Design, Synthesis, and Biological Evaluation of Benzimidazole Derivatives as Potential Lassa Virus Inhibitors
Abstract
1. Introduction
2. Results
2.1. Chemistry
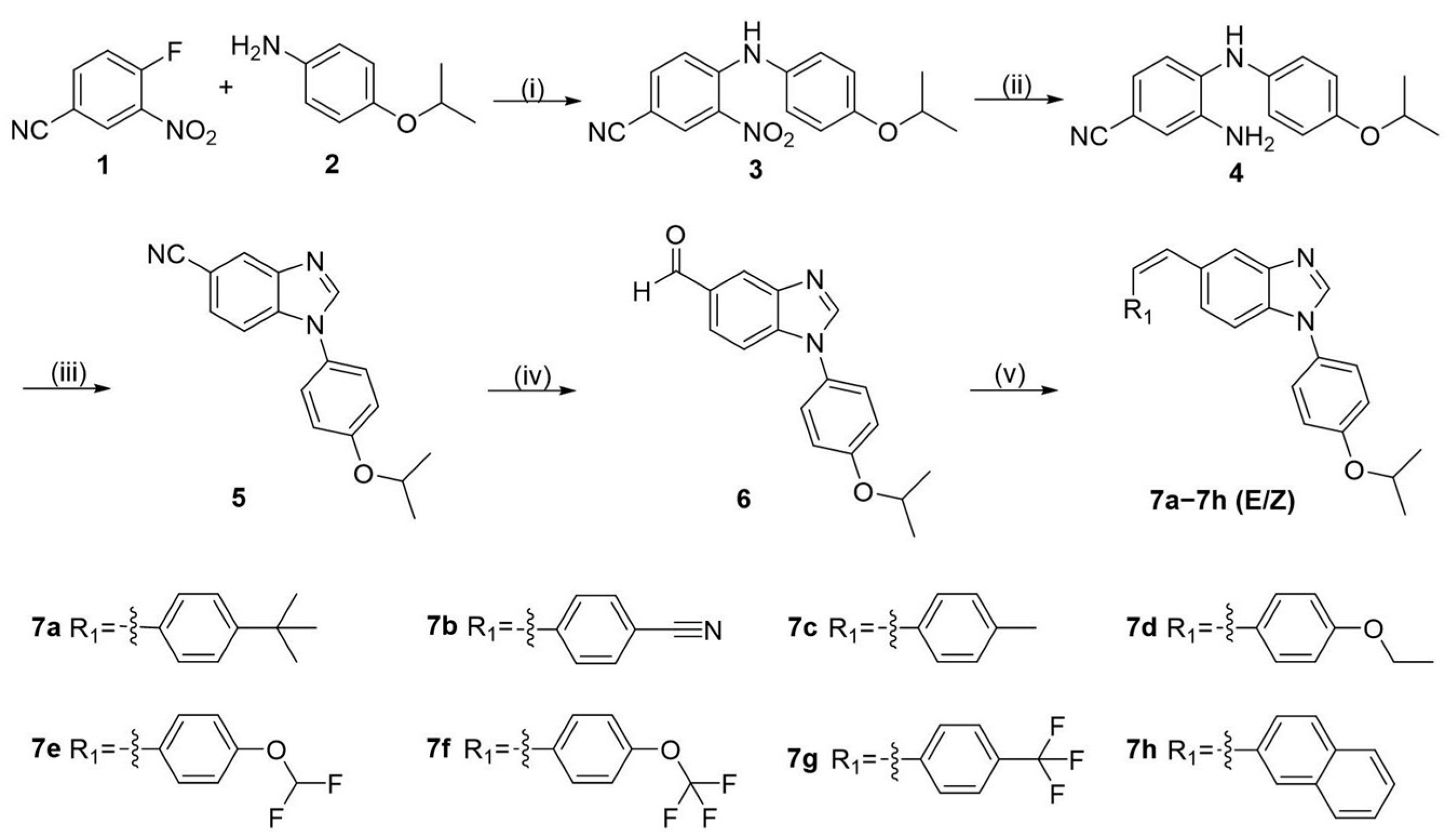
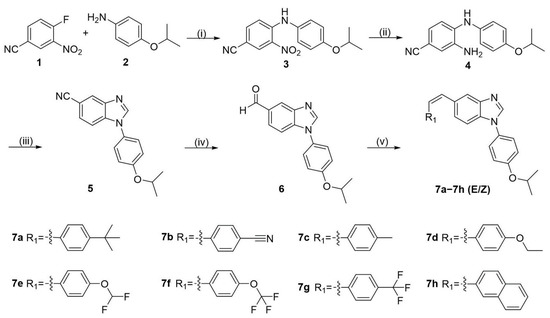
2.1.1. Synthesis of 5-vinyl-benzo[d]imidazole Derivatives 7a−7h(E/Z)
2.1.2. Synthesis of 5-amino-benzo[d]imidazole Derivatives 13a−13j
2.2. Biochemical Assays
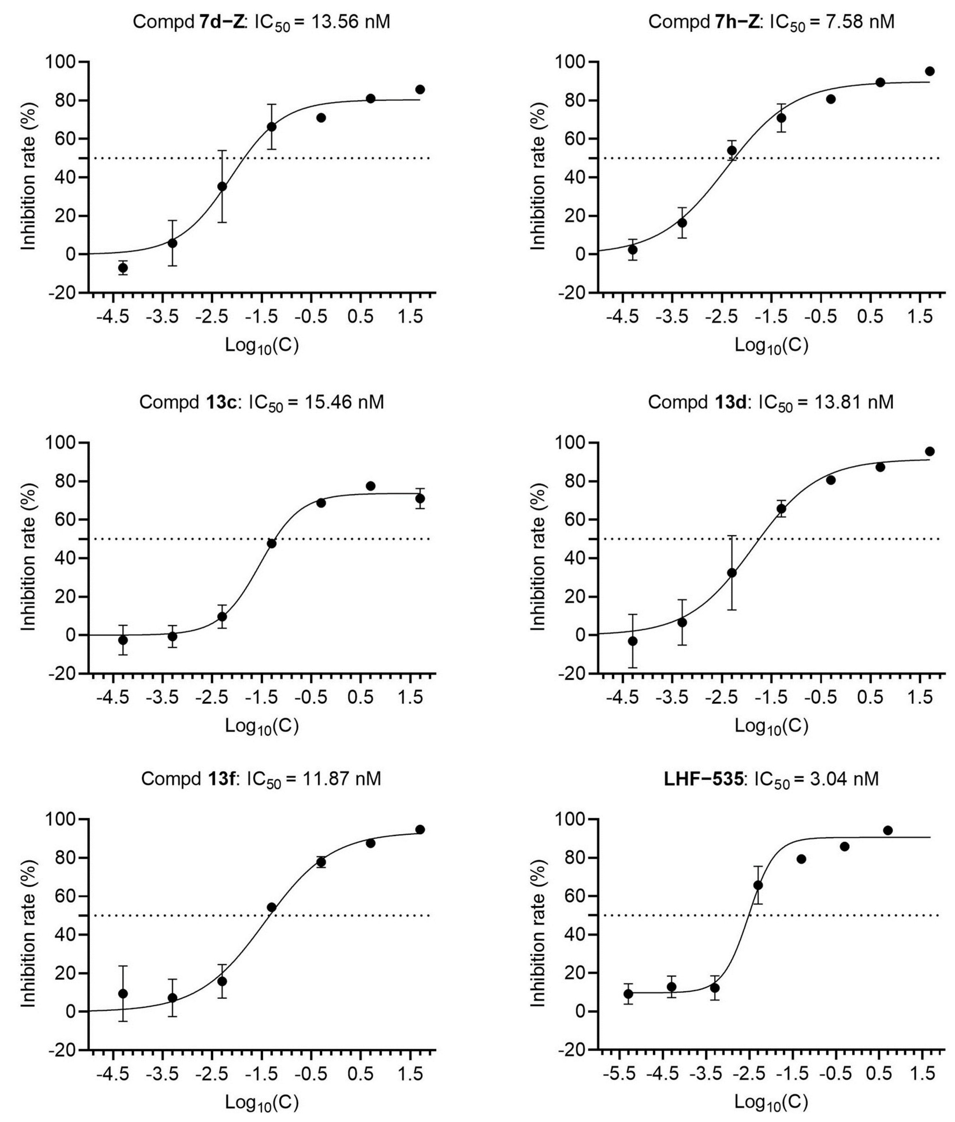
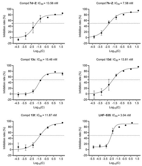
2.3. Initial Inhibitory and Structural Analysis of Benzimidazole Derivatives
2.4. SPR-Based Binding Assay for Compounds to GP2
3. Materials and Methods
3.1. Chemistry
3.1.1. Chemicals and Instruments
3.1.2. Synthesis of 5-vinyl-benzo[d]imidazole Derivatives
3.1.3. General Procedure for Synthesis of Compounds 7a−7h(E/Z)
3.1.4. General Procedure for Synthesis of Compounds 13a−13j
3.2. Determining the Antiviral Activities of Compounds
3.2.1. Cells, Viruses, and Compounds
3.2.2. Cytotoxicity Evaluation
3.2.3. LASVpv Infections and Inhibition Assays
3.3. Surface Plasmon Resonance (SPR) Studies
3.3.1. Ligand Protein Immobilization
3.3.2. Screening and Kinetic Analysis
4. Conclusions
Supplementary Materials
Author Contributions
Funding
Institutional Review Board Statement
Informed Consent Statement
Data Availability Statement
Acknowledgments
Conflicts of Interest
Sample Availability
References
- WHO Health Topics (Lassa Fever) Introduction to Lassa Fever. Available online: https://www.who.int/health-topics/lassa-fever/ (accessed on 25 December 2022).
