Zinc Electrode Cycling in Deep Eutectic Solvent Electrolytes: An Electrochemical Study
Abstract
1. Introduction
2. Results and Discussion
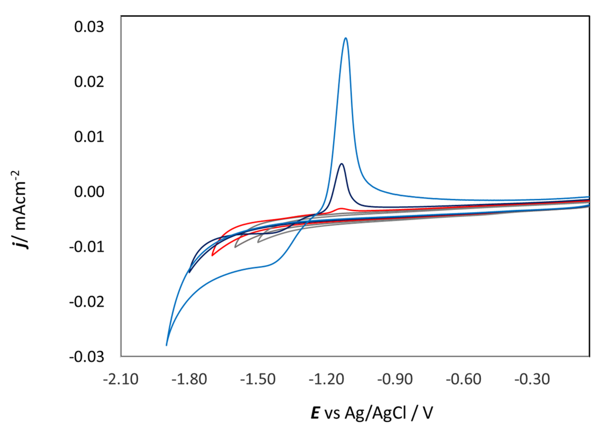
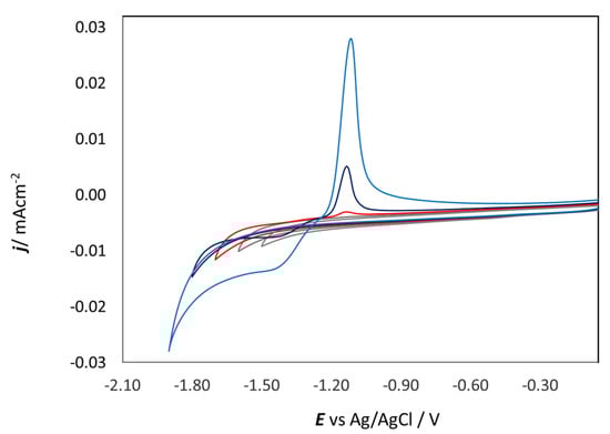
2.1. Cyclic Voltammetry (CV) Experiments
2.2. SERS Analysis of Au–DES Interface
2.3. Nucleation and Growth of Zn
2.3.1. Chronoamperometry (CA)
2.3.2. SEM Analysis of Zn Electrodeposits
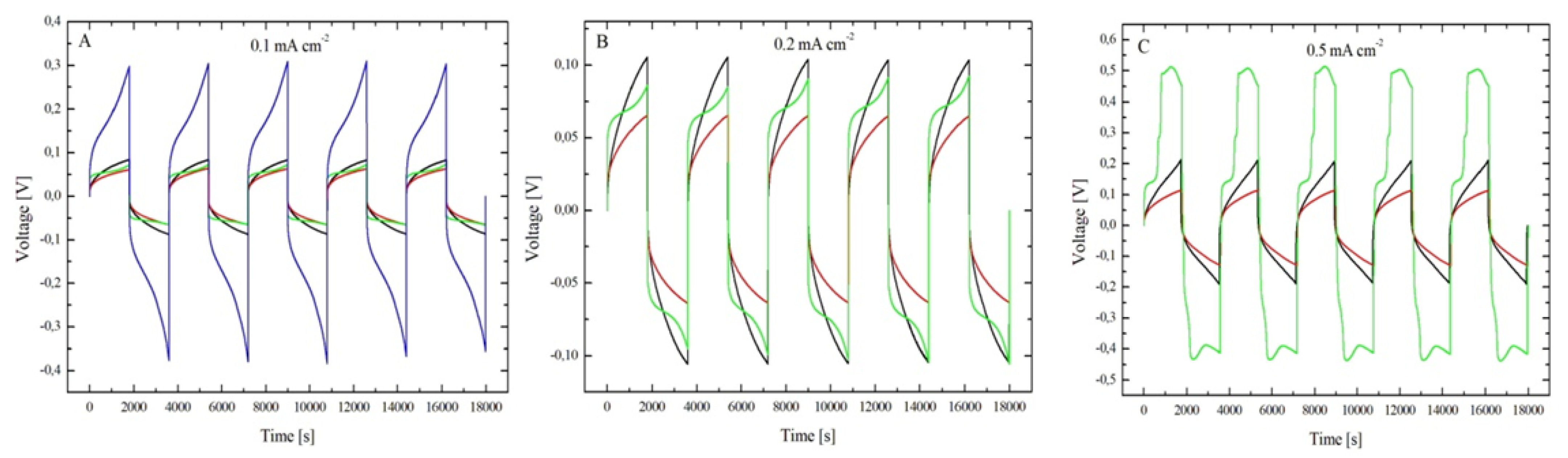
2.4. Galvanostatic Charge-Discharge Cycling (GCD) in Symmetric 2032 Coin Cells
2.4.1. Electrochemical Experiments
2.4.2. SEM Analysis of Zn Electrode
3. Materials and Methods
3.1. Preparation of Deep Eutectic Solvents, Electrolytes and Electrodes
3.2. Electrode Preparation and Cell Fabrication
3.3. Electrochemical Measurements
3.3.1. Cyclic Voltammetry (CV)
3.3.2. Chronoamperometry (CA)
3.3.3. Galvanostatic Charge-Discharge Cycling (GCD)
3.4. Scanning Electron Microscopy (SEM) Analysis
3.5. In Situ Surface-Enhanced Raman Spectroscopy
4. Conclusions
Author Contributions
Funding
Institutional Review Board Statement
Informed Consent Statement
Data Availability Statement
Conflicts of Interest
References
- Wu, J.; Liang, Q.; Yu, X.; Lü, Q.-F.; Ma, L.; Qin, X.; Chen, G.; Li, B. Deep eutectic solvents for boosting electrochemical energy storage and conversion: A review and perspective. Adv. Funct. Mater. 2021, 31, 2011102. [Google Scholar] [CrossRef]
- Luciana, I.N.; Tomé; Baião, V.; da Silva, W.; Brett, C.M.A. Deep eutectic solvents for the production and application of new materials. Appl. Mater. Today 2018, 10, 30–50. [Google Scholar]
- Arnaboldi, S.; Mezzetta, A.; Grecchi, S.; Longhi, M.; Emanuele, E.; Rizzo, S.; Arduini, F.; Micheli, L.; Guazzelli, L.; Mussini, P.R. Natural-based chiral task-specific deep eutectic solvents: A novel, effective tool for enantiodiscrimination in electroanalysis. Electrochim. Acta 2021, 380, 138189. [Google Scholar] [CrossRef]
- Abo-Haman, A.; Hayyan, M.; Al-Saadi, M.A.; Hashim, M.A. Potential applications of deep eutectic solvents in nanotechnology. Chem. Eng. J. 2015, 273, 551–567. [Google Scholar] [CrossRef]
- Brett, C.M.A. Deep eutectic solvents and applications in electrochemical sensing. Curr. Opin. Electrochem. 2018, 10, 143–148. [Google Scholar] [CrossRef]
- Smith, E.L.; Abbott, A.P.; Ryder, K.S. Deep eutectic solvents (DESs) and their applications. Chem. Rev. 2014, 114, 11060–11082. [Google Scholar] [CrossRef] [PubMed]
