Chitosan Spraying Enhances the Growth, Photosynthesis, and Resistance of Continuous Pinellia ternata and Promotes Its Yield and Quality
Abstract
1. Introduction
2. Results
2.1. Influences of Chitosan on the Growth of P. ternata
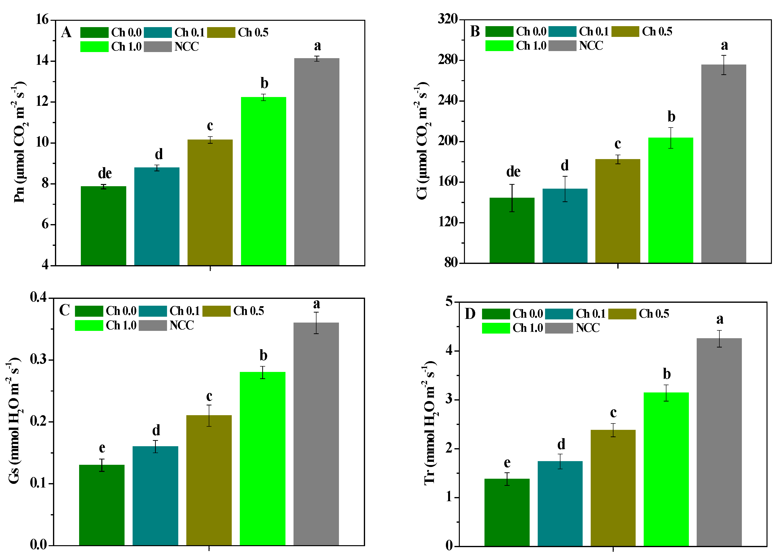
2.2. Influences of Chitosan on Photosynthetic Capacity of P. ternata
2.3. Influence of Chitosan on Stress Resistance of P. ternata
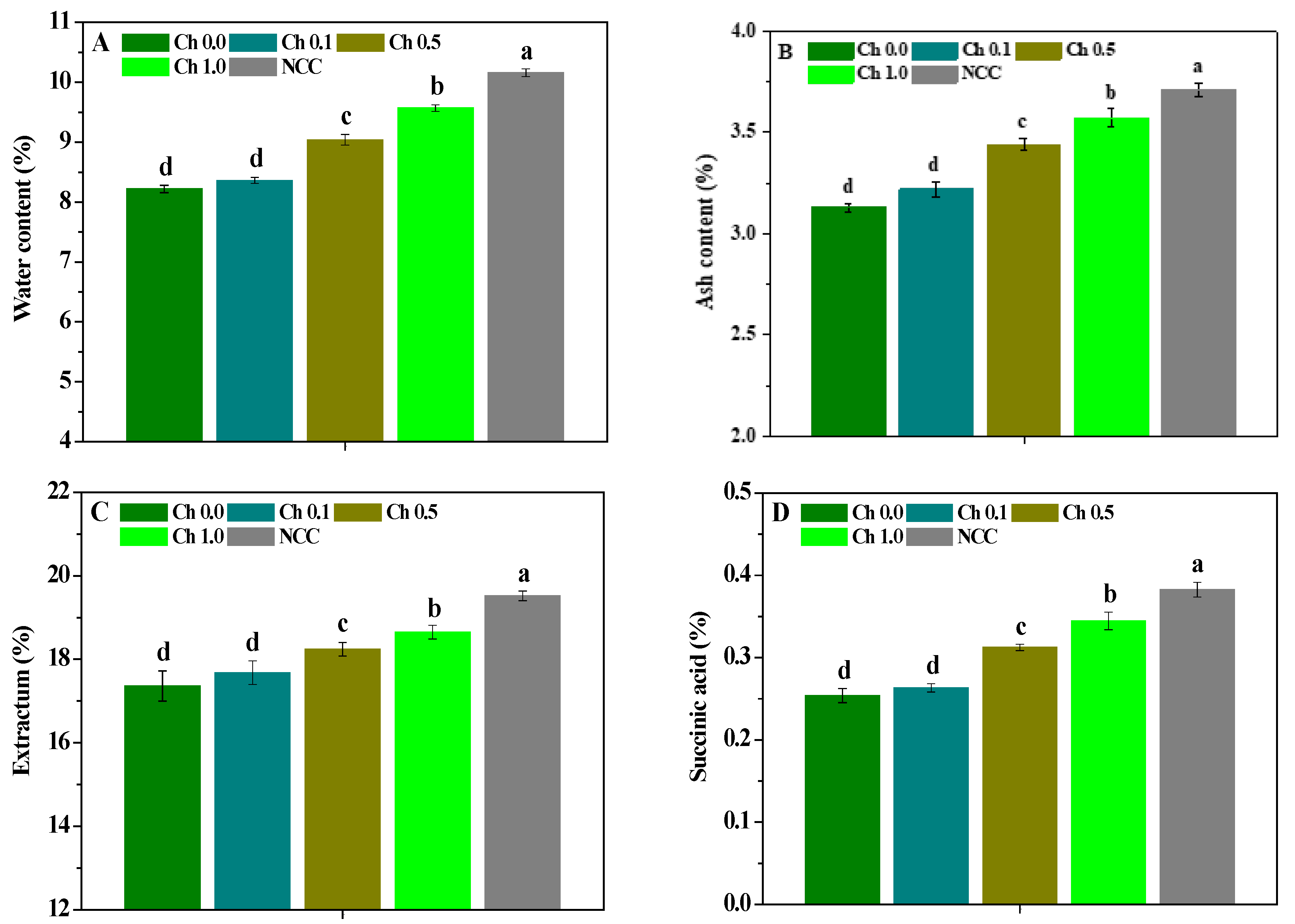
2.4. Influences of Chitosan on Yield and Quality of P. ternata
3. Discussion
4. Materials and Methods
4.1. Chemicals and Seeds
4.2. P. ternata Herb Garden
4.3. Chitosan Spraying Experiment
4.4. Analytical Method
4.4.1. Growth Parameters
4.4.2. Photosynthesis Parameters
4.4.3. Resistance Parameters
4.4.4. Yield and Quality Parameters
4.5. Statistical Analyses
5. Conclusions
Author Contributions
Funding
Institutional Review Board Statement
Informed Consent Statement
Data Availability Statement
Conflicts of Interest
References
- Li, X.; Zhang, X.; Yang, W.; Guo, L.; Huang, L.; Li, X.; Gao, W. Preparation and Characterization of Native and Autoclaving-cooling Treated Pinellia ternate Starch and Its Impact on Gut Microbiota. Int. J. Biol. Macromol. 2021, 182, 1351–1361. [Google Scholar] [CrossRef]
- Liu, Y.; Newmaster, S.; Wu, X.; Liu, Y.; Long, C. Pinellia hunanensis (Araceae), A New Species Supported by Morphometric Analysis and DNA Barcoding. Phytotaxa 2013, 130, 1–13. [Google Scholar] [CrossRef]
- Ji, X.; Huang, B.; Wang, G.; Zhang, C. The Ethnobotanical, Phytochemical and Pharmacological Profile of the Genus Pinellia. Fitoterapia. 2014, 93, 1–17. [Google Scholar] [CrossRef]
- Yu, H.; Pan, Y.; Wu, H.; Ge, X.; Cai, B. The Alum-processing Mechanism Attenuating Toxicity of Araceae Pinellia ternata and Pinellia pedatisecta. Arch. Pharmacal Res. 2015, 38, 1810–1821. [Google Scholar] [CrossRef]
- Zhang, Z.; Zhao, Y.; Cheng, X.; Lin, R.; Dai, Z.; Zhou, C. Metabonomic Study of Biochemical Changes in the Rat Urine Induced by Pinellia ternata (thunb.) berit. J. Pharm. Biomed. Anal. 2013, 85, 186–193. [Google Scholar] [CrossRef]
- Chen, J.; Cui, G.; Liu, J.; Tan, R. Pinelloside, An Antimicrobial Cerebroside from Pinellia ternata. Phytochemistry 2003, 64, 903–906. [Google Scholar] [CrossRef]
