Synthesis, Biological Evaluation, DNA Binding, and Molecular Docking of Hybrid 4,6-Dihydrazone Pyrimidine Derivatives as Antitumor Agents
Abstract
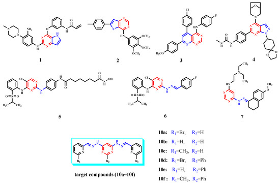
1. Introduction
2. Results and Discussion
2.1. Synthesis and General Characterization
2.2. Evaluation of Antitumor Activity In Vitro
2.2.1. Analysis of Stability
2.2.2. In Vitro Cytotoxic Activity
2.3. Apoptosis Detection Analysis
2.3.1. The Effect on Tumor Cell Morphology
2.3.2. Apoptosis Detection
2.3.3. ROS Cell Fluorescence Intensity
2.4. DNA-Binding Studies
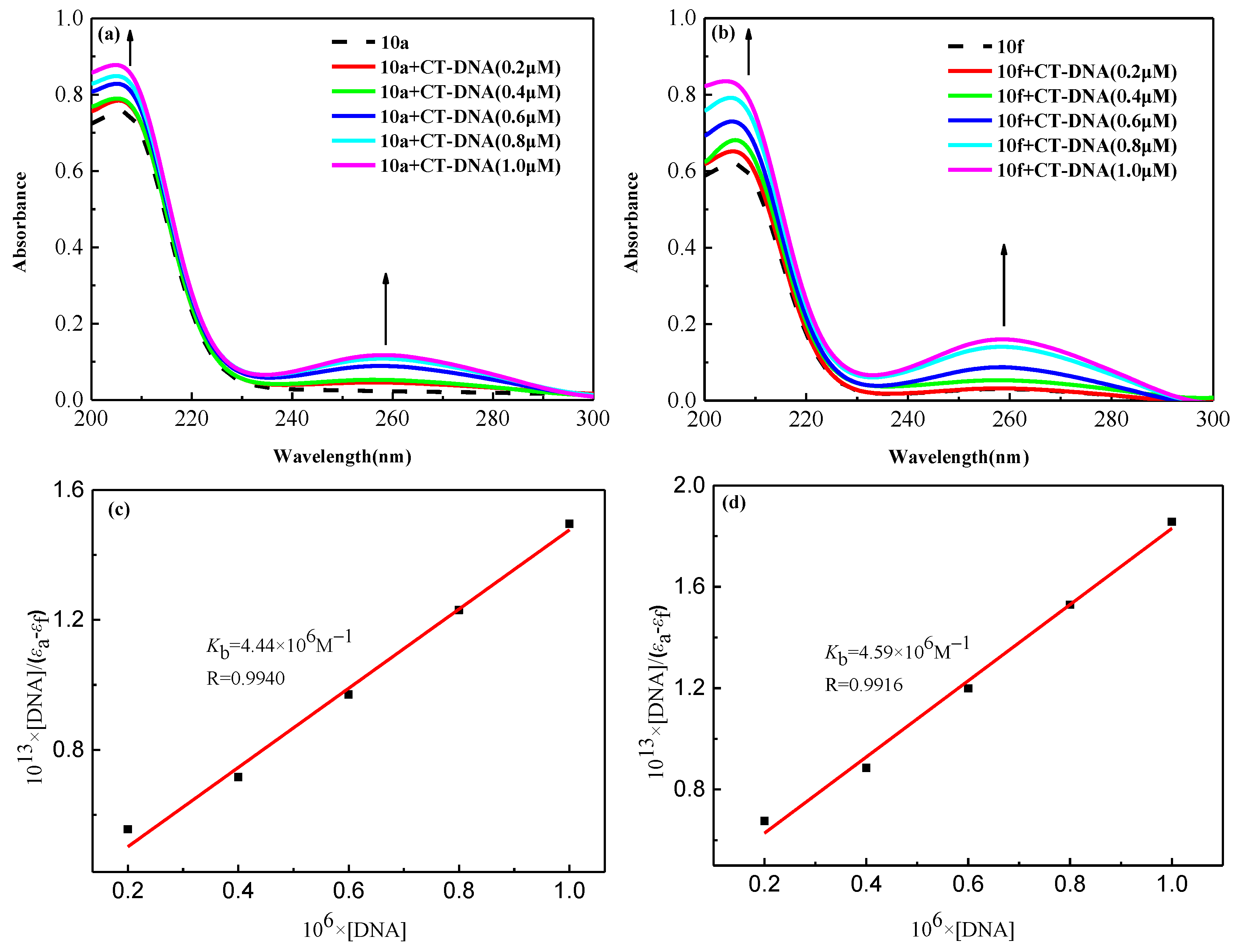
2.4.1. UV/Visible Spectral Analysis
2.4.2. Circular Dichroism Spectral Analysis
2.4.3. Molecular Docking Study
3. Materials and Methods
3.1. Materials
3.2. Instrumentations
3.3. Synthesis
General Procedure for the Synthesis of Compounds 10a–10f
3.4. Evaluation of Antitumor Activity In Vitro
3.4.1. Stability Studies
3.4.2. MTT Assay
3.5. Apoptosis Detection
3.5.1. AO/EB Double Staining
3.5.2. Flow Cytometry
3.5.3. ROS Detection
3.6. DNA-Binding Study
3.6.1. UV/Vis Spectra
3.6.2. Circular Dichroism Spectra
3.6.3. Molecular Docking
4. Conclusions
Supplementary Materials
Author Contributions
Funding
Data Availability Statement
Acknowledgments
Conflicts of Interest
Abbreviations
| 1H NMR | Nuclear magnetic resonance hydrogen spectrum |
| UV-vis | UV/Vis absorption spectrum |
| ESI-HRMS | High-resolution mass spectrometry |
| MCF-7 | Human breast cancer cell line |
| BGC-823 | Human gastric cancer cell line |
| A549 | Human lung adenocarcinoma cell line |
| BEL-7402 | Human hepatoma cell line |
| HL-7702 | Human normal hepatocytes cell line |
| AO | Acridine orange |
| EB | Ethidium bromide |
| DMSO | Dimethyl sulfoxide |
| MTT | 3-(4,5-dimethyl-2-thiazolyl)-2,5-diphenyl-2-H-tetrazolium bromide |
| PBS | Phosphate buffer saline |
References
- Heidelberger, C.; Chaudhuri, N.K.; Danneberg, P.; Mooren, D.; Griesbach, L.; Duscchinsky, R.; Schnitzer, R.J.; Pleven, E.; Scheiner, J. Fluorinated pyrimidines, a new class of tumour-inhibitory compounds. Nature 1957, 179, 663–666. [Google Scholar] [CrossRef] [PubMed]
- Douillard, J.Y.; Hoff, P.M.; Skillings, J.R.; Eisenberg, P.; Davidson, N.; Harper, P.; Vincent, M.D.; Lembersky, B.C.; Thompson, S.; Maniero, A.; et al. Multicenter phase study of uracil/tegafur and oral leucovorin versus fluorouracil and leucovorin in patients with previously untreated metastatic colorectal cancer. J. Clin. Oncol. 2002, 20, 3605–3616. [Google Scholar] [CrossRef] [PubMed]
- Abdelhaleem, E.F.; Abdelhameid, M.K.; Kassab, A.E.; Kandeel, M.M. Design and synthesis of thienopyrimidine urea derivatives with potential cytotoxic and pro-apoptotic activity against breast cancer cell line MCF-7. Eur. J. Med. Chem. 2018, 143, 1807–1825. [Google Scholar] [CrossRef] [PubMed]