- Boisset, A.; Jacquemin, J.; Anoutia, M. Physical properties of a new Deep Eutectic Solvent based on lithium bis[(trifluoromethyl) sulfonyl imide and N-methylacetamide as superionic suitable electrolyte for lithium-ion batteries and electric double layer capacitors. Electrochim. Acta 2013, 102, 102–126. [Google Scholar] [CrossRef]
- Cao, J.; Zhang, D.; Zhang, X.; Zeng, Z.; Qin, J.; Huang, Y. Strategies of regulating Zn2+ solvation structures for dendrite-free and side reaction-suppressed zinc-ion batteries. Energy Environ. Sci. 2022, 15, 499–528. [Google Scholar] [CrossRef]
- Geng, L.; Wang, X.; Han, K.; Hu, P.; Zhou, L.; Zhao, Y.; Luo, W.; Mai, L. Eutectic electrolytes in advanced metal-ion batteries. ACS Energy Lett. 2022, 7, 247–260. [Google Scholar] [CrossRef]
- Di Pietro, M.E.; Mele, A. Deep eutectics and analogues as electrolytes in batteries. J. Mol. Liq. 2021, 338, 116597. [Google Scholar] [CrossRef]
- Neumann, J.; Petranikova, M.; Meeus, M.; Gamarra, J.D.; Younesi, R.; Winter, M.; Nowak, S. Recycling of lithium-ion batteries—Current state of the art, circular economy, and next generation recycling. Adv. Energy Mater. 2022, 12, 2102917. [Google Scholar] [CrossRef]
- Grecchi, S.; Arnaboldi, S.; Rizzo, S.; Mussini, P.R. Advanced chiral molecular media for enantioselective electrochemistry and electroanalysis. Curr. Opin. Electrochem. 2021, 30, 100810. [Google Scholar] [CrossRef]
- Shi, J.; Sun, T.; Bao, J.; Zheng, S.; Du, H.; Li, L.; Yuan, X.; Ma, T.; Tao, Z. “Water-in-deep eutectic solvent” electrolytes for high-performance aqueous Zn-ion batteries. Adv. Funct. Mater. 2021, 31, 2102035. [Google Scholar] [CrossRef]
- Kao-ian, W.; Pornprasertsuk, R.; Thamyongkit, P.; Maiyalagan, T.; Kheawhom, S. Rechargeable zinc-ion battery based on choline chloride-urea deep eutectic solvent. J. Electrochem. Soc. 2019, 166, A1063–A1069. [Google Scholar] [CrossRef]
- Wu, S.-C.; Tsa, M.-C.; Liao, H.-J.; Su, T.-Y.; Tang, S.-Y.; Chen, C.-W.; Lo, H.-A.; Yang, T.-Y.; Wang, K.; Ai, Y.; et al. Intercalation of zinc monochloride cations by deep eutectic solvents for high-performance rechargeable non-aqueous zinc ion batteries. ACS Appl. Mater. Interfaces 2022, 14, 7814–7825. [Google Scholar] [CrossRef]
- Zhao, J.; Zhang, J.; Yang, W.; Chen, B.; Zhao, Z.; Qiue, H.; Dong, S.; Zhou, X.; Cui, G.; Chen, L. “Water-in-deep eutectic solvent” electrolytes enable zinc metal anodes for rechargeable aqueous batteries. Nano Energy 2019, 57, 625–634. [Google Scholar] [CrossRef]
