Heavy Atom-Free Triplet Photosensitizers: Molecular Structure Design, Photophysical Properties and Application in Photodynamic Therapy
Abstract
1. Introduction
2. Radical-Enhanced ISC (REISC)
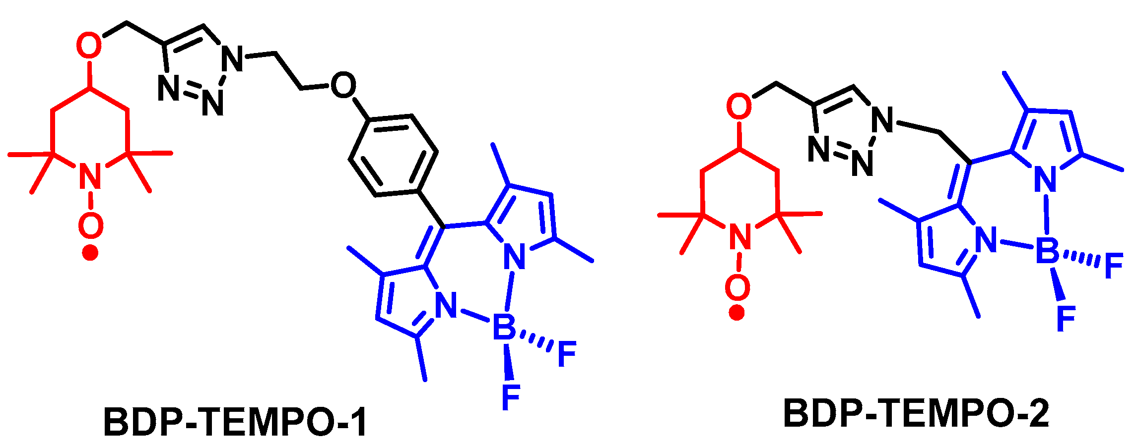
2.1. REISC Based on Bodipy-TEMPO Dyads
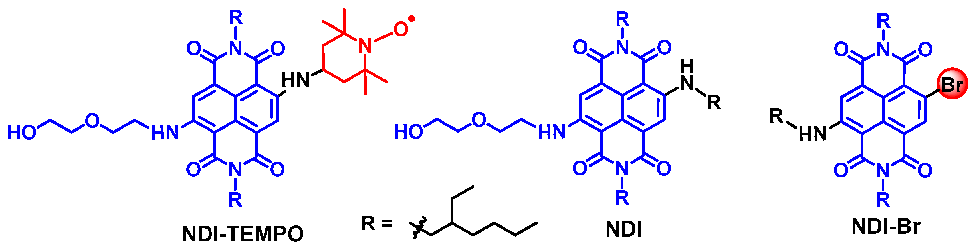
2.2. REISC Based on NDI-TEMPO Dyads
3. Twisted π-Conjugation-Induced ISC in Aromatic Compounds
4. Fullerene C60 as an Electron Spin Converter in the Design of Heavy Atom-Free Triplet PSs
4.1. Heavy Atom-Free Triplet PSs Based on Bodipy-C60 Dyads
4.2. Heavy Atom-Free Triplet PSs Based on StyrylBodipy-C60 Dyads
4.3. Heavy Atom-Free Triplet PSs Based on Rhodamine-C60 Dyads
4.4. Heavy Atom-Free Triplet PSs Based on PyridoneBodipy-C60 Dyads
5. Intersystem Crossing of Organic Compounds Have Energy-Matched S1/Tn States
5.1. Energy-Matched S1/Tn States of Naphthalimide Derivatives
5.2. Energy-Matched S1/Tn States of Naphthalenediimide Derivatives
5.3. Energy-Matched S1/Tn States of Perylenebisimide Derivatives
6. Concluding Remarks
Author Contributions
Funding
Institutional Review Board Statement
Informed Consent Statement
Data Availability Statement
Conflicts of Interest
References
- Bugaj, A.M. Targeted Photodynamic Therapy–a Promising Strategy of Tumor Treatment. Photochem. Photobiol. Sci. 2011, 10, 1097–1109. [Google Scholar] [CrossRef]
- Awuah, S.G.; You, Y. Boron Dipyrromethene (BODIPY)-Based Photosensitizers for Photodynamic Therapy. RSC Adv. 2012, 2, 11169–11183. [Google Scholar] [CrossRef]
- Kamkaew, A.; Lim, S.H.; Lee, H.B.; Kiew, L.V.; Chung, L.Y.; Burgess, K. BODIPY Dyes in Photodynamic Therapy. Chem. Soc. Rev. 2013, 42, 77–88. [Google Scholar] [CrossRef] [PubMed]
- Majumdar, P.; Nomula, R.; Zhao, J. Activatable Triplet Photosensitizers: Magic Bullets for Targeted Photodynamic Therapy. J. Mater. Chem. C 2014, 2, 5982–5997. [Google Scholar] [CrossRef]
- McKenzie, L.K.; Bryant, H.E.; Weinstein, J.A. Transition Metal Complexes as Photosensitisers in One- and Two-Photon Photodynamic Therapy. Coordin. Chem. Rev. 2019, 379, 2–29. [Google Scholar] [CrossRef]
- Bassan, E.; Gualandi, A.; Cozzi, P.G.; Ceroni, P. Design of BODIPY Dyes as Triplet Photosensitizers: Electronic Properties Tailored for Solar Energy Conversion, Photoredox Catalysis and Photodynamic Therapy. Chem. Sci. 2021, 12, 6607–6628. [Google Scholar] [CrossRef]
- Pham, T.C.; Nguyen, V.-N.; Choi, Y.; Lee, S.; Yoon, J. Recent Strategies to Develop Innovative Photosensitizers for Enhanced Photodynamic Therapy. Chem. Rev. 2021, 121, 13454–13619. [Google Scholar] [CrossRef]
- Teng, K.-X.; Chen, W.-K.; Niu, L.-Y.; Fang, W.-H.; Cui, G.; Yang, Q.-Z. BODIPY-Based Photodynamic Agents for Exclusively Generating Superoxide Radical over Singlet Oxygen. Angew. Chem. Int. Ed. 2021, 60, 19912–19920. [Google Scholar] [CrossRef]
- Weijer, R.; Broekgaarden, M.; Kos, M.; van Vught, R.; Rauws, E.A.J.; Breukink, E.; van Gulik, T.M.; Storm, G.; Heger, M. Enhancing Photodynamic Therapy of Refractory Solid Cancers: Combining Second-Generation Photosensitizers with Multi-Targeted Liposomal Delivery. J. Photochem. Photobiol., C 2015, 23, 103–131. [Google Scholar] [CrossRef]
- Turro, N.J.; Ramamurthy, V.; Scaiano, J.C. Principles of Molecular Photochemistry: An Introduction; University Science Books: Sausalito, CA, USA, 2009. [Google Scholar]
- Zhao, J.; Wu, W.; Sun, J.; Guo, S. Triplet Photosensitizers: From Molecular Design to Applications. Chem. Soc. Rev. 2013, 42, 5323–5351. [Google Scholar] [CrossRef]
- Zhao, J.; Xu, K.; Yang, W.; Wang, Z.; Zhong, F. The Triplet Excited State of Bodipy: Formation, Modulation and Application. Chem. Soc. Rev. 2015, 44, 8904–8939. [Google Scholar] [CrossRef]
- Alberto, M.E.; Mazzone, G.; Quartarolo, A.D.; Sousa, F.F.R.; Sicilia, E.; Russo, N. Electronic Spectra and Intersystem Spin-Orbit Coupling in 1,2- and 1,3-Squaraines. J. Comput. Chem. 2014, 35, 2107–2113. [Google Scholar] [CrossRef] [PubMed]
- Alberto, M.E.; De Simone, B.C.; Mazzone, G.; Marino, T.; Russo, N. Photophysical Properties of Free and Metallated Meso-Substituted Tetrabenzotriazaporphyrin from Density Functional Theory Investigation. Dyes Pigm. 2015, 120, 335–339. [Google Scholar] [CrossRef]