- Zhang, Y.; Xia, Z.; Li, Q.; Gui, G.; Zhao, G.; Lin, L. Surface Controlled Electrochemical Sensing of Chlorpyrifos in Pinellia ternate Based on A One Step Synthesis of Palladium-reduced Graphene Nanocomposites. J. Electrochem. Soc. 2016, 164, B48–B53. [Google Scholar] [CrossRef]
- Chinese Pharmacopoeia Commission. General Principles of Four Parts of Chinese Pharmacopoeia 2020; China Medical Science and Technology Press: Beijing, China, 2019. [Google Scholar]
- He, Z.; Chen, H.; Liang, L.; Dong, J.; Liang, Z.; Zhao, L. Alteration of Crop Rotation in Continuous Pinellia ternate Cropping Soils Profiled via Fungal ITS Amplicon Sequencing. Lett. Appl. Microbiol. 2019, 68, 522–529. [Google Scholar] [CrossRef]
- Tang, C.; Luo, F.; Zhao, Z.; Hang, Y.; Wang, H.; Cheng, S.; Liu, H. The Allelopathy of Pinellia ternata Decomposed Liquid on 8 Crops and Composition of Allelochemicals. J. Nucl. Agric. Sci. 2018, 32, 1639–1648. (In Chinese) [Google Scholar]
- Tang, C.; Lei, Q.; Luo, F.; Zhao, Z.; Hang, Y.; Wang, H.; Luo, C.; Cheng, S. Allelopathic Effects of Pinellia ternata Extracts on Eight Crops. Guizhou Agric. Sci. 2019, 47, 31–37. (In Chinese) [Google Scholar]
- Xiao, Y.; Luo, F. Analysis of Transcriptome Response to 4-methyl-2,6-di-tert-butylphenol in Pinellia ternate root. Mol. Plant Breed. 2022. Available online: https://kns.cnki.net/kcms/detail/46.1068.S.20220225.0902.006.html (accessed on 2 February 2022). (In Chinese).
- He, Z.; Mao, R.; Dong, J.; Liang, Z.; Zhang, H.; Liu, L. Remediation of Deterioration in Microbial Structure in Continuous Pinellia ternata, Cropping Soil by Crop Rotation. Can. J. Microbiol. 2019, 65, 282–295. [Google Scholar] [CrossRef]
- Zhao, Y.; Qin, X.; Tian, X.; Yang, T.; Huang, J. Effects of Continuous Cropping of Pinellia ternata (Thunb.) Breit. on Soil Physicochemical Properties, Enzyme Activities, Microbial Communities and Functional Genes. Chem. Biol. Technol. Ag. 2021, 8, 43. [Google Scholar] [CrossRef]
- Hang, Y.; Luo, F.; Zhao, Z.; Tang, C.; Cheng, S.; Lin, J. Comprehensive Assessment of Pinellia ternata with Different Intercropping Patterns on Yield and Quality. North. Hortic. 2018, 13, 132–140. [Google Scholar]
- Anitha, A.; Sowmya, S.; Kumar, P.T.S.; Deepthi, S.; Chennazhi, K.P.; Ehrlich, H.; Tsurkan, M.; Jayakumar, R. Chitin and Chitosan in Selected Biomedical Applications. Prog. Polym. Sci. 2014, 39, 1644–1667. [Google Scholar] [CrossRef]