- Wang, Y.; Niu, Z.; Zheng, Q.; Zhang, C.; Ye, J.; Dai, G.; Zhao, Y.; Zhang, X. Zn-based eutectic mixture as anolyte for hybrid redox flow batteries. Sci. Rep. 2018, 8, 5740. [Google Scholar] [CrossRef]
- AAbbott, P.; Barron, J.C.; Frisch, G.; Gurman, S.; Ryder, K.S.; Silva, A.F. Double layer effects on metal nucleation in deep eutectic solvents. Phys. Chem. Chem. Phys. 2011, 13, 10224–10231. [Google Scholar] [CrossRef]
- Abbott, A.P.; Barrona, J.; Frisch, G.; Ryder, K.S.; Silva, A.F. The effect of additives on zinc electrodeposition from deep eutectic solvents. Electrochim. Acta 2011, 56, 5272–5279. [Google Scholar] [CrossRef]
- Vieira, L.; Schennach, R.; Gollas, B. The effect of the electrode material on the electrodeposition of zinc from deep eutectic solvents. Electrochim. Acta 2016, 197, 344–352. [Google Scholar] [CrossRef]
- Vieira, L.; Whitehead, A.H.; Gollas, B. Mechanistic Studies of Zinc Electrodeposition from Deep Eutectic Electrolytes. ECS Trans. 2013, 50, 83–94. [Google Scholar] [CrossRef]
- Wang, X.; Xu, C.; Liu, H.; Huang, M.; Ren, X.; Wang, S.; Hua, Y.; Zhang, Q.; Ru, J. Influence of chloride ion on zinc electrodeposition from choline chloride based deep eutectic solvent. Ionics 2020, 26, 1483–1490. [Google Scholar] [CrossRef]
- Pereira, N.M.; Pereira, C.M.; Araújo, J.P.; Silva, A.F. Zinc electrodeposition from deep eutectic solvent containing organic additives. J. Electroanal. Chem. 2017, 801, 545–551. [Google Scholar] [CrossRef]
- Whitehead, A.H.; Pölzler, M.; Gollas, B. Zinc electrodeposition from a deep eutectic system containing choline chloride and ethylene glycol. J. Electrochem. Soc. 2010, 157, D328–D334. [Google Scholar] [CrossRef]
- Gutiérrez, E.; Rodriguez, J.A.; Cruz-Borbolla, J.; Castrillejo, Y.; Barrado, E. Electrochemical behavior Zn(II) at carbon steel electrode in deep eutectic solvents based on choline chloride. Int. J. Electrochem. Sci. 2017, 12, 8860–8867. [Google Scholar] [CrossRef]
- Abbott, A.P.; Al-Barzinjy, A.A.; Abbott, P.D.; Frisch, G.; Harris, R.C.; Hartley, J.; Ryder, K.S. Speciation, physical and electrolytic properties of eutectic mixtures based on CrCl3·6H2O and urea. Chem. Phys. 2014, 16, 9047–9055. [Google Scholar] [CrossRef]
- Ma, C.; Laaksonen, A.; Liu, C.; Lu, X.; Ji, X. The peculiar effect of water on ionic liquids and deep eutectic solvents. Chem. Soc. Rev. 2018, 47, 8685–8720. [Google Scholar] [CrossRef]