- Mazzone, G.; Alberto, M.; De Simone, B.; Marino, T.; Russo, N. Can Expanded Bacteriochlorins Act as Photosensitizers in Photodynamic Therapy? Good News from Density Functional Theory Computations. Molecules 2016, 21, 288. [Google Scholar] [CrossRef] [PubMed]
- Hou, Y.; Zhang, X.; Chen, K.; Liu, D.; Wang, Z.; Liu, Q.; Zhao, J.; Barbon, A. Charge Separation, Charge Recombination, Long-Lived Charge Transfer State Formation and Intersystem Crossing in Organic Electron Donor/Acceptor Dyads. J. Mater. Chem. C 2019, 7, 12048–12074. [Google Scholar] [CrossRef]
- Filatov, M.A. Heavy-Atom-Free BODIPY Photosensitizers with Intersystem Crossing Mediated by Intramolecular Photoinduced Electron Transfer. Org. Biomol. Chem. 2020, 18, 10–27. [Google Scholar] [CrossRef]
- Gibbons, D.J.; Farawar, A.; Mazzella, P.; Leroy-Lhez, S.; Williams, R.M. Making Triplets from Photo-Generated Charges: Observations, Mechanisms and Theory. Photochem. Photobiol. Sci. 2020, 19, 136–158. [Google Scholar] [CrossRef]
- Tilley, A.J.; Pensack, R.D.; Lee, T.S.; Djukic, B.; Scholes, G.D.; Seferos, D.S. Ultrafast Triplet Formation in Thionated Perylene Diimides. J. Phys. Chem. C 2014, 118, 9996–10004. [Google Scholar] [CrossRef]
- Hussain, M.; Zhao, J.; Yang, W.; Zhong, F.; Karatay, A.; Yaglioglu, H.G.; Yildiz, E.A.; Hayvali, M. Intersystem Crossing and Triplet Excited State Properties of Thionated Naphthalenediimide Derivatives. J. Luminsc. 2017, 192, 211–217. [Google Scholar] [CrossRef]
- Nguyen, V.-N.; Qi, S.; Kim, S.; Kwon, N.; Kim, G.; Yim, Y.; Park, S.; Yoon, J. An Emerging Molecular Design Approach to Heavy-Atom-Free Photosensitizers for Enhanced Photodynamic Therapy under Hypoxia. J. Am. Chem. Soc. 2019, 141, 16243–16248. [Google Scholar] [CrossRef]
- Likhtenstein, G.I.; Ishii, K.; Nakatsuji, S.I. Dual Chromophore-Nitroxides: Novel Molecular Probes, Photochemical and Photophysical Models and Magnetic Materials. Photochem. Photobiol. 2007, 83, 871–881. [Google Scholar] [CrossRef] [PubMed]
- Yang, T.; Zheng, B.; Liang, H.; Wan, Y.; Du, J.; Xiao, D. A Sensitive and Selective Chemosensor for Ascorbic Acid Based on a Fluorescent Nitroxide Switch. Talanta 2015, 132, 191–196. [Google Scholar] [CrossRef] [PubMed]
- Yu, H.; Cao, L.; Li, F.; Wu, Q.; Li, Q.; Wang, S.; Guo, Y. The Antioxidant Mechanism of Nitroxide TEMPO: Scavenging with Glutathionyl Radicals. RSC Adv. 2015, 5, 63655–63661. [Google Scholar] [CrossRef]
- KAWAI, A.; SHIBUYA, K. Electron Spin Dynamics in a Pair Interaction between Radical and Electronically-Excited Molecule as Studied by a Time-Resolved ESR Method. J. Photochem. Photobiol. C 2006, 7, 89–103. [Google Scholar] [CrossRef]
- Ishii, K.; Hirose, Y.; Fujitsuka, H.; Ito, O.; Kobayashi, N. Time-Resolved EPR, Fluorescence, and Transient Absorption Studies on Phthalocyaninatosilicon Covalently Linked to One or Two TEMPO Radicals. J. Am. Chem. Soc. 2001, 123, 702–708. [Google Scholar] [CrossRef]
- Giacobbe, E.M.; Mi, Q.; Colvin, M.T.; Cohen, B.; Ramanan, C.; Scott, A.M.; Yeganeh, S.; Marks, T.J.; Ratner, M.A.; Wasielewski, M.R. Ultrafast Intersystem Crossing and Spin Dynamics of Photoexcited Perylene-3,4:9,10-Bis(dicarboximide) Covalently Linked to a Nitroxide Radical at Fixed Distances. J. Am. Chem. Soc. 2009, 131, 3700–3712. [Google Scholar] [CrossRef]
- Nguyen, V.-N.; Yan, Y.; Zhao, J.; Yoon, J. Heavy-Atom-Free Photosensitizers: From Molecular Design to Applications in the Photodynamic Therapy of Cancer. Acc. Chem. Res. 2021, 54, 207–220. [Google Scholar] [CrossRef]
- Wang, Z.; Zhao, J.; Barbon, A.; Toffoletti, A.; Liu, Y.; An, Y.; Xu, L.; Karatay, A.; Yaglioglu, H.G.; Yildiz, E.A.; et al. Radical-Enhanced Intersystem Crossing in New Bodipy Derivatives and Application for Efficient Triplet−Triplet Annihilation Upconversion. J. Am. Chem. Soc. 2017, 139, 7831–7842. [Google Scholar] [CrossRef]
- Ulrich, G.; Ziessel, R.; Harriman, A. The Chemistry of Fluorescent Bodipy Dyes: Versatility Unsurpassed. Angew. Chem. Int. Ed. 2008, 47, 1184–1201. [Google Scholar] [CrossRef]
- Benniston, A.C.; Copley, G. Lighting the Way Ahead with Boron Dipyrromethene (Bodipy) Dyes. Phys. Chem. Chem. Phys. 2009, 11, 4124–4131. [Google Scholar] [CrossRef]
