L., & Chen, W. (2023). Pyrolysis Atmospheres and Temperatures Co-Mediated Spectral Variations of Biochar-Derived Dissolved Organic Carbon: Quantitative Prediction and Self-Organizing Maps Analysis. Molecules, 28(5), 2247. https://doi.org/10.3390/molecules28052247

