Magnetic Biochar Derived from Fenton Sludge/CMC for High-Efficiency Removal of Pb(II): Synthesis, Application, and Mechanism
Abstract
1. Introduction
2. Results and Discussion
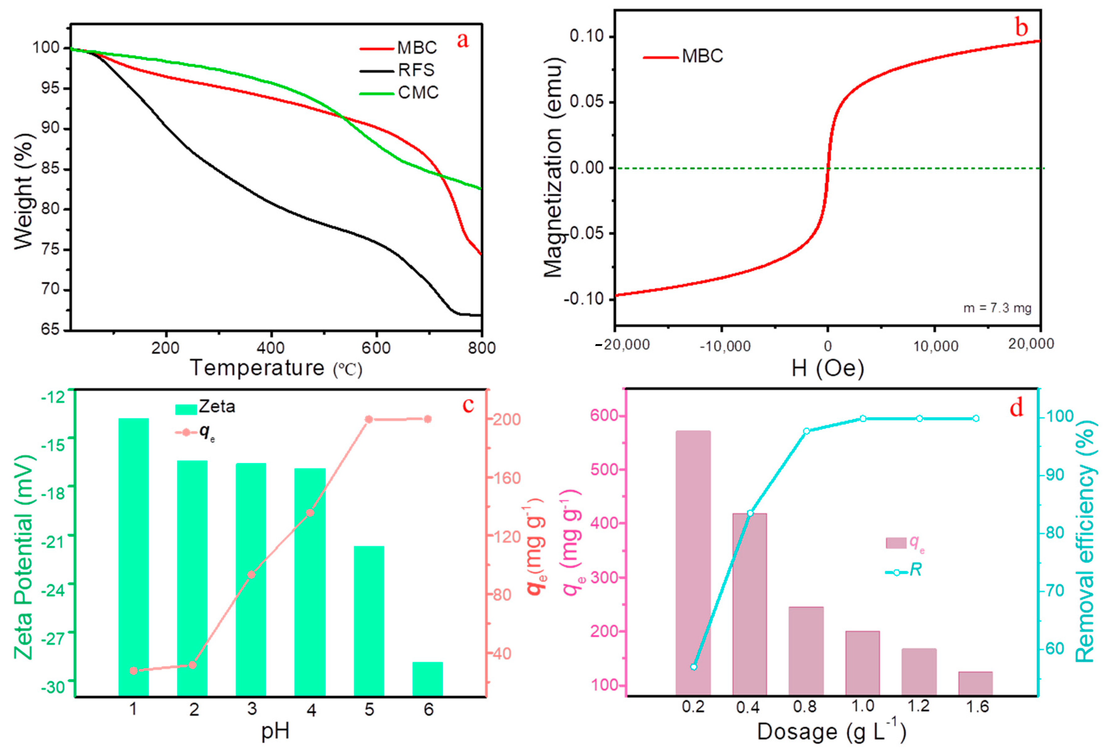
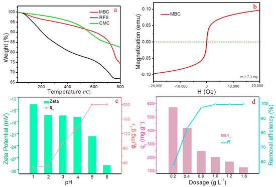
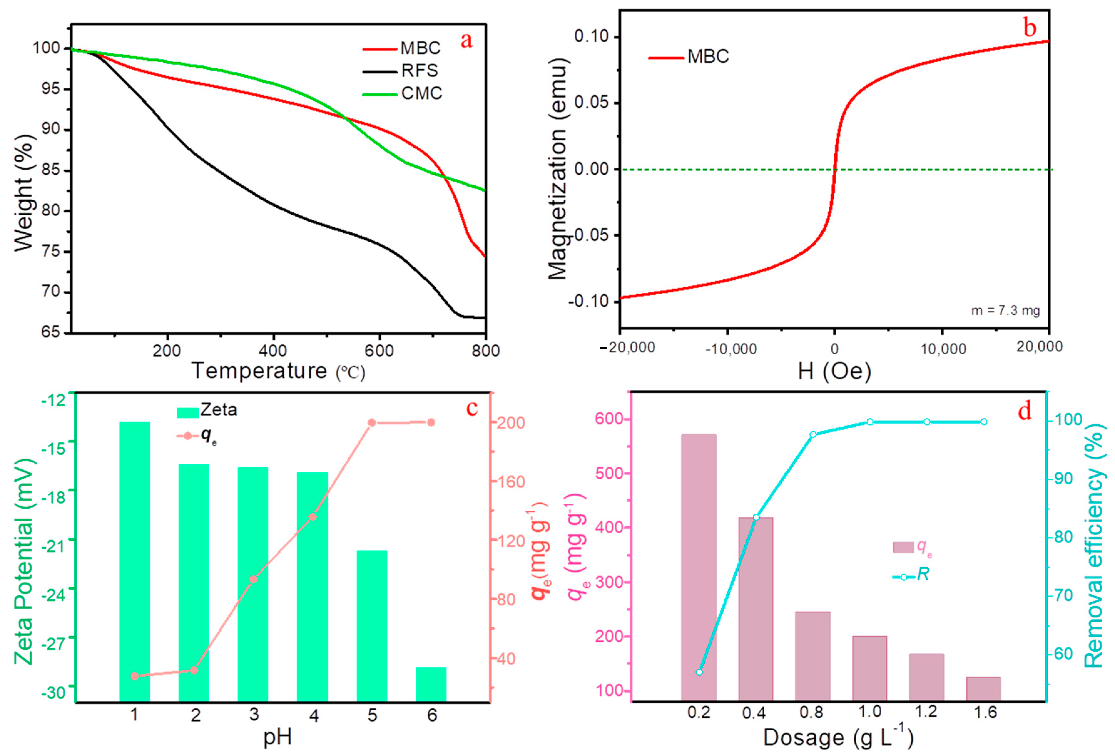
2.1. Materials and Characterization
2.2. Adsorption Experiments
2.2.1. Effect of pH
2.2.2. Effect of Dosage
2.2.3. Adsorption Kinetics
2.2.4. Effect of Initial Pb(II) Concentrations and Adsorption Isotherms
2.2.5. Effect of Temperature and Thermodynamic Analysis
2.2.6. Effect of Coexisting Ions
2.3. Comparison with the Relevant Adsorbents
2.4. Plausible Mechanism for Pb(II) Removal Performance
3. Experimental
3.1. Materials and Characterization
3.2. Pretreatment of Fenton Sludge (FS)
3.3. Synthesis of MBC
3.4. Batch Adsorption Experiments
4. Conclusions
Supplementary Materials
Author Contributions
Funding
Conflicts of Interest
Sample Availability
References
- Wu, Z.; Chen, X.; Yuan, B.; Fu, M.L. A facile foaming-polymerization strategy to prepare 3D MnO2 modified biochar-based porous hydrogels for efficient removal of Cd(II) and Pb(II). Chemosphere 2020, 239, 124745. [Google Scholar] [CrossRef] [PubMed]
- Wang, Z.; Zhang, J.; Wu, Q.; Han, X.; Zhang, M.; Liu, W.; Yao, X.; Feng, J.; Dong, S.; Sun, J. Magnetic supramolecular polymer: Ultrahigh and highly selective Pb(II) capture from aqueous solution and battery wastewater. Chemosphere 2020, 248, 126042. [Google Scholar] [CrossRef]
- Liang, S.; Shi, S.; Zhang, H.; Qiu, J.; Yu, W.; Li, M.; Gan, Q.; Yu, W.; Xiao, K.; Liu, B.; et al. One-pot solvothermal synthesis of magnetic biochar from waste biomass: Formation mechanism and efficient adsorption of Cr(VI) in an aqueous solution. Sci. Total Environ. 2019, 695, 133886. [Google Scholar] [CrossRef]
- Koprivica, M.; Simić, M.; Petrović, J.; Ercegović, M.; Dimitrijević, J. Evaluation of adsorption efficiency on Pb(II) ions removal using Alkali-modified hydrochar from paulownia leaves. Processes 2023, 11, 1327. [Google Scholar] [CrossRef]
- Nzediegwu, C.; Naeth, M.A.; Chang, S.X. Lead(II) adsorption on microwave-pyrolyzed biochars and hydrochars depends on feedstock type and production temperature. J. Hazard. Mater. 2021, 412, 125255. [Google Scholar] [CrossRef] [PubMed]