- Ziessel, R.; Harriman, A. Artificial Light-Harvesting Antennae: Electronic Energy Transfer by Way of Molecular Funnels. Chem. Commun. 2011, 47, 611–631. [Google Scholar] [CrossRef]
- Lu, H.; Mack, J.; Yang, Y.; Shen, Z. Structural Modification Strategies for the Rational Design of Red/NIR Region BODIPYs. Chem. Soc. Rev. 2014, 43, 4778–4823. [Google Scholar] [CrossRef] [PubMed]
- Dyar, S.M.; Margulies, E.A.; Horwitz, N.E.; Brown, K.E.; Krzyaniak, M.D.; Wasielewski, M.R. Photogenerated Quartet State Formation in a Compact Ring-Fused Perylene-Nitroxide. J. Phys. Chem. B 2015, 119, 13560–13569. [Google Scholar] [CrossRef] [PubMed]
- Ji, S.; Wu, W.; Wu, W.; Song, P.; Han, K.; Wang, Z.; Liu, S.; Guo, H.; Zhao, J. Tuning the Luminescence Lifetimes of Ruthenium(II) Polypyridine Complexes and Its Application in Luminescent Oxygen Sensing. J. Mater. Chem. 2010, 20, 1953–1963. [Google Scholar] [CrossRef]
- Ji, S.; Wu, W.; Wu, W.; Guo, H.; Zhao, J. Ruthenium(II) Polyimine Complexes with a Long-Lived 3IL Excited State or a 3MLCT/3IL Equilibrium: Efficient Triplet Sensitizers for Low-Power Upconversion. Angew. Chem. Int. Ed. 2011, 50, 1626–1629. [Google Scholar] [CrossRef] [PubMed]
- Lincoln, R.; Kohler, L.; Monro, S.; Yin, H.; Stephenson, M.; Zong, R.; Chouai, A.; Dorsey, C.; Hennigar, R.; Thummel, R.P.; et al. Exploitation of Long-Lived 3IL Excited States for Metal−Organic Photodynamic Therapy: Verification in a Metastatic Melanoma Model. J. Am. Chem. Soc. 2013, 135, 17161–17175. [Google Scholar] [CrossRef]
- Zhang, X.; Wang, Z.; Hou, Y.; Yan, Y.; Zhao, J.; Dick, B. Recent Development of Heavy-Atom-Free Triplet Photosensitizers: Molecular Structure Design, Photophysics and Application. J. Mater. Chem. C 2021, 9, 11944–11973. [Google Scholar] [CrossRef]
- Jiao, L.; Song, F.; Cui, J.; Peng, X. A Near-Infrared Heptamethine Aminocyanine Dye with a Long-Lived Excited Triplet State for Photodynamic Therapy. Chem. Commun. 2018, 54, 9198–9201. [Google Scholar] [CrossRef]
- Xu, Z.; Huang, Y.; Cao, Y.; Jin, T.; Miller, K.A.; Kaledin, A.L.; Musaev, D.G.; Lian, T.; Egap, E. Enhanced Intersystem Crossing of Boron Dipyrromethene by TEMPO Radical. J. Chem. Phys. 2020, 153, 154201. [Google Scholar] [CrossRef]
- Wang, Z.; Gao, Y.; Hussain, M.; Kundu, S.; Rane, V.; Hayvali, M.; Yildiz, E.A.; Zhao, J.; Yaglioglu, H.G.; Das, R.; et al. Efficient Radical-Enhanced Intersystem Crossing in an NDI-TEMPO Dyad: Photophysics, Electron Spin Polarization, and Application in Photodynamic Therapy. Chem.−Eur. J. 2018, 24, 18663–18675. [Google Scholar] [CrossRef]
- Doria, F.; Manet, I.; Grande, V.; Monti, S.; Freccero, M. Water-Soluble Naphthalene Diimides as Singlet Oxygen Sensitizers. J. Org. Chem. 2013, 78, 8065–8073. [Google Scholar] [CrossRef]
- Wu, S.; Zhong, F.; Zhao, J.; Guo, S.; Yang, W.; Fyles, T. Broadband Visible Light-Harvesting Naphthalenediimide (NDI) Triad: Study of the Intra-/Intermolecular Energy/Electron Transfer and the Triplet Excited State. J. Phys. Chem. A 2015, 119, 4787–4799. [Google Scholar] [CrossRef] [PubMed]
- Hussain, M.; El-Zohry, A.M.; Gobeze, H.B.; Zhao, J.; D’Souza, F.; Mohammed, O.F. Intramolecular Energy and Electron Transfers in Bodipy Naphthalenediimide Triads. J. Phys. Chem. A 2018, 122, 6081–6088. [Google Scholar] [CrossRef] [PubMed]
- Teki, Y.; Miyamoto, S.; Nakatsuji, M.; Miura, Y. π-Topology and Spin Alignment Utilizing the Excited Molecular Field: Observation of the Excited High-Spin Quartet (S = 3/2) and Quintet (S = 2) States on Purely Organic π-Conjugated Spin Systems. J. Am. Chem. Soc. 2001, 123, 294–305. [Google Scholar] [CrossRef]
- Kandrashkin, Y.E.; van der Est, A. Stimulated Electron Spin Polarization in Strongly Coupled Triplet−Doublet Spin Pairs. Appl. Magn. Reson. 2011, 40, 189–204. [Google Scholar] [CrossRef]
- Zhang, X.; Sukhanov, A.A.; Yildiz, E.A.; Kandrashkin, Y.E.; Zhao, J.; Yaglioglu, H.G.; Voronkova, V.K. Radical-Enhanced Intersystem Crossing in a Bay-Substituted Perylene Bisimide−TEMPO Dyad and the Electron Spin Polarization Dynamics upon Photoexcitation. ChemPhysChem 2021, 22, 55–68. [Google Scholar] [CrossRef] [PubMed]
- Schmidt, K.; Brovelli, S.; Coropceanu, V.; Beljonne, D.; Cornil, J.; Bazzini, C.; Caronna, T.; Tubino, R.; Meinardi, F.; Shuai, Z.; et al. Intersystem Crossing Processes in Nonplanar Aromatic Heterocyclic Molecules. J. Phys. Chem. A 2007, 111, 10490–10499. [Google Scholar] [CrossRef]
