Development of Iron–Silicate Composites by Waste Glass and Iron or Steel Powders
Abstract
:1. Introduction
2. Results and Discussion
2.1. XRD Analysis
2.2. Morphology
2.3. Structural Investigations by FTIR Spectra
2.4. Structural Investigations of the UV-Vis Spectra
2.5. Band Gap Energy
2.6. Structural Investigations of the Electron Paramagnetic Resonance (EPR) Data
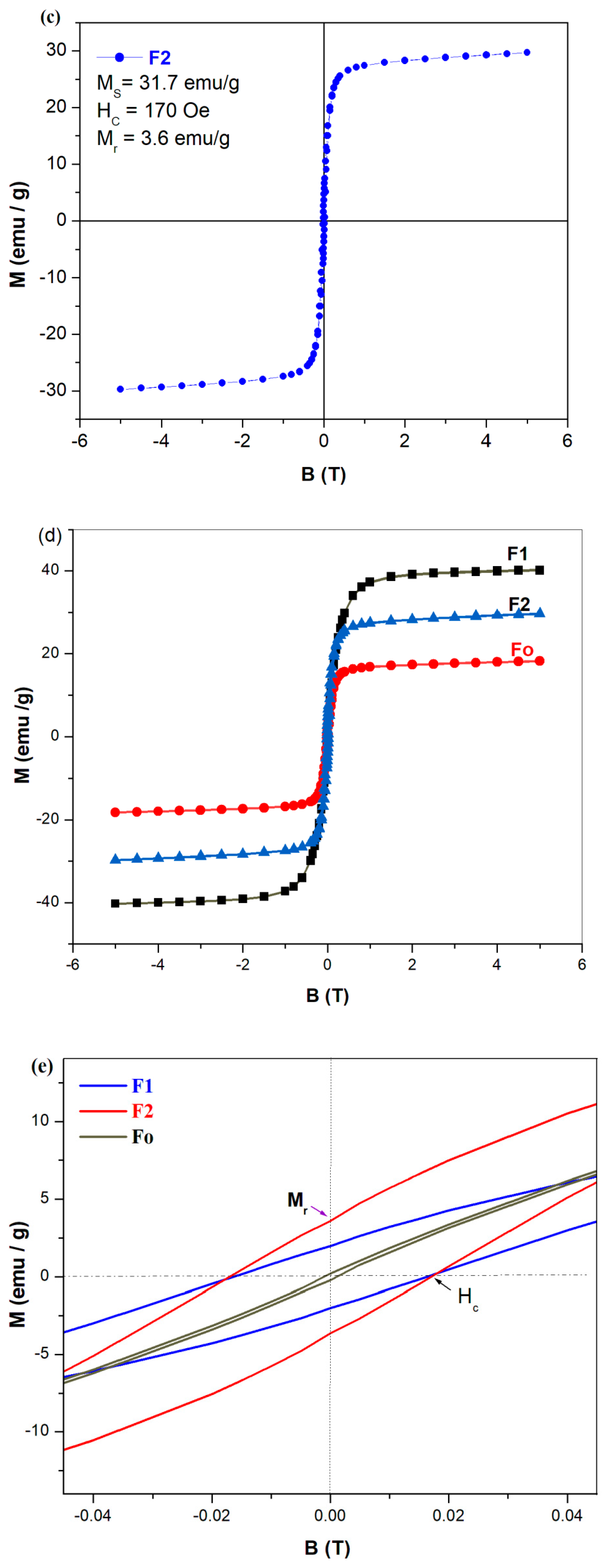
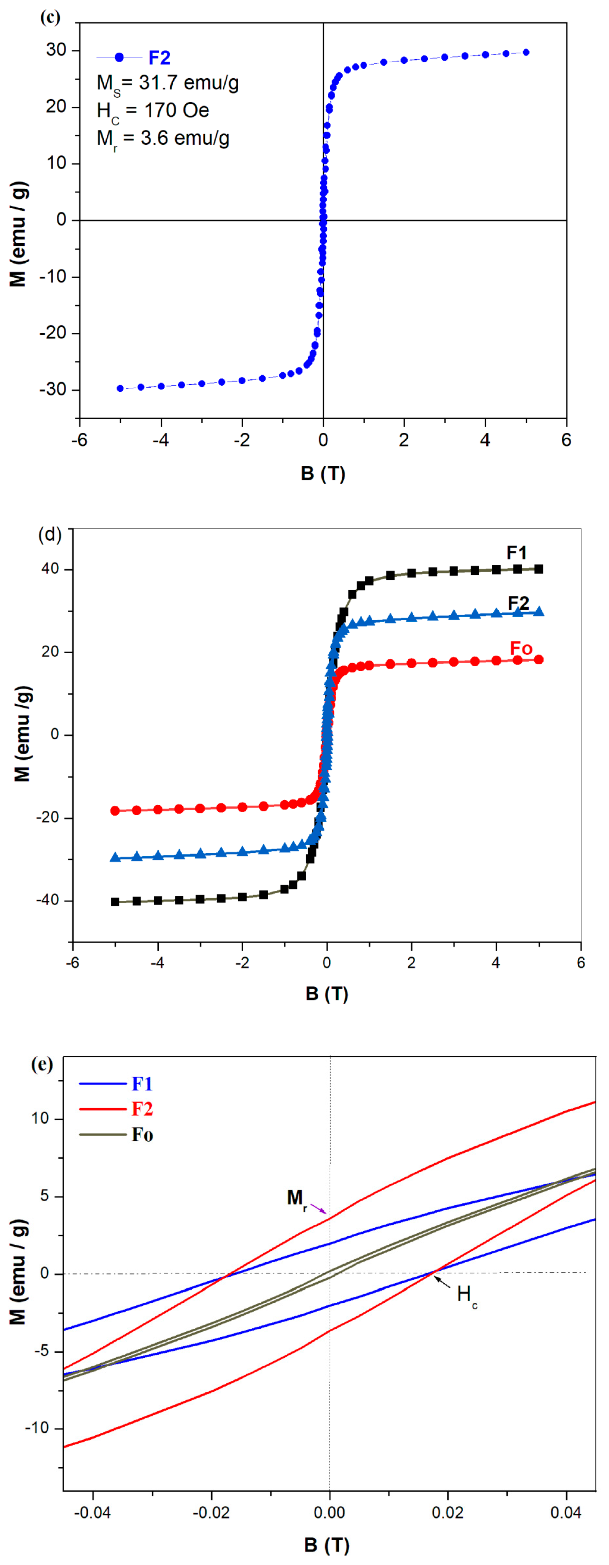
2.7. Hysteresis
3. Experimental Procedure
4. Conclusions
Author Contributions
Funding
Institutional Review Board Statement
Informed Consent Statement
Data Availability Statement
Conflicts of Interest
Sample Availability
References
- Rios, L.M.H.; Trivino, A.F.H.; Villaquiran-Caicedo, M.A.; de Gutierrez, R.M. Effect of the use of waste glass (as precursor, and alkali activator) in the manufacture of geopolymer rendering mortars and architectural titles. Constr. Build. Mater. 2023, 363, 129760. [Google Scholar] [CrossRef]
- Yi, H.; Xu, G.; Cheng, H.; Wang, J.; Wan, Y.; Chen, H. An overview of utilization of steel slag. Procedia Environ. Sci. 2012, 16, 791–801. [Google Scholar] [CrossRef]
- Xiao, X.; Zhang, S.; Sher, F.; Chen, J.; Xin, Y.; You, Z.; Wen, L.; Hu, M.; Qiu, G. A review on recycling and reutilization of blast furnace dust as a secondary resource. J. Sustain. Mettaluurgy 2021, 7, 340–357. [Google Scholar] [CrossRef]
- Issa, S.A.; Almutairi, A.M.; Albalawi, K.; Dakhilallah, O.K.; Zakaly, H.M.H.; Ene, A.; Abulyazied, D.E.; Ahmed, S.M.; Youness, R.A.; Taha, M.A. Production of Hybrid Nanocomposites Based on Iron Waste Reinforced with Niobium Carbide/Granite Nanoparticles with Outstanding Strength and Wear Resistance for Use in Industrial Applications. Nanomaterials 2023, 13, 537. [Google Scholar] [CrossRef]
- Alli, Y.A.; Oladoye, P.O.; Ejeromedoghene, O.; Bankole, O.M.; Alimi, O.A.; Omotola, E.O.; Olanrewaju, C.A.; Philippot, K.; Adeleye, A.S.; Ogunlaja, A.S. Nanomaterials as catalysts for transformation into value-added products: A review. Sci. Total Environ. 2023, 868, 161547. [Google Scholar] [CrossRef]
- Rivera, J.F.; Cuaran, Z.I.C.; Bonilla, N.V.; Gutierrez, R.M. Novel use of waste glass powder: Production of geoplymeric titles. Adv. Powder Technol. 2018, 29, 3448–3454. [Google Scholar] [CrossRef]
- Horszczaruk, E.; Aleksandrzak, M.; Cendrowski, K.; Jedrzejewski, R.; Baranowska, J.; Mijowska, E. Mechanical properties cement based composites modified with nano-Fe3O4/SiO2. Constr. Build. Mater. 2020, 251, 118945. [Google Scholar] [CrossRef]
