Synergistic Spatial Confining Effect and O Vacancy in WO3 Hollow Sphere for Enhanced N2 Reduction
Abstract
:1. Introduction
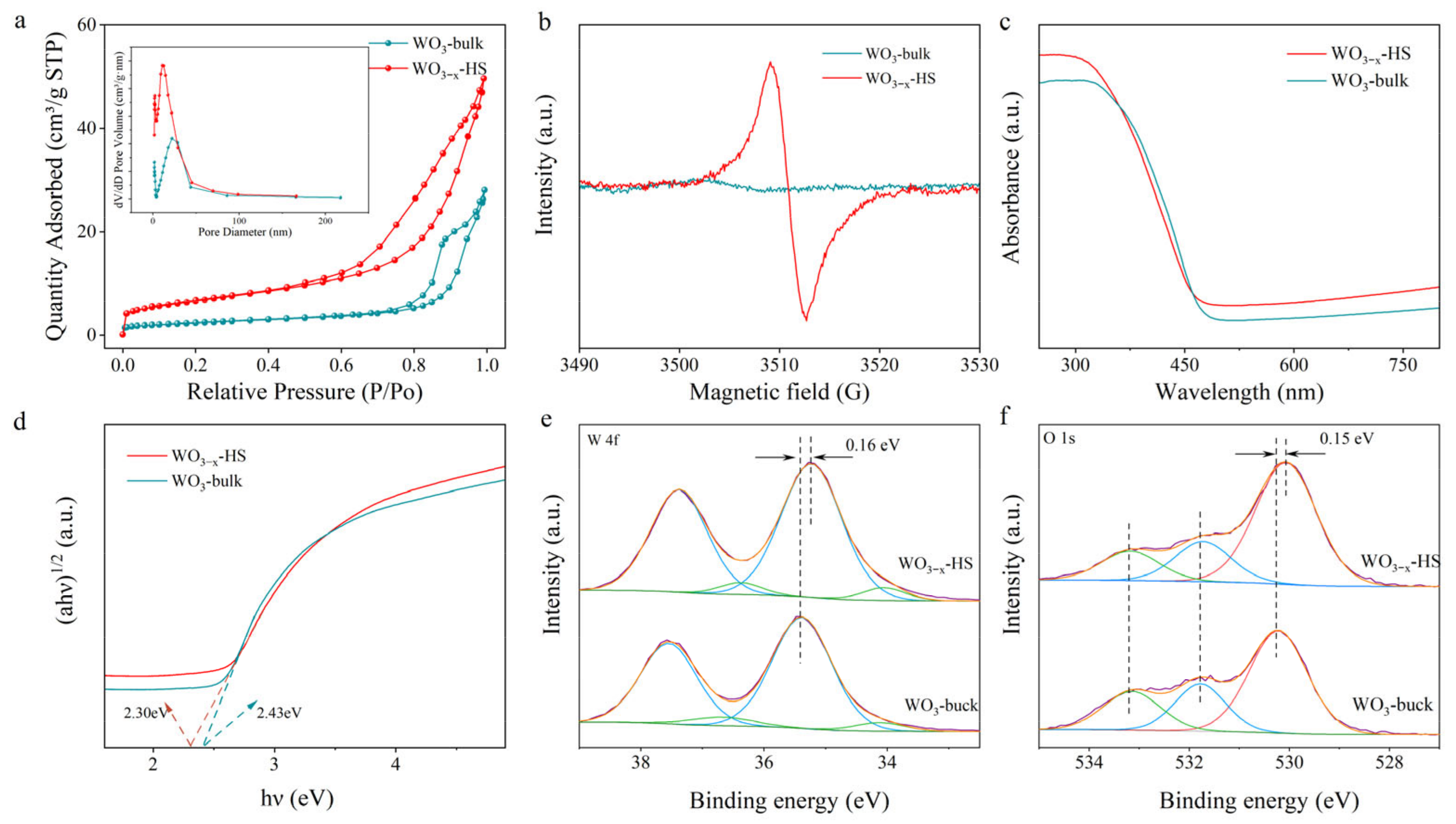
2. Results and Discussion
3. Materials and Methods
3.1. Materials and Reagents
3.2. The Preparation of Carbon Nanosphere
3.3. The Preparation of WO3−x-HS
3.4. The Preparation of Bulk WO3
3.5. Photocatalytic N2 Fixation
3.6. Characterization
3.7. Electrochemistry Measurement
4. Conclusions
Supplementary Materials
Author Contributions
Funding
Institutional Review Board Statement
Informed Consent Statement
Data Availability Statement
Conflicts of Interest
References
- Canfield, D.E.; Glazer, A.N.; Falkowski, P.G. The Evolution and Future of Earth’s Nitrogen Cycle. Science 2010, 330, 192–196. [Google Scholar] [CrossRef] [PubMed]
- Li, P.; Zhou, Z.; Wang, Q.; Guo, M.; Chen, S.; Low, J.; Long, R.; Liu, W.; Ding, P.; Wu, Y.; et al. Visible-Light-Driven Nitrogen Fixation Catalyzed by Bi5O7Br Nanostructures: Enhanced Performance by Oxygen Vacancies. J. Am. Chem. Soc. 2020, 142, 12430–12439. [Google Scholar] [CrossRef] [PubMed]
- Chen, J.G.; Crooks, R.M.; Seefeldt, L.C.; Bren, K.L.; Bullock, R.M.; Darensbourg, M.Y.; Holland, P.L.; Hoffman, B.; Janik, M.J.; Jones, A.K.; et al. Beyond Fossil Fuel-Driven Nitrogen Transformations. Science 2018, 360, eaar6611. [Google Scholar] [CrossRef] [PubMed]
- Erisman, J.W.; Sutton, M.A.; Galloway, J.; Klimont, Z.; Winiwarter, W. How a Century of Ammonia Synthesis Changed the World. Nat. Geosci. 2008, 1, 636–639. [Google Scholar] [CrossRef]
- Gao, X.; Shang, Y.; Liu, L.; Fu, F. Chemisorption-Enhanced Photocatalytic Nitrogen Fixation via 2D Ultrathin p-n Heterojunction AgCl/δ-Bi2O3 Nanosheets. J. Catal. 2019, 371, 71–80. [Google Scholar] [CrossRef]
- Schlögl, R. Catalytic Synthesis of Ammonia-A “Never-Ending Story”? Angew. Chem. Int. Ed. 2003, 42, 2004–2008. [Google Scholar] [CrossRef]
- Hoffman, B.M.; Lukoyanov, D.; Yang, Z.-Y.; Dean, D.R.; Seefeldt, L.C. Mechanism of Nitrogen Fixation by Nitrogenase: The Next Stage. Chem. Rev. 2014, 114, 4041–4062. [Google Scholar] [CrossRef] [PubMed]
- Liu, H.; Wu, P.; Li, H.; Chen, Z.; Wang, L.; Zeng, X.; Zhu, Y.; Jiang, Y.; Liao, X.; Haynes, B.S.; et al. Unravelling the Effects of Layered Supports on Ru Nanoparticles for Enhancing N2 Reduction in Photocatalytic Ammonia Synthesis. Appl. Catal. B 2019, 259, 118026. [Google Scholar] [CrossRef]