- Sapir, M.; Donckt, E.V. Intersystem Crossing in the Helicenes. Chem. Phys. Lett. 1975, 36, 108–110. [Google Scholar] [CrossRef]
- Biet, T.; Martin, K.; Hankache, J.; Hellou, N.; Hauser, A.; Bürgi, T.; Vanthuyne, N.; Aharon, T.; Caricato, M.; Crassous, J.; et al. Triggering Emission with the Helical Turn in Thiadiazole-Helicenes. Chem.−Eur. J. 2017, 23, 437–446. [Google Scholar] [CrossRef]
- Wu, Y.; Zhen, Y.; Ma, Y.; Zheng, R.; Wang, Z.; Fu, H. Exceptional Intersystem Crossing in Di(perylene bisimide)s: A Structural Platform toward Photosensitizers for Singlet Oxygen Generation. J. Phys. Chem. Lett. 2010, 1, 2499–2502. [Google Scholar] [CrossRef]
- Mahmood, Z.; Sukhanov, A.A.; Rehmat, N.; Hu, M.; Elmali, A.; Xiao, Y.; Zhao, J.; Karatay, A.; Dick, B.; Voronkova, V.K. Intersystem Crossing and Triplet-State Property of Anthryl- and Carbazole-[1,12]fused Perylenebisimide Derivatives with a Twisted π-Conjugation Framework. J. Phys. Chem. B 2021, 125, 9317–9332. [Google Scholar] [CrossRef] [PubMed]
- Zhou, Z.; Zhou, J.; Gai, L.; Yuan, A.; Shen, Z. Naphtho[b]-Fused BODIPYs: One Pot Suzuki–Miyaura–Knoevenagel Synthesis and Photophysical Properties. Chem. Commun. 2017, 53, 6621–6624. [Google Scholar] [CrossRef] [PubMed]
- Wang, Z.; Huang, L.; Yan, Y.; El-Zohry, A.M.; Toffoletti, A.; Zhao, J.; Barbon, A.; Dick, B.; Mohammed, O.F.; Han, G. Elucidation of the Intersystem Crossing Mechanism in a Helical BODIPY for Low-Dose Photodynamic Therapy. Angew. Chem. Int. Ed. 2020, 59, 16114–16121. [Google Scholar] [CrossRef] [PubMed]
- Lou, Z.; Hou, Y.; Chen, K.; Zhao, J.; Ji, S.; Zhong, F.; Dede, Y.; Dick, B. Different Quenching Effect of Intramolecular Rotation on the Singlet and Triplet Excited States of Bodipy. J. Phys. Chem. C 2018, 122, 185–193. [Google Scholar] [CrossRef]
- Sabatini, R.P.; McCormick, T.M.; Lazarides, T.; Wilson, K.C.; Eisenberg, R.; McCamant, D.W. Intersystem Crossing in Halogenated Bodipy Chromophores Used for Solar Hydrogen Production. J. Phys. Chem. Lett. 2011, 2, 223–227. [Google Scholar] [CrossRef]
- Levanon, H.; Norris, J.R. The Photoexcited Triplet State and Photosynthesis. Chem. Rev. 1978, 78, 185–198. [Google Scholar] [CrossRef]
- Weber, S. Transient EPR. eMagRes 2017, 6, 255–270. [Google Scholar]
- Richert, S.; Tait, C.E.; Timmel, C.R. Delocalisation of Photoexcited Triplet States Probed by Transient EPR and Hyperfine Spectroscopy. J. Magn. Reson. 2017, 280, 103–116. [Google Scholar] [CrossRef]
- Biskup, T. Structure−Function Relationship of Organic Semiconductors: Detailed Insights From Time-Resolved EPR Spectroscopy. Front. Chem. 2019, 7, 10. [Google Scholar] [CrossRef]
- Imran, M.; Zhang, X.; Wang, Z.; Chen, X.; Zhao, J.; Barbon, A.; Voronkova, V.K. Electron Spin Dynamics in Excited State Photochemistry: Recent Development in the Study of Intersystem Crossing and Charge Transfer in Organic Compounds. Phys. Chem. Chem. Phys. 2021, 23, 15835–15868. [Google Scholar] [CrossRef]
- Wang, Z.; Zhang, X.; Zhao, J. Electron Spin Dynamics of the Intersystem Crossing of Triplet Photosensitizers That Show Strong Absorption of Visible Light and Long-Lived Triplet States. J. Phys. Chem. C 2021, 125, 19097–19109. [Google Scholar] [CrossRef]
- Hintze, C.; Steiner, U.E.; Drescher, M. Photoexcited Triplet State Kinetics Studied by Electron Paramagnetic Resonance Spectroscopy. ChemPhysChem 2017, 18, 6–16. [Google Scholar] [CrossRef]
- Montalti, M.; Credi, A.; Prodi, L.; Gandolfi, M.T. Handbook of Photochemistry; CRC Press: Boca Raton, FL, USA, 2006. [Google Scholar]
- Wang, Z.; Sukhanov, A.A.; Toffoletti, A.; Sadiq, F.; Zhao, J.; Barbon, A.; Voronkova, V.K.; Dick, B. Insights into the Efficient Intersystem Crossing of Bodipy-Anthracene Compact Dyads with Steady-State and Time-Resolved Optical/Magnetic Spectroscopies and Observation of the Delayed Fluorescence. J. Phys. Chem. C 2019, 123, 265–274. [Google Scholar] [CrossRef]
- Dong, Y.; Sukhanov, A.A.; Zhao, J.; Elmali, A.; Li, X.; Dick, B.; Karatay, A.; Voronkova, V.K. Spin–Orbit Charge-Transfer Intersystem Crossing (SOCT-ISC) in Bodipy-Phenoxazine Dyads: Effect of Chromophore Orientation and Conformation Restriction on the Photophysical Properties. J. Phys. Chem. C 2019, 123, 22793–22811. [Google Scholar] [CrossRef]
