Fatty Acid and Multi-Isotopic Analysis (C, H, N, O) as a Tool to Differentiate and Valorise the Djebel Lamb from the Mountainous Region of Tunisia
Abstract
1. Introduction
2. Results and Discussion
2.1. Fatty Acid Profile
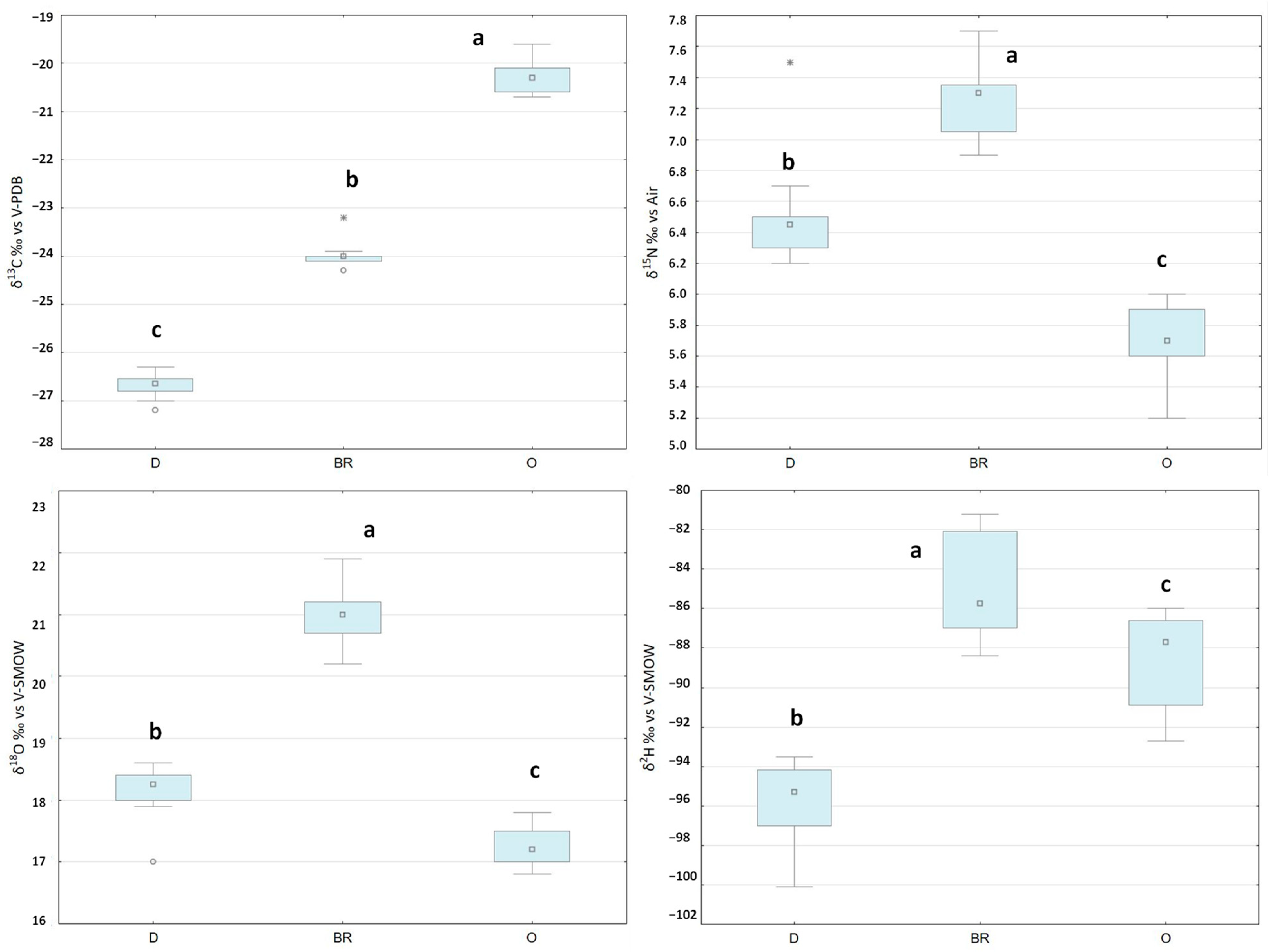
2.2. Stable Isotope Ratio Analysis
2.2.1. Carbon and Nitrogen Stable Isotopes
2.2.2. Oxygen and Hydrogen Stable Isotopes
2.2.3. Principal Component Analysis
3. Materials and Methods
3.1. Animals and Rearing Systems
3.2. Measurements and Analysis
3.2.1. Slaughter and Sampling Procedures
3.2.2. Fatty Acid Analysis
3.2.3. Isotope Analysis
3.2.4. Statistical Analysis
4. Conclusions
Author Contributions
Funding
Institutional Review Board Statement
Informed Consent Statement
Data Availability Statement
Conflicts of Interest
References
- Font i Furnols, M.; Realini, C.; Montossi, F.; Sañudo, C.; Campo, M.M.; Oliver, M.A.; Nute, G.R.; Guerrero, L. Consumer’s Purchasing Intention for Lamb Meat Affected by Country of Origin, Feeding System and Meat Price: A Conjoint Study in Spain, France and United Kingdom. Food Qual. Prefer. 2011, 22, 443–451. [Google Scholar] [CrossRef]
- Ådnøy, T.; Haug, A.; Sørheim, O.; Thomassen, M.S.; Varszegi, Z.; Eik, L.O. Grazing on Mountain Pastures-Does It Affect Meat Quality in Lambs? Livest. Prod. Sci. 2005, 94, 25–31. [Google Scholar] [CrossRef]
- Cox, R.B.; Kerth, C.R.; Gentry, J.G.; Prevatt, J.W.; Braden, K.W.; Jones, W.R. Determining Acceptance of Domestic Forage- or Grain-Finished Beef by Consumers from Three Southeastern U.S. States. J. Food Sci. 2006, 71, S542–S546. [Google Scholar] [CrossRef]
- Selmi, S.; Alary, V.; Elloumi, M. Engraissement et commercialisation des ovins: Le role de l’Aïd El Idha dans les stratégies des éleveurs de la communauté de Zoghmar-Sidi Bouzid-Tunisie. New Medit 2004, 2, 21–27. [Google Scholar]
- Smeti, S.; Mahouachi, M.; Atti, N. Effects of Finishing Lambs in Rich Aromatic Plant Pasture or in Feedlot on Growth and Meat Quality. J. Appl. Anim. Res. 2014, 42, 297–303. [Google Scholar] [CrossRef]
- Sañudo, C.; Alfonso, M.; San Julián, R.; Thorkelsson, G.; Valdimarsdottir, T.; Zygoyiannis, D.; Stamataris, C.; Piasentier, E.; Mills, C.; Berge, P.; et al. Regional Variation in the Hedonic Evaluation of Lamb Meat from Diverse Production Systems by Consumers in Six European Countries. Meat Sci. 2007, 75, 610–621. [Google Scholar] [CrossRef] [PubMed]
- Slimeni, O. Etude de La Qualité de La Viande de Chevreaux Provenant de Deux Zones Différentes Du Nord-Ouest. Master’s Thesis, Université de Carthage, Tunis, Tunisia, 2013. [Google Scholar]