- Malerba, M.; Cerana, R. Chitosan Effects on Plant Systems—A Review. Int. J. Mol. Sci. 2016, 17, 996. [Google Scholar] [CrossRef]
- Dzung, N.A.; Khanh, V.T.P.; Dzung, T.T. Research on Impact of Chitosan Oligomers on Biophysical Characteristics, Growth, Development and Drought Resistance of Coffee. Carbohydr. Polym. 2011, 84, 751–755. [Google Scholar] [CrossRef]
- Chakraborty, M.; Hasanuzzaman, M.; Rahman, M.; Khan, M.; Bhowmik, P.; Mahmud, N.U.; Tanveer, M.; Islam, T. Mechanism of Plant Growth Promotion and Disease Suppression by Chitosan Biopolymer. Agriculture 2020, 10, 624. [Google Scholar] [CrossRef]
- Lopez-Moya, F.; Suarez-Fernandez, M.; Lopez-Llorca, L.V. Molecular Mechanisms of Chitosan Interactions with Fungi and Plants. Int. J. Mol. Sci. 2019, 20, 332. [Google Scholar] [CrossRef]
- Maluin, F.N.; Hussein, M.Z. Chitosan-Based Agronanochemicals as a Sustainable Alternative in Crop Protection. Molecules 2020, 25, 1611. [Google Scholar] [CrossRef]
- Salachna, P.; Zawadzinska, A. Effect of Chitosan on Plant Growth, Flowering and Corms Yield of Potted Freesia. J. Ecol. Eng. 2014, 15, 93–102. [Google Scholar] [CrossRef]
- Saqib, S.; Zaman, W.; Ayaz, A.; Habib, S.; Bahadur, S.; Hussain, S.; Muhammad, S.; Ullah, F. Postharvest disease inhibition in fruit by synthesis and characterization of chitosan iron oxide nanoparticles. Biocatal. Agric. Biotechnol. 2020, 28, 101729. [Google Scholar] [CrossRef]
- Saqib, S.; Zaman, W.; Ullah, F.; Majeed, I.; Munis, M. Organometallic assembling of chitosan-iron oxide nanoparticles with their antifungal evaluation against rhizopus oryzae. Appl. Organomet. Chem. 2019, 33, e5190. [Google Scholar] [CrossRef]
- Pirbalouti, A.G.; Malekpoor, F.; Salimi, A.; Golparvar, A. Exogenous Application of Chitosan on Biochemical and Physiological Characteristics, Phenolic Content and Antioxidant Activity of Two Species of Basil (Ocimum ciliatum and Ocimum basilicum) under reduced irrigation. Sci. Hortic. 2017, 217, 114–122. [Google Scholar] [CrossRef]
- Choudhary, R.C.; Kumaraswamy, R.V.; Kumari, S.; Sharma, S.S.; Pal, A.; Raliya, R.; Biswas, P.; Saharan, V. Cu-chitosan Nanoparticle Boost Defense Responses and Plant Growth in Maize (Zea mays L.). Sci. Rep. 2017, 7, 9754–9765. [Google Scholar] [CrossRef]
- Li, J.; Guo, Z.; Luo, Y.; Wu, X.; An, H. Chitosan Can Induce Rosa roxburghii Tratt. against Sphaerotheca sp. and Enhance Its Resistance, Photosynthesis, Yield, and Quality. Horticulturae 2021, 7, 289. [Google Scholar] [CrossRef]