- Saito, T.; Obitsu, T.; Kondo, T.; Matsui, T.; Nagao, Y.; Kusumi, K.; Matsumura, N.; Ueno, S.; Kishi, A.; Katsumata, S.; et al. 6,7-dihydro-5H-cyclopenta[d]pyrazolo[1,5-a]pyrimidines and their derivatives as novel corticotropin-releasing factor receptor antagonists. Bioorg. Med. Chem. 2011, 19, 5432–5445. [Google Scholar] [CrossRef] [PubMed]
- Wei, Y.; Tang, Y.; Zhou, Y.; Yang, Y.; Cui, Y.; Wang, X.; Wang, Y.; Liu, Y.; Liu, N.; Wang, Q.; et al. Discovery and optimization of a novel 2H-pyrazolo[3,4-d]pyrimidine derivative as a potent irreversible pan-fibroblast growth factor receptor inhibitor. J. Med. Chem. 2021, 64, 9078–9099. [Google Scholar] [CrossRef] [PubMed]
- Massaro, M.; Barone, G.; Barra, V.; Cancemi, P.; Di Leonardo, A.; Grossi, G.; Lo Celso, F.; Schenone, S.; Viseras Iborra, C.; Riela, S. Pyrazole[3,4-d]pyrimidine derivatives loaded into halloysite as potential CDK inhibitors. Int. J. Pharm. 2021, 599, 120281. [Google Scholar] [CrossRef] [PubMed]
- Zhao, X.L.; Zhao, Y.F.; Guo, S.C.; Song, H.S.; Wang, D.; Gong, P. Synthesis and anti-tumor activities of novel [1,2,4]triazolo[1,5-a]pyrimidines. Molecules 2007, 12, 1136–1146. [Google Scholar] [CrossRef] [PubMed]
- Liu, Y.; Wang, M.J.; Zhang, Z.J.; Morris-Natschke, S.L.; Goto, M.; Tian, J.; Liu, Y.Q.; Wang, C.Y.; Tian, X.; Yang, X.M.; et al. Synthesis of novel spin-labeled derivatives of 5-FU as potential antineoplastic agents. Med. Chem. Res. 2014, 23, 3269–3273. [Google Scholar] [CrossRef]
- Judd, W.R.; Shely, R.N.; Ratliff, P.D.; Reymann, M.T. False-negative cerebrospinal fluid fungal culture results following oral antineoplastic therapy with a 5-fluorouracil derivative. J. Clin. Pharm. Ther. 2015, 40, 696–698. [Google Scholar] [CrossRef]
- Bommera, R.K.; Kethireddy, S.; Govindapur, R.R.; Eppakayala, L. Synthesis, biological evaluation and docking studies of 1,2,4-oxadiazole linked 5-fluorouracil derivatives as anticancer agents. BMC Chem. 2021, 15, 30. [Google Scholar] [CrossRef]
- Xia, Z.; Huang, R.; Zhou, X.; Chai, Y.; Chen, H.; Ma, L.; Yu, Q.; Li, Y.; Li, W.; He, Y. The synthesis and bioactivity of pyrrolo[2,3-d]pyrimidine derivatives as tyrosine kinase inhibitors for NSCLC cells with EGFR mutations. Eur. J. Med. Chem. 2021, 224, 113711. [Google Scholar] [CrossRef] [PubMed]
- Romagnoli, R.; Prencipe, F.; Oliva, P.; Baraldi, S.; Baraldi, P.G.; Schiaffino Ortega, S.; Chayah, M.; Kimatrai Salvador, M.; Lopez-Cara, L.C.; Brancale, A.; et al. Design, synthesis and biological evaluation of 6-substituted thieno[3,2-d]pyrimidine analogues as dual epidermal growth factor receptor kinase and microtubule inhibitors. J. Med. Chem. 2019, 62, 1274–1290. [Google Scholar] [CrossRef] [PubMed]
- Eissa, A.A.M.; Aljamal, K.F.M.; Ibrahim, H.S.; Abdelrasheed Allam, H. Design and synthesis of novel pyridopyrimidine derivatives with anchoring non-coplanar aromatic extensions of EGFR inhibitory activity. Bioorg. Chem. 2021, 116, 105318. [Google Scholar] [CrossRef] [PubMed]