- Ito, H.; Sakai, H.; Suzuki, Y.; Kawamata, J.; Hasobe, T. Systematic Control of Structural and Photophysical Properties of π-Extended Mono- and Bis-BODIPY Derivatives. Chem.−Eur. J. 2020, 26, 316–325. [Google Scholar] [CrossRef] [PubMed]
- Dong, Y.; Dick, B.; Zhao, J. Twisted Bodipy Derivative as a Heavy-Atom-Free Triplet Photosensitizer Showing Strong Absorption of Yellow Light, Intersystem Crossing, and a High-Energy Long-Lived Triplet State. Org. Lett. 2020, 22, 5535–5539. [Google Scholar] [CrossRef] [PubMed]
- Dong, Y.; Kumar, P.; Maity, P.; Kurganskii, I.; Li, S.; Elmali, A.; Zhao, J.; Escudero, D.; Wu, H.; Karatay, A.; et al. Twisted BODIPY Derivative: Intersystem Crossing, Electron Spin Polarization and Application as a Novel Photodynamic Therapy Reagent. Phys. Chem. Chem. Phys. 2021, 23, 8641–8652. [Google Scholar] [CrossRef]
- Nagarajan, K.; Mallia, A.R.; Muraleedharan, K.; Hariharan, M. Enhanced Intersystem Crossing in Core-Twisted Aromatics. Chem. Sci. 2017, 8, 1776–1782. [Google Scholar] [CrossRef]
- Fan, Q.; Ni, W.; Chen, L.; Gurzadyan, G.G.; Xiao, Y. Singlet Relaxation Dynamics and Long Triplet Lifetimes of Thiophene-Coupled Perylene Diimides Dyads: New Insights for High Efficiency Organic Solar Cells. Chin. Chem. Lett. 2020, 31, 2965–2969. [Google Scholar] [CrossRef]
- Yan, Y.; Sukhanov, A.A.; Bousquet, M.H.E.; Guan, Q.; Zhao, J.; Voronkova, V.K.; Escudero, D.; Barbon, A.; Xing, Y.; Gurzadyan, G.G.; et al. Does Twisted π-Conjugation Framework Always Induce Efficient Intersystem Crossing? a Case Study with Benzo[b]- and [a]Phenanthrene-Fused BODIPY Derivatives and Identification of a Dark State. J. Phys. Chem. B 2021, 125, 6280–6295. [Google Scholar] [CrossRef]
- Arbogast, J.W.; Darmanyan, A.P.; Foote, C.S.; Diederich, F.N.; Whetten, R.L.; Rubin, Y.; Alvarez, M.M.; Anz, S.J. Photophysical Properties of Sixty Atom Carbon Molecule (C60). J. Phys. Chem. 1991, 95, 11–12. [Google Scholar] [CrossRef]
- Chiang, L.Y.; Padmawar, P.A.; Rogers-Haley, J.E.; So, G.; Canteenwala, T.; Thota, S.; Tan, L.-S.; Pritzker, K.; Huang, Y.-Y.; Sharma, S.K. Synthesis and Characterization of Highly Photoresponsive Fullerenyl Dyads With a Close Chromophore Antenna–C60 Contact and Effective Photodynamic Potential. J. Mater. Chem. 2010, 20, 5280–5293. [Google Scholar] [CrossRef]
- Ziessel, R.; Allen, B.D.; Rewinska, D.B.; Harriman, A. Selective Triplet-State Formation during Charge Recombination in a Fullerene/Bodipy Molecular Dyad (Bodipy=Borondipyrromethene). Chem.−Eur. J. 2009, 15, 7382–7393. [Google Scholar] [CrossRef]
- Collini, M.A.; Thomas, M.B.; Bandi, V.; Karr, P.A.; D’Souza, F. Directly Attached Bisdonor-BF2 Chelated Azadipyrromethene-Fullerene Tetrads for Promoting Ground and Excited State Charge Transfer. Chem. –Eur. J. 2017, 23, 4450–4461. [Google Scholar] [CrossRef]
- KC, C.B.; Lim, G.N.; Nesterov, V.N.; Karr, P.A.; D’Souza, F. Phenothiazine−BODIPY−Fullerene Triads as Photosynthetic Reaction Center Models: Substitution and Solvent Polarity Effects on Photoinduced Charge Separation and Recombination. Chem.−Eur. J. 2014, 20, 17100–17112. [Google Scholar]
- Wu, W.; Zhao, J.; Sun, J.; Guo, S. Light-Harvesting Fullerene Dyads as Organic Triplet Photosensitizers for Triplet−Triplet Annihilation Upconversions. J. Org. Chem. 2012, 77, 5305–5312. [Google Scholar] [CrossRef]
- Williams, R.M.; Zwier, J.M.; Verhoeven, J.W. Photoinduced Intramolecular Electron Transfer in a Bridged C60 (Acceptor)-Aniline (Donor) System; Photophysical Properties of the First “Active” Fullerene Diad. J. Am. Chem. Soc. 1995, 117, 4093–4099. [Google Scholar] [CrossRef]
- Guldi, D.M.; Asmus, K. Photophysical Properties of Mono- and Multiply-Functionalized Fullerene Derivatives. J. Phys. Chem. A 1997, 101, 1472–1481. [Google Scholar]
- Wang, Z.; Xie, Y.; Xu, K.; Zhao, J.; Glusac, K.D. Diiodobodipy-styrylbodipy Dyads: Preparation and Study of the Intersystem Crossing and Fluorescence Resonance Energy Transfer. J. Phys. Chem. A 2015, 119, 6791–6806. [Google Scholar] [CrossRef]
- Wei, Y.; Zheng, M.; Zhou, Q.; Zhou, X.; Liu, S. Application of a Bodipy−C70 Dyad in Triplet−Triplet Annihilation Upconversion of Perylene as a Metal-Free Photosensitizer. Org. Biomol. Chem. 2018, 16, 5598–5608. [Google Scholar] [CrossRef]