- Hammond, O.S.; Bowron, D.T.; Edler, K.J. Liquid structure of the choline chloride-urea deep eutectic solvent (reline) from neutron diffraction and atomistic modeling. Green Chem. 2016, 18, 2736–2744. [Google Scholar] [CrossRef]
- Chen, Z.; McLean, B.; Ludwig, M.; Stefanovic, R.; Warr, G.G.; Webber, G.B.; Page, A.J.; Atki, R. Nanostructure of deep eutectic solvents at graphite electrode interfaces as a function of potential. J. Phys. Chem. 2016, 120, 2225–2233. [Google Scholar] [CrossRef]
- Hammond, O.S.; Li, H.; Westermann, C.; Al-Murshedi, A.Y.M.; Endres, F.; Abbott, A.P.; Warr, G.G.; Edler, K.J.; Atkin, R. Nanostructure of the deep eutectic solvent/platinum electrode interface as a function of potential and water content. Nanoscale Horiz. 2019, 4, 158–168. [Google Scholar] [CrossRef]
- Puttaswamy, R.; Mondal, C.; Mondal, D.; Ghosh, D. An account on the deep eutectic solvents-based electrolytes for rechargeable batteries and supercapacitors. Sustain. Mater. Technol. 2022, 33, e00477. [Google Scholar] [CrossRef]
- Yang, W.; Du, X.; Zhao, J.; Chen, Z.; Li, J.; Xie, J.; Cui, Z.; Kong, Q.; Zhao, Z.; Wang, C.; et al. Hydrated Eutectic Electrolytes with Ligand-Oriented Solvation Shells for Long-Cycling Zinc-Organic Batteries. Joule 2020, 4, 1557–1574. [Google Scholar] [CrossRef]
- Lin, X.; Zhou, G.; Robson, M.J.; Yu, J.; Kwok, S.C.T.; Ciucci, F. Hydrated deep eutectic electrolytes for high-performance Zn-ion batteries capable of low-temperature operation. Adv. Funct. Mater. 2022, 32, 2109322. [Google Scholar] [CrossRef]
- Han, M.; Huang, J.; Xie, X.; Li, T.C.; Huang, J.; Liang, S.; Zhou, J.; Fan, H.J. Hydrated eutectic electrolyte with ligand-oriented solvation shell to boost the stability of zinc battery. Adv. Funct. Mater. 2022, 32, 2110957. [Google Scholar] [CrossRef]
- Haerens, K.; Matthijs, E.; Binnemans, K.; Van der Bruggen, B. Electrochemical decomposition of choline chloride based ionic liquid analogues. Green Chem. 2009, 11, 1357–1365. [Google Scholar] [CrossRef]
- Simons, T.; Torriero, A.; Howlett, P.; MacFarlane, D.; Forsyth, M. High current density, efficient cycling of Zn2+ in 1-ethyl-3-methylimidazolium dicyanamide ionic liquid: The effect of Zn2+ salt and water concentration. Electrochem. Commun. 2012, 18, 119–122. [Google Scholar] [CrossRef]
- Bozzini, B.; D’Autilia, M.C.; Mele, C.; Sgura, I. Fourier analysis of an electrochemical phase formation model enables the rationalization of zinc-anode battery dynamics. Appl. Eng. Sci. 2021, 5, 100033. [Google Scholar] [CrossRef]