- Zhao, H.T.; Ma, S.; Zheng, S.Y.; Han, S.W.; Yao, F.X.; Wang, X.Z.; Wang, S.S.; Feng, K. β-cyclodextrin functionalized biochars as novel sorbents for high-performance of Pb2+ removal. J. Hazard. Mater. 2019, 362, 206–213. [Google Scholar] [CrossRef]
- Xie, Y.; Yuan, X.; Wu, Z.; Zeng, G.; Jiang, L.; Peng, X.; Li, H. Adsorption behavior and mechanism of Mg/Fe layered double hydroxide with Fe3O4-carbon spheres on the removal of Pb(II) and Cu(II). J. Colloid Interface Sci. 2019, 536, 440–455. [Google Scholar] [CrossRef] [PubMed]
- Lu, J.; Fu, F.; Ding, Z.; Li, N.; Tang, B. Removal mechanism of selenite by Fe3O4-precipitated mesoporous magnetic carbon microspheres. J. Hazard. Mater. 2017, 330, 93–104. [Google Scholar] [CrossRef]
- Diao, Z.H.; Du, J.J.; Jiang, D.; Kong, L.J.; Huo, W.Y.; Liu, C.M.; Wu, Q.H.; Xu, X.R. Insights into the simultaneous removal of Cr6+ and Pb2+ by a novel sewage sludge-derived biochar immobilized nanoscale zero valent iron: Coexistence effect and mechanism. Sci. Total Environ. 2018, 642, 505–515. [Google Scholar] [CrossRef]
- Qu, J.; Shi, J.; Wang, Y.; Tong, H.; Zhu, Y.; Xu, L.; Wang, Y.; Zhang, B.; Tao, Y.; Dai, X.; et al. Applications of functionalized magnetic biochar in environmental remediation: A review. J. Hazard. Mater. 2022, 434, 128841. [Google Scholar] [CrossRef]
- Chin, J.F.; Heng, Z.W.; Teoh, H.C.; Chong, W.C.; Pang, Y.L. A review on recent development of magnetic biochar crosslinked chitosan on heavy metal removal from wastewater—Modification, application and mechanism. Chemosphere 2021, 291, 133035. [Google Scholar] [CrossRef] [PubMed]
- Dong, J.; Shen, L.; Shan, S.; Liu, W.; Qi, Z.; Liu, C.; Gao, X. Optimizing magnetic functionalization conditions for efficient preparation of magnetic biochar and adsorption of Pb(II) from aqueous solution. Sci. Total Environ. 2022, 806, 151442. [Google Scholar] [CrossRef] [PubMed]
- Xu, Z.X.; Song, H.; Deng, X.Q.; Zhang, Y.Y.; Xue-Qin, M.; Tong, S.Q.; He, Z.X.; Wang, Q.; Shao, Y.W.; Hu, X. Dewatering of sewage sludge via thermal hydrolysis with ammonia-treated Fenton iron sludge as skeleton material. J. Hazard. Mater. 2019, 379, 120810. [Google Scholar] [CrossRef]
- Zhang, H.; Xue, G.; Chen, H.; Li, X. Magnetic biochar catalyst derived from biological sludge and ferric sludge using hydrothermal carbonization: Preparation, characterization and its circulation in Fenton process for dyeing wastewater treatment. Chemosphere 2018, 191, 64–71. [Google Scholar] [CrossRef] [PubMed]