- Wang, S.; Ichihara, F.; Pang, H.; Chen, H.; Ye, J. Nitrogen Fixation Reaction Derived from Nanostructured Catalytic Materials. Adv. Funct. Mater. 2018, 28, 1803309. [Google Scholar] [CrossRef]
- Zhu, S.; Liang, S.; Bi, J.; Liu, M.; Zhou, L.; Wu, L.; Wang, X. Photocatalytic Reduction of CO2 with H2O to CH4 over Ultrathin SnNb2O6 2D Nanosheets under Visible Light Irradiation. Green Chem. 2016, 18, 1355–1363. [Google Scholar] [CrossRef]
- Luo, J.; Bai, X.; Li, Q.; Yu, X.; Li, C.; Wang, Z.; Wu, W.; Liang, Y.; Zhao, Z.; Liu, H. Band Structure Engineering of Bioinspired Fe Doped SrMoO4 for Enhanced Photocatalytic Nitrogen Reduction Performance. Nano Energy 2019, 66, 104187. [Google Scholar] [CrossRef]
- Qiu, P.; Xu, C.; Zhou, N.; Chen, H.; Jiang, F. Metal-Free Black Phosphorus Nanosheets-Decorated Graphitic Carbon Nitride Nanosheets with C-P Bonds for Excellent Photocatalytic Nitrogen Fixation. Appl. Catal. B 2018, 221, 27–35. [Google Scholar] [CrossRef]
- Schrauzer, G.N.; Guth, T.D. Photolysis of Water and Photoreduction of Nitrogen on Titanium Dioxide. J. Am. Chem. Soc. 1977, 99, 7189–7193. [Google Scholar] [CrossRef]
- Liu, J.; Li, R.; Zu, X.; Zhang, X.; Wang, Y.; Wang, Y.; Fan, C. Photocatalytic Conversion of Nitrogen to Ammonia with Water on Triphase Interfaces of Hydrophilic-Hydrophobic Composite Bi4O5Br2/ZIF-8. Chem. Eng. J. 2019, 371, 796–803. [Google Scholar] [CrossRef]
- Cao, S.-W.; Yin, Z.; Barber, J.; Boey, F.Y.C.; Loo, S.C.J.; Xue, C. Preparation of Au-BiVO4 Heterogeneous Nanostructures as Highly Efficient Visible-Light Photocatalysts. ACS Appl. Mater. Interfaces 2011, 4, 418–423. [Google Scholar] [CrossRef] [PubMed]
- Han, Q.; Bai, X.; Chen, J.; Feng, S.; Gao, W.; Tu, W.; Wang, X.; Wang, J.; Jia, B.; Shen, Q.; et al. Hollow InVO4 Nanocuboid Assemblies toward Promoting Photocatalytic N2 Conversion Performance. Adv. Mater. 2021, 33, 2006780. [Google Scholar] [CrossRef] [PubMed]
- Fei, T.; Yu, L.; Liu, Z.; Song, Y.; Xu, F.; Mo, Z.; Liu, C.; Deng, J.; Ji, H.; Cheng, M.; et al. Graphene Quantum Dots Modified Flower like Bi2WO6 for Enhanced Photocatalytic Nitrogen Fixation. J. Colloid Interface Sci. 2019, 557, 498–505. [Google Scholar] [CrossRef] [PubMed]
- Zhang, Y.; Di, J.; Qian, X.; Ji, M.; Tian, Z.; Ye, L.; Zhao, J.; Yin, S.; Li, H.; Xia, J. Oxygen Vacancies in Bi2Sn2O7 Quantum Dots to Trigger Efficient Photocatalytic Nitrogen Reduction. Appl. Catal. B 2021, 299, 120680. [Google Scholar] [CrossRef]
