Rutaecarpine Ameliorates Murine N-Methyl-N’-Nitro-N-Nitrosoguanidine-Induced Chronic Atrophic Gastritis by Sonic Hedgehog Pathway
Abstract
1. Introduction
2. Results
2.1. RUT Mitigates MNNG-Co-Incubated GES-1 Cell Injury
2.2. RUT Alleviates MNNG Co-Cultured CAG by Activating Upregulation of SHH and Anti-Apoptosis Signaling
2.3. RUT Protects against MNNG Co-Cultured Apoptosis in GES-1 Cells
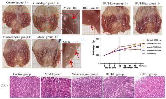
2.4. Effects of RUT on Macroscopic Pathology
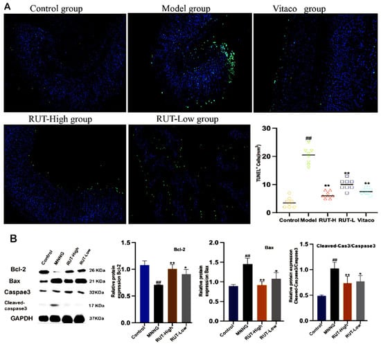
2.5. RUT Improves Gastric Mucosal Cells Apoptosis
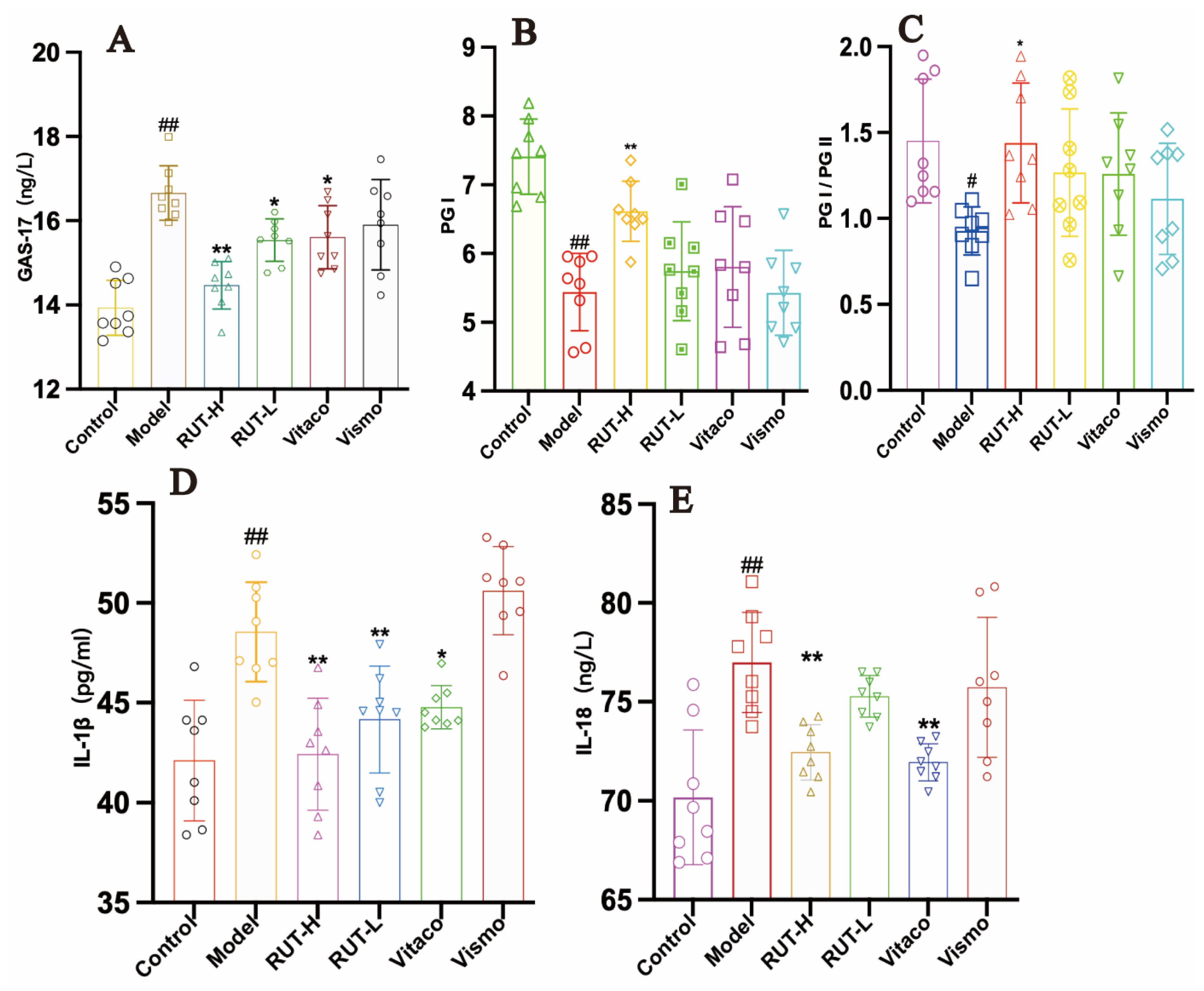
2.6. RUT Affects the Serological Levels of Inflammatory Factors and Gastrointestinal Hormones
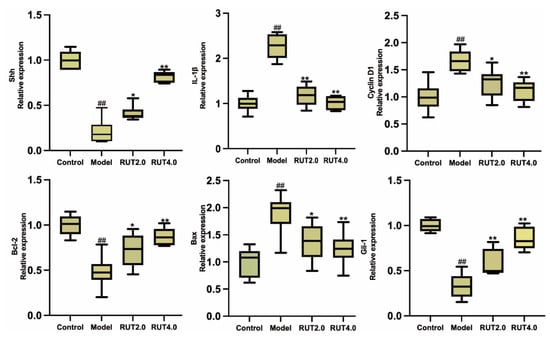
2.7. Effect of RUT on SHH Pathway-Related Protein Expression
3. Materials and Methods
3.1. Drugs and Reagents
3.2. Ethics Approval Statement
3.3. Animal Handing
3.4. Determination of Pharmacodynamic Indicators
3.5. TUNEL Assay
3.6. Western Blotting Analysis
3.7. Conditions of GES-1 Cell Culture
3.8. GES-1 Cell Viability Assay and Proliferation Analysis
3.9. Flow-Cytometry Analysis
3.10. Extraction of RNA and Analysis by qRT-PCR
4. Discussion
5. Conclusions
Author Contributions
Funding
Institutional Review Board Statement
Data Availability Statement
Conflicts of Interest
Abbreviations
References
- Arici, D.S.; Tuncer, E.; Ozer, H.; Simek, G.; Koyuncu, A. Expression of retinoblastoma and cyclin D1 in gastric carcinoma. Neoplasma 2009, 56, 63–67. [Google Scholar] [CrossRef] [PubMed]
- Bailey, C. Stomach cancer. Clin. Evid. 2006, 15, 765–771. [Google Scholar]
- Beales, I.; Calam, J. Interleukin 1 beta and tumour necrosis factor alpha inhibit acid secretion in cultured rabbit parietal cells by multiple pathways. Gut 1998, 42, 227–234. [Google Scholar] [CrossRef] [PubMed]
- Du, Y.; Bai, Y.; Xie, P.; Fang, J.; Wang, X.; Hou, X.; Tian, D.; Wang, C.; Liu, Y.; Sha, W.; et al. Chronic gastritis in China: A national multi-center survey. BMC Gastroenterol. 2014, 14, 21. [Google Scholar] [CrossRef] [PubMed]
- Graham, D.Y.; Fischbach, L. Helicobacter pylori treatment in the era of increasing antibiotic resistance. Gut 2010, 59, 1143–1153. [Google Scholar] [CrossRef]
