Diamine Groups on the Surface of Silica Particles as Complex-Forming Linkers for Metal Cations
Abstract
1. Introduction
2. Results and Discussion
2.1. Features of the Synthesis of Spherical Silica Materials with Diamine Functional Groups
2.2. Morphologies, Structures, and Structural-Adsorption Properties of (Propyl)ethylenediamine-Bearing Silica Materials
2.3. Properties and Behavior of Surface Groups of (Propyl)ethylenediamine-Bearing Organosilicas
2.4. Study of Sorption Properties of (Propyl)ethylenediamine Spherical Silica Materials with Respect to Metal Ions of Cu(II), Ni(II), and Eu(III)
2.4.1. Sorption Peculiarities of TNN Samples
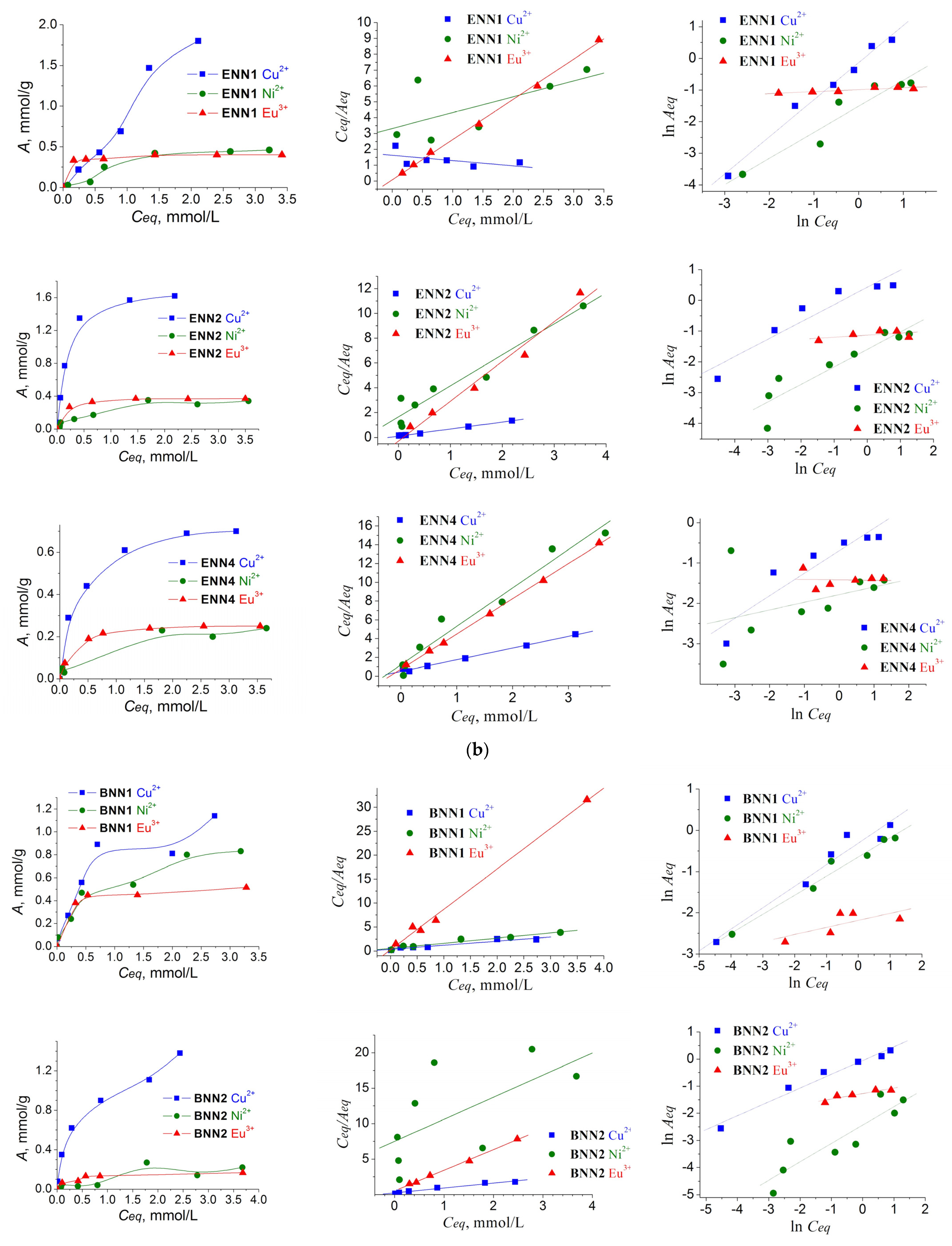
2.4.2. Sorption Peculiarities of ENN Samples
2.4.3. Sorption Peculiarities of BNN Samples
3. Materials and Methods
3.1. Materials
3.2. Synthesis
3.3. Methods
3.4. Adsorption Experiment
4. Conclusions
Author Contributions
Funding
Institutional Review Board Statement
Informed Consent Statement
Data Availability Statement
Conflicts of Interest
Sample Availability
References
- Mitra, I.; Chakraborty, A.J.; Tare, A.M.; Emran, T.B.; Nainu, F.; Khusro, A.; Idris, A.M.; Khandaker, M.U.; Osman, H.; Alhumaydhi, F.A.; et al. Impact of heavy metals on the environment and human health: Novel therapeutic insights to counter the toxicity, Journal of King Saud University. Science 2022, 34, 101865. [Google Scholar] [CrossRef]
- Yan, A.; Wang, Y.; Tan, S.N.; Mohd Yusof, M.L.; Ghosh, S.; Chen, Z. Phytoremediation: A Promising Approach for Revegetation of Heavy Metal-Polluted Land. Front. Plant Sci. 2020, 11, 359. [Google Scholar] [CrossRef] [PubMed]
- Garai, P.; Banerjee, P.; Mondal, P.K.; Ch, N.; Saha, R. Effect of Heavy Metals on Fishes: Toxicity and Bioaccumulation. J. Clin. Toxicol. 2021, 11, 1–10. [Google Scholar] [CrossRef]
- Wijnhoven, S.; Leuven, R.S.; van der Velde, G.; Jungheim, G.; Koelemij, E.I.; de Vries, F.T.; Eijsackers, H.J.; Smits, A.J. Heavy-metal concentrations in small mammals from a diffusely polluted floodplain: Importance of species- and location-specific characteristics. Arch. Environ. Contam. Toxicol. 2007, 52, 603–613. [Google Scholar] [CrossRef] [PubMed]
- Witkowska, D.; Słowik, J.; Chilicka, K. Heavy Metals and Human Health: Possible Exposure Pathways and the Competition for Protein Binding Sites. Molecules 2021, 26, 6060. [Google Scholar] [CrossRef]
- The London Metal Exchange. Available online: https://www.lme.com/Metals/Non-ferrous/LME-Copper#Price+graphs (accessed on 8 December 2022).
- The London Metal Exchange. Available online: https://www.lme.com/Metals/Non-ferrous/LME-Nickel#Price+graphs (accessed on 8 December 2022).