- Huang, L.; Yu, X.; Wu, W.; Zhao, J. Styryl Bodipy-C60 Dyads as Efficient Heavy-Atom-Free Organic Triplet Photosensitizers. Org. Lett. 2012, 14, 2594–2597. [Google Scholar] [CrossRef]
- Wu, W.; Guo, H.; Wu, W.; Ji, S.; Zhao, J. Organic Triplet Sensitizer Library Derived from a Single Chromophore (BODIPY) with Long-Lived Triplet Excited State for Triplet–Triplet Annihilation Based Upconversion. J. Org. Chem. 2011, 76, 7056–7064. [Google Scholar] [CrossRef]
- Wang, Z.; Toffoletti, A.; Hou, Y.; Zhao, J.; Barbon, A.; Dick, B. Insight into the Drastically Different Triplet Lifetimes of BODIPY Obtained by Optical/Magnetic Spectroscopy and Theoretical Computations. Chem. Sci. 2021, 12, 2829–2840. [Google Scholar] [CrossRef]
- Huang, L.; Zhao, J.; Guo, S.; Zhang, C.; Ma, J. Bodipy Derivatives as Organic Triplet Photosensitizers for Aerobic Photoorganocatalytic Oxidative Coupling of Amines and Photooxidation of Dihydroxylnaphthalenes. J. Org. Chem. 2013, 78, 5627–5637. [Google Scholar] [CrossRef]
- Huang, L.; Cui, X.; Therrien, B.; Zhao, J. Energy-Funneling-Based Broadband Visible-Light-Absorbing Bodipy−C60 Triads and Tetrads as Dual Functional Heavy-Atom-Free Organic Triplet Photosensitizers for Photocatalytic Organic Reactions. Chem.−Eur. J. 2013, 19, 17472–17482. [Google Scholar] [CrossRef]
- Guo, S.; Zhang, H.; Huang, L.; Guo, Z.; Xiong, G.; Zhao, J. Porous Material-Immobilized Iodo-Bodipy as an Efficient Photocatalyst for Photoredox Catalytic Organic Reaction to Prepare Pyrrolo [2,1-a]Isoquinoline. Chem. Commun. 2013, 49, 8689–8691. [Google Scholar] [CrossRef]
- Wang, F.; Cui, X.; Lou, Z.; Zhao, J.; Bao, M.; Li, X. Switching of the Triplet Excited State of Rhodamine-C60 Dyads. Chem. Commun. 2014, 50, 15627–15630. [Google Scholar] [CrossRef]
- Lee, M.H.; Han, J.H.; Lee, J.H.; Park, N.; Kumar, R.; Kang, C.; Kim, J.S. Two-Color Probe to Monitor a Wide Range of pH Values in Cells. Angew. Chem. Int. Ed. 2013, 52, 6206–6209. [Google Scholar] [CrossRef]
- Tian, J.; Ding, L.; Xu, H.-J.; Shen, Z.; Ju, H.; Jia, L.; Bao, L.; Yu, J.-S. Cell-Specific and pH-Activatable Rubyrin-Loaded Nanoparticles for Highly Selective Near-Infrared Photodynamic Therapy against Cancer. J. Am. Chem. Soc. 2013, 135, 18850–18858. [Google Scholar] [CrossRef]
- Tang, Q.; Xiao, W.; Li, J.; Chen, D.; Zhang, Y.; Shao, J.; Dong, X. A Fullerene-Rhodamine B Photosensitizer with pH-Activated Visible-Light Absorbance/Fluorescence/Photodynamic Therapy. J. Mater. Chem. B 2018, 6, 2778–2784. [Google Scholar] [CrossRef]
- Jimenez-Mancilla, N.P.; Aranda-Lara, L.; Morales-Avila, E.; Camacho-Lopez, M.A.; Ocampo-Garcia, B.E.; Torres-Garcia, E.; Estrada-Guadarrama, J.A.; Santos-Cuevas, C.L.; Isaac-Olive, K. Electron Transfer Reactions in Rhodamine: Potential Use in Photodynamic Therapy. J. Photochem. Photobiol. A 2021, 409, 113131. [Google Scholar] [CrossRef]
- Shimada, R.; Hino, S.; Yamana, K.; Kawasaki, R.; Konishi, T.; Ikeda, A. Improvement of Photodynamic Activity by a Stable System Consisting of a C60 Derivative and Photoantenna in Liposomes. ACS Med. Chem. Lett. 2022, 13, 641–647. [Google Scholar] [CrossRef]
- Liu, Y.; Zhao, J. Visible Light-Harvesting Perylenebisimide−Fullerene (C60) Dyads with Bidirectional “Ping-Pong” Energy Transfer as Triplet Photosensitizers for Photooxidation of 1,5-Dihydroxynaphthalene. Chem. Commun. 2012, 48, 3751–3753. [Google Scholar] [CrossRef]
- Guo, S.; Sun, J.; Ma, L.; You, W.; Yang, P.; Zhao, J. Visible Light-Harvesting Naphthalenediimide (NDI)-C60 Dyads as Heavy-Atom-Free Organic Triplet Photosensitizers for Triplet−Triplet Annihilation Based Upconversion. Dyes Pigm. 2013, 96, 449–458. [Google Scholar] [CrossRef]
- Swedin, R.K.; Healy, A.T.; Schaffner, J.W.; Kuzmin, I.A.; Zatsikha, Y.V.; Nemykin, V.N.; Blank, D.A. Outsourcing Intersystem Crossing without Heavy Atoms: Energy Transfer Dynamics in PyridoneBODIPY−C60 Complexes. J. Phys. Chem. Lett. 2022, 13, 8845–8850. [Google Scholar] [CrossRef]
- Chen, X.; Sukhanov, A.A.; Taddei, M.; Dick, B.; Zhao, J.; Voronkova, V.K.; Di Donato, M. Charge Separation/Recombination, Intersystem Crossing, and Unusually Slow Intramolecular Triplet−Triplet Energy Transfer in Naphthalenediimide−Anthracene Compact Energy Donor−Acceptor Dyads. J. Phys. Chem. Lett. 2022, 13, 8740–8748. [Google Scholar] [CrossRef]