- Curran, K.J.; Verheijen, J.C.; Kaplan, J.; Richard, D.J.; Toral-Barza, L.; Hollander, I.; Lucas, J.; Ayral-Kaloustian, S.; Yu, K.; Zask, A. Pyrazolopyrimidines as highly potent and selective, ATP-competitive inhibitiors of the mammalian target of rapamycin (mTOR):optimization of the 1-substiuent. Bioorg. Med. Chem. Lett. 2010, 20, 1440–1444. [Google Scholar] [CrossRef] [PubMed]
- Pan, T.; Dan, Y.; Guo, D.; Jiang, J.; Ran, D.; Zhang, L.; Tian, B.; Yuan, J.; Yu, Y.; Gan, Z. Discovery of 2,4-pyrimidinediamine derivatives as potent dual inhibitors of ALK and HDAC. Eur. J. Med. Chem. 2021, 224, 113672–113696. [Google Scholar] [CrossRef] [PubMed]
- Wang, Y.; Zhang, G.; Hu, G.; Bu, Y.; Lei, H.; Zuo, D.; Han, M.; Zhai, X.; Gong, P. Design, synthesis and biological evaluation of novel 4-arylaminopyrimidine derivatives possessing a hydrazone moiety as dual inhibitors of L1196M ALK and ROS1. Eur. J. Med. Chem. 2016, 123, 80–89. [Google Scholar] [CrossRef]
- Tylińska, B.; Wiatrak, B.; Czyżnikowska, Ż.; Cieśla-Niechwiadowicz, A.; Gębarowska, E.; Janicka-Kłos, A. Novel pyrimidine derivatives as potential anticancer agents: Synthesis, biological evaluation and molecular docking study. Int. J. Mol. Sci. 2021, 22, 3825. [Google Scholar] [CrossRef]
- Qin, M.; Zhai, X.; Xie, H.; Ma, J.; Lu, K.; Wang, Y.; Wang, L.; Gu, Y.; Gong, P. Design and synthesis of novel 2-(4-(2-(dimethylamino)ethyl)-4H-1,2,4-triazol-3-yl) pyridines as potential antitumor agents. Eur. J. Med. Chem. 2014, 81, 47–58. [Google Scholar] [CrossRef]
- Katariya, K.D.; Shah, S.R.; Reddy, D. Anticancer, antimicrobial activities of quinoline based hydrazone analogues: Synthesis, characterization and molecular docking. Bioorg. Chem. 2020, 94, 103406. [Google Scholar] [CrossRef]
- Nasr, T.; Bondock, S.; Rashed, H.M.; Fayad, W.; Youns, M.; Sakr, T.M. Novel hydrazide-hydrazone and amide substituted coumarin derivatives: Synthesis, cytotoxicity screening, microarray, radiolabeling and in vivo pharmacokinetic studies. Eur. J. Med. Chem. 2018, 151, 723–739. [Google Scholar] [CrossRef]
- Li, Z.H.; Yang, D.X.; Geng, P.F.; Zhang, J.; Wei, H.M.; Hu, B.; Guo, Q.; Zhang, X.H.; Guo, W.G.; Zhao, B.; et al. Design, synthesis and biological evaluation of [1,2,3] triazolo [4,5-d] pyrimidine derivatives possessing a hydrazone moiety as antiproliferative agents. Eur. J. Med. Chem. 2016, 124, 967–980. [Google Scholar] [CrossRef] [PubMed]
- Shankar, R.; Rawal, R.K.; Singh, U.S. Design, synthesis and biological evaluation of hydrazone derivatives as anti-proliferative agents. Med. Chem. Res. 2017, 26, 1459–1468. [Google Scholar] [CrossRef]