- Zhang, H.; Xue, G.; Chen, H.; Li, X. Hydrothermal synthesizing sludge-based magnetite catalyst from ferric sludge and biosolids: Formation mechanism and catalytic performance. Sci. Total Environ. 2019, 697, 133986. [Google Scholar] [CrossRef] [PubMed]
- Tao, S.; Yang, J.; Hou, H.; Liang, S.; Xiao, K.; Qiu, J.; Hu, J.; Liu, B.; Yu, W.; Deng, H. Enhanced sludge dewatering via homogeneous and heterogeneous Fenton reactions initiated by Fe-rich biochar derived from sludge. Chem. Eng. J. 2019, 372, 966–977. [Google Scholar] [CrossRef]
- Kazak, O.; Eker, Y.R.; Akin, I.; Bingol, H.; Tor, A. A novel red mud@sucrose based carbon composite: Preparation, characterization and its adsorption performance toward methylene blue in aqueous solution. J. Environ. Chem. Eng. 2017, 3, 2639–2647. [Google Scholar] [CrossRef]
- Venkateswarlu, S.; Yoon, M. Core-shell Ferromagnetic nanorod based on amine polymer composite (Fe3O4@DAPF) for fast removal of Pb(II) from aqueous solutions. ACS Appl. Mater. Interfaces 2015, 45, 25362–25372. [Google Scholar] [CrossRef]
- Fu, W.; Huang, Z. One-pot synthesis of a two-dimensional porous Fe3O4/poly(C3N3S3) net-work nanocomposite for the selective removal of Pb(II) and Hg(II) from synthetic wastewater. ACS Sustain. Chem. Eng. 2018, 11, 14785–14794. [Google Scholar] [CrossRef]
- Cho, D.W.; Yoon, K.; Ahn, Y.; Sun, Y.; Tsang, D.C.; Hou, D.; Ok, Y.S.; Song, H. Fabrication and environmental applications of multifunctional mixed metal-biochar composites (MMBC) from red mud and lignin wastes. J. Hazard. Mater. 2019, 374, 412–419. [Google Scholar] [CrossRef]
- Wang, X.; Gu, L.; Zhou, P.; Zhu, N.; Li, C.; Tao, H.; Wen, H.; Zhang, D. Pyrolytic temperature dependent conversion of sewage sludge to carbon catalyst and their performance in persulfate degradation of 2-Naphthol. Chem. Eng. J. 2017, 324, 203–215. [Google Scholar] [CrossRef]
- Wang, R.Z.; Huang, D.L.; Liu, Y.G.; Zhang, C.; Lai, C.; Wang, X.; Zeng, G.M.; Zhang, Q.; Gong, X.M.; Xu, P. Synergistic removal of copper and tetracycline from aqueous solution by steam-activated bamboo-derived biochar. J. Hazard. Mater. 2019, 384, 121470. [Google Scholar] [CrossRef] [PubMed]
- Zeng, H.; Wang, L.; Zhang, D.; Yan, P.; Nie, J.; Sharma, V.K.; Wang, C. Highly efficient and selective removal of mercury ions using hyperbranched polyethylenimine functionalized carboxymethyl chitosan composite adsorbent. Chem. Eng. J. 2019, 358, 253–263. [Google Scholar] [CrossRef]