- Guo, B.; Zhao, C.; Zhang, C.; Xiao, Y.; Yan, G.; Liu, L.; Pan, H. Elucidation of the anti-inflammatory mechanism of Er Miao San by integrative approach of network pharmacology and experimental verification. Pharmacol. Res. 2022, 175, 106000. [Google Scholar] [CrossRef]
- Guo, X.; Xu, Y.; Tan, H.L.; Wang, X.J.; Xiao, L. The Key Ingredient Acacetin in Weishu Decoction Alleviates Gastrointestinal Motility Disorder Based on Network Pharmacology Analysis. Mediat. Inflamm. 2021, 2021, 5265444. [Google Scholar] [CrossRef]
- Heidelberger, C. Chemical carcinogenesis. Cancer 1977, 40, 430–433. [Google Scholar] [CrossRef]
- Hu, P.J.; Yu, J.; Zeng, Z.R.; Leung, W.K.; Lin, H.L.; Tang, B.D.; Bai, A.H.; Sung, J.J. Chemoprevention of gastric cancer by celecoxib in rats. Gut 2004, 53, 195–200. [Google Scholar] [CrossRef]
- Jeelani, R.; Chatzicharalampous, C.; Kohan-Ghadr, H.R.; Bai, D.; Morris, R.T.; Sliskovic, I.; Awonuga, A.; Abu-Soud, H.M. Hypochlorous acid reversibly inhibits caspase-3: A potential regulator of apoptosis. Free Radic. Res. 2020, 54, 43–56. [Google Scholar] [CrossRef]
- Kong, Y.J.; Yi, H.G.; Dai, J.C.; Wei, M.X. Histological changes of gastric mucosa after Helicobacter pylori eradication: A systematic review and meta-analysis. World J. Gastroenterol. 2014, 20, 5903–5911. [Google Scholar] [CrossRef] [PubMed]
- Lashgari, M.; Yamini, Y.; Basheer, C.; Lee, H.K. Ordered mesoporous carbon as sorbent for the extraction of N-nitrosamines in wastewater and swimming pool water. J. Chromatogr. A 2017, 1513, 35–41. [Google Scholar] [CrossRef] [PubMed]
- Li, S.; Huang, B.; Zhou, C.; Shi, J.; Wu, Q.; Jiang, Q. Rutaecarpine Ameliorates Pressure Overload Cardiac Hypertrophy by Suppression of Calcineurin and Angiotensin II. Evid. Based Complement. Altern. Med. 2021, 2021, 8857329. [Google Scholar] [CrossRef] [PubMed]
- Li, Y.; Zhang, G.; Chen, M.; Tong, M.; Zhao, M.; Tang, F.; Xiao, R.; Wen, H. Rutaecarpine inhibited imiquimod-induced psoriasis-like dermatitis via inhibiting the NF-κB and TLR7 pathways in mice. Biomed. Pharmacother. 2019, 109, 1876–1883. [Google Scholar] [CrossRef] [PubMed]