- Wang, Q.; Li, H.; Lei, Y.; Su, Y.; Long, Y. Chitosan as an Adjuvant to Improve Isopyrazam Azoxystrobin against Leaf Spot Disease of Kiwifruit and Enhance Its Photosynthesis, Quality, and Amino Acids. Agriculture 2022, 12, 373. [Google Scholar] [CrossRef]
- Li, J.; Li, R.; Zhang, C.; Guo, Z.; Wu, X.; An, H. Co-Application of Allicin and Chitosan Increases Resistance of Rosa roxburghii against Powdery Mildew and Enhances Its Yield and Quality. Antibiotics 2021, 10, 1449. [Google Scholar] [CrossRef]
- Pan, L.; Wei, H.; Zhang, H.; Wang, Y. Effects of Chitosan on Seed Germination and Seedling Growth of Trifolium repens under Salt Stress. Mol. Plant Breed. 2018, 16, 3740–3744. [Google Scholar] [CrossRef]
- Li, X.; Liu, R.; Hua, Z. Effects of Chitosan on Seed Germination and Seedling Drought Resistance of Sctellaria baicalensis. Acta Agric. Jiangxi 2020, 32, 75–81. [Google Scholar] [CrossRef]
- Liu, H.; Zheng, Z.; Han, X.; Zhang, C.; Li, H.; Wu, M. Chitosan Soaking Improves Seed Germination of Platycodon Grandiflorus and Enhances Its Growth, Photosynthesis, Resistance, Yield, and Quality. Horticulturae 2022, 8, 943. [Google Scholar] [CrossRef]
- Xiao, Y. Preliminary Study on Continuous Cropping Obstacle of Pinellia ternata and the Effect of Allelochemicals Based on Differentially Expressed Genes. Master’s Thesis, Guizhou University, Guiyang, China, 2022. [Google Scholar]
- Zhang, C.; Li, H.; Wu, X.; Su, Y.; Long, Y. Co-Application of Tetramycin and Chitosan in Controlling Leaf Spot Disease of Kiwifruit and Enhancing Its Resistance, Photosynthesis, Quality and Amino Acids. Biomolecules 2022, 12, 500. [Google Scholar] [CrossRef]
- Zhang, C.; Li, Q.; Li, J.; Su, Y.; Wu, X. Chitosan as an Adjuvant to Enhance the Control Efficacy of Low-Dosage Pyraclostrobin against Powdery Mildew of Rosa roxburghii and Improve Its Photosynthesis, Yield, and Quality. Biomolecules 2022, 12, 1304. [Google Scholar] [CrossRef]
- Vlot, A.C.; Sales, J.H.; Lenk, M.; Bauer, K.; Brambilla, A.; Sommer, A.; Nayem, S. Systemic Propagation of Immunity in Plants. New Phytol. 2020, 229, 1234–1250. [Google Scholar] [CrossRef]
- Emami Bistgani, Z.; Siadat, S.A.; Bakhshandeh, A.; Ghasemi Pirbalouti, A.; Hashemi, M. Interactive Eeffects of Drought Stress and Chitosan Application on Physiological Characteristics and Essential Oil Yield of Thymus daenensis Celak. Crop J. 2017, 5, 407–415. [Google Scholar] [CrossRef]