- Hajji, H.; Prache, S.; Andueza, D.; Smeti, S.; Mahouachi, M.; Atti, N. Reliability of Visible Reflectance Spectroscopy in Discriminating between Pasture and Stall Fed Lambs from Thin and Fat Tailed Sheep Breeds in Dry and Hot Environment. Animal 2019, 13, 2669–2678. [Google Scholar] [CrossRef] [PubMed]
- Monahan, F.J.; Schmidt, O.; Moloney, A.P. Meat Provenance: Authentication of Geographical Origin and Dietary Background of Meat. Meat Sci. 2018, 144, 2–14. [Google Scholar] [CrossRef] [PubMed]
- Pianezze, S.; Camin, F.; Perini, M.; Corazzin, M.; Piasentier, E. Tracing Lamb Meat with Stable Isotope Ratio Analysis: A Review. Small Rumin. Res. 2021, 203, 106482. [Google Scholar] [CrossRef]
- Perini, M.; Camin, F.; Bontempo, L.; Rossmann, A.; Piasentier, E. Multielement (H,C,N,O,S) Stable Isotope Characteristics of Lamb Meat from Different Italian Regions. Rapid Commun. Mass Spectrom. 2009, 23, 2573–2585. [Google Scholar] [CrossRef]
- Camin, F.; Bontempo, L.; Heinrich, K.; Horacek, M.; Kelly, S.D.; Schlicht, C.; Thomas, F.; Monahan, F.J.; Hoogewerff, J.; Rossmann, A. Multi-Element (H, C, N, S) Stable Isotope Characteristics of Lamb Meat from Different European Regions. Anal. Bioanal. Chem. 2007, 389, 309–320. [Google Scholar] [CrossRef] [PubMed]
- Piasentier, E.; Valusso, R.; Camin, F.; Versini, G. Stable Isotope Ratio Analysis for Authentication of Lamb Meat. Meat Sci. 2003, 64, 239–247. [Google Scholar] [CrossRef] [PubMed]
- Camin, F.; Bontempo, L.; Perini, M.; Piasentier, E. Stable Isotope Ratio Analysis for Assessing the Authenticity of Food of Animal Origin. Compr. Rev. Food Sci. Food Saf. 2016, 15, 868–877. [Google Scholar] [CrossRef] [PubMed]
- Moloney, A.P.; O’Riordan, E.G.; Schmidt, O.; Monahan, F.J. The Fatty Acid Profile and Stable Isotope Ratios of C and N of Muscle from Cattle That Grazed Grass or Grass/clover Pastures before Slaughter and Their Discriminatory Potential. Irish J. Agric. Food Res. 2018, 57, 84–94. [Google Scholar] [CrossRef]
- Vasilev, D.; Dimovska, N.; Hajrulai-Musliu, Z.; Teodorović, V.; Nikolić, A.; Karabasil, N.; Dimitrijević, M.; Mirilović, M. Fatty Acid Profile as a Discriminatory Tool for the Origin of Lamb Muscle and Adipose Tissue from Different Pastoral Grazing Areas in North Macedonia-A Short Communication. Meat Sci. 2020, 162, 108020. [Google Scholar] [CrossRef]
- Chikwanha, O.C.; Vahmani, P.; Muchenje, V.; Dugan, M.E.R.; Mapiye, C. Nutritional Enhancement of Sheep Meat Fatty Acid Profile for Human Health and Wellbeing. Food Res. Int. 2018, 104, 25–38. [Google Scholar] [CrossRef]
