Using Taguchi Method to Determine the Optimum Conditions for Synthesizing Parapyruvate
Abstract
1. Introduction
2. Results and Discussion
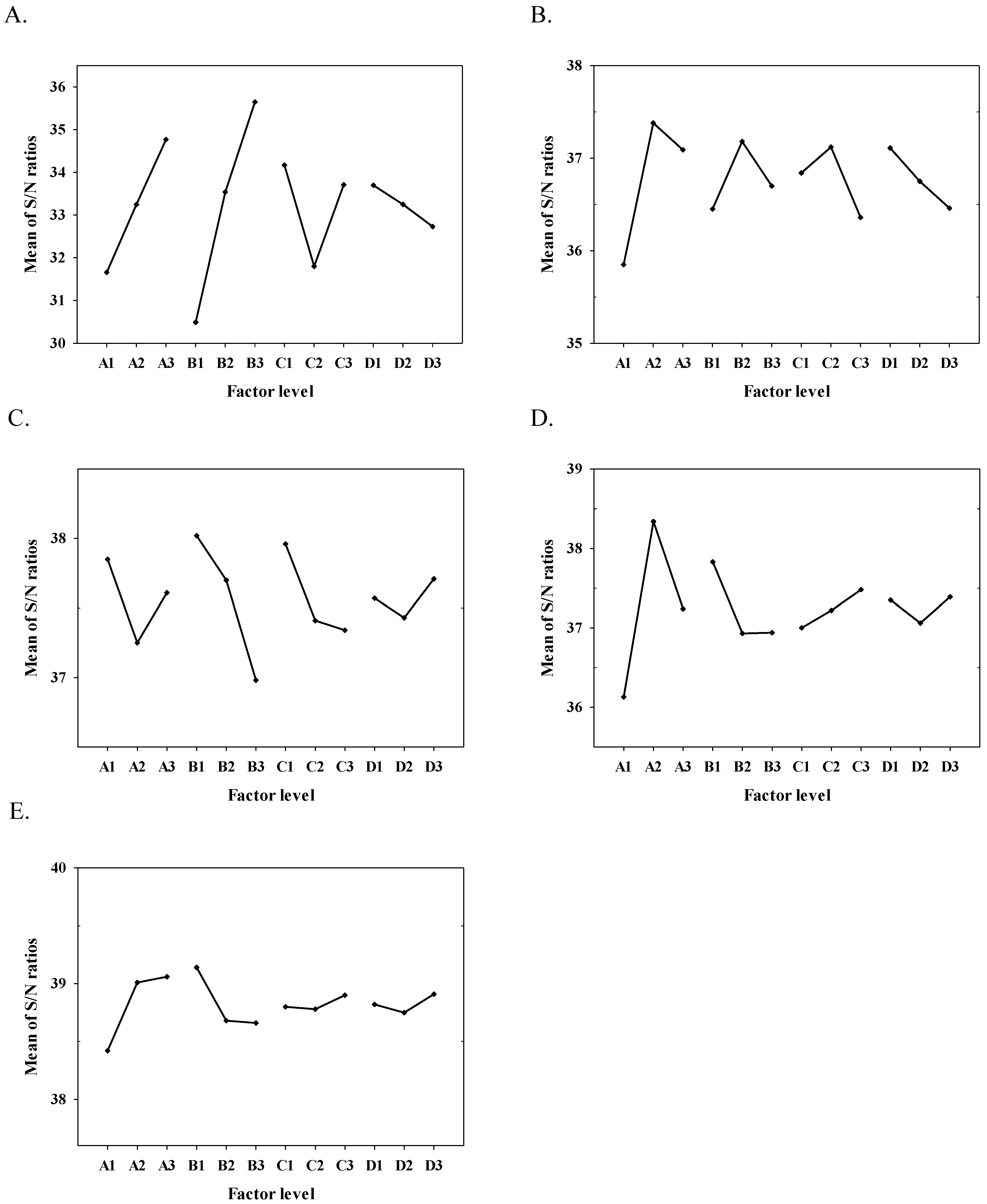
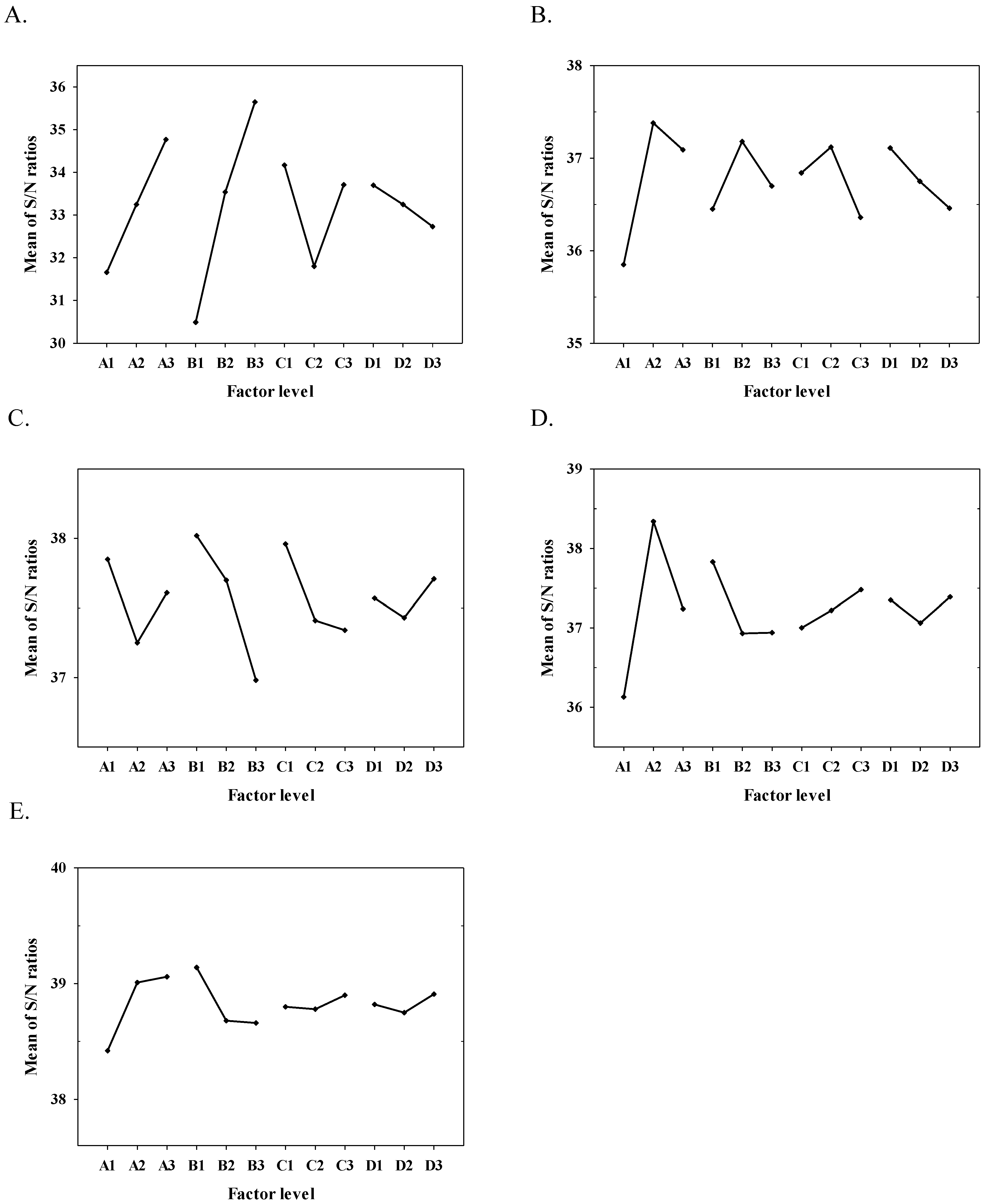
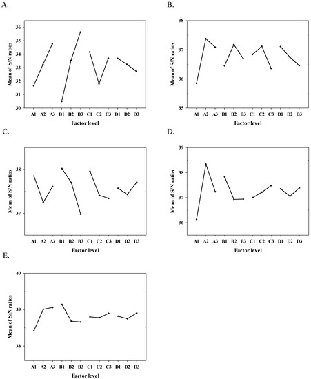
2.1. Optimal Conditions of the CPSP Preparation
2.2. Optimal Conditions for First Solvent Crystallization to Recover the Parapyruvate Crystals from the CPSP
2.3. Optimal Conditions for the Secondary Solvent Crystallization by Ethanol
2.4. The Final Yield and Purity for Synthesizing Parapyruvate by the Optimum Conditions
2.5. The Inhibition of Parapyruvate on KGDHC Enzyme Kinetic
3. Materials and Methods
3.1. Materials
3.2. Determination of the Optimal Conditions for Synthesizing Parapyruvate
3.2.1. Determine the Optimal Conditions for the Preparation of CPSP
3.2.2. Determine the Optimal Conditions for the First Solvent Crystallization to Recover Parapyruvate from the CPSP
3.2.3. Determine the Optimal Conditions for the Secondary Solvent Crystallization to Recover the Pure Parapyruvate from the Impure Crystals
3.3. HPLC Analysis
3.4. Determination of the Yield, Recovery, and Purity of the Synthesized Parapyruvate
3.5. Taguchi Design of Experiment
3.6. KGDHC Enzyme Kinetic Assay
4. Conclusions
5. Patents
Supplementary Materials
Author Contributions
Funding