- Wang, Q.; Zhang, C.; Long, Y.; Wu, X.; Su, Y.; Lei, Y.; Ai, Q. Bioactivity and Control Efficacy of the Novel Antibiotic Tetramycin against Various Kiwifruit Diseases. Antibiotics 2021, 10, 289. [Google Scholar] [CrossRef]
- Zhang, C.; Li, J.; Su, Y.; Wu, X. Association of Physcion and Chitosan Can Efficiently Control Powdery Mildew in Rosa roxburghii. Antibiotics 2022, 11, 1661. [Google Scholar] [CrossRef]
- Zhang, C.; Long, Y.; Li, J.; Li, M.; Xing, D.; An, H.; Wu, X.; Wu, Y. A Chitosan Composite Film Sprayed before Pathogen Infection Effectively Controls Postharvest Soft Rot in Kiwifruit. Agronomy 2020, 10, 265. [Google Scholar] [CrossRef]






| Growing Periods | Treatments | Leaf Area (cm2) | Plant Height (cm) | Stem Diameter (mm) |
|---|---|---|---|---|
| Full seedling period | Ch 0.0 | 8.28 ± 0.07 a | 4.08 ± 0.03 d | 2.08 ± 0.05 a |
| Ch 0.1 | 8.37 ± 0.08 a | 4.16 ± 0.04 d | 2.11 ± 0.06 a | |
| Ch 0.5 | 8.24 ± 0.06 a | 4.86 ± 0.06 c | 2.12 ± 0.03 a | |
| Ch 1.0 | 8.31 ± 0.11 a | 5.15 ± 0.09 b | 2.09 ± 0.05 a | |
| NCC | 8.35 ± 0.07 a | 5.93 ± 0.05 a | 2.14 ± 0.05 a | |
| Vigorous growth period | Ch 0.0 | 10.86 ± 0.36 cd | 6.12 ± 0.24 c | 2.09 ± 0.06 a |
| Ch 0.1 | 11.24 ± 0.06 c | 6.57 ± 0.25 bc | 2.12 ± 0.05 a | |
| Ch 0.5 | 12.88 ± 0.18 c | 6.94 ± 0.09 b | 2.15 ± 0.07 a | |
| Ch 1.0 | 13.36 ± 0.19 b | 7.13 ± 0.18 ab | 2.10 ± 0.03 a | |
| NCC | 15.06 ± 0.15 a | 7.68 ± 0.14 a | 2.16 ± 0.05 a | |
| Inverted seedling period | Ch 0.0 | 12.92 ± 0.22 d | 6.72 ± 0.16 d | 2.13 ± 0.06 a |
| Ch 0.1 | 13.16 ± 0.28 cd | 6.89 ± 0.07 cd | 2.16 ± 0.07 a | |
| Ch 0.5 | 13.75 ± 0.24 bc | 7.18 ± 0.15 c | 2.18 ± 0.06 a | |
| Ch 1.0 | 14.09 ± 0.17 b | 7.51 ± 0.10 b | 2.21 ± 0.04 a | |
| NCC | 15.13 ± 0.20 a | 8.04 ± 0.11 a | 2.24 ± 0.05 a |
| Treatments | Seed Weight (kg per 667 m2) | Medicinal Material Weight (kg per 667 m2) | Total Yield (kg per 667 m2) |
|---|---|---|---|
| Ch 0.0 | 23.65 ± 1.09 e | 78.89 ± 2.02 e | 102.54 ± 3.73 e |
| Ch 0.1 | 27.56 ± 1.69 d | 85.69 ± 2.07 d | 113.25 ± 2.99 d |
| Ch 0.5 | 36.68 ± 0.73 c | 117.60 ± 1.92 c | 154.28 ± 5.28 c |
| Ch 1.0 | 46.86 ± 0.73 b | 158.52 ± 1.96 b | 205.38 ± 4.40 b |
| NCC | 54.64 ± 1.56 a | 190.98 ± 1.49 a | 245.62 ± 2.94 a |