- Rüetschi, P.; Delahay, P. Hydrogen overvoltage and electrode material. A theoretical analysis. J. Chem. Phys. 1955, 23, 195–199. [Google Scholar] [CrossRef]
- Bozzini, B.; Bund, A.; Busson, B.; Humbert, C.; Ispas, A.; Mele, C. Abderrahmane Tadjeddin, An SFG/DFG investigation of CN− adsorption at an Au electrode in 1-butyl-1-methyl-pyrrolidinium bis(trifluoromethylsulfonyl) amide ionic liquid. Electrochem. Commun. 2010, 12, 56–60. [Google Scholar] [CrossRef]
- Zhang, N.; Wang, X.-R.; Yuan, Y.-X.; Wang, H.-F.; Xu, M.-M.; Ren, Z.-G.; Yao, J.-L.; Gu, R.-A. Probing double layer structure at Au/[BMIm]BF4 interface by molecular length-dependent SERS Stark effect. J. Electroanal. Chem. 2015, 751, 137–143. [Google Scholar] [CrossRef]
- Ramirez, C.; Bozzini, B.; Calderon, J. In Situ SERS and ERS assessment of the effect of triethanolamine on zinc electrodeposition on a gold electrode. Electrochim. Acta 2017, 248, 270–280. [Google Scholar] [CrossRef]
- Huerta, F.; Mele, C.; Bozzini, B.; Morallón, E. Voltammetric and in situ FTIRS study on CN− and Au(CN)x− complexes at the polycrystalline gold surface in citrate medium. J. Electroanal. Chem. 2004, 569, 53–60. [Google Scholar] [CrossRef]
- Gunawardena, G.; Hills, G.; Montenegro, I.; Scharifker, B. Electrochemical nucleation. J. Electroanal. Chem. 1982, 138, 225–239. [Google Scholar] [CrossRef]
- Scharifker, B.; Hills, G. Theoretical and experimental studies of multiple nucleation. Electrochim. Acta 1983, 7, 879–889. [Google Scholar] [CrossRef]
- Smith, E.L.; Barron, J.C.; Abbott, A.P.; Ryder, K.S. Time resolved in situ liquid atomic force microscopy and simultaneous acoustic impedance electrochemical quartz crystal microbalance measurements: A study of Zn deposition. Anal. Chem. 2009, 81, 8466–8471. [Google Scholar] [CrossRef]
- Yang, H.; Reddy, R.G. Electrochemical deposition of zinc from zinc oxide in 2:1 urea/choline chloride ionic liquid. Electrochim. Acta 2014, 147, 513–519. [Google Scholar] [CrossRef]
- Zhang, Q.; Yang, Z.; Ji, H.; Zeng, X.; Tang, Y.; Sun, D.; Wang, H. Issues and rational design of aqueous electrolyte for Zn-ion batteries. SusMat 2021, 1, 432–447. [Google Scholar] [CrossRef]
- Zhekenov, T.; Toksanbayev, N.; Kazakbayeva, Z.; Shah, D.; Mjalli, F.S. Formation of type III deep eutectic solvents and effect of water on their intermolecular interactions. Fluid Phase Equilibria 2017, 441, 43–48. [Google Scholar] [CrossRef]