- Labib, M.B.; Philoppes, J.N.; Lamie, P.F.; Ahmed, E.R. Azole-hydrazone derivatives: Design, synthesis, in vitro biological evaluation, dual EGFR/HER2 inhibitory activity, cell cycle analysis and molecular docking study as anticancer agents. Bioorg. Chem. 2018, 76, 67–80. [Google Scholar] [CrossRef]
- Radadiya, A.; Khedkar, V.; Bavishi, A.; Vala, H.; Thakrar, S.; Bhavsar, D.; Shah, A.; Coutinho, E. Synthesis and 3D-QSAR study of 1,4-dihydropyridine derivatives as MDR cancer reverters. Eur. J. Med. Chem. 2014, 75, 375–387. [Google Scholar] [CrossRef] [PubMed]
- Razzaghi-Asl, N.; Miri, R.; Firuzi, O. Assessment of the cytotoxic effect of a series of 1,4-dihydropyridine derivatives against human cancer cells. Iran. J. Pharm. Res. 2016, 15, 413–420. [Google Scholar] [PubMed]
- Viradiya, D.; Mirza, S.; Shaikh, F.; Kakadiya, R.; Rathod, A.; Jain, N.; Rawal, R.; Shah, A. Design and synthesis of 1,4-dihydropyridine derivatives as anticancer agent. Anti-Cancer Agent Med. 2017, 17, 1003–1013. [Google Scholar] [CrossRef]
- Ramirez, J.; Stadler, A.-M.; Harrowfield, J.M.; Brelot, L.; Huuskonen, J.; Rissanen, K.; Allouche, L.; Lehn, J.-M. Coordination Architectures of Large Heavy Metal Cations (Hg2+ and Pb2+) with Bis-tridentate Ligands: Solution and Solid-State Studies. Z. Anorg. Allg. Chem. 2007, 633, 2435–2444. [Google Scholar] [CrossRef]
- Rendošová, M.; Vargová, Z.; Kuchár, J.; Sabolová, D.; Levoča, Š.; Kudláčová, J.; Paulíková, H.; Hudecová, D.; Helebrandtová, V.; Almáši, M.; et al. New silver complexes with bioactive glycine and nicotinamide molecules-characterization, DNA binding, antimicrobial and anticancer evaluation. J. Inorg. Biochem. 2017, 168, 1–12. [Google Scholar] [CrossRef]
- Han, M.İ.; Atalay, P.; Tunç, C.Ü.; Ünal, G.; Dayan, S.; Aydın, Ö.; Küçükgüzel, Ş.G. Design and synthesis of novel (S)-naproxen hydrazide-hydrazones as potent VEGFR-2 inhibitors and their evaluation in vitro/in vivo breast cancer models. Bioorg. Med. Chem. 2021, 37, 116097. [Google Scholar] [CrossRef]
- Yang, K.; Yang, J.Q.; Luo, S.H.; Mei, W.J.; Lin, J.Y.; Zhan, J.Q.; Wang, Z.Y. Synthesis of N-2(5H)-furanonyl sulfonyl hydrazone derivatives and their biological evaluation in vitro and in vivo activity against MCF-7 breast cancer cells. Bioorg. Chem. 2021, 107, 104518. [Google Scholar] [CrossRef]
- Sayed, A.M.; Taher, F.A.; Abdel-Samad, M.R.K.; El-Gaby, M.S.A.; El-Adl, K.; Saleh, N.M. Design, synthesis, molecular docking, in silico ADMET profile and anticancer evaluations of sulfonamide endowed with hydrazone-coupled derivatives as VEGFR-2 inhibitors. Bioorg. Chem. 2021, 108, 104669. [Google Scholar] [CrossRef] [PubMed]
- Liu, L.; Wang, Z.; Gao, C.; Dai, H.; Si, X.; Zhang, Y.; Meng, Y.; Zheng, J.; Ke, Y.; Liu, H.; et al. Design, synthesis and antitumor activity evaluation of trifluoromethyl-substituted pyrimidine derivatives. Bioorg. Med. Chem. Lett. 2021, 51, 128268. [Google Scholar] [CrossRef]