- Liandi, A.R.; Cahyana, A.H.; Kusumah, A.J.F.; Lupitasari, A.; Alfariza, D.N.; Nuraini, R.; Sari, R.W.; Kusumasari, F.C. Recent trends of spinel ferrites (MFe2O4: Mn, Co, Ni, Cu, Zn) applications as an environmentally friendly catalyst in multicomponent reactions: A review. Cases Stud. Chem. Environ. Eng. 2023, 7, 100303. [Google Scholar] [CrossRef]
- Yu, J.; Wang, B.; Lu, Q.; Xiao, L.; Ma, X.; Feng, Y.; Qian, Y. Fabrication of Fe3O4 nanoparticles by using cathode glow discharge electrolysis plasma and its electrochemical properties. Electrochim. Acta 2022, 427, 140843. [Google Scholar] [CrossRef]
- Hoyos-Sifuentes, D.H.; Resendiz-Hernandez, P.J.; Diaz-Guillen, J.A.; Ochoa-Palacios, R.M.; Guerero, G.A. Synthesis and characterization of MgFe2O4 nanoparticles and PEG-coated MgFe2O4 nanocomposite. J. Mater. Res. Technol. 2022, 18, 3130–3142. [Google Scholar] [CrossRef]
- Rukhsar, M.; Ahmad, Z.; Rauf, A.; Zeb, H.; Ur-Rehman, M.; Hemeg, H.A. An Overview of Iron Oxide (Fe3O4) Nanoparticles: From Synthetic Strategies, Characterization to Antibacterial and Anticancer Applications. Crystals 2022, 12, 1809. [Google Scholar] [CrossRef]
- Serga, V.; Burve, R.; Maiorov, M.; Krumina, A.; Skaudzius, R.; Zarkov, A.; Kareiva, A.; Popov, A.I. Impact of gadoliunium on the structure and magnetic properties of nanocrystalline powders of iron oxides produced by the extraction—Pyrolytic method. Materials 2020, 13, 4147. [Google Scholar] [CrossRef] [PubMed]
- Nordin, A.N.; Ahmad, Z.; Husna, S.M.N.; Ilyas, R.A.; Azemi, A.K.; Ismail, N.; Nordin, M.L.; Ngadi, N.; Siti, N.H.; Nabgan, W.; et al. The state of the art of natural polymer functionalized Fe3O4 magnetic nanoparticles composites for drug delivery applications: A review. Gels 2023, 9, 121. [Google Scholar] [CrossRef]
- Yang, T.; Lu, K.; Wang, J.; Xu, J.; Zheng, Z.; Liu, X. Fe-6.5 wt% Si soft magnetic composites with significant improvement of magnetic properties by compositing nano-MnZn ferrites. J. Alloys Compd. 2022, 909, 164660. [Google Scholar] [CrossRef]
- Ashiq, M.N.; Ehsan, M.F.; Iqbal, M.J.; Gul, I.H. Synthesis, structural and electrical characterization of Sb+3 substituted spinel nickel ferrite (NiSbxFe2−xO4) nanoparticles by reverse micelle technique. J. Alloys Compd. 2011, 509, 5119–5126. [Google Scholar] [CrossRef]
- Patil, R.P.; Delekar, S.D.; Mane, D.R.; Hankare, P.P. Synthesis, structural and magnetic properties of different metal ion substituted nanocrystalline zinc ferrite. Results Phys. 2013, 3, 129–133. [Google Scholar] [CrossRef]