- Atti, N.; Methlouthi, N.; Saidi, C.; Mahouachi, M. Effects of Extruded Linseed on Muscle Physicochemical Characteristics and Fatty Acid Composition of Lambs. J. Appl. Anim. Res. 2013, 41, 404–409. [Google Scholar] [CrossRef]
- Mekki, I.; Smeti, S.; Hajji, H.; Yagoubi, Y.; Mahouachi, M.; Atti, N. Effect of oak acorn (Quercus ilex) intake during suckling and fattening of Barbarine lambs on growth, meat quality and fatty acid profile. J. Anim. Feed Sci. 2019, 28, 22–30. [Google Scholar] [CrossRef]
- French, P.; Stanton, C.; Lawless, F.; O’Riordan, E.G.; Monahan, F.J.; Caffrey, P.J.; Moloney, A.P. Fatty Acid Composition, Including Conjugated Linoleic Acid, of Intramuscular Fat from Steers Offered Grazed Grass, Grass Silage, or Concentrate-Based Diets. J. Anim. Sci. 2000, 78, 2849–2855. [Google Scholar] [CrossRef]
- Hajji, H.; Joy, M.; Ripoll, G.; Smeti, S.; Mekki, I.; Gahete, F.M.; Mahouachi, M.; Atti, N. Meat Physicochemical Properties, Fatty Acid Profile, Lipid Oxidation and Sensory Characteristics from Three North African Lamb Breeds, as Influenced by Concentrate or Pasture Finishing Diets. J. Food Comp. Ana. 2016, 48, 102–110. [Google Scholar] [CrossRef]
- Lee, M.R.F. Forage Polyphenol Oxidase and Ruminant Livestock Nutrition. Front. Plant Sci. 2014, 5, 694. [Google Scholar] [CrossRef]
- Brzozowska, A.M.; Oprządek, J. Metabolism of Fatty Acids in Tissues and Organs of the Ruminants—A Review. Anim. Sci. Pap. Rep. 2016, 34, 211–220. [Google Scholar]
- Scollan, N.; Hocquette, J.-F.; Nuernberg, K.; Dannenberger, D.; Richardson, I.; Moloney, A. Innovations in Beef Production Systems That Enhance the Nutritional and Health Value of Beef Lipids and Their Relationship with Meat Quality. Meat Sci. 2006, 74, 17–33. [Google Scholar] [CrossRef]
- Vlaeminck, B.; Fievez, V.; Cabrita, A.R.J.; Fonseca, A.J.M.; Dewhurst, R.J. Factors Affecting Odd- and Branched-Chain Fatty Acids in Milk: A Review. Anim. Feed Sci. Technol. 2006, 131, 389–417. [Google Scholar] [CrossRef]
- Gómez-Cortés, P.; Requena Domenech, F.; Correro Rueda, M.; de la Fuente, M.Á.; Schiavone, A.; Martínez Marín, A.L. Odd- and Branched-Chain Fatty Acids in Lamb Meat as Potential Indicators of Fattening Diet Characteristics. Foods 2021, 10, 77. [Google Scholar] [CrossRef] [PubMed]
- Acciaro, M.; Decandia, M.; Sitzia, M.; Manca, C.; Giovanetti, V.; Cabiddu, A.; Addis, M.; Rassu, S.P.G.; Molle, G.; Dimauro, C. Discriminant Analysis as a Tool to Identify Bovine and Ovine Meat Produced from Pasture or Stall-Fed Animals. Ital. J. Anim. Sci. 2020, 19, 1065–1070. [Google Scholar] [CrossRef]