- Wang, L.; Xia, Y.; Yu, J. Hydrogen-Bond Activation of N2 Molecules and Photocatalytic Nitrogen Fixation. Chem 2021, 7, 1983–1985. [Google Scholar] [CrossRef]
- Chen, S.; Liu, D.; Peng, T. Fundamentals and Recent Progress of Photocatalytic Nitrogen-Fixation Reaction over Semiconductors. Sol. RRL 2020, 5, 2000487. [Google Scholar] [CrossRef]
- Wang, L.; Zhang, Q.; Wei, T.; Li, F.; Sun, Z.; Xu, L. WC and Cobalt Nanoparticles Embedded in Nitrogen-Doped Carbon 3D Nanocage Derived from H3PW12O40@ZIF-67 for Photocatalytic Nitrogen Fixation. J. Mater. Chem. A 2021, 9, 2912–2918. [Google Scholar] [CrossRef]
- Gao, K.; Zhang, C.; Zhang, Y.; Zhou, X.; Gu, S.; Zhang, K.; Wang, X.; Song, X. Oxygen Vacancy Engineering of Novel Ultrathin Bi12O17Br2 Nanosheets for Boosting Photocatalytic N2 Reduction. J. Colloid Interface Sci. 2022, 614, 12–23. [Google Scholar] [CrossRef] [PubMed]
- Wang, T.; Feng, C.; Liu, J.; Wang, D.; Hu, H.; Hu, J.; Chen, Z.; Xue, G. Bi2WO6 Hollow Microspheres with High Specific Surface Area and Oxygen Vacancies for Efficient Photocatalysis N2 Fixation. Chem. Eng. J. 2021, 414, 128827. [Google Scholar] [CrossRef]
- Cai, J.; Peng, Y.; Jiang, Y.; Li, L.; Wang, H.; Li, K. Photodegradation and Removal of Air and Water Pollutants: A Review. Molecules 2023, 28, 7121. [Google Scholar] [CrossRef] [PubMed]
- Liao, Y.; Qian, J.; Xie, G.; Han, Q.; Dang, W.; Wang, Y.; Lv, L.; Zhao, S.; Luo, L.; Zhang, W.; et al. 2D-Layered Ti3C2 MXenes for Promoted Synthesis of NH3 on P25 Photocatalysts. Appl. Catal. B 2020, 273, 119054. [Google Scholar] [CrossRef]
- Liccardo, L.; Bordin, M.; Sheverdyaeva, P.M.; Belli, M.; Moras, P.; Vomiero, A.; Moretti, E. Surface Defect Engineering in Colored TiO2 Hollow Spheres Toward Efficient Photocatalysis. Adv. Funct. Mater. 2023, 33, 2212486. [Google Scholar] [CrossRef]
- Hu, W.; Zhou, W.; Zhang, K.; Zhang, X.; Wang, L.; Jiang, B.; Tian, G.; Zhao, D.; Fu, H. Facile Strategy for Controllable Synthesis of Stable Mesoporous Black TiO2 Hollow Spheres with Efficient Solar-Driven Photocatalytic Hydrogen Evolution. J. Mater. Chem. A 2016, 4, 7495–7502. [Google Scholar] [CrossRef]
- Wang, Y.; Huang, H.; Zhang, Z.; Wang, C.; Yang, Y.; Li, Q.; Xu, D. Lead-Free Perovskite Cs2AgBiBr6@g-C3N4 Z-Scheme System for Improving CH4 Production in Photocatalytic CO2 Reduction. Appl. Catal. B 2021, 282, 119570. [Google Scholar] [CrossRef]