- Ko, D.; Lee, J.S.; Patel, H.A.; Jakobsen, M.H.; Hwang, Y.; Yavuz, C.T.; Hansen, H.C.; Andersen, H.R. Selective removal of heavy metal ions by disulfide linked polymer networks. J. Hazard. Mater. 2017, 332, 140–148. [Google Scholar] [CrossRef]
- Sing, K.S.W.; Everett, D.H.; Haul, R.A.W.; Moscou, L.; Pierotti, R.A.; Rouquerol, J.; Siemieniewska, T. Reporting physisorption data for gas/solid systems with special reference to the determination of surface area and porosity. Pure Appl. Chem. 1985, 57, 603–619. [Google Scholar] [CrossRef]
- Nashaat, N.N. Rapid removal and recovery of Pb(II) from wastewater by magnetic nanoadsorbents. J. Hazard. Mater. 2010, 184, 538–546. [Google Scholar]
- Nagai, D.; Kuribayashi, T.; Tanaka, H.; Morinag, H.; Ueharaa, H.; Yamanobea, T. A facile, selective, high recovery system for precious metals based on complexation between melamine and cyanuric acid. RSC Adv. 2015, 38, 30133–30139. [Google Scholar] [CrossRef]
- Wang, Z.; Zhang, J.; Wen, T.; Liu, X.; Wang, Y.; Yang, H.; Sun, J.; Feng, J.; Dong, S.; Sun, J. Highly effective remediation of Pb(II) and Hg(II) contaminated wastewater and soil by flower-like magnetic MoS2 nanohybrid. Sci. Total Environ. 2020, 699, 134341. [Google Scholar] [CrossRef]
- Tang, N.; Niu, C.G.; Li, X.T.; Liang, C.; Guo, H.; Lin, L.S.; Zheng, C.W.; Zeng, G.M. Efficient removal of Cd2+ and Pb2+ from aqueous solution with amino- and thiol-functionalized activated carbon: Isotherm and kinetics modeling. Sci. Total Environ. 2018, 635, 1331–1344. [Google Scholar] [CrossRef]
- Huang, Y.; Xia, S.; Lyu, J.; Tang, J. Highly efficient removal of aqueous Hg2+ and CH3Hg+ by selective modification of biochar with 3-mercaptopropyltrimethoxysilane. Chem. Eng. J. 2019, 360, 1646–1655. [Google Scholar] [CrossRef]
- Khan, A.A.; Singh, R.P. Adsorption thermodynamics of carbofuran on Sn (IV) arsenosilicate in H+, Na+ and Ca2+ forms. Colloids Surf. 1987, 24, 33–42. [Google Scholar] [CrossRef]
- Song, S.; Zhang, S.; Huang, S.; Zhang, R.; Yin, L.; Hu, Y.; Wen, T.; Zhuang, L.; Hu, B.; Wang, X. A novel multi-shelled Fe3O4@MnOx hollow microspheres for immobilizing U(VI) and Eu(III). Chem. Eng. J. 2019, 355, 697–709. [Google Scholar] [CrossRef]