Institutional Review Board Statement
Informed Consent Statement
Data Availability Statement
Conflicts of Interest
Sample Availability
References
- Rios, A.C.; Bera, P.P.; Moreno, J.A.; Cooper, G. Pyruvate Aldol Condensation Product: A Metabolite That Escaped Synthetic Preparation for Over a Century. ACS Omega 2020, 5, 15063–15068. [Google Scholar] [CrossRef] [PubMed]
- Chang, S.-C.; Lee, I.; Ting, H.; Chang, Y.-J.; Yang, N.-C. Parapyruvate, an Impurity in Pyruvate Supplements, Induces Senescence in Human Fibroblastic Hs68 Cells via Inhibition of the α-Ketoglutarate Dehydrogenase Complex. J. Agric. Food Chem. 2018, 66, 7504–7513. [Google Scholar] [CrossRef] [PubMed]
- Montgomery, C.M.; Webb, J.L. Metabolic studies on heart mitochondria. II. The inhibitory action of parapyruvate on the tri-carboxylic acid cycle. J. Biol. Chem. 1956, 221, 359–368. [Google Scholar] [CrossRef]
- Butterworth, R.F.; Besnard, A.M. Thiamine-dependent enzyme changes in temporal cortex of patients with Alzheimer’s disease. Metab. Brain. Dis. 1990, 5, 179–184. [Google Scholar] [CrossRef]
- Mastrogiacomo, F.; Lindsay, J.G.; Bettendorff, L.; Rice, J.; Kish, S.J. Brain protein and α-ketoglutarate dehydrogenase complex activity in Alzheimer’s disease. Ann. Neurol. 1996, 39, 592–598. [Google Scholar] [CrossRef]