- Li, Z.; Yang, M.; Peng, Y.; Gao, M.; Yang, B. Rutaecarpine ameliorated sepsis-induced peritoneal resident macrophages apoptosis and inflammation responses. Life Sci. 2019, 228, 11–20. [Google Scholar] [CrossRef] [PubMed]
- Liu, G.; Wang, T.; Wang, T.; Song, J.; Zhou, Z. Effects of apoptosis-related proteins caspase-3, Bax and Bcl-2 on cerebral ischemia rats. Biomed. Rep. 2013, 1, 861–867. [Google Scholar] [CrossRef]
- Mao, L.; Kitani, A.; Hiejima, E.; Montgomery-Recht, K.; Zhou, W.; Fuss, I.; Wiestner, A.; Strober, W. Bruton tyrosine kinase deficiency augments NLRP3 inflammasome activation and causes IL-1β-mediated colitis. J. Clin. Investig. 2020, 130, 1793–1807. [Google Scholar] [CrossRef]
- Martin, J.; Donnelly, J.M.; Houghton, J.; Zavros, Y. The Role of Sonic Hedgehog Reemergence During Gastric Cancer. Dig. Dis. Sci. 2010, 55, 1516–1524. [Google Scholar] [CrossRef][Green Version]
- Michalkiewicz, J.; Helmin-Basa, A.; Grzywa, R.; Czerwionka-Szaflarska, M.; Szaflarska-Poplawska, A.; Mierzwa, G.; Marszalek, A.; Bodnar, M.; Nowak, M.; Dzierzanowska-Fangrat, K. Innate Immunity Components and Cytokines in Gastric Mucosa in Children withHelicobacter pyloriInfection. Mediat. Inflamm. 2015, 2015, 176726. [Google Scholar] [CrossRef]
- Pimentel-Nunes, P.; Libânio, D.; Marcos-Pinto, R.; Areia, M.; Leja, M.; Esposito, G.; Garrido, M.; Kikuste, I.; Megraud, F.; Matysiak-Budnik, T.; et al. Management of epithelial precancerous conditions and lesions in the stomach (MAPS II): European Society of Gastrointestinal Endoscopy (ESGE), European Helicobacter and Microbiota Study Group (EHMSG), European Society of Pathology (ESP), and Sociedade Portuguesa de Endoscopia Digestiva (SPED) guideline update 2019. Endoscopy 2019, 51, 365–388. [Google Scholar] [CrossRef]
- Ren, S.; Wei, Y.; Niu, M.; Li, R.; Wang, R.; Wei, S.; Wen, J.; Wang, D.; Yang, T.; Chen, X.; et al. Mechanism of rutaecarpine on ethanol-induced acute gastric ulcer using integrated metabolomics and network pharmacology. Biomed. Pharmacother. 2021, 138, 111490. [Google Scholar] [CrossRef] [PubMed]