- Brouwer, P.J.M.; AntanasiJevic, A.; Ronk, A.J.; Müller-Kräuter, H.; Watanabe, Y.; Claireaux, M.; Perrett, H.R.; BiJl, T.P.L.; Grobben, M.; Umotoy, J.C.; et al. Lassa virus glycoprotein nanoparticles elicit neutralizing antibody responses and protection. Cell Host Microbe 2022, 30, 1759–1772. [Google Scholar] [CrossRef]
- Ibekwe, T.S.; Okokhere, P.O.; Asogun, D.; Blackie, F.F.; Nwegbu, M.M.; Wahab, K.W.; Omilabu, S.A.; Akpede, G.O. Early-onset sensorineural hearing loss in Lassa fever. Eur. Arch. Otorhinolaryngol. 2011, 268, 197–201. [Google Scholar] [CrossRef] [PubMed]
- Cummins, D.; McCormick, J.B.; Bennett, D.; Samba, J.A.; Farrar, B.; Machin, S.J.; Fisher-Hoch, S.P. Acute sensorineural deafness in Lassa fever. Jama 1990, 264, 2093–2096. [Google Scholar] [CrossRef] [PubMed]
- Macher, A.M.; Wolfe, M.S. Historical Lassa fever reports and 30-year clinical update. Emerg. Infect. Dis. 2006, 12, 835–837. [Google Scholar] [CrossRef] [PubMed]
- Idemyor, V. Lassa virus infection in Nigeria: Clinical perspective overview. J. Natl. Med. Assoc. 2010, 102, 1243–1246. [Google Scholar] [CrossRef]
- Borio, L.; Inglesby, T.; Peters, C.J.; SchmalJohn, A.L.; Hughes, J.M.; Jahrling, P.B.; Ksiazek, T.; Johnson, K.M.; Meyerhoff, A.; O’Toole, T.; et al. Hemorrhagic fever viruses as biological weapons: Medical and public health management. Jama 2002, 287, 2391–2405. [Google Scholar] [CrossRef]
- Cashman, K.A.; Wilkinson, E.R.; Posakony, J.; Madu, I.G.; Tarcha, E.J.; Lustig, K.H.; Korth, M.J.; Bedard, K.M.; Amberg, S.M. Lassa antiviral LHF-535 protects guinea pigs from lethal challenge. Sci. Rep. 2022, 12, 19911. [Google Scholar] [CrossRef]
- Bederka, L.H.; Bonhomme, C.J.; Ling, E.L.; Buchmeier, M.J. Arenavirus stable signal peptide is the keystone subunit for glycoprotein complex organization. mBio 2014, 5, e02063. [Google Scholar] [CrossRef]
- Pennington, H.N.; Lee, J. Lassa virus glycoprotein complex review: Insights into its unique fusion machinery. Biosci. Rep. 2022, 42, BSR20211930. [Google Scholar] [CrossRef] [PubMed]
- Acciani, M.; Alston, J.T.; Zhao, G.; Reynolds, H.; Ali, A.M.; Xu, B.; Brindley, M.A. Mutational Analysis of Lassa Virus Glycoprotein Highlights Regions Required for Alpha-Dystroglycan Utilization. J. Virol. 2017, 91, e00574-17. [Google Scholar] [CrossRef]
- Jae, L.T.; Raaben, M.; Herbert, A.S.; Kuehne, A.I.; Wirchnianski, A.S.; Soh, T.K.; Stubbs, S.H.; Janssen, H.; Damme, M.; Saftig, P.; et al. Virus entry. Lassa virus entry requires a trigger-induced receptor switch. Science 2014, 344, 1506–1510. [Google Scholar] [CrossRef] [PubMed]
- Igonet, S.; Vaney, M.C.; Vonrhein, C.; Bricogne, G.; Stura, E.A.; Hengartner, H.; Eschli, B.; Rey, F.A. X-ray structure of the arenavirus glycoprotein GP2 in its postfusion hairpin conformation. Proc. Natl. Acad. Sci. USA 2011, 108, 19967–19972. [Google Scholar] [CrossRef]