- Zanardo, D.; Forghieri, G.; Ghedini, E.; Menegazzo, F.; Giordana, A.; Cerrato, G.; Cattaruzza, E.; Di Michele, A.; Cruciani, G.; Signoretto, M. Effect of the Synthetic Parameters over ZnO in the CO2 Photoreduction. Molecules 2023, 28, 4798. [Google Scholar] [CrossRef]
- Liu, S.; Wang, Y.; Wang, S.; You, M.; Hong, S.; Wu, T.-S.; Soo, Y.-L.; Zhao, Z.; Jiang, G.; Qiu, J.; et al. Photocatalytic Fixation of Nitrogen to Ammonia by Single Ru Atom Decorated TiO2 Nanosheets. ACS Sustain. Chem. Eng. 2019, 7, 6813–6820. [Google Scholar] [CrossRef]
- Zhang, N.; Jalil, A.; Wu, D.; Chen, S.; Liu, Y.; Gao, C.; Ye, W.; Qi, Z.; Ju, H.; Wang, C.; et al. Refining Defect States in W18O49 by Mo Doping: A Strategy for Tuning N2 Activation towards Solar-Driven Nitrogen Fixation. J. Am. Chem. Soc. 2018, 140, 9434–9443. [Google Scholar] [CrossRef] [PubMed]
- Li, H.; Shang, J.; Ai, Z.; Zhang, L. Efficient Visible Light Nitrogen Fixation with BiOBr Nanosheets of Oxygen Vacancies on the Exposed {001} Facets. J. Am. Chem. Soc. 2015, 137, 6393–6399. [Google Scholar] [CrossRef] [PubMed]
- Du, Y.; Jiang, C.; Song, L.; Gao, B.; Gong, H.; Xia, W.; Sheng, L.; Wang, T.; He, J. Regulating Surface State of WO3 Nanosheets by Gamma Irradiation for Suppressing Hydrogen Evolution Reaction in Electrochemical N2 Fixation. Nano Res. 2020, 13, 2784–2790. [Google Scholar] [CrossRef]
- Zhang, G.; Yang, X.; He, C.; Zhang, P.; Mi, H. Constructing a Tunable Defect Structure in TiO2 for Photocatalytic Nitrogen Fixation. J. Mater. Chem. A 2020, 8, 334–341. [Google Scholar] [CrossRef]
- Mi, Q.; Ping, Y.; Li, Y.; Cao, B.; Brunschwig, B.S.; Khalifah, P.G.; Galli, G.A.; Gray, H.B.; Lewis, N.S. Thermally Stable N2-Intercalated WO3 Photoanodes for Water Oxidation. J. Am. Chem. Soc. 2012, 134, 18318–18324. [Google Scholar] [CrossRef] [PubMed]
- Lu, C.; Cao, D.; Zhang, H.; Gao, L.; Shi, W.; Guo, F.; Zhou, Y.; Liu, J. Boosted Tetracycline and Cr(VI) Simultaneous Cleanup over Z-Scheme WO3/CoO p-n Heterojunction with 0D/3D Structure under Visible Light. Molecules 2023, 28, 4727. [Google Scholar] [CrossRef] [PubMed]
- Li, W.J.; Da, P.M.; Zhang, Y.Y.; Wang, Y.C.; Lin, X.; Gong, X.G.; Zheng, G.F. WO3 Nanoflakes for Enhanced Photoelectrochemical Conversion. ACS Nano 2014, 8, 11770–11777. [Google Scholar] [CrossRef]