- Ahmed, R.; Manna, A.K. Origins of Molecular-Twist-Triggered Intersystem Crossing in Functional Perylenediimides: Singlet–Triplet Gap versus Spin−Orbit Coupling. J. Phys. Chem. A 2022, 126, 6594–6603. [Google Scholar] [CrossRef]
- Gerbich, T.; Schmitt, H.-C.; Fischer, I.; Mitrić, R.; Petersen, J. Dynamics of Isolated 1,8-Naphthalimide and N-Methyl-1,8-Naphthalimide: An Experimental and Computational Study. J. Phys. Chem. A 2016, 120, 2089–2095. [Google Scholar] [CrossRef]
- Imran, M.; Sukhanov, A.A.; Maity, P.; Elmali, A.; Zhao, J.; Karatay, A.; Mohammed, O.F.; Voronkova, V.K. Chromophore Orientation-Dependent Photophysical Properties of Pyrene–Naphthalimide Compact Electron Donor–Acceptor Dyads: Electron Transfer and Intersystem Crossing. J. Phys. Chem. B 2021, 125, 9244–9259. [Google Scholar] [CrossRef]
- Chen, K.; Kurganskii, I.V.; Zhang, X.; Elmali, A.; Zhao, J.; Karatay, A.; Fedin, M.V. Intersystem Crossing and Electron Spin Selectivity in Anthracene-Naphthalimide Compact Electron Donor-Acceptor Dyads Showing Different Geometry and Electronic Coupling Magnitudes. Chem.−Eur. J. 2021, 27, 7572–7587. [Google Scholar] [CrossRef]
- Tang, G.; Sukhanov, A.A.; Zhao, J.; Yang, W.; Wang, Z.; Liu, Q.; Voronkova, V.K.; Di Donato, M.; Escudero, D.; Jacquemin, D. Red Thermally Activated Delayed Fluorescence and the Intersystem Crossing Mechanisms in Compact Naphthalimide–Phenothiazine Electron Donor/Acceptor Dyads. J. Phys. Chem. C 2019, 123, 30171–30186. [Google Scholar] [CrossRef]
- Zhang, X.; Liu, X.; Taddei, M.; Bussotti, L.; Kurganskii, I.; Li, M.; Jiang, X.; Xing, L.; Ji, S.; Huo, Y.; et al. Red Light-Emitting Thermally-Activated Delayed Fluorescence of Naphthalimide-Phenoxazine Electron Donor-Acceptor Dyad: Time-Resolved Optical and Magnetic Spectroscopic Studies. Chem.−Eur. J. 2022, 28, e202200510. [Google Scholar] [CrossRef]
- Tian, W.; Sukhanov, A.A.; Bussotti, L.; Pang, J.; Zhao, J.; Voronkova, V.K.; Di Donato, M.; Li, M.-D. Charge Separation and Intersystem Crossing in Homo- and Hetero-Compact Naphthalimide Dimers. J. Phys. Chem. B 2022, 126, 4364–4378. [Google Scholar] [CrossRef]
- Nguyen, V.; Baek, G.; Qi, S.; Heo, S.; Yim, Y.; Yoon, J. A Lysosome-Localized Thionaphthalimide as a Potential Heavy-Atom-Free Photosensitizer for Selective Photodynamic Therapy. Dyes Pigm. 2020, 177, 108265. [Google Scholar] [CrossRef]
- Aveline, B.M.; Matsugo, S.; Redmond, R.W. Photochemical Mechanisms Responsible for the Versatile Application of Naphthalimides and Naphthaldiimides in Biological Systems. J. Am. Chem. Soc. 1997, 119, 11785–11795. [Google Scholar] [CrossRef]
- Yang, W.; Zhao, J.; Tang, G.; Li, X.; Gurzadyan, G.G. Direct Observation of Long-Lived Upper Excited Triplet States and Intersystem Crossing in Anthracene-Containing PtII Complexes. J. Phys. Chem. Lett. 2019, 10, 7767–7773. [Google Scholar] [CrossRef]
- Chen, K.; Zhao, J.; Li, X.; Gurzadyan, G.G. Anthracene−Naphthalenediimide Compact Electron Donor/Acceptor Dyads: Electronic Coupling, Electron Transfer, and Intersystem Crossing. J. Phys. Chem. A 2019, 123, 2503–2516. [Google Scholar] [CrossRef]
- Yushchenko, O.; Licari, G.; Mosquera-Vazquez, S.; Sakai, N.; Matile, S.; Vauthey, E. Ultrafast Intersystem-Crossing Dynamics and Breakdown of the Kasha–Vavilov’s Rule of Naphthalenediimides. J. Phys. Chem. Lett. 2015, 6, 2096–2100. [Google Scholar] [CrossRef]
- Yang, Y.; Wang, Y.; Xie, Y.; Xiong, T.; Yuan, Z.; Zhang, Y.; Qian, S.; Xiao, Y. Fused Perylenebisimide−Carbazole: New Ladder Chromophores with Enhanced Third-Order Nonlinear Optical Activities. Chem. Commun. 2011, 47, 10749–10751. [Google Scholar] [CrossRef]
- Son, M.; Park, K.H.; Shao, C.; Würthner, F.; Kim, D. Spectroscopic Demonstration of Exciton Dynamics and Excimer Formation in a Sterically Controlled Perylene Bisimide Dimer Aggregate. J. Phys. Chem. Lett. 2014, 5, 3601–3607. [Google Scholar] [CrossRef]
- Suzuki, S.; Kozaki, M.; Nozaki, K.; Okada, K. Recent Progress in Controlling Photophysical Processes of Donor–Acceptor Arrays Involving Perylene Diimides and Boron-Dipyrromethenes. J. Photochem. Photobiol. C 2011, 12, 269–292. [Google Scholar] [CrossRef]