- Singh, S.; Singhal, S. Transition metal doped cobalt ferrite nanoparticles: Efficient photocatalyst for photodegradation of textile dye. Mater. Today Proc. 2019, 14, 453–460. [Google Scholar] [CrossRef]
- Dippong, T.; Levei, E.A.; Cadar, O. Recent advances in synthesis and applications of MFe2O4 (M = Co, Cu, Mn, Ni, Zn) nanoparticles. Nanomaterials 2021, 11, 1560. [Google Scholar] [CrossRef]
- Houbi, A.; Aldashevich, Z.A.; Atassi, Y.; Telmanovna, Z.B.; Saule, M.; Kubannych, K. Microwave absorbing properties of ferrites and their composites: A review. J. Magn. Magn. Mater. 2021, 529, 167839. [Google Scholar] [CrossRef]
- Ranga, R.; Kumar, A.; Kumari, P.; Singh, P.; Madaan, V.; Kumar, K. Ferrite applications as an electrochemical sensor: A review. Mater. Charact. 2021, 178, 111269. [Google Scholar] [CrossRef]
- Shi, C.; Zheng, K. A review on the use of waste glasses in the production of cement and concrete. Resour. Conserv. Recycl. 2007, 52, 234–247. [Google Scholar] [CrossRef]
- Cyr, M.; Idir, R.; Poinot, T. Properties of inorganic polymer (geoplymer) mortars made of glass cullet. J. Mater. Sci. 2012, 47, 2782–2797. [Google Scholar] [CrossRef]
- Shetty, K.; Prathibha, B.S.; Rangappa, D.; Anantharaju, K.S.; Nagaswarupa, H.P.; Nagabhushana, H.; Prashantha, S.C. Photocatalytic study for fabricated Ag doped and undoped MgFe2O4 nanoparticles. Mater. Today Proc. 2017, 4, 11764–11772. [Google Scholar] [CrossRef]
- Geetha, K.; Udhayakumar, R.; Manikandan, A. Enhanced magnetic and photocatalytic characteristics of cerium substituted spinel MgFe2O4 ferrite nanoparticles. Physica B 2021, 615, 413083. [Google Scholar] [CrossRef]
- Stefanovsky, S.V.; Stefanovsky, O.I.; Prusakov, I.L.; Kadyko, M.I.; Averin, A.A.; Nikonov, B.S. Speciation of sulphate ions in sodium alumino(iron)phosphate glasses. J. Non-Cryst. Solids 2019, 512, 81–89. [Google Scholar] [CrossRef]
- Hadadian, Y.; Masoomi, H.; Dinari, A.; Ryu, C.; Hwang, S.; Kim, S.; Cho, B.K.; Lee, J.Y.; Yoon, J. From low to high saturation magnetization in magnetite nanoparticles: The crucial role of the molar rations between the chemicals. ACS Omega 2022, 7, 15996–16012. [Google Scholar] [CrossRef]
- Jiang, C.; Ramteke, D.D.; Sliz, R.; Sreenivasan, H.; Cheeseman, C.; Kinnunen, P. Preparation and characterization of binary Mg-silicate glasses via sol-gel route. J. Non-Cryst. Solids 2023, 606, 122204. [Google Scholar] [CrossRef]
- Rada, R.; Manea, D.L.; Chelcea, R.; Rada, S. Nanocomposites as substituent of cement: Structure and mechanical properties. Materials 2023, 16, 2398. [Google Scholar] [CrossRef]