- Barakos, G.; Mischo, H.; Gutzmer, J. Status Quo and Future Evaluations of Global Rare Earth Mining (with Respect to Special Rare Earth Element-industry Criteria). In Proceedings of the Third International Future Mining Conference, Sydney, Australia, 3–6 November 2015. [Google Scholar]
- Janiszewska, D.; Olchowski, R.; Nowicka, A.; Zborowska, M.; Marszałkiewicz, K.; Shams, M.; Giannakoudakis, D.A.; Anastopoulos, I. Activated biochars derived from wood biomass liquefaction residues for effective removal of hazardous hexavalent chromium from aquatic environments. GCB Bioenergy 2021, 13, 1247–1259. [Google Scholar] [CrossRef]
- Barczak, M.; Michalak-Zwierz, K.; Gdula, K.; Tyszczuk-Rotko, K.; Dobrowolski, R.; Dąbrowski, A. Ordered mesoporous carbons as effective sorbents for removal of heavy metal ions. Microporous Mesoporous Mater. 2015, 211, 162–173. [Google Scholar] [CrossRef]
- Nakanishi, K.; Tomita, M.; Kato, K. Synthesis of amino-functionalized mesoporous silica sheets and their application for metal ion capture. J. Asian Ceram. Soc. 2015, 3, 70–76. [Google Scholar] [CrossRef]
- Ramasamy, D.L.; Khan, S.; Repo, E.; Sillanpää, M. Synthesis of mesoporous and microporous amine and non-amine functionalized silica gels for the application of rare earth elements (REE) recovery from the waste water-understanding the role of pH, temperature, calcination and mechanism in Light REE and Heavy REE separation. Chem. Eng. J. 2017, 322, 56–65. [Google Scholar] [CrossRef]
- Kotsyuda, S.; Tomina, V.; Zub, Y.; Furtat, I.; Lebed, A.; Vaclavikova, M.; Melnyk, I. Bifunctional silica nanospheres with 3-aminopropyl and phenyl groups. Synthesis approach and prospects of their applications. Appl. Surf. Sci. 2017, 420, 782–791. [Google Scholar] [CrossRef]
- Melnyk, I.V.; Tomina, V.V.; Stolyarchuk, N.V.; Seisenbaeva, G.A.; Kessler, V.G. Organic dyes (acid red, fluorescein, methylene blue) and copper (II) adsorption on amino silica spherical particles with tailored surface hydrophobicity and porosity. J. Mol. Liq. 2021, 336, 116301. [Google Scholar] [CrossRef]
- Dobrzyńska, J.; Dobrowolski, R.; Olchowski, R.; Zięba, E.; Barczak, M. Palladium adsorption and preconcentration onto thiol- and amine-functionalized mesoporous silicas with respect to analytical applications. Microporous Mesoporous Mater. 2019, 274, 127–137. [Google Scholar] [CrossRef]
- Barczak, M.; Dobrowolski, R.; Dobrzyńska, J.; Zięba, E.; Dąbrowski, A. Amorphous and ordered organosilicas functionalized with amine groups as sorbents of platinum (II) ions. Adsorption 2013, 19, 733–744. [Google Scholar] [CrossRef]