| Parameters | Amount | Parameters | Amount |
|---|---|---|---|
| Average altitude | 1140 m | Available nitrogen | 58.19 mg kg−1 |
| Average temperature | 16.0 °C | Available phosphorus | 4.35 mg kg−1 |
| Annual sunshine | 1188.7 h | Available potassium | 27.04 mg kg−1 |
| Annual rainfall | 1335.6 mm | Exchangeable calcium | 18.66 cmol kg−1 |
| pH | 6.46 | Exchangeable magnesium | 311.32 mg kg−1 |
| Organic matter | 14.51 g kg−1 | Available zinc | 0.65 mg kg−1 |
| Total nitrogen | 1.42 g kg−1 | Available iron | 6.67 mg kg−1 |
| Total phosphorus | 1.65 g kg−1 | Available manganese | 15.18 mg kg−1 |
| Total potassium | 1.13 g kg−1 | Available boron | 0.13 mg kg−1 |
Disclaimer/Publisher’s Note: The statements, opinions and data contained in all publications are solely those of the individual author(s) and contributor(s) and not of MDPI and/or the editor(s). MDPI and/or the editor(s) disclaim responsibility for any injury to people or property resulting from any ideas, methods, instructions or products referred to in the content. |
© 2023 by the authors. Licensee MDPI, Basel, Switzerland. This article is an open access article distributed under the terms and conditions of the Creative Commons Attribution (CC BY) license (https://creativecommons.org/licenses/by/4.0/).
Share and Cite
Chen, F.; Li, Q.; Su, Y.; Lei, Y.; Zhang, C. Chitosan Spraying Enhances the Growth, Photosynthesis, and Resistance of Continuous Pinellia ternata and Promotes Its Yield and Quality. Molecules 2023, 28, 2053. https://doi.org/10.3390/molecules28052053
Chen F, Li Q, Su Y, Lei Y, Zhang C. Chitosan Spraying Enhances the Growth, Photosynthesis, and Resistance of Continuous Pinellia ternata and Promotes Its Yield and Quality. Molecules. 2023; 28(5):2053. https://doi.org/10.3390/molecules28052053
Chicago/Turabian StyleChen, Fengfeng, Qinju Li, Yue Su, Yang Lei, and Cheng Zhang. 2023. "Chitosan Spraying Enhances the Growth, Photosynthesis, and Resistance of Continuous Pinellia ternata and Promotes Its Yield and Quality" Molecules 28, no. 5: 2053. https://doi.org/10.3390/molecules28052053
APA StyleChen, F., Li, Q., Su, Y., Lei, Y., & Zhang, C. (2023). Chitosan Spraying Enhances the Growth, Photosynthesis, and Resistance of Continuous Pinellia ternata and Promotes Its Yield and Quality. Molecules, 28(5), 2053. https://doi.org/10.3390/molecules28052053