- Thankachan, S.; Xavier, S.; Jacob, B.; Mohammed, E.M. A comparative study of structural, electrical and magnetic properties of magnesium ferrite nanoparticles synthesized by sol-gel and co-precipitation technique. J. Exp. Nanosci. 2013, 3, 347–357. [Google Scholar] [CrossRef]
- Banerjee, A.; Das, S.; Misra, S.; Mukhopadhyay, S. Structural analysis on spinel (MgFe2O4) for application in spinel-bobdedcastables. Ceram. Int. 2009, 1, 381–390. [Google Scholar] [CrossRef]
- Ozel, E.; Turan, S. Production of coloured zircon pigments from zircon. J. Eur. Ceram. Soc. 2007, 27, 1751–1757. [Google Scholar] [CrossRef]
- Handke, M.; Urban, M. IR and Raman spectra of alkaline earth metals orthosilicates. J. Mater. Sci. 1982, 79, 353–356. [Google Scholar] [CrossRef]
- Gurgul, J.; Latza, K.; Hnat, I.; Rynkowski, J.; Dzwigaj, S. Identification of iron species in FeSiBEA by DR UV-Vis, XPS and Mossbauer spectroscopy: Influence of Fe content. Microporous Mesoporous Mater. 2013, 168, 1–6. [Google Scholar] [CrossRef]
- Mitrici, S.; Rada, S.; Culea, E.; David, L.; Bot, A. Acetylene adsorption on the iron-lead-borate glassy and vitroceramic surface. J. Non-Cryst. Solids 2017, 458, 34–40. [Google Scholar] [CrossRef]
- Rus, L.; Rada, S.; Rednic, V.; Culea, E.; Rada, M.; Bot, A.; Aldea, N.; Rusu, T. Structural and optical properties of the lead based glasses containing iron (III) oxide. J. Non-Cryst. Solids 2014, 402, 111–115. [Google Scholar] [CrossRef]
- Brick, M.; Srivastava, A.M. A few common misconceptions in the interpretation of experimental spectroscopic data. Opt. Mater. 2022, 127, 112276. [Google Scholar] [CrossRef]
- Al-Ani, S.K.J. Determination of the optical gap of amorphous materials. Int. J. Electron. 1993, 75, 1153–1163. [Google Scholar] [CrossRef]
- Babanejad, S.A.; Ashrafi, F.; Salarzadeh, N.; Ashrafi, E. Study the optical properties of amorphous structure (glassy) of B2O3-CdO binary system. Adv. Appl. Sci. Res. 2012, 3, 643–748. [Google Scholar]
- Dan, H.K.; Trung, N.D.; Zhou, D.; Qiu, J. Influences of Mn+2 ions, and Mn+2-Yb+3 dimer on the optical band gaps and bandwidth flatness of near-infrared emissions of Ho+3/Tm+3, Ho+3/Tm+3/Yb+3 co-doped calcium aluminosilicate glasses. J. Non-Cryst. Solids 2023, 603, 122086. [Google Scholar] [CrossRef]
- Rada, M.; Chelcea, R.; Rada, S.; Rus, L.; Dura, N.; Ristoiu, T.; Rusu, T.; Culea, E. Effect of aluminum oxide codoping on copper-lead-germanate glasses. Spectrochim. Acta A 2013, 102, 414–418. [Google Scholar] [CrossRef]
- Rada, S.; Cuibus, D.; Vermesan, H.; Rada, M.; Culea, E. Structural and electrochemical properties of recycled active electrodes from spent lead acid battery and modified with different manganese dioxide contents. Electrochim. Acta 2018, 268, 332–339. [Google Scholar] [CrossRef]