- Tang, L.; Cheng, J. Nonporous silica nanoparticles for nanomedicine application. Nano Today 2013, 8, 290–312. [Google Scholar] [CrossRef] [PubMed]
- Martínez-Carmona, M.; Ho, Q.P.; Morand, J.; García, A.; Ortega, E.; Erthal, L.C.S.; Ruiz-Hernandez, E.; Santana, M.D.; Ruiz, J.; Vallet-Regí, M.; et al. Amino-functionalized mesoporous silica nanoparticle-encapsulated octahedral organoruthenium complex as an efficient platform for combatting cancer. Inorg. Chem. 2020, 59, 10275–10284. [Google Scholar] [CrossRef] [PubMed]
- Stolyarchuk, N.V.; Barczak, M.; Melnyk, I.V.; Zub, Y.L. Amine-functionalized nanospheres, synthesized using 1.2-bis(triethoxysilyl)ethane. In Nanophysics, Nanophotonics, Surface Studies, and Applications. Springer Proceedings in Physics; Fesenko, O., Yatsenko, L., Eds.; Springer: Cham, Switzerland, 2016; Volume 183, pp. 415–452. [Google Scholar] [CrossRef]
- Tomina, V.V.; Furtat, I.M.; Stolyarchuk, N.V.; Zub, Y.L.; Kanuchova, M.; Vaclavikova, M.; Melnyk, I.V. Chapter 2—Surface and structure design of aminosilica nanoparticles for multifunctional applications: Adsorption and antimicrobial studies. In Micro and Nano Technologies, Biocompatible Hybrid Oxide Nanoparticles for Human Health; Melnyk, I.V., Vaclavikova, M., Seisenbaeva, G.A., Kessler, V.G., Eds.; Elsevier: Amsterdam, The Netherlands, 2019; pp. 15–31. [Google Scholar] [CrossRef]
- Aguado, J.; Arsuaga, J.M.; Arencibia, A.; Lindo, M.; Gascón, V. Aqueous heavy metals removal by adsorption on amine-functionalized mesoporous silica. J. Hazard. Mater. 2009, 163, 213–221. [Google Scholar] [CrossRef]
- Yokoi, T.; Yoshitake, H.; Tatsumi, T. Synthesis of amino-functionalized MCM-41 via direct co-condensation and post-synthesis grafting methods using mono-, di- and tri-amino-organoalkoxysilanes. J. Mater. Chem. 2004, 14, 951–957. [Google Scholar] [CrossRef]
- Vasudevan, M.; Sakaria, P.L.; Bhatt, A.S.; Mody, H.M.; Bajaj, H.C. Effect of Concentration of Aminopropyl Groups on the Surface of MCM-41 on Adsorption of Cu2+. Ind. Eng. Chem. Res. 2011, 50, 11432–11439. [Google Scholar] [CrossRef]
- Tomina, V.V.; Stolyarchuk, N.V.; Katelnikovas, A.; Misevicius, M.; Kanuchova, M.; Kareiva, A.; Beganskienė, A.; Melnyk, I.V. Preparation and luminescence properties of europium (III)-loaded aminosilica spherical particles. Colloids Surf. A Physicochem. Eng. Asp. 2020, 608, 125552. [Google Scholar] [CrossRef]
- Sing, K.S.W.; Everett, D.H.; Haul, R.A.W.; Moscou, L.; Pierotti, R.A.; Rouquérol, J.; Siemieniewska, T. Reporting physisorption data for gas/solid systems with special reference to the determination of surface area and porosity (recommendations 1984). Pure Appl. Chem. 1984, 57, 603–619. [Google Scholar] [CrossRef]