- Kamal, A.; Faazil, S.; Hussaini, S.M.; Ramaiah, M.J.; Balakrishna, M.; Patel, N.; Pushpavalli, S.N.; Pal-Bhadra, M. Synthesis and mechanistic aspects of 2-anilinonicotinyl-pyrazolo[1,5-a]pyrimidine conjugates that regulate cell proliferation in MCF-7 cells via estrogen signaling. Bioorg. Med. Chem. Lett. 2016, 26, 2077–2083. [Google Scholar] [CrossRef] [PubMed]
- Eze, C.C.; Ezeokonkwo, A.M.; Ugwu, I.D.; Eze, U.F.; Onyeyilim, E.L.; Attah, I.S.; Okonkwo, I.V. Azole-pyrimidine hybrid anticancer agents: A review of molecular structure, structure activity relationship, and molecular docking. Anti-Cancer Agent Med. 2022, 22, 2822–2851. [Google Scholar] [CrossRef]
- Li, P.; Zhao, Q.L.; Wu, L.H.; Jawaid, P.; Jiao, Y.F.; Kadowaki, M.; Kondo, T. Isofraxidin, a potent reactive oxygen species (ROS) scavenger, protects human leukemia cells from radiation-induced apoptosis via ROS/mitochondria pathway in p53-independent manner. Apoptosis 2014, 19, 1043–1053. [Google Scholar] [CrossRef]
- Diebold, L.; Chandel, N.S. Mitochondrial ROS regulation of proliferating cells. Free Radical Bio. Med. 2016, 100, 86–93. [Google Scholar] [CrossRef] [PubMed]
- Deng, J.; Wang, J.; Khan, M.; Yu, P.; Yang, F.; Liang, H. Structure and biological properties of five Pt(II) complexes as potential anticancer agents. J. Inorg. Biochem. 2018, 185, 10–16. [Google Scholar] [CrossRef] [PubMed]
- Khan, M.H.; Cai, M.; Deng, J.; Yu, P.; Liang, H.; Yang, F. Anticancer function and ROS-mediated multi-targeting anticancer mechanisms of copper(II) 2-hydroxy-1-naphthaldehyde complexes. Molecules 2019, 24, 2544. [Google Scholar] [CrossRef]
- Santos, C.M.; Cabrera, S.; Ríos-Luci, C.; Padrón, J.M.; Solera, I.L.; Quiroga, A.G.; Medrano, M.A.; Navarro-Ranninger, C.; Alemán, J. Novel clioquinol and its analogous platinum complexes: Importance, role of the halogen substitution and the hydroxyl group of the ligand. Dalton Trans. 2013, 42, 13343–13348. [Google Scholar] [CrossRef]
- Yang, C.; Wang, W.; Liang, J.X.; Li, G.; Vellaisamy, K.; Wong, C.Y.; Ma, D.L.; Leung, C.H. A rhodium(III)-based inhibitor of lysine-specific histone demethylase 1 as an epigenetic modulator in prostate cancer cells. J. Med. Chem. 2017, 60, 2597–2603. [Google Scholar] [CrossRef]
- Liu, Y.C.; Wei, J.H.; Chen, Z.F.; Liu, M.; Gu, Y.Q.; Huang, K.B.; Li, Z.Q.; Liang, H. The antitumor activity of zinc(II) and copper(II) complexes with 5,7-dihalo-substituted-8-quinolinoline. Eur. J. Med. Chem. 2013, 69, 554–563. [Google Scholar] [CrossRef]
- De Almeida, S.M.V.; Ribeiro, A.G.; De Lima Silva, G.C.; Ferreira Alves, J.E.; Beltrão, E.I.C.; De Oliveira, J.F.; de Carvalho, L.B.J.; Alves de Lima, M.D.C. DNA binding and topoisomerase inhibition: How can these mechanisms be explored to design more specific anticancer agents. Biomed. Pharm. 2017, 96, 1538–1556. [Google Scholar] [CrossRef] [PubMed]