- Rossi, F.; Mancini, L.; Sgura, I.; Boniardi, M.; Casaroli, A.; Kao, A.P.; Bozzini, B. Insight into the Cycling Behaviour of Metal Anodes, Enabled by X-ray Tomography and Mathematical Modelling. ChemElectroChem 2022, 9, e202101537. [Google Scholar] [CrossRef]
- Kim, J.Y.; Liu, G.; Shim, G.Y.; Kim, H.; Lee, J.K. Functionalized Zn@ZnO Hexagonal Pyramid Array for Dendrite-Free and Ultrastable Zinc Metal Anodes. Adv. Funct. Mater. 2020, 30, 2004210. [Google Scholar] [CrossRef]
- Richter, J.; Ruck, M. Synthesis and dissolution of metal oxides in ionic liquids and deep eutectic solvents. Molecules 2020, 25, 78. [Google Scholar] [CrossRef] [PubMed]
- Abbott, A.P.; Capper, G.; Davies, D.L.; McKenzie, K.J.; Obi, S.U. Solubility of metal oxides in deep eutectic solvents based on choline chloride. J. Chem. Eng. Data 2006, 51, 1280–1282. [Google Scholar] [CrossRef]
- Abbott, A.P.; Capper, G.; Davies, D.L.; Rasheed, R.K.; Shikotra, P. Selective extraction of metals from mixed oxide matrixes using choline-based ionic liquids. Inorg. Chem. 2005, 44, 6497–6499. [Google Scholar] [CrossRef] [PubMed]
- Feldmann, C. Polyol-mediated synthesis of nanoscale functional materials. Adv. Funct. Mater. 2003, 13, 101–107. [Google Scholar] [CrossRef]
















| DES Type | Cathode Type | Electrochemical Cell | Electrochemical Tests | Number of Cycles | Ref. Number |
|---|---|---|---|---|---|
| ZnCl2:acetamide:H2O (1:3:1) | Phenazine cathode | Symmetric and asymmetric coin cells | Symmetric: 0.1 and 0.05 mA h cm−2 Asymmetric: 0.1 mA cm−2 and 0.025 mA h cm−2 | Over 10,000 cycles | [13] |
| ZnCl2 in reline (anhydrous) | δ-MnO2 | Symmetric and asymmetric coin cells | Symmetric: ten cycles at 0.1, 0.2, 0.5 and 1.0 mA/cm2 for 30 min at each current density. Asymmetric: 50, 100, 150 and 200 mA/g of δ-MnO2 for ten cycles at each current density | 150 cycles | [14] |
| ZnCl2 in ethaline (anhydrous), ZnCl-EG | NVO nanoribbon/CFP cathode, | Symmetric and asymmetric coin cells | Symmetric: ten cycles at different current densities of 0.1, 0.15, 0.2, 0.25 and 0.3 mA/cm−2 Asymmetric: 0.1 A g−1 | 200 cycles 300 cycles | [15] |
| urea/LiTFSI/Zn(TFSI)2; TFSI, bis(trifluoromethanesulfonyl)imide) | LiMn2O4 or LiFePO4 | Coin cell or pouch cells | Cycling 0.05 mA/cm2 and 0.1 mA/cm2 with CV characterization | 400 h 86.6% capacity retention after 600 cycles | [16] |
| ZnCl2:acetamide | Carbon electrode | Home-built cell for flow battery (hybrid RFBs) | Cycling 0.12 mA· cm−2 | 150 h | [17] |