- Bose, S.; Tripathy, B.K.; Debnath, A.; Kumar, M. Boosted sono-oxidative catalytic degradation of Brilliant Green dye by magnetic MgFe2O4 catalyst: Degradation mechanism, assessment of biotoxicity and cost analysis. Ultrason. Sonochem. 2021, 75, 105592. [Google Scholar] [CrossRef]
- Liu, X.; Yan, Y.; Da, Z.; Shi, W.; Ma, C.; Lv, P.; Tang, Y.; Yao, G.; Wu, Y.; Huo, P.; et al. Significantly enhanced photocatalytic performance of CdS coupled WO3 nanosheets and the mechanism study. Chem. Eng. J. 2014, 241, 243–250. [Google Scholar] [CrossRef]
- Siramanont, J.; Walder, B.J.; Emsley, L.; Bowen, P. Iron incorporation in synthetic precipitated calcium silicate hydratyes. Cem. Concr. Res. 2021, 142, 106365. [Google Scholar] [CrossRef]
- Rani, P.S.; Singh, R. Electron spin resonance and magnetization studies of ZnO-TeO2-Fe2O3 glasses. J. Phys. Chem. Solids 2013, 74, 338–343. [Google Scholar] [CrossRef]
- Singh, R.K.; Srinivasa, A. EPR and magnetic properties of MgO-CaO-SiO2-P2O5-CaF2-Fe2O3 glass-ceramics. J. Magn. Magn. Mater. 2009, 321, 2749–2752. [Google Scholar] [CrossRef]
- Karabulut, M.; Popa, A.; Borodi, G.; Stefan, R. An FTIR and ESR study of iron doped calcium borophosphate glass—Ceramics. J. Mol. Struct. 2015, 1101, 170–175. [Google Scholar] [CrossRef]
- Mitrici, S.; Rada, S.; Culea, E.; Pop, L.; Popa, A.; Bot, A.; Macavei, S.; Pana, O.; David, L. Nickel-lead-borate glasses and vitroceramics with antiferromagnetic NiO and nickel–orthoborate crystalline phases. J. Non-Cryst. Solids 2017, 471, 349–356. [Google Scholar] [CrossRef]
- Liu, B.; Zhang, L.; Zhang, B.; Wang, J.; Zhang, Y.; Han, G.; Cao, Y. Cgaracterizations on phase reconstruction, microstructure evolution and separation of magnetic ferrite ceramics from low-grade manganese ores by novel uphill reaction diffusion and magnetic separation. Mater. Charact. 2021, 175, 111028. [Google Scholar] [CrossRef]
- Ang, B.C.; Yaacob, I.I.; Chew, C.S. Effect of FeCl2 concentration on the properties of magnetic nanoparticles by using Massart’s procedure. Sains Malays. 2014, 43, 611–616. [Google Scholar]
- Xie, W.; Wang, H. Immobilized polymeric sulfonated ionic liquid on core-shell structured Fe3O4/SiO2 composites: A magnetically recyclable catalyst for simultaneous transterification and esterifications of low cost oils to biodisel. Renew. Energy 2020, 145, 168231. [Google Scholar] [CrossRef]