- Strekowski, L.; Wilson, B. Noncovalent interactions with DNA: An overview. Mutat. Res.-Fund. Mol. Mech. Mutagen. 2007, 623, 3–13. [Google Scholar] [CrossRef] [PubMed]
- Kuruvilla, E.; Joseph, J.; Ramaiah, D. Novel bifunctional acridine-acridinium conjugates: Synthesis and study of their chromophore-selective electron-transfer and DNA-binding properties. J. Phys. Chem. B 2005, 109, 21997–22002. [Google Scholar] [CrossRef] [PubMed]
- Wang, X.; Yan, M.; Wang, Q.; Wang, H.; Wang, Z.; Zhao, J.; Li, J.; Zhang, Z. In vitro DNA-binding, antioxidant and anticancer activity of indole-2-carboxylic acid dinuclear copper(II) complexes. Molecules 2017, 22, 171. [Google Scholar] [CrossRef]
- Narayanaperumal, P.; Natarajan, R. Investigation of in vitro anticancer and DNA strap interactions in live cells using carboplatin type Cu(II) and Zn(II) metalloinsertors. Eur. J. Med. Chem. 2014, 85, 675–687. [Google Scholar] [CrossRef]
- Greguric, I.; Aldrich Wright, J.R.; Collins, J.G. A 1H NMR study of the binding of Δ-[Ru(phen)2DPQ]2+ to the hexanucleotide d(GTCGAC)2. evidence for intercalation from the minor groove. J. Am. Chem. Soc. 1997, 119, 3621–3622. [Google Scholar] [CrossRef]
- Farghaly, T.A.; Abo Alnaja, A.M.; El-Ghamry, H.A.; Shaaban, M.R. Synthesis and DNA binding of novel bioactive thiazole derivatives pendent to N-phenylmorpholine moiety. Bioorg. Chem. 2020, 102, 104103. [Google Scholar] [CrossRef]
- Kalanur, S.S.; Katrahalli, U.; Seetharamappa, J. Electrochemical studies and spectroscopic investigations on the interaction of an anticancer drug with DNA and their analytical applications. J. Electroanal. Chem. 2009, 636, 93–100. [Google Scholar] [CrossRef]
- Xie, L.; Cui, J.; Qian, X.; Xu, Y.; Liu, J.; Xu, R. 5-Non-amino aromatic substituted naphthalimides as potential antitumor agents: Synthesis via suzuki reaction, antiproliferative activity, and DNA-binding behavior. Bioorg. Med. Chem. 2011, 19, 961–967. [Google Scholar] [CrossRef]
- Yang, P.; Zhang, D.D.; Wang, Z.Z.; Liu, H.Z.; Shi, Q.S.; Xie, X.B. Copper(II) complexes with NNO ligands: Synthesis, crystal structures, DNA cleavage, and anticancer activities. Dalton Trans. 2019, 48, 17925–17935. [Google Scholar] [CrossRef]
- Liu, T.; Wang, Y.A.; Zang, Q.; Zhong, G.Q. Hydrothermal synthesis, structural characterization, and interaction mechanism with DNA of copper(II) complex containing 2,2’-bipyridine. Bioinorg. Chem. Appl. 2018, 22, 8459638. [Google Scholar] [CrossRef] [PubMed]
- Bhunia, A.; Mistri, S.; Kumar Manne, R.; Kumar Santra, M.; Chandra Manna, S. Synthesis, crystal structure, cytotoxicity study, DNA/protein binding and molecular docking of dinuclear copper(II) complexes. Inorg. Chimica Acta 2019, 491, 25–33. [Google Scholar] [CrossRef]
- Wolfe, A.; Shimer, H.G.J.; Meehan, T. Polycyclic aromatic hydrocarbons physically intercalate into duplex regions of denatured DNA. Biochemistry 1987, 26, 6392–6396. [Google Scholar] [CrossRef] [PubMed]