- Alfaia, C.P.M.; Alves, S.P.; Martins, S.I.V.; Costa, A.S.H.; Pc, F.C.M.L.; Bessa, R.J.B.; Prates, J.A.M. Effect of the Feeding System on Intramuscular Fatty Acids and Conjugated Linoleic Acid Isomers of Beef Cattle, with Emphasis on Their Nutritional Value and Discriminatory Ability. Food Chem. 2009, 114, 939–946. [Google Scholar] [CrossRef]
- Smeti, S.; Hajji, H.; Mekki, I.; Mahouachi, M.; Atti, N. Effects of Dose and Administration Form of Rosemary Essential Oils on Meat Quality and Fatty Acid Profile of Lamb. Small Rumin. Res. 2018, 158, 62–68. [Google Scholar] [CrossRef]
- Molkentin, J.; Giesemann, A. Follow-up of Stable Isotope Analysis of Organic versus Conventional Milk. Anal. Bioanal. Chem. 2010, 398, 1493–1500. [Google Scholar] [CrossRef]
- Mekki, I.; Camin, F.; Perini, M.; Smeti, S.; Hajji, H.; Mahouachi, M.; Piasentier, E.; Atti, N. Differentiating the Geographical Origin of Tunisian Indigenous Lamb Using Stable Isotope Ratio and Fatty Acid Content. J. Food Compost. Anal. 2016, 53, 40–48. [Google Scholar] [CrossRef]
- Sacco, D.; Brescia, M.A.; Buccolieri, A.; Caputi Jambrenghi, A. Geographical Origin and Breed Discrimination of Apulian Lamb Meat Samples by Means of Analytical and Spectroscopic Determinations. Meat Sci. 2005, 71, 542–548. [Google Scholar] [CrossRef]
- Moreno-Rojas, J.M.; Tulli, F.; Messina, M.; Tibaldi, E.; Guillou, C. Stable Isotope Ratio Analysis as a Tool to Discriminate between Rainbow Trout (O. Mykiss) Fed Diets Based on Plant or Fish-Meal Proteins. Rapid Commun. Mass Spectrom. 2008, 22, 3706–3710. [Google Scholar] [CrossRef]
- Sun, S.; Guo, B.; Wei, Y.; Fan, M. Classification of Geographical Origins and Prediction of δ13C and δ15N Values of Lamb Meat by near Infrared Reflectance Spectroscopy. Food Chem. 2012, 135, 508–514. [Google Scholar] [CrossRef]
- Bateman, A.S.; Kelly, S.D.; Woolfe, M. Nitrogen Isotope Composition of Organically and Conventionally Grown Crops. J. Agric. Food Chem. 2007, 55, 2664–2670. [Google Scholar] [CrossRef]
- Rossmann, A.; Haberhauer, G.; Hölzl, S.; Horn, P.; Pichlmayer, F.; Voerkelius, S. The Potential of Multielement Stable Isotope Analysis for Regional Origin Assignment of Butter. Eur. Food Res. Technol. 2000, 211, 32201340. [Google Scholar] [CrossRef]
- Erasmus, S.W.; Muller, M.; van der Rijst, M.; Hoffman, L.C. Stable Isotope Ratio Analysis: A Potential Analytical Tool for the Authentication of South African Lamb Meat. Food Chem. 2016, 192, 997–1005. [Google Scholar] [CrossRef]
- Sun, S.; Guo, B.; Wei, Y. Origin Assignment by Multi-Element Stable Isotopes of Lamb Tissues. Food Chem. 2016, 213, 675–681. [Google Scholar] [CrossRef]