- Shiotani, A.; Iishi, H.; Uedo, N.; Ishiguro, S.; Tatsuta, M.; Nakae, Y.; Kumamoto, M.; Merchant, J.L. Evidence that Loss of Sonic Hedgehog is an Indicator of Helicobater pylori-induced Atrophic Gastritis Progressing to Gastric Cancer. Am. J. Gastroenterol. 2005, 100, 581–587. [Google Scholar] [CrossRef] [PubMed]
- Surbala, L.; Singh, C.B.; Devi, R.V.; Singh, O.J. Rutaecarpine exhibits anti-diabetic potential in high fat diet–multiple low dose streptozotocin induced type 2 diabetic mice and in vitro by modulating hepatic glucose homeostasis. J. Pharmacol. Sci. 2020, 143, 307–314. [Google Scholar] [CrossRef]
- Swiderska-Syn, M.; Mir-Pedrol, J.; Oles, A.; Schleuger, O.; Salvador, A.D.; Greiner, S.M.; Seward, C.; Yang, F.; Babcock, B.R.; Shen, C.; et al. Noncanonical activation of GLI signaling in SOX2 + cells drives medulloblastoma relapse. Sci. Adv. 2022, 8, eabj9138. [Google Scholar] [CrossRef] [PubMed]
- Tan, P.; Yeoh, K.-G. Genetics and Molecular Pathogenesis of Gastric Adenocarcinoma. Gastroenterology 2015, 149, 1153–1162.e3. [Google Scholar] [CrossRef]
- Tian, K.-M.; Li, J.-J.; Xu, S.-W. Rutaecarpine: A promising cardiovascular protective alkaloid from Evodia rutaecarpa (Wu Zhu Yu). Pharmacol. Res. 2019, 141, 541–550. [Google Scholar] [CrossRef]
- Tong, Y.; Liu, L.; Wang, R.; Yang, T.; Wen, J.; Wei, S.; Jing, M.; Zou, W.; Zhao, Y. Berberine Attenuates Chronic Atrophic Gastritis Induced by MNNG and Its Potential Mechanism. Front. Pharmacol. 2021, 12, 644638. [Google Scholar] [CrossRef]
- Waghray, M.; Zavros, Y.; Saqui-Salces, M.; El-Zaatari, M.; Alamelumangapuram, C.B.; Todisco, A.; Eaton, K.A.; Merchant, J.L. Interleukin-1beta promotes gastric atrophy through suppression of Sonic Hedgehog. Gastroenterology 2010, 138, e561–e562. [Google Scholar] [CrossRef]
- Wang, B.; Fallon, J.F.; Beachy, P.A. Hedgehog-Regulated Processing of Gli3 Produces an Anterior/Posterior Repressor Gradient in the Developing Vertebrate Limb. Cell 2000, 100, 423–434. [Google Scholar] [CrossRef]
- Wang, L.; Ding, X.; Li, P.; Zhang, F.; Ru, S.; Wang, F.; Li, L. Efficacy and safety of Weifuchun tablet for chronic atrophic gastritis: A systematic review and meta-analysis. PLoS ONE 2023, 18, e0284411. [Google Scholar] [CrossRef]