- Zhou, X.Q.; Li, Y.; Zhang, D.Y.; Nie, Y.; Li, Z.J.; Gu, W.; Liu, X.; Tian, J.L.; Yan, S.P. Copper complexes based on chiral Schiff-base ligands: DNA/BSA binding ability, DNA cleavage activity, cytotoxicity and mechanism of apoptosis. Eur. J. Med. Chem. 2016, 3, 244–256. [Google Scholar] [CrossRef] [PubMed]
- Chaires, J.B. Energetics of drug-DNA interactions. Biopolymers 1997, 44, 201–215. [Google Scholar] [CrossRef]
- Bishop, G.R.; Chaires, J.B. Characterization of DNA structures by circular dichroism. Curr. Protoc. Nucleic Acid. Chem. 2003, 7, 1–8. [Google Scholar] [CrossRef]
- Garbett, N.C.; Ragazzon, P.A.; Chaires, J.B. Circular dichroism to determine binding mode and affinity of ligand-DNA interactions. Nat. Protoc. 2007, 2, 3166–3172. [Google Scholar] [CrossRef]
- Karidi, K.; Garoufis, A.; Hadjiliadis, N.; Reedijk, J. Solid-phase synthesis, characterization and DNA binding properties of the first chloro(polypyridyl)ruthenium conjugated peptide complex. Dalton Trans. 2005, 4, 728–734. [Google Scholar] [CrossRef]
- Uma Maheswari, P.; Palaniandavar, M. DNA binding and cleavage properties of certain tetrammine ruthenium(II) complexes of modified 1,10-phenanthrolines--effect of hydrogen-bonding on DNA-binding affinity. J. Inorg. Biochem. 2004, 98, 219–230. [Google Scholar] [CrossRef]
- Xi, P.X.; Xu, Z.H.; Chen, F.J.; Zeng, Z.Z.; Zhang, X.W. Study on synthesis, structure, and DNA-binding of Ni, Zn complexes with 2-phenylquinoline-4-carboylhydrazide. J. Inorg. Biochem. 2009, 103, 210–218. [Google Scholar] [CrossRef] [PubMed]
- Chauhan, M.; Banerjee, K.; Arjmand, F. DNA binding studies of novel copper(II) complexes containing L-tryptophan as chiral auxiliary: In vitro antitumor activity of Cu-Sn2 complex in human neuroblastoma cells. Inorg. Chem. 2007, 46, 3072–3082. [Google Scholar] [CrossRef] [PubMed]
- Zafar, M.N.; Butt, A.M.; Chaudhry, G.E.; Perveen, F.; Nazar, M.F.; Masood, S.; Dalebrook, A.F.; Mughal, E.U.; Sumrra, S.U.; Sung, Y.Y.; et al. Pd(II) complexes with chelating N-(1-alkylpyridin-4(1H)-ylidene)amide (PYA) ligands: Synthesis, characterization and evaluation of anticancer activity. J. Inorg. Biochem. 2021, 224, 111590. [Google Scholar] [CrossRef] [PubMed]
- Sargent, J.M. The use of the MTT assay to study drug resistance in fresh tumour samples. Recent Results Cancer Res. 2003, 161, 13–25. [Google Scholar] [CrossRef]
- Arunachalam, T.; Khader, S.Z.A.; Ahmed, S.S.Z.; Vetrivel, M.; Ameen, S.T.S.; Khadharu, I.S.A.; Prabhu, P.; Jayachandran, P.R.; Sabu, D.M. Radical scavenging and antiproliferative effect of novel phenolic derivatives isolated from nerium indicum against human breast cancer cell line (MCF-7) an in silico and in vitro approach. Environ. Sci. Pollut. Res. 2020, 27, 9038–9057. [Google Scholar] [CrossRef] [PubMed]