- Ahmed, W.; Mehmood, S.; Núñez-Delgado, A.; Ali, S.; Qaswar, M.; Shakoor, A.; Mahmood, M.; Chen, D.Y. Enhanced adsorption of aqueous Pb(II) by modified biochar produced through pyrolysis of watermelon seeds. Sci. Total Environ. 2021, 784, 147136. [Google Scholar] [CrossRef] [PubMed]
- Li, A.; Ge, W.; Liu, L.; Zhang, Y.; Qiu, G. Synthesis and application of amine-functionalized MgFe2O4-biochar for the adsorption and immobilization of Cd(II) and Pb(II). Chem. Eng. J. 2022, 439, 135785. [Google Scholar] [CrossRef]
- Barton, T.J.; Bull, L.M.; Klemperer, W.G.; Loy, D.A.; McEnaney, B.; Misono, M.; Monson, P.A.; Pez, G.; Scherer, G.W.; Vartuli, J.C.; et al. Tailored Porous Materials. Chem. Mater. 1999, 11, 2633–2656. [Google Scholar] [CrossRef]
- Li, K.; Wang, Y.; Huang, M.; Yan, H.; Yang, H.; Xiao, S.; Li, A. Preparation of chitosan-graft-polyacrylamide magnetic composite microspheres for enhanced selective removal of mercury ions from water. J. Colloid Interf. Sci. 2015, 455, 261–270. [Google Scholar] [CrossRef]
- Liu, Y.; Fu, R.; Sun, Y.; Zhou, X.; Baig, S.A.; Xu, X. Multifunctional nanocomposites Fe3O4@SiO2-EDTA for Pb(II) and Cu(II) removal from aqueous solutions. Appl. Surf. Sci. 2016, 369, 267–276. [Google Scholar] [CrossRef]
- Bao, S.; Li, K.; Ning, P.; Peng, J.; Jin, X.; Tang, L. Highly effective removal of mercury and lead ions from wastewater by mercaptoamine-functionalised silica-coated magnetic nano-adsorbents: Behaviours and mechanisms. Appl. Surf. Sci. 2017, 393, 457–466. [Google Scholar] [CrossRef]
- Ma, Y.X.; Kou, Y.L.; Xing, D.; Jin, P.S.; Shao, W.J.; Li, X.; Du, X.Y.; La, P.Q. Synthesis of magnetic graphene oxide grafted polymaleicamide dendrimer nanohybrids for adsorption of Pb(II) in aqueous solution. J. Hazard. Mater. 2017, 340, 407–416. [Google Scholar] [CrossRef]
- Samuel, M.S.; Shah, S.S.; Bhattacharya, J.; Subramaniam, K.; Singh, N.P. Adsorption of Pb(II) from aqueous solution using a magnetic chitosan/graphene oxide composite and its toxicity studies. Int. J. Biol. Macromol. 2018, 115, 1142–1150. [Google Scholar] [CrossRef]
- Fu, W.; Huang, Z.Q. Magnetic dithiocarbamate functionalized reduced graphene oxide for the removal of Cu(II), Cd(II), Pb(II), and Hg(II) ions from aqueous solution: Synthesis, adsorption, and regeneration. Chemosphere 2018, 209, 449–456. [Google Scholar] [CrossRef]