- Wei, Y.; Ma, L.-X.; Yin, S.-J.; An, J.; Wei, Q.; Yang, J.-X. Huangqi Jianzhong Tang for Treatment of Chronic Gastritis: A Systematic Review of Randomized Clinical Trials. Evidence-Based Complement. Altern. Med. 2015, 2015, 878164. [Google Scholar] [CrossRef]
- Wen, J.X.; Tong, Y.L.; Ma, X.; Wang, R.L.; Li, R.S.; Song, H.T.; Zhao, Y.L. Therapeutic effects and potential mechanism of dehydroevodiamine on N-methyl-N’-nitro-N-nitrosoguanidine-induced chronic atrophic gastritis. Phytomedicine 2021, 91, 153619. [Google Scholar] [CrossRef]
- Wong, H.; Alicke, B.; West, K.A.; Pacheco, P.; La, H.; Januario, T.; Yauch, R.L.; de Sauvage, F.J.; Gould, S.E. Pharmacokinetic-pharmacodynamic analysis of vismodegib in preclinical models of mutational and ligand-dependent Hedgehog pathway activation. Clin. Cancer Res. 2011, 17, 4682–4692. [Google Scholar] [CrossRef] [PubMed]
- Xiao, C.; Feng, R.; Engevik, A.C.; Martin, J.R.; Tritschler, J.A.; Schumacher, M.; Koncar, R.; Roland, J.; Nam, K.T.; Goldenring, J.R.; et al. Sonic Hedgehog contributes to gastric mucosal restitution after injury. Lab. Investig. 2013, 93, 96–111. [Google Scholar] [CrossRef] [PubMed]










| Antibody | Dilution | Manufacturer | Cat. No. |
|---|---|---|---|
| Rabbit anti-SHH | 1:1000 | BOSTER BIOTECH | D-B1-07G07A |
| Rabbit anti-IL-1β | 1:1000 | BOSTER BIOTECH | BOS703BP70 |
| Rabbit anti-Bax | 1:1000 | BOSTER BIOTECH | BA0315-2 |
| Rabbit anti-Bcl-2 | 1:1000 | BOSTER BIOTECH | A00040-2 |
| Rabbit anti-Gli-1 | 1:1000 | Bioss Antibodies | BS-1206R |
| Rabbit anti-SMO | 1:1000 | Beytime Biotech | AF-7836 |
| Rabbit anti-cyclin D1 | 1:1000 | BOSTER BIOTECH | BST17044272 |
| Rabbit anti-caspase-3 | 1:1000 | BOSTER BIOTECH | BM3957 |
| Rabbit anti-cleaved caspase-3 | 1:5000 | Abcam | [E83-77] ab32042 |
| GAPDH monoclonal antibody | 1:10,000 | Proteintech | 60004-1-lg |
| Goat anti-rabbit IgG (H + L) | 1:10,000 | ZSGB-BIO | ZB-2301 |
| Genes | Forward | Reverse |
|---|---|---|
| GAPDH | 5′-GGAAGCTTGTCATCAATGGAAATC-3′ | 5′-TGATGACCCTTTTGGCTCCC-3′ |
| Bcl-2 | 5′-GGAGGATTGTGGCCTTCTTTG-3′ | 5′-AGACAGCCAGGAGAAATCAAACA-3′ |
| Bax | 5′-CGGGTTGTCGCCCTTTTCTA-3′ | 5′-GAGGAAGTCCAATGTCCAGCC-3′ |
| Gli-1 | 5′-CTGACGCCCATGTGACCAA-3′ | 5′-TGCAAGGTCCCTCGTCCAA-3′ |