- Biondi, L.; D’Urso, M.G.; Vasta, V.; Luciano, G.; Scerra, M.; Priolo, A.; Ziller, L.; Bontempo, L.; Caparra, P.; Camin, F. Stable Isotope Ratios of Blood Components and Muscle to Trace Dietary Changes in Lambs. Animal 2013, 7, 1559–1566. [Google Scholar] [CrossRef]
- Folch, J.; Lees, M.; Sloane Stanley, G.H. A Simple Method for the Isolation and Purification of Total Lipides from Animal Tissues. J. Biol. Chem. 1957, 226, 497–509. [Google Scholar] [CrossRef]
- Camin, F.; Wietzerbin, K.; Cortes, A.B.; Haberhauer, G.; Lees, M.; Versini, G. Application of Multielement Stable Isotope Ratio Analysis to the Characterization of French, Italian, and Spanish Cheeses. J. Agric. Food Chem. 2004, 52, 6592–6601. [Google Scholar] [CrossRef]
- Galimov, E.M. Causes of Fractionation of Isotopes. In The Biological Fractionation of Isotopes; Academic Press: Cambridge, MA, USA, 1985; pp. 1–15. [Google Scholar]
- Coplen, T.B. Guidelines and Recommended Terms for Expression of Stable-Isotope-Ratio and Gas-Ratio Measurement Results. Rapid Commun. Mass Spectrom. 2011, 25, 2538–2560. [Google Scholar] [CrossRef] [PubMed]


| Djebel | BouRebiaa | Ouesslatia | SEM | p Value | |
|---|---|---|---|---|---|
| C10:0 | 0.410 | 0.424 | 0.289 | 0.056 | 0.1976 | 
| C12:0 | 0.976 A | 0.926 A | 0.113 B | 0.087 | 0.0001 | 
| C13:0 | 0.036 A | 0.037 A | 0.014 B | 0.003 | 0.0001 | 
| C14:0 | 7.251 A | 6.803 A | 2.355 B | 0.299 | 0.0001 | 
| C15:0 | 1.411 A | 1.247 A | 0.376 B | 0.060 | 0.0001 | 
| C16:0 | 27.86 B | 28.22 AB | 29.44 A | 0.447 | 0.0485 | 
| C17:0 | 2.968 A | 2.833 A | 1.843 B | 0.091 | 0.0001 | 
| C18:0 | 16.510 B | 16.103 B | 20.700 A | 0.480 | 0.0001 | 
| C20:0 | 0.084 A | 0.066 B | 0.039 C | 0.005 | 0.0001 | 
| C14:1 | 0.236 A | 0.230 A | 0.036 B | 0.010 | 0.0001 | 
| C16:1 | 1.735 A | 1.643 A | 1.179 B | 0.059 | 0.0001 | 
| C17:1 | 0.587 B | 0.697 A | 0.505 C | 0.021 | 0.0001 | 
| C18:1t | 5.023 A | 3.390 B | 1.512 C | 0.239 | 0.0001 | 
| C18:1n-9c | 25.45 B | 27.52 B | 32.33 A | 0.718 | 0.0001 | 
| C18:1n-7 | 0.515 C | 0.640 B | 0.949 A | 0.035 | 0.0001 | 
| C18:1-11t | 0.561 A | 0.406 B | 0.066 C | 0.025 | 0.0001 | 
| C18:1-10t | 0.205 A | 0.131 B | 0.047 C | 0.014 | 0.0001 | 
| C18:2n-6 | 2.446 B | 2.911 AB | 3.740 A | 0.303 | 0.0180 | 
| C18:3n-3 | 1.204 A | 0.943 A | 0.104 B | 0.100 | 0.0001 | 
| Cis-9-trans-11-CLA | 1.054 A | 0.807 B | 0.156 C | 0.051 | 0.0001 | 
| C20:2n-6 | 0.129 A | 0.068 B | 0.023 C | 0.007 | 0.0001 | 
| C20:3n-6 | 0.034 B | 0.062 B | 0.183 A | 0.014 | 0.0001 | 
| C20:3n-3 | 0.0272 B | 0.041 B | 0.081 A | 0.006 | 0.0001 | 
| C20:4n-6 ARA | 0.364 C | 0.718 B | 1.812 A | 0.121 | 0.0001 | 