- Messina, E.L.; York, J.; Nunberg, J.H. Dissection of the role of the stable signal peptide of the arenavirus envelope glycoprotein in membrane fusion. J. Virol. 2012, 86, 6138–6145. [Google Scholar] [CrossRef]
- Burri, D.J.; Pasquato, A.; da Palma, J.R.; Igonet, S.; Oldstone, M.B.; Kunz, S. The role of proteolytic processing and the stable signal peptide in expression of the Old World arenavirus envelope glycoprotein ectodomain. Virology 2013, 436, 127–133. [Google Scholar] [CrossRef] [PubMed]
- U.S. Department of Health and Human Services, Centers for Disease Control and Prevention. Biosafety in Microbiological and Biomedical Laboratories, 6th ed.; U.S. Department of Health and Human Services: Washington, DC, USA, 2020; pp. 320–357.
- Tani, H.; Iha, K.; ShimoJima, M.; Fukushi, S.; Taniguchi, S.; Yoshikawa, T.; Kawaoka, Y.; Nakasone, N.; Ninomiya, H.; SaiJo, M.; et al. Analysis of LuJo virus cell entry using pseudotype vesicular stomatitis virus. J. Virol. 2014, 88, 7317–7330. [Google Scholar] [CrossRef]
- Larson, R.A.; Dai, D.; Hosack, V.T.; Tan, Y.; Bolken, T.C.; Hruby, D.E.; Amberg, S.M. Identification of a broad-spectrum arenavirus entry inhibitor. J. Virol. 2008, 82, 10768–10775. [Google Scholar] [CrossRef]
- Liu, Y.; Guo, J.; Cao, J.; Zhang, G.; Jia, X.; Wang, P.; Xiao, G.; Wang, W. Screening of Botanical Drugs against Lassa Virus Entry. J. Virol. 2021, 95, e02429-20. [Google Scholar] [CrossRef]
- Houlihan, C.; Behrens, R. Lassa fever. Bmj 2017, 358, j2986. [Google Scholar] [CrossRef] [PubMed]
- Garry, R.F. Lassa fever—The road ahead. Nat. Rev. Microbiol. 2023, 21, 87–96. [Google Scholar] [CrossRef]
- Pushpakom, S.P.; Iorio, F.; Eyers, P.A.; Escott, K.J.; Hopper, S.; Wells, A.; Doig, A.J.; Guilliams, T.; Latimer, J.; McNamee, C.; et al. Drug repurposing: Progress, challenges and recommendations. Nat. Rev. Drug Discov. 2018, 18, 41–58. [Google Scholar] [CrossRef]
- Rosenke, K.; Feldmann, H.; Westover, J.B.; Hanley, P.W.; Martellaro, C.; Feldmann, F.; Saturday, G.; Lovaglio, J.; Scott, D.P.; Furuta, Y.; et al. Use of Favipiravir to Treat Lassa Virus Infection in Macaques. Emerg. Infect. Dis. 2018, 24, 1696–1699. [Google Scholar] [CrossRef]
- Lingas, G.; Rosenke, K.; Safronetz, D.; Guedj, J. Lassa viral dynamics in non-human primates treated with favipiravir or ribavirin. PLoS Comput. Biol. 2021, 17, e1008535. [Google Scholar] [CrossRef]
- Zhang, X.; Yan, F.; Tang, K.; Chen, Q.; Guo, J.; Zhu, W.; He, S.; Banadyga, L.; Qiu, X.; Guo, Y. Identification of a clinical compound losmapimod that blocks Lassa virus entry. Antivir. Res. 2019, 167, 68–77. [Google Scholar] [CrossRef] [PubMed]
- Wang, P.; Liu, Y.; Zhang, G.; Wang, S.; Guo, J.; Cao, J.; Jia, X.; Zhang, L.; Xiao, G.; Wang, W. Screening and Identification of Lassa Virus Entry Inhibitors from an FDA-Approved Drug Library. J. Virol. 2018, 92, e00954-18. [Google Scholar] [CrossRef]