- Zhao, J.J.; Niu, Y.Z.; Ren, B.; Chen, H. Synthesis of Schiff base functionalized superparamagnetic Fe3O4 composites for effective removal of Pb(II) and Cd(II) from aqueous solution. Chem. Eng. J. 2018, 347, 574–584. [Google Scholar] [CrossRef]
- Fu, W.; Wang, X.Y.; Huang, Z.Q. Remarkable reusability of magnetic Fe3O4-encapsulated C3N3S3 polymer/reduced graphene oxide composite: A highly effective adsorbent for Pb and Hg ions. Sci. Total Environ. 2019, 659, 895–904. [Google Scholar] [CrossRef] [PubMed]
- Liu, J.; Zhou, J.; Wu, Z.; Wu, Z.; Tian, X.; An, X.; Zhang, Y.; Zhang, G.; Deng, F.; Meng, X.; et al. Concurrent elimination and stepwise recovery of Pb(II) and bisphenol A from water using β-cyclodextrin modified magnetic cellulose: Adsorption performance and mechanism investigation. J. Hazard. Mater. 2022, 432. [Google Scholar] [CrossRef] [PubMed]
- Li, R.; Lan, G.; Liu, Y. Melamine sponge loading improves the separation performance of magnetic hydroxy apatite for Pb(II) adsorption. Sep. Purif. Technol. 2022, 291, 120851. [Google Scholar] [CrossRef]
- Wang, S.; Wang, H.; Wang, S.; Fu, L.; Zhang, L. Novel magnetic covalent organic framework for the selective and effective removal of hazardous metal Pb(II) from solution: Synthesis and adsorption characteristics. Sep. Purif. Technol. 2023, 307, 122783. [Google Scholar] [CrossRef]









| Kinetic Model | Parameter | Value | R2 |
|---|---|---|---|
| Pseudo-first-order | k1 (min−1) | 3.546 | 0.8105 |
| qe (mg g−1) | 34.68 | ||
| Pseudo-second-order | k2 (mg min−1 g−1) | 2.2 × 10−3 | 0.9999 |
| qe (mg g−1) | 200.4 | ||
| Intraparticle diffusion | kdif (mg g−1) | 1.134 | 0.6205 |
| C (mg g−1 min−1) | 174.8 |
| Ion | qe,exp (mg g−1) | qe,cal (mg g−1) |
|---|---|---|
| Pb(II) | 199.9 | 200.4 |
| Adsorption Isotherm | Parameter | Value | R2 | ||||
|---|---|---|---|---|---|---|---|
| 298 K | 308 K | 318 K | 298 K | 308 K | 318 K | ||
| Langmuir | qm (mg g−1) | 570.7 | 508.0 | 470.7 | 0.9954 | 0.9948 | 0.9965 |
| KL (L g−1) | 0.0485 | 0.0236 | 0.0204 | ||||
| Freundlich | KF (mg g−1) | 235.9 | 142.2 | 129.9 | 0.5546 | 0.6507 | 0.8139 |
| n | 6.288 | 5.472 | 5.266 | ||||
| Temkin | bT | 67.26 | 32.69 | 30.08 | 0.9343 | 0.9332 | 0.9411 |
| KT | 1144 | 11.23 | 6.19 | ||||
| ΔG (kJ mol−1) | ΔH (kJ mol−1) | ΔS (J mol−1 K−1) | ||
|---|---|---|---|---|
| 298 K | 308 K | 318 K | ||
| −16.29 | −14.93 | −13.59 | −56.50 | −134.3 |
| Adsorbent | C0 (mg L−1) | qe (mg g−1) | Ref. |