- Hou, T.; Xiao, Y.; Cui, P.; Huang, Y.; Tan, X.; Zheng, X.; Zou, Y.; Liu, C.; Zhu, W.; Liang, S.; et al. Operando Oxygen Vacancies for Enhanced Activity and Stability toward Nitrogen Photofixation. Adv. Energy Mater. 2019, 9, 1902319. [Google Scholar] [CrossRef]
- Hu, B.; Wang, B.-H.; Chen, L.; Bai, Z.-J.; Zhou, W.; Guo, J.-K.; Shen, S.; Xie, T.-L.; Au, C.-T.; Jiang, L.-L.; et al. Electronic Modulation of the Interaction between Fe Single Atoms and WO2.72-x for Photocatalytic N2 Reduction. ACS Catal. 2022, 12, 11860–11869. [Google Scholar] [CrossRef]
- Zhang, Y.; Ran, L.; Zhang, Y.; Zhai, P.; Wu, Y.; Gao, J.; Li, Z.; Zhang, B.; Wang, C.; Fan, Z.; et al. Two-Dimensional Defective Boron-Doped Niobic Acid Nanosheets for Robust Nitrogen Photofixation. ACS Nano 2021, 15, 17820–17830. [Google Scholar] [CrossRef]
- Xia, Y.; Li, Q.; Lv, K.; Li, M. Heterojunction Construction between TiO2 Hollowsphere and ZnIn2S4 Flower for Photocatalysis Application. Appl. Surf. Sci. 2017, 398, 81–88. [Google Scholar] [CrossRef]
- Liang, M.; Borjigin, T.; Zhang, Y.; Liu, B.; Liu, H.; Guo, H. Controlled Assemble of Hollow Heterostructured g-C3N4@CeO2 with Rich Oxygen Vacancies for Enhanced Photocatalytic CO2 Reduction. Appl. Catal. B 2019, 243, 566–575. [Google Scholar] [CrossRef]
- Kang, M.; Liang, J.; Wang, F.; Chen, X.; Lu, Y.; Zhang, J. Structural Design of Hexagonal/Monoclinic WO3 Phase Junction for Photocatalytic Degradation. Mater. Res. Bull. 2020, 121, 110614. [Google Scholar] [CrossRef]
- Shi, W.; Guo, X.; Cui, C.; Jiang, K.; Li, Z.; Qu, L.; Wang, J.-C. Controllable Synthesis of Cu2O Decorated WO3 Nanosheets with Dominant (001) Facets for Photocatalytic CO2 Reduction under Visible-Light Irradiation. Appl. Catal. B 2019, 243, 236–242. [Google Scholar] [CrossRef]
- Dong, G.; Huang, X.; Bi, Y. Anchoring Black Phosphorus Quantum Dots on Fe-Doped W18O49 Nanowires for Efficient Photocatalytic Nitrogen Fixation. Angew. Chem. Int. Ed. 2022, 61, e202204271. [Google Scholar] [CrossRef] [PubMed]
- Hui, X.; Li, L.; Xia, Q.; Hong, S.; Hao, L.; Robertson, A.W.; Sun, Z. Interface Engineered Sb2O3/W18O49 Heterostructure for Enhanced Visible-Light-Driven Photocatalytic N2 Reduction. Chem. Eng. J. 2022, 438, 135485. [Google Scholar] [CrossRef]
- Zou, W.; Shao, Y.; Pu, Y.; Luo, Y.; Sun, J.; Ma, K.; Tang, C.; Gao, F.; Dong, L. Enhanced Visible Light Photocatalytic Hydrogen Evolution via Cubic CeO2 Hybridized g-C3N4 Composite. Appl. Catal. B 2017, 218, 51–59. [Google Scholar] [CrossRef]