| SHH | 5′-AGGAGTGAAACTGCGGGTGA-3′ | 5′-CACCGAGCAGTGGATATGTGC-3′ |
| Cyclin D1 | 5′-AGCTGTGCATCTACACCGAC-3′ | 5′-GAAATCGTGCGGGGTCATTG-3′ |
| IL-1β | 5′-CGATCACTGAACTGCACGCTC-3′ | 5′-ACAAAGGACATGGAGAACACCACTT-3′ |
Disclaimer/Publisher’s Note: The statements, opinions and data contained in all publications are solely those of the individual author(s) and contributor(s) and not of MDPI and/or the editor(s). MDPI and/or the editor(s) disclaim responsibility for any injury to people or property resulting from any ideas, methods, instructions or products referred to in the content. |
© 2023 by the authors. Licensee MDPI, Basel, Switzerland. This article is an open access article distributed under the terms and conditions of the Creative Commons Attribution (CC BY) license (https://creativecommons.org/licenses/by/4.0/).
Share and Cite
He, Y.; Liu, H.-H.; Zhou, X.-L.; He, T.-T.; Zhang, A.-Z.; Wang, X.; Wei, S.-Z.; Li, H.-T.; Chen, L.-S.; Chang, L.; et al. Rutaecarpine Ameliorates Murine N-Methyl-N’-Nitro-N-Nitrosoguanidine-Induced Chronic Atrophic Gastritis by Sonic Hedgehog Pathway. Molecules 2023, 28, 6294. https://doi.org/10.3390/molecules28176294
He Y, Liu H-H, Zhou X-L, He T-T, Zhang A-Z, Wang X, Wei S-Z, Li H-T, Chen L-S, Chang L, et al. Rutaecarpine Ameliorates Murine N-Methyl-N’-Nitro-N-Nitrosoguanidine-Induced Chronic Atrophic Gastritis by Sonic Hedgehog Pathway. Molecules. 2023; 28(17):6294. https://doi.org/10.3390/molecules28176294
Chicago/Turabian StyleHe, Yong, Hong-Hong Liu, Xue-Lin Zhou, Ting-Ting He, Ao-Zhe Zhang, Xin Wang, Shi-Zhang Wei, Hao-Tian Li, Li-Sheng Chen, Lei Chang, and et al. 2023. "Rutaecarpine Ameliorates Murine N-Methyl-N’-Nitro-N-Nitrosoguanidine-Induced Chronic Atrophic Gastritis by Sonic Hedgehog Pathway" Molecules 28, no. 17: 6294. https://doi.org/10.3390/molecules28176294
APA StyleHe, Y., Liu, H.-H., Zhou, X.-L., He, T.-T., Zhang, A.-Z., Wang, X., Wei, S.-Z., Li, H.-T., Chen, L.-S., Chang, L., Zhao, Y.-L., & Jing, M.-Y. (2023). Rutaecarpine Ameliorates Murine N-Methyl-N’-Nitro-N-Nitrosoguanidine-Induced Chronic Atrophic Gastritis by Sonic Hedgehog Pathway. Molecules, 28(17), 6294. https://doi.org/10.3390/molecules28176294