- Sankaran, K.J.; Suman, S.; Sahaw, A.; Balaji, U.; Sakthivel, R. Improved LPG sensing properties of nickel doped cobalt ferrites derived from metallurgical wastes. J. Magn. Magn. Mater. 2021, 537, 168231. [Google Scholar] [CrossRef]









| FeO·Fe2O3 = Fe3O4 (Magnetite) with Cubic Structure | FeCl2(H2O)2 with Monoclinic Structure | ||
|---|---|---|---|
| 2 Theta (Degree) | Intensity (%) | 2 Theta (Degree) | Intensity (%) |
| 18.24 30.06 35.45 37.04 43.10 53.14 56.98 62.54 71.03 74.07 | 30 60 100 10 50 40 60 70 10 30 | 15.98 20.77 24.43 24.71 28.03 31.03 32.37 32.49 33.75 37.52 38.53 38.77 41.17 42.26 43.17 43.27 43.37 49.31 | 100 57.35 1.4 2.6 3 25.02 47.64 29.52 11.31 27.12 3.9 14.41 1.2 16.31 13.01 18.31 14.01 2.8 |
| Name | Sample Code | Waste Glass Powder (g) | HCl (mL) | NaOH (mL) | H2SO4 (mL) | Waste Cast Iron Powder (g) | Waste Iron Powder (g) |
|---|---|---|---|---|---|---|---|
| Steel–silicate composite | Fo | 5 | 5 | 5 | 2 | 5 | - |
| Iron–silicate composite | F1 | 5 | 5 | 5 | 2 | - | 5 |
| Iron–silicate composite | F2 | 5 | 5 | 5 | 5 | - | 7.5 |
Disclaimer/Publisher’s Note: The statements, opinions and data contained in all publications are solely those of the individual author(s) and contributor(s) and not of MDPI and/or the editor(s). MDPI and/or the editor(s) disclaim responsibility for any injury to people or property resulting from any ideas, methods, instructions or products referred to in the content. |
© 2023 by the authors. Licensee MDPI, Basel, Switzerland. This article is an open access article distributed under the terms and conditions of the Creative Commons Attribution (CC BY) license (https://creativecommons.org/licenses/by/4.0/).
Share and Cite
Rada, R.; Vermesan, H.; Rada, S.; Leostean, C.; Manea, D.L.; Culea, E. Development of Iron–Silicate Composites by Waste Glass and Iron or Steel Powders. Molecules 2023, 28, 6296. https://doi.org/10.3390/molecules28176296
Rada R, Vermesan H, Rada S, Leostean C, Manea DL, Culea E. Development of Iron–Silicate Composites by Waste Glass and Iron or Steel Powders. Molecules. 2023; 28(17):6296. https://doi.org/10.3390/molecules28176296
Chicago/Turabian StyleRada, Roxana, Horatiu Vermesan, Simona Rada, Cristian Leostean, Daniela Lucia Manea, and Eugen Culea. 2023. "Development of Iron–Silicate Composites by Waste Glass and Iron or Steel Powders" Molecules 28, no. 17: 6296. https://doi.org/10.3390/molecules28176296
APA StyleRada, R., Vermesan, H., Rada, S., Leostean, C., Manea, D. L., & Culea, E. (2023). Development of Iron–Silicate Composites by Waste Glass and Iron or Steel Powders. Molecules, 28(17), 6296. https://doi.org/10.3390/molecules28176296