- Fang, X.; Chen, L.; Cheng, H.; Bian, X.; Sun, W.; Ding, K.; Xia, X.; Chen, X.; Zhu, J.; Zheng, Y. Homojunction and Ohmic Contact Coexisting Carbon Nitride for Efficient Photocatalytic Hydrogen Evolution. Nano Res. 2023, 16, 8782–8792. [Google Scholar] [CrossRef]
- Yang, J.; Hou, Y.; Sun, J.; Liang, T.; Zhu, T.; Liang, J.; Lu, X.; Yu, Z.; Zhu, H.; Wang, S. Cu Doping and Ti3C2OH Quantum Dots Co-Modifications of Zn3In2S6 Boosted Photocatalytic Reduction of CO2 to CO via Accelerating Carriers Transfer and Enhancing CO2 Adsorption and Activation. Chem. Eng. J. 2023, 452, 139522. [Google Scholar] [CrossRef]
- Wang, K.; Gu, G.; Hu, S.; Zhang, J.; Sun, X.; Wang, F.; Li, P.; Zhao, Y.; Fan, Z.; Zou, X. Molten Salt Assistant Synthesis of Three-Dimensional Cobalt Doped Graphitic Carbon Nitride for Photocatalytic N2 Fixation: Experiment and DFT Simulation Analysis. Chem. Eng. J. 2019, 368, 896–904. [Google Scholar] [CrossRef]
- Yang, J.; Guo, Y.; Jiang, R.; Qin, F.; Zhang, H.; Lu, W.; Wang, J.; Yu, J.C. High-Efficiency “Working-in-Tandem” Nitrogen Photofixation Achieved by Assembling Plasmonic Gold Nanocrystals on Ultrathin Titania Nanosheets. J. Am. Chem. Soc. 2018, 140, 8497–8508. [Google Scholar] [CrossRef] [PubMed]
- Ren, X.; Xia, M.; Chong, B.; Yan, X.; Lin, B.; Yang, G. Transition Metal Modified 3DOM WO3 with Activated N≡N Bond Triggering High-Efficiency Nitrogen Photoreduction. Chem. Eng. Sci. 2022, 257, 117734. [Google Scholar] [CrossRef]
- Zhao, Y.; Zhao, Y.; Shi, R.; Wang, B.; Waterhouse, G.I.N.; Wu, L.Z.; Tung, C.H.; Zhang, T. Tuning Oxygen Vacancies in Ultrathin TiO2 Nanosheets to Boost Photocatalytic Nitrogen Fixation up to 700 nm. Adv. Mater. 2019, 31, e1806482. [Google Scholar] [CrossRef] [PubMed]
- Liu, Y.; Liang, L.; Xiao, C.; Hua, X.; Li, Z.; Pan, B.; Xie, Y. Promoting Photogenerated Holes Utilization in Pore-Rich WO3 Ultrathin Nanosheets for Efficient Oxygen-Evolving Photoanode. Adv. Energy Mater. 2016, 6, 1600437. [Google Scholar] [CrossRef]
- Wang, J.; Zhang, Q.; Deng, F.; Luo, X.; Dionysiou, D.D. Rapid Toxicity Elimination of Organic Pollutants by the Photocatalysis of Environment-Friendly and Magnetically Recoverable Step-Scheme SnFe2O4/ZnFe2O4 Nano-Heterojunctions. Chem. Eng. J. 2020, 379, 122264. [Google Scholar] [CrossRef]