- Tomina, V.; Melnyk, I.; Zub, Y.; Kareiva, A.; Vaclavikova, M.; Seisenbaeva, G.; Kessler, V. Tailoring bifunctional hybrid organic–inorganic nanoadsorbents by the choice of functional layer composition probed by adsorption of Cu2+ ions. Beilstein J. Nanotechnol. 2017, 8, 334–347. [Google Scholar] [CrossRef]
- Petreanu, I.; Niculescu, V.-C.; Enache, S.; Iacob, C.; Teodorescu, M. Structural Characterization of Silica and Amino-Silica Nanoparticles by Fourier Transform Infrared (FTIR) and Raman Spectroscopy. Anal. Lett. 2023, 56, 390–403. [Google Scholar] [CrossRef]
- Moradi, M.; Woods, B.M.; Rathnayake, H.; Williams, S.J.; Willing, G.A. Effect of functionalization on the properties of silsesquioxane: A comparison to silica. Colloid Polym. Sci. 2019, 297, 697–704. [Google Scholar] [CrossRef]
- Grajek, H.; Stocki, J.; Sofińska-Chmiel, W.; Gąska, R.; Kojdecki, M.A.; Puchała, M. Synthesis and investigation of SBA-15 lined with ethylenediamine to create charge-transfer complexes. Microporous Mesoporous Mater. 2022, 346, 112242. [Google Scholar] [CrossRef]
- Acres, R.G.; Ellis, A.V.; Alvino, J.; Lenahan, C.E.; Khodakov, D.A.; Metha, G.F.; Andersson, G.G. Molecular structure of 3-aminopropyltriethoxysilane layers formed on silanol-terminated silicon surfaces. The Journal of Physical Chemistry C 2012, 116, 6289–6297. [Google Scholar] [CrossRef]
- Lee, Y.-R.; Zhang, S.; Yu, K.; Choi, J.; Ahn, W.-S. Poly(amidoamine) dendrimer immobilized on mesoporous silica foam (MSF) and fibrous nano-silica KCC-1 for Gd3+ adsorption in water. Chem. Eng. J. 2019, 378, 122133. [Google Scholar] [CrossRef]
- Nowicki, W. Structural studies of complexation of Cu(II) with aminosilane-modified silica surface in heterogeneous system in a wide range of pH. Appl. Surf. Sci. 2019, 469, 566–572. [Google Scholar] [CrossRef]
- Gun’ko, V.M. Composite materials: Textural characteristics. Appl. Surf. Sci. 2014, 307, 444–454. [Google Scholar] [CrossRef]










| Sample | Structuring Silane | Structuring to Functional Silane Molar Ratio | SBET, m2/g | Vp, cm3/g | Vpores, % | Vpores, cm3/g | ||||
|---|---|---|---|---|---|---|---|---|---|---|
| Nano | Meso | Macro | Slit-Shaped | Cylindrical | Gaps | |||||
| TNN2 | Si(OC2H5)4 | 2/1 | 2 | - | - | - | - | - | - | - |
| TNN3 | Si(OC2H5)4 | 3/1 | 427 | 0.51 | 7.0 | 93.0 | 0.0 | 0.423 | 0.000 | 0.085 |
| TNN6 | Si(OC2H5)4 | 6/1 | 400 | 0.79 | 2.8 | 95.9 | 1.3 | 0.674 | 0.112 | 0.008 |
| ENN1 | ≡Si–C2H4–Si≡ | 1/1 | 12 | - | - | - | - | - | - | - |
| ENN2 | ≡Si–C2H4–Si≡ | 2/1 | 147 | 0.12 | 10.3 | 89.7 | 0.0 | 0.081 | 0.014 | 0.028 |