- Regina, B.F.; Leopold, F. Regulatory phenomena in the glutathione peroxidase superfamily. Antioxid. Redox Sign. 2020, 33, 498–516. [Google Scholar] [CrossRef]
- Reichmann, M.E.; Rice, S.A.; Thomas, C.A.; Doty, P. A further examination of the molecular weight and size of desoxypentose nucleic acid. J. Am. Chem. Soc. 1954, 76, 3047–3053. [Google Scholar] [CrossRef]









| Compound | BGC-823 | BEL-7402 | MCF-7 | A549 | HL-7702 |
|---|---|---|---|---|---|
| 10a | 9.00 ± 0.60 | 6.70 ± 0.40 | 22.93 ± 0.16 | 26.96 ± 0.14 | >100 |
| 10b | 20.91 ± 0.82 | 14.95 ± 2.00 | 39.77 ± 1.18 | 27.27 ± 0.86 | 38.36 ± 0.58 |
| 10c | 26.21 ± 0.10 | 29.51 ± 0.61 | 24.03 ± 0.43 | 37.32 ± 2.30 | 60.51 ± 0.21 |
| 10d | 20.81 ± 2.69 | 22.53 ± 2.83 | 27.64 ± 0.45 | 47.06 ± 0.80 | >100 |
| 10e | 17.73 ± 0.24 | 20.17 ± 1.43 | 15.68 ± 2.00 | 30.29 ± 0.65 | >100 |
| 10f | 7.89 ± 0.78 | 7.66 ± 0.55 | 10.63 ± 0.14 | 37.67 ± 1.37 | >100 |
| 5-FU | 15.18 ± 0.05 | 15.81 ± 0.01 | 11.32 ± 0.78 | 11.77 ± 0.89 | 20.83 ± 0.05 |
Disclaimer/Publisher’s Note: The statements, opinions and data contained in all publications are solely those of the individual author(s) and contributor(s) and not of MDPI and/or the editor(s). MDPI and/or the editor(s) disclaim responsibility for any injury to people or property resulting from any ideas, methods, instructions or products referred to in the content. |
© 2022 by the authors. Licensee MDPI, Basel, Switzerland. This article is an open access article distributed under the terms and conditions of the Creative Commons Attribution (CC BY) license (https://creativecommons.org/licenses/by/4.0/).
Share and Cite
Lan, H.; Song, J.; Yuan, J.; Xing, A.; Zeng, D.; Hao, Y.; Zhang, Z.; Feng, S. Synthesis, Biological Evaluation, DNA Binding, and Molecular Docking of Hybrid 4,6-Dihydrazone Pyrimidine Derivatives as Antitumor Agents. Molecules 2023, 28, 187. https://doi.org/10.3390/molecules28010187
Lan H, Song J, Yuan J, Xing A, Zeng D, Hao Y, Zhang Z, Feng S. Synthesis, Biological Evaluation, DNA Binding, and Molecular Docking of Hybrid 4,6-Dihydrazone Pyrimidine Derivatives as Antitumor Agents. Molecules. 2023; 28(1):187. https://doi.org/10.3390/molecules28010187
Chicago/Turabian StyleLan, Hairong, Junying Song, Juan Yuan, Aiping Xing, Dai Zeng, Yating Hao, Zhenqiang Zhang, and Shuying Feng. 2023. "Synthesis, Biological Evaluation, DNA Binding, and Molecular Docking of Hybrid 4,6-Dihydrazone Pyrimidine Derivatives as Antitumor Agents" Molecules 28, no. 1: 187. https://doi.org/10.3390/molecules28010187
APA StyleLan, H., Song, J., Yuan, J., Xing, A., Zeng, D., Hao, Y., Zhang, Z., & Feng, S. (2023). Synthesis, Biological Evaluation, DNA Binding, and Molecular Docking of Hybrid 4,6-Dihydrazone Pyrimidine Derivatives as Antitumor Agents. Molecules, 28(1), 187. https://doi.org/10.3390/molecules28010187