| C20:5n-3 EPA | 0.151 A | 0.191 A | 0.049 B | 0.030 | 0.0071 | 
| C22:5n-3 DPA | 0.229 B | 0.371 A | 0.299 AB | 0.043 | 0.0773 | 
| ∑ BCFA | 2.753 A | 2.470 B | 1.199C | 0.086 | 0.0001 | 
| ∑ CLA | 1.105 A | 0.835 B | 0.156 C | 0.055 | 0.0001 | 
| ∑ SFA | 54.92 | 54.31 | 53.99 | 0.682 | 0.6282 | 
| ∑ MUFA | 34.43 B | 34.78 B | 36.82 A | 0.607 | 0.0210 | 
| ∑ PUFA | 6.916 B | 7.045 B | 6.709 A | 0.443 | 0.0004 | 
| ∑ PUFA n-6 | 4.200 B | 4.664 B | 6.021 A | 0.396 | 0.0086 | 
| ∑ PUFA n-3 | 1.610 A | 1.546 A | 0.532 B | 0.164 | 0.0001 | 
| n-6/n-3 ratio | 2.882 B | 3.284 B | 11.45 A | 0.537 | 0.0001 | 
| Disclaimer/Publisher’s Note: The statements, opinions and data contained in all publications are solely those of the individual author(s) and contributor(s) and not of MDPI and/or the editor(s). MDPI and/or the editor(s) disclaim responsibility for any injury to people or property resulting from any ideas, methods, instructions or products referred to in the content. | 
© 2023 by the authors. Licensee MDPI, Basel, Switzerland. This article is an open access article distributed under the terms and conditions of the Creative Commons Attribution (CC BY) license (https://creativecommons.org/licenses/by/4.0/).
Share and Cite
Smeti, S.; Camin, F.; Bontempo, L.; Tibaoui, S.; Yagoubi, Y.; Pianezze, S.; Piasentier, E.; Ziller, L.; Atti, N. Fatty Acid and Multi-Isotopic Analysis (C, H, N, O) as a Tool to Differentiate and Valorise the Djebel Lamb from the Mountainous Region of Tunisia. Molecules 2023, 28, 1847. https://doi.org/10.3390/molecules28041847
Smeti S, Camin F, Bontempo L, Tibaoui S, Yagoubi Y, Pianezze S, Piasentier E, Ziller L, Atti N. Fatty Acid and Multi-Isotopic Analysis (C, H, N, O) as a Tool to Differentiate and Valorise the Djebel Lamb from the Mountainous Region of Tunisia. Molecules. 2023; 28(4):1847. https://doi.org/10.3390/molecules28041847
Chicago/Turabian StyleSmeti, Samir, Federica Camin, Luana Bontempo, Souha Tibaoui, Yathreb Yagoubi, Silvia Pianezze, Edi Piasentier, Luca Ziller, and Naziha Atti. 2023. "Fatty Acid and Multi-Isotopic Analysis (C, H, N, O) as a Tool to Differentiate and Valorise the Djebel Lamb from the Mountainous Region of Tunisia" Molecules 28, no. 4: 1847. https://doi.org/10.3390/molecules28041847
APA StyleSmeti, S., Camin, F., Bontempo, L., Tibaoui, S., Yagoubi, Y., Pianezze, S., Piasentier, E., Ziller, L., & Atti, N. (2023). Fatty Acid and Multi-Isotopic Analysis (C, H, N, O) as a Tool to Differentiate and Valorise the Djebel Lamb from the Mountainous Region of Tunisia. Molecules, 28(4), 1847. https://doi.org/10.3390/molecules28041847
 
        


 
       