- Biedermann, F.; Elmalem, E.; Ghosh, I.; Nau, W.M.; Scherman, O.A. Strongly Fluorescent, Switchable Perylene Bis(diimide) Host–Guest Complexes with Cucurbit [8]uril In Water. Angew. Chem. Int. Ed. 2012, 51, 7739–7743. [Google Scholar] [CrossRef] [PubMed]
- Fujimoto, K.; Izawa, S.; Takahashi, A.; Inuzuka, T.; Sanada, K.; Sakamoto, M.; Nakayama, Y.; Hiramoto, M.; Takahashi, M. Curved Perylene Diimides Fused with Seven-Membered Rings. Chem.−Asian J. 2021, 16, 690–695. [Google Scholar] [CrossRef] [PubMed]
- Yu, Z.; Wu, Y.; Peng, Q.; Sun, C.; Chen, J.; Yao, J.; Fu, H. Accessing the Triplet State in Heavy-Atom-Free Perylene Diimides. Chem.−Eur. J. 2016, 22, 4717–4722. [Google Scholar] [CrossRef]
- Yang, W.; Zhao, J.; Sonn, C.; Escudero, D.; Karatay, A.; Yaglioglu, H.G.; Küçüköz, B.; Hayvali, M.; Li, C.; Jacquemin, D. Efficient Intersystem Crossing in Heavy-Atom-Free Perylenebisimide Derivatives. J. Phys. Chem. C 2016, 120, 10162–10175. [Google Scholar] [CrossRef]
- Rehmat, N.; Kurganskii, I.V.; Mahmood, Z.; Guan, Q.L.; Zhao, J.; Xing, Y.H.; Gurzadyan, G.G.; Fedin, M.V. Spin−Orbit Charge-Transfer Intersystem Crossing in Anthracene−Perylenebisimide Compact Electron Donor−Acceptor Dyads and Triads and Photochemical Dianion Formation. Chem.−Eur. J. 2021, 27, 5521–5535. [Google Scholar] [CrossRef]
- Rehmat, N.; Toffoletti, A.; Mahmood, Z.; Zhang, X.; Zhao, J.; Barbon, A. Carbazole-Perylenebisimide Electron Donor/Acceptor Dyads Showing Efficient Spin Orbit Charge Transfer Intersystem Crossing (SOCT-ISC) and Photo-Driven Intermolecular Electron Transfer. J. Mater. Chem. C 2020, 8, 4701–4712. [Google Scholar] [CrossRef]
- Sadiq, F.; Wang, Z.; Hou, Y.; Zhao, J.; Elmali, A.; Escudero, D.; Karatay, A. Thienyl/Phenyl Bay-Substituted Perylenebisimides: Intersystem Crossing and Application as Heavy Atom-Free Triplet Photosensitizers. Dyes Pigm. 2021, 184, 108708. [Google Scholar] [CrossRef]
- Sun, J.; Zhong, F.; Zhao, J. Observation of the Long-Lived Triplet Excited State of Perylenebisimide (PBI) in C^N Cyclometalated Ir(III) Complexes and Application in Photocatalytic Oxidation. Dalton Trans. 2013, 42, 9595–9605. [Google Scholar] [CrossRef]
- Rachford, A.A.; Goeb, S.; Castellano, F.N. Accessing the Triplet Excited State in Perylenediimides. J. Am. Chem. Soc. 2008, 130, 2766−2767. [Google Scholar] [CrossRef]
- Xu, Y.; Xu, P.; Hu, D.; Ma, Y. Recent Progress in Hot Exciton Materials for Organic Light-Emitting Diodes. Chem. Soc. Rev. 2021, 50, 1030–1069. [Google Scholar] [CrossRef] [PubMed]

























Disclaimer/Publisher’s Note: The statements, opinions and data contained in all publications are solely those of the individual author(s) and contributor(s) and not of MDPI and/or the editor(s). MDPI and/or the editor(s) disclaim responsibility for any injury to people or property resulting from any ideas, methods, instructions or products referred to in the content. |
© 2023 by the authors. Licensee MDPI, Basel, Switzerland. This article is an open access article distributed under the terms and conditions of the Creative Commons Attribution (CC BY) license (https://creativecommons.org/licenses/by/4.0/).
Share and Cite
Xiao, X.; Zhao, X.; Chen, X.; Zhao, J. Heavy Atom-Free Triplet Photosensitizers: Molecular Structure Design, Photophysical Properties and Application in Photodynamic Therapy. Molecules 2023, 28, 2170. https://doi.org/10.3390/molecules28052170
Xiao X, Zhao X, Chen X, Zhao J. Heavy Atom-Free Triplet Photosensitizers: Molecular Structure Design, Photophysical Properties and Application in Photodynamic Therapy. Molecules. 2023; 28(5):2170. https://doi.org/10.3390/molecules28052170
Chicago/Turabian StyleXiao, Xiao, Xiaoyu Zhao, Xi Chen, and Jianzhang Zhao. 2023. "Heavy Atom-Free Triplet Photosensitizers: Molecular Structure Design, Photophysical Properties and Application in Photodynamic Therapy" Molecules 28, no. 5: 2170. https://doi.org/10.3390/molecules28052170
APA StyleXiao, X., Zhao, X., Chen, X., & Zhao, J. (2023). Heavy Atom-Free Triplet Photosensitizers: Molecular Structure Design, Photophysical Properties and Application in Photodynamic Therapy. Molecules, 28(5), 2170. https://doi.org/10.3390/molecules28052170