- Zhang, X.; Tang, K.; Guo, Y. The antifungal isavuconazole inhibits the entry of lassa virus by targeting the stable signal peptide-GP2 subunit interface of lassa virus glycoprotein. Antivir. Res. 2020, 174, 104701. [Google Scholar] [CrossRef]
- Huo, X.; Hou, D.; Wang, H.; He, B.; Fang, J.; Meng, Y.; Liu, L.; Wei, Z.; Wang, Z.; Liu, F.W. Design, synthesis, in vitro and in vivo anti-respiratory syncytial virus (RSV) activity of novel oxizine fused benzimidazole derivatives. Eur. J. Med. Chem. 2021, 224, 113684. [Google Scholar] [CrossRef] [PubMed]
- Ibba, R.; Riu, F.; Delogu, I.; Lupinu, I.; Carboni, G.; Loddo, R.; Piras, S.; Carta, A. Benzimidazole-2-Phenyl-Carboxamides as Dual-Target Inhibitors of BVDV Entry and Replication. Viruses 2022, 14, 1300. [Google Scholar] [CrossRef] [PubMed]
- Tahlan, S.; Kumar, S.; Ramasamy, K.; Lim, S.M.; Shah, S.A.A.; Mani, V.; Pathania, R.; Narasimhan, B. Design, synthesis and biological profile of heterocyclic benzimidazole analogues as prospective antimicrobial and antiproliferative agents. BMC Chem. 2019, 13, 50. [Google Scholar] [CrossRef] [PubMed]
- Dokla, E.M.E.; Abutaleb, N.S.; Milik, S.N.; Kandil, E.; Qassem, O.M.; Elgammal, Y.; Nasr, M.; McPhillie, M.J.; Abouzid, K.A.M.; Seleem, M.N.; et al. SAR investigation and optimization of benzimidazole-based derivatives as antimicrobial agents against Gram-negative bacteria. Eur. J. Med. Chem. 2023, 247, 115040. [Google Scholar] [CrossRef]
- Ammazzalorso, A.; Carradori, S.; Amoroso, R.; Fernández, I.F. 2-substituted benzothiazoles as antiproliferative agents: Novel insights on structure-activity relationships. Eur. J. Med. Chem. 2020, 207, 112762. [Google Scholar] [CrossRef]
- Mulugeta, E.; Samuel, Y. Synthesis of Benzimidazole-Sulfonyl Derivatives and Their Biological Activities. Biochem. Res. Int. 2022, 2022, 7255299. [Google Scholar] [CrossRef]
- El Rashedy, A.A.; Aboul-Enein, H.Y. Benzimidazole derivatives as potential anticancer agents. Mini Rev. Med. Chem. 2013, 13, 399–407. [Google Scholar] [CrossRef]
- Akhtar, M.J.; Yar, M.S.; Sharma, V.K.; Khan, A.A.; Ali, Z.; Haider, M.D.R.; Pathak, A. Recent Progress of Benzimidazole Hybrids for Anticancer Potential. Curr. Med. Chem. 2020, 27, 5970–6014. [Google Scholar] [CrossRef]
- Burgeson, J.R.; Moore, A.L.; Gharaibeh, D.N.; Larson, R.A.; Cerruti, N.R.; Amberg, S.M.; Hruby, D.E.; Dai, D. Discovery and optimization of potent broad-spectrum arenavirus inhibitors derived from benzimidazole and related heterocycles. Bioorg. Med. Chem. Lett. 2013, 23, 750–756. [Google Scholar] [CrossRef]