- Yang, G.; Chen, D.; Ding, H.; Feng, J.; Zhang, J.Z.; Zhu, Y.; Hamid, S.; Bahnemann, D.W. Well-Designed 3D ZnIn2S4 Nanosheets/TiO2 Nanobelts as Direct Z-Scheme Photocatalysts for CO2 Photoreduction into Renewable Hydrocarbon Fuel with High Efficiency. Appl. Catal. B 2017, 219, 611–618. [Google Scholar] [CrossRef]
- Shi, K.; Wang, F.; Li, X.; Huang, W.; Lu, K.; Yu, C.; Yang, K. Defect-engineered WO3−x nanosheets for optimized photocatalytic nitrogen fixation and hydrogen production. J. Mater. Sci. 2023, 58, 16309–16321. [Google Scholar] [CrossRef]
- Yang, Z.; Wang, J.; Wang, J.; Li, M.; Cheng, Q.; Wang, Z.; Wang, X.; Li, J.; Li, Y.; Zhang, G. 2D WO3–x Nanosheet with Rich Oxygen Vacancies for Efficient Visible-Light-Driven Photocatalytic Nitrogen Fixation. Langmuir 2022, 38, 1178–1187. [Google Scholar] [CrossRef]
- Wang, L.; Wang, S.; Cui, D.; Li, M.; Yang, X.; Li, F.; Xu, L. Z-scheme heterojunctions with double vacancies semiconductors MoO3−x and Fe-doped W18O49 for photocatalytic nitrogen fixation. J. Alloys Compd. 2022, 927, 167003. [Google Scholar] [CrossRef]
- Huang, H.; Wang, X.-S.; Philo, D.; Ichihara, F.; Song, H.; Li, Y.; Li, D.; Qiu, T.; Wang, S.; Ye, J. Toward visible-light-assisted photocatalytic nitrogen fixation: A titanium metal organic framework with functionalized ligands. Appl. Catal. B Environ. 2020, 267, 118686. [Google Scholar] [CrossRef]
- Xu, H.; Wang, Y.; Dong, X.; Zheng, N.; Ma, H.; Zhang, X. Fabrication of In2O3/In2S3 microsphere heterostructures for efficient and stable photocatalytic nitrogen fixation. Appl. Catal. B Environ. 2019, 257, 117932. [Google Scholar] [CrossRef]
- Hu, T.; Jiang, G.; Yan, Y.; Lan, S.; Xie, J.; Zhang, Q.; Li, Y. Facile synthesis of Fe single-atom porous photocatalysts via direct metal atomization achieving efficient photocatalytic nitrogen fixation. J. Mater. Sci. Technol. 2023, 167, 248–257. [Google Scholar] [CrossRef]
- Huang, X.; Shi, Y.; Liu, C.; Wang, Z.; Bi, J.; Yu, J.C.; Wu, L. Enhanced photocatalytic nitrogen fixation on Cu2O clusters/MIL-100(Fe) heterojunction. Appl. Surf. Sci. 2023, 640, 158443. [Google Scholar] [CrossRef]
- Li, Q.; Zhao, Z.; Bai, X.; Tong, X.; Yue, S.; Luo, J.; Yu, X.; Wang, Z.; Wang, Z.; Li, P.; et al. Tunable and stable localized surface plasmon resonance in SrMoO4 for enhanced visible light driven nitrogen reduction. Chin. J. Catal. 2021, 42, 1763–1771. [Google Scholar] [CrossRef]