| ENN4 | ≡Si–C2H4–Si≡ | 4/1 | 343 | 0.27 | 14.6 | 85.4 | 0.0 | 0.115 | 0.065 | 0.089 |
| BNN1 | ≡Si–C6H4–Si≡ | 1/1 | 190 | 0.21 | 1.1 | 98.9 | 0.0 | 0.042 | 0.092 | 0.072 |
| BNN2 | ≡Si–C6H4–Si≡ | 2/1 | 7 | - | - | - | - | - | - | - |
| BNN4 | ≡Si–C6H4–Si≡ | 4/1 | 400 | 0.26 | 28.6 | 70.6 | 0.8 | 0.117 | 0.115 | 0.027 |
| Sample | Structuring Silane | Structuring to Functional Silane Molar Ratio | N, % wt | CNN, mmol/g | pI | SSC Ni2+, mmol/g | SSC Cu2+, mmol/g | SSC Eu3+, mmol/g |
|---|---|---|---|---|---|---|---|---|
| TNN2 | Si(OC2H5)4 | 2/1 | 8.62 | 3.40 | 10.77 | 0.72 | 1.04 | 0.32 |
| TNN3 | Si(OC2H5)4 | 3/1 | 7.54 | 2.91 | 10.14 | 0.69 | 1.06 | 0.55 |
| TNN6 | Si(OC2H5)4 | 6/1 | 5.17 | 1.95 | 9.32 | 0.27 | 1.79 | 0.35 |
| ENN1 | ≡Si–C2H4–Si≡ | 1/1 | 8.79 | 3.40 | 4.59 | 0.46 | 1.80 | 0.40 |
| ENN2 | ≡Si–C2H4–Si≡ | 2/1 | 6.19 | 2.36 | 3.27 | 0.34 | 1.62 | 0.37 |
| ENN4 | ≡Si–C2H4–Si≡ | 4/1 | 4.02 | 1.50 | 3.03 | 0.24 | 0.70 | 0.25 |
| BNN1 | ≡Si–C6H4–Si≡ | 1/1 | 7.54 | 2.91 | 9.19 | 0.83 | 1.14 | 0.52 |
| BNN2 | ≡Si–C6H4–Si≡ | 2/1 | 5.01 | 1.88 | 5.41 | 0.22 | 1.38 | 0.17 |
| BNN4 | ≡Si–C6H4–Si≡ | 4/1 | 3.10 | 1.14 | 4.11 | 0.34 | 0.58 | 0.32 |
| Sample | Cation | CNN, mmol/g | SSC, mmol/g | 1Me/xN Formal Ratio | Langmuir Isotherm Ceq/Aeq = 1/(KL · A;max) + (1/Amax) · Ceq | Freundlich Isotherm lnAeq = lnKF + (1/n) · lnCeq | ||||
|---|---|---|---|---|---|---|---|---|---|---|
| Amax, mmol/g | KL, L/mmol | R2 | n | KF, mmol/g | R2 | |||||
| TNN2 | Cu(II) | 3.40 | 1.04 | 1/17 | 0.39 | 0.155 | 0.998 | 16.18 | 0.062 | 0.809 |
| Ni(II) | 0.72 | 1/3.0 | 1.78 | 5.022 | 0.998 | 1.78 | 1.530 | 0.900 | ||
| Eu(III) | 0.32 | 1/13.7 | 0.40 | 1.521 | 0.943 | 1.76 | 0.203 | 0.854 | ||
| TNN3 | Cu(II) | 2.91 | 1.06 | 1/13.0 | 0.31 | 0.097 | 0.977 | 14.79 | 0.068 | 0.301 |
| Ni(II) | 0.69 | 1/4.3 | 0.80 | 2.464 | 0.993 | 1.79 | 0.499 | 0.863 | ||
| Eu(III) | 0.55 | 1/12.5 | 0.24 | 3.353 | 0.963 | 5.29 | 0.168 | 0.168 | ||
| TNN6 | Cu(II) | 1.95 | 1.79 | 1/12.0 | 0.27 | 0.071 | 0.999 | −94.34 | 0.011 | 0.003 |
| Ni(II) | 0.27 | 1/5.1 | 1.18 | 2.354 | 0.926 | 1.92 | 0.733 | 0.951 | ||
| Eu(III) | 0.35 | 1/7.0 | 0.94 | 1.937 | 0.957 | 2.16 | 0.524 | 0.972 | ||
| ENN1 | Cu(II) | 3.4 | 1.80 | 1/11.2 | 0.53 | 0.286 | 0.995 | 5.84 | 0.108 | 0.788 |
| Ni(II) | 0.46 | 1/2.7 | 1.45 | 2.884 | 0.970 | 1.96 | 0.948 | 0.973 | ||
| Eu(III) | 0.40 | 1/13.9 | 0.32 | 0.416 | 0.399 | 1.48 | 0.088 | 0.793 | ||
| ENN2 | Cu(II) | 2.4 | 1.62 | 1/22.1 | 0.12 | 0.014 | 0.994 | 4.93 | 0.171 | 0.518 |
| Ni(II) | 0.35 | 1/3.9 | 0.57 | 2.689 | 0.908 | 2.79 | 0.365 | 0.886 | ||