- Dai, D.; Burgeson, J.R.; Gharaibeh, D.N.; Moore, A.L.; Larson, R.A.; Cerruti, N.R.; Amberg, S.M.; Bolken, T.C.; Hruby, D.E. Discovery and optimization of potent broad-spectrum arenavirus inhibitors derived from benzimidazole. Bioorg. Med. Chem. Lett. 2013, 23, 744–749. [Google Scholar] [CrossRef] [PubMed]
- Pathare, B.; Bansode, T. Review- Biological Active Benzimidazole derivatives. Results Chem. 2021, 3, 100200. [Google Scholar] [CrossRef]
- Madu, I.G.; Files, M.; Gharaibeh, D.N.; Moore, A.L.; Jung, K.H.; Gowen, B.B.; Dai, D.; Jones, K.F.; Tyavanagimatt, S.R.; Burgeson, J.R.; et al. A potent Lassa virus antiviral targets an arenavirus virulence determinant. PLoS Pathog. 2018, 14, e1007439. [Google Scholar] [CrossRef] [PubMed]
- Cashman, K.A.; Smith, M.A.; Twenhafel, N.A.; Larson, R.A.; Jones, K.F.; Allen, R.D., III; Dai, D.; Chinsangaram, J.; Bolken, T.C.; Hruby, D.E.; et al. Evaluation of Lassa antiviral compound ST-193 in a guinea pig model. Antivir. Res. 2011, 90, 70–79. [Google Scholar] [CrossRef]
- Dai, D.; Burgeson, J.R.; Amberg, S.M.; Hruby, D.E. Antiviral Drugs for Treatment of Arenavirus Infection. U.S. Patent US 2015/0023916 A1, 22 January 2015. [Google Scholar]
- Dow, R.L.; Bechle, B.M.; Chou, T.T.; Clark, D.A.; Hulin, B.; Stevenson, R.W. Benzyloxazolidine-2,4-diones as potent hypoglycemic agents. J. Med. Chem. 1991, 34, 1538–1544. [Google Scholar] [CrossRef] [PubMed]
- Hruby, D.E.; Bolken, T.C.; Amberg, S.M.; Dai, D. Antiviral Frugs for Treatment of Arenavirus Infection. U.S. Patent WO 2010/036399 A2, 1 April 2010. [Google Scholar]
- Danielson, U.H. Fragment library screening and lead characterization using SPR biosensors. Curr. Top. Med. Chem. 2009, 9, 1725–1735. [Google Scholar] [CrossRef]
- Wang, J.; Wang, Q.; Song, S. Research progress of surface plasmon resonance technology in drug discovery. J. Chin. Pharm. Sci. 2020, 29, 504–513. [Google Scholar] [CrossRef]






| Core | ![]() | |||
| Compd. | R1 | CC50 (μM) b | IC50 (nM) a | SI (CC50/IC50) c |
| LHF−535 | ![]() | 3.68 | 3.04 | 1208 |
| 7a−Z | ![]() | 3.01 | 3.91 | 770 |
| 7a−E | ![]() | >100 | >50 | - |
| 7b−Z | ![]() | 23.58 | >50 | 49 |
| 7b−E | ![]() | >100 | >50 | - |
| 7c−Z | ![]() | 20.93 | 36.89 | 567 |
| 7c−E | ![]() | >100 | >50 | - |
| 7d−Z | ![]() | 16.97 | 13.56 | 1251 |
| 7d−E | ![]() | >100 | >50 | - |
| 7e−Z | ![]() | 17.88 | 34.39 | 520 |
| 7e−E | ![]() | >100 | >50 | - |
| 7f−Z | ![]() | 9.47 | 33.89 | 279 |
| 7f−E | ![]() | >100 | >50 | - |
| 7g−Z | ![]() | 24.38 | 29.09 | 838 |
| 7g−E | ![]() | >100 | >50 | - |
| 7h−Z | ![]() | 18.92 | 7.58 | 2494 |
| 7h−E | ![]() | >100 | >50 | - |
| Core | ![]() | |||
| Compd. | R2 | CC50 (μM) b | IC50 (nM) a | SI (CC50/IC50) c |
| ST−193 | ![]() | 56.29 | 44.49 | 1265 |
| 13a | ![]() | 62.60 | 47.58 | 1316 |
| 13b | ![]() | 87.28 | 65.75 | 1327 |
| 13c | ![]() | 74.18 | 15.46 | 4798 |
| 13d | ![]() | 134.80 | 13.81 | 9761 |
| 13e | ![]() | 88.78 | 50.49 | 1758 |