- Li, C.; Gu, M.; Gao, M.; Liu, K.; Zhao, X.; Cao, N.; Feng, J.; Ren, Y.; Wei, T.; Zhang, M. N-doping TiO2 hollow microspheres with abundant oxygen vacancies for highly photocatalytic nitrogen fixation. J. Colloid Interface Sci. 2022, 609, 341–352. [Google Scholar] [CrossRef]
- Wang, W.; Zhou, H.; Liu, Y.; Zhang, S.; Zhang, Y.; Wang, G.; Zhang, H.; Zhao, H. Formation of B-N-C Coordination to Stabilize the Exposed Active Nitrogen Atoms in g-C3N4 for Dramatically Enhanced Photocatalytic Ammonia Synthesis Performance. Small 2020, 16, 1906880. [Google Scholar] [CrossRef] [PubMed]
- Liang, C.; Niu, H.-Y.; Guo, H.; Niu, C.-G.; Yang, Y.-Y.; Liu, H.-Y.; Tang, W.-W.; Feng, H.-P. Efficient photocatalytic nitrogen fixation to ammonia over bismuth monoxide quantum dots-modified defective ultrathin graphitic carbon nitride. Chem. Eng. J. 2021, 406, 126868. [Google Scholar] [CrossRef]







Disclaimer/Publisher’s Note: The statements, opinions and data contained in all publications are solely those of the individual author(s) and contributor(s) and not of MDPI and/or the editor(s). MDPI and/or the editor(s) disclaim responsibility for any injury to people or property resulting from any ideas, methods, instructions or products referred to in the content. |
© 2023 by the authors. Licensee MDPI, Basel, Switzerland. This article is an open access article distributed under the terms and conditions of the Creative Commons Attribution (CC BY) license (https://creativecommons.org/licenses/by/4.0/).
Share and Cite
Xia, Y.; Xia, X.; Zhu, S.; Liang, R.; Yan, G.; Chen, F.; Wang, X. Synergistic Spatial Confining Effect and O Vacancy in WO3 Hollow Sphere for Enhanced N2 Reduction. Molecules 2023, 28, 8013. https://doi.org/10.3390/molecules28248013
Xia Y, Xia X, Zhu S, Liang R, Yan G, Chen F, Wang X. Synergistic Spatial Confining Effect and O Vacancy in WO3 Hollow Sphere for Enhanced N2 Reduction. Molecules. 2023; 28(24):8013. https://doi.org/10.3390/molecules28248013
Chicago/Turabian StyleXia, Yuzhou, Xinghe Xia, Shuying Zhu, Ruowen Liang, Guiyang Yan, Feng Chen, and Xuxu Wang. 2023. "Synergistic Spatial Confining Effect and O Vacancy in WO3 Hollow Sphere for Enhanced N2 Reduction" Molecules 28, no. 24: 8013. https://doi.org/10.3390/molecules28248013
APA StyleXia, Y., Xia, X., Zhu, S., Liang, R., Yan, G., Chen, F., & Wang, X. (2023). Synergistic Spatial Confining Effect and O Vacancy in WO3 Hollow Sphere for Enhanced N2 Reduction. Molecules, 28(24), 8013. https://doi.org/10.3390/molecules28248013