|---|---|---|---|
| CS-biochar-500 | 200 | 165.0 | [5] |
| MPH-220 | 200 | 110.9 | [4] |
| HP-BC | 300 | 43.6 | [33] |
| MgFe2O4–NH2@sRHB | 500 | 199.1 | [34] |
| Aluminum oxide | 400 | 20.6 | This study |
| Activated carbon | 400 | 47.3 | This study |
| D402 resin | 400 | 238.9 | This study |
| D401 resin | 400 | 146.9 | This study |
| MBC | 400 | 314.3 | This study |
| Element | RFS (Atom %) | MBC (Atom %) |
|---|---|---|
| C | 30.05 | 56.8 |
| N | 1.53 | 2.44 |
| O | 43.57 | 27.72 |
| Si | 13.32 | 3.72 |
| Ca | 3.99 | 2.97 |
| Fe | 6.70 | 4.24 |
| Mg | 0.73 | 1.29 |
| Zn | 0.12 | 0.82 |
Disclaimer/Publisher’s Note: The statements, opinions and data contained in all publications are solely those of the individual author(s) and contributor(s) and not of MDPI and/or the editor(s). MDPI and/or the editor(s) disclaim responsibility for any injury to people or property resulting from any ideas, methods, instructions or products referred to in the content. |
© 2023 by the authors. Licensee MDPI, Basel, Switzerland. This article is an open access article distributed under the terms and conditions of the Creative Commons Attribution (CC BY) license (https://creativecommons.org/licenses/by/4.0/).
Share and Cite
Wang, Z.; Guo, J.; Jia, J.; Liu, W.; Yao, X.; Feng, J.; Dong, S.; Sun, J. Magnetic Biochar Derived from Fenton Sludge/CMC for High-Efficiency Removal of Pb(II): Synthesis, Application, and Mechanism. Molecules 2023, 28, 4983. https://doi.org/10.3390/molecules28134983
Wang Z, Guo J, Jia J, Liu W, Yao X, Feng J, Dong S, Sun J. Magnetic Biochar Derived from Fenton Sludge/CMC for High-Efficiency Removal of Pb(II): Synthesis, Application, and Mechanism. Molecules. 2023; 28(13):4983. https://doi.org/10.3390/molecules28134983
Chicago/Turabian StyleWang, Zongwu, Juan Guo, Junwei Jia, Wei Liu, Xinding Yao, Jinglan Feng, Shuying Dong, and Jianhui Sun. 2023. "Magnetic Biochar Derived from Fenton Sludge/CMC for High-Efficiency Removal of Pb(II): Synthesis, Application, and Mechanism" Molecules 28, no. 13: 4983. https://doi.org/10.3390/molecules28134983
APA StyleWang, Z., Guo, J., Jia, J., Liu, W., Yao, X., Feng, J., Dong, S., & Sun, J. (2023). Magnetic Biochar Derived from Fenton Sludge/CMC for High-Efficiency Removal of Pb(II): Synthesis, Application, and Mechanism. Molecules, 28(13), 4983. https://doi.org/10.3390/molecules28134983