| 13f | ![]() | 102.10 | 11.87 | 8602 |
| 13g | ![]() | 99.96 | 55.39 | 1805 |
| 13h | ![]() | 40.34 | >100 | 152 |
| 13i | ![]() | 81.73 | 53.15 | 1538 |
| 13j | ![]() | 108.80 | 63.78 | 1706 |
| Compd. | ka (M−1s−1) | kd (s−1) | KD (M) |
|---|---|---|---|
| 7a−Z | 3.28 × 105 | 0.04 | 1.46 × 10−7 |
| 7b−Z | 3908 | 0.28 | 7.34 × 10−5 |
| 7c−Z | 6.56 × 104 | 0.07 | 1.18 × 10−6 |
| 7d−Z | 8.65 × 104 | 0.02 | 3.07 × 10−7 |
| 7e−Z | 4.34 × 104 | 0.08 | 1.98 × 10−6 |
| 7f−Z | 1.56 × 104 | 0.03 | 2.19 × 10−6 |
| 7g−Z | 5.01 | 0.13 | 2.70 × 10−6 |
| 7h−Z | 2.94 × 105 | 0.03 | 1.29 × 10−7 |
| 13a | 1.32 × 104 | 0.03 | 2.78 × 10−6 |
| 13b | 5.23 × 104 | 0.20 | 3.93 × 10−6 |
| 13c | 3.95 × 104 | 0.03 | 8.25 × 10−7 |
| 13d | 5.67 × 104 | 0.03 | 6.56 × 10−7 |
| 13e | 5.03 × 104 | 0.22 | 4.39 × 10−6 |
| 13f | 1.78 × 105 | 0.03 | 1.73 × 10−7 |
| 13g | 6.59 × 104 | 0.30 | 4.69 × 10−6 |
| 13h | 1.19 × 104 | 0.42 | 3.60 × 10−5 |
| 13i | 1.94 × 104 | 0.49 | 2.54 × 10−5 |
| 13j | 8532 | 0.04 | 5.49 × 10−6 |
| ST−193 | 8.32 × 104 | 0.01 | 2.00 × 10−7 |
| LHF−535 | 3.04 × 105 | 0.03 | 1.14 × 10−7 |
Disclaimer/Publisher’s Note: The statements, opinions and data contained in all publications are solely those of the individual author(s) and contributor(s) and not of MDPI and/or the editor(s). MDPI and/or the editor(s) disclaim responsibility for any injury to people or property resulting from any ideas, methods, instructions or products referred to in the content. |
© 2023 by the authors. Licensee MDPI, Basel, Switzerland. This article is an open access article distributed under the terms and conditions of the Creative Commons Attribution (CC BY) license (https://creativecommons.org/licenses/by/4.0/).
Share and Cite
Chen, J.; Xu, L.; Wang, B.; Zhang, D.; Zhao, L.; Bei, Z.; Song, Y. Design, Synthesis, and Biological Evaluation of Benzimidazole Derivatives as Potential Lassa Virus Inhibitors. Molecules 2023, 28, 1579. https://doi.org/10.3390/molecules28041579
Chen J, Xu L, Wang B, Zhang D, Zhao L, Bei Z, Song Y. Design, Synthesis, and Biological Evaluation of Benzimidazole Derivatives as Potential Lassa Virus Inhibitors. Molecules. 2023; 28(4):1579. https://doi.org/10.3390/molecules28041579
Chicago/Turabian StyleChen, Jinwei, Likun Xu, Baogang Wang, Dongna Zhang, Liangliang Zhao, Zhuchun Bei, and Yabin Song. 2023. "Design, Synthesis, and Biological Evaluation of Benzimidazole Derivatives as Potential Lassa Virus Inhibitors" Molecules 28, no. 4: 1579. https://doi.org/10.3390/molecules28041579
APA StyleChen, J., Xu, L., Wang, B., Zhang, D., Zhao, L., Bei, Z., & Song, Y. (2023). Design, Synthesis, and Biological Evaluation of Benzimidazole Derivatives as Potential Lassa Virus Inhibitors. Molecules, 28(4), 1579. https://doi.org/10.3390/molecules28041579