| Eu(III) | 0.37 | 1/6.7 | 0.36 | 1.870 | 0.924 | 2.48 | 0.192 | 0.898 | ||
| ENN4 | Cu(II) | 1.5 | 0.70 | 1/7.1 | 0.34 | 0.118 | 0.997 | 9.25 | 0.203 | 0.848 |
| Ni(II) | 0.24 | 1/17 | 0.39 | 0.155 | 0.998 | 16.18 | 0.062 | 0.809 | ||
| Eu(III) | 0.25 | 1/3.0 | 1.78 | 5.022 | 0.998 | 1.78 | 1.530 | 0.900 | ||
| BNN1 | Cu(II) | 2.91 | 1.14 | 1/13.7 | 0.40 | 1.521 | 0.943 | 1.76 | 0.203 | 0.854 |
| Ni(II) | 0.83 | 1/13.0 | 0.31 | 0.097 | 0.977 | 14.79 | 0.068 | 0.301 | ||
| Eu(III) | 0.52 | 1/4.3 | 0.80 | 2.464 | 0.993 | 1.79 | 0.499 | 0.863 | ||
| BNN2 | Cu(II) | 1.88 | 1.38 | 1/12.5 | 0.24 | 3.353 | 0.963 | 5.29 | 0.168 | 0.168 |
| Ni(II) | 0.27 | 1/12.0 | 0.27 | 0.071 | 0.999 | −94.34 | 0.011 | 0.003 | ||
| Eu(III) | 0.17 | 1/5.1 | 1.18 | 2.354 | 0.926 | 1.92 | 0.733 | 0.951 | ||
| BNN4 | Cu(II) | 1.14 | 0.58 | 1/7.0 | 0.94 | 1.937 | 0.957 | 2.16 | 0.524 | 0.972 |
| Ni(II) | 0.34 | 1/11.2 | 0.53 | 0.286 | 0.995 | 5.84 | 0.108 | 0.788 | ||
| Eu(III) | 0.32 | 1/2.7 | 1.45 | 2.884 | 0.970 | 1.96 | 0.948 | 0.973 | ||
Disclaimer/Publisher’s Note: The statements, opinions and data contained in all publications are solely those of the individual author(s) and contributor(s) and not of MDPI and/or the editor(s). MDPI and/or the editor(s) disclaim responsibility for any injury to people or property resulting from any ideas, methods, instructions or products referred to in the content. |
© 2023 by the authors. Licensee MDPI, Basel, Switzerland. This article is an open access article distributed under the terms and conditions of the Creative Commons Attribution (CC BY) license (https://creativecommons.org/licenses/by/4.0/).
Share and Cite
Tomina, V.; Stolyarchuk, N.; Semeshko, O.; Barczak, M.; Melnyk, I. Diamine Groups on the Surface of Silica Particles as Complex-Forming Linkers for Metal Cations. Molecules 2023, 28, 430. https://doi.org/10.3390/molecules28010430
Tomina V, Stolyarchuk N, Semeshko O, Barczak M, Melnyk I. Diamine Groups on the Surface of Silica Particles as Complex-Forming Linkers for Metal Cations. Molecules. 2023; 28(1):430. https://doi.org/10.3390/molecules28010430
Chicago/Turabian StyleTomina, Veronika, Nataliya Stolyarchuk, Olha Semeshko, Mariusz Barczak, and Inna Melnyk. 2023. "Diamine Groups on the Surface of Silica Particles as Complex-Forming Linkers for Metal Cations" Molecules 28, no. 1: 430. https://doi.org/10.3390/molecules28010430
APA StyleTomina, V., Stolyarchuk, N., Semeshko, O., Barczak, M., & Melnyk, I. (2023). Diamine Groups on the Surface of Silica Particles as Complex-Forming Linkers for Metal Cations. Molecules, 28(1), 430. https://doi.org/10.3390/molecules28010430