| Zn(ClO4)2·6H2O) and succinonitrile | poly(2,3-dithiino-1,4-benzoquinone) | Coin cells | Cycling 0.3 C | 3500 cycles | [32] |
| sulfolane (SL) and Zn(ClO4)2·6H2O | Polyaniline (PANI) | Symmetric and asymmetric coin cells | Cycling 0.5 mA/cm2 | 800 h 2500 times with a capacity of 72 mAh g−1 at 3 A g−1 | [33] |
| methylsulfonylmethane, zinc perchlorate | NH4V4O10(NVO) or CaV4O9 (CVO) | Zn|Zn and asymmetric Zn|Cu coin cell or pouch cells | Cycling 0.05, 1 and 2 mA/cm2 with CV characterization | 2000 h at 0.05 mA/cm2 400 h at 2 mA/cm2 76% retention after 3000 cycles at 3000 mA g−1 | [34] |
| ChU0.1 | ChU0.3 | AChU | ChEG | |
|---|---|---|---|---|
| D [cm2 s−1] | 3 × 10−7 | 3 × 10−7 | 3 × 10−7 | 3 × 10−6 |
| rmax [mm] | 0.05 | 0.05 | 0.05 | 0.037 |
| k0,hs [cm s−1] | 3.5 × 10−7 | 3.5 × 10−7 | 3.5 × 10−6 | 3.5 × 10−6 |
| Shape | ![]() | ![]() | ![]() | ![]() |
Disclaimer/Publisher’s Note: The statements, opinions and data contained in all publications are solely those of the individual author(s) and contributor(s) and not of MDPI and/or the editor(s). MDPI and/or the editor(s) disclaim responsibility for any injury to people or property resulting from any ideas, methods, instructions or products referred to in the content. |
© 2023 by the authors. Licensee MDPI, Basel, Switzerland. This article is an open access article distributed under the terms and conditions of the Creative Commons Attribution (CC BY) license (https://creativecommons.org/licenses/by/4.0/).
Share and Cite
Emanuele, E.; Li Bassi, A.; Macrelli, A.; Mele, C.; Strada, J.; Bozzini, B. Zinc Electrode Cycling in Deep Eutectic Solvent Electrolytes: An Electrochemical Study. Molecules 2023, 28, 957. https://doi.org/10.3390/molecules28030957
Emanuele E, Li Bassi A, Macrelli A, Mele C, Strada J, Bozzini B. Zinc Electrode Cycling in Deep Eutectic Solvent Electrolytes: An Electrochemical Study. Molecules. 2023; 28(3):957. https://doi.org/10.3390/molecules28030957
Chicago/Turabian StyleEmanuele, Elisa, Andrea Li Bassi, Andrea Macrelli, Claudio Mele, Jacopo Strada, and Benedetto Bozzini. 2023. "Zinc Electrode Cycling in Deep Eutectic Solvent Electrolytes: An Electrochemical Study" Molecules 28, no. 3: 957. https://doi.org/10.3390/molecules28030957
APA StyleEmanuele, E., Li Bassi, A., Macrelli, A., Mele, C., Strada, J., & Bozzini, B. (2023). Zinc Electrode Cycling in Deep Eutectic Solvent Electrolytes: An Electrochemical Study. Molecules, 28(3), 957. https://doi.org/10.3390/molecules28030957