- Mastrogiacomo, F.; Bergeron, C.; Kish, S.J. Brain alpha-ketoglutarate dehydrogenase complex activity in Alzheimer’s disease. J. Neurochem. 1993, 61, 2007–2014. [Google Scholar] [CrossRef]
- Terwel, D.; Bothmer, J.; Wolf, E.; Meng, F.; Jolles, J. Affected enzyme activities in Alzheimer’s disease are sensitive to ante-mortem hypoxia. J. Neurol. Sci. 1998, 161, 47–56. [Google Scholar] [CrossRef]
- Huang, H.-M.; Zhang, H.; Xu, H.; Gibson, G.E. Inhibition of the alpha-ketoglutarate dehydrogenase complex alters mito-chondrial function and cellular calcium regulation. Biochim. Biophys. Acta. 2003, 1637, 119–126. [Google Scholar] [CrossRef]
- Bubber, P.; Haroutunian, V.; Fisch, G.; Blass, J.P.; Gibson, G.E. Mitochondrial abnormalities in Alzheimer brain: Mechanistic implications. Ann. Neurol. 2005, 57, 695–703. [Google Scholar] [CrossRef]
- Mizuno, Y.; Mori, H.; Kondo, T. Parkinson’s Disease: From Etiology to Treatment. Intern. Med. 1995, 34, 1045–1054. [Google Scholar] [CrossRef][Green Version]
- Gibson, G.; Kingsbury, A.; Xu, H.; Lindsay, J.; Daniel, S.; Foster, O.; Lees, A.; Blass, J. Deficits in a tricarboxylic acid cycle enzyme in brains from patients with Parkinson’s disease. Neurochem. Int. 2003, 43, 129–135. [Google Scholar] [CrossRef]
- Lương, K.V.Q.; Nguyên, L.T.H. Thiamine and Parkinson’s disease. J. Neurol. Sci. 2012, 316, 1–8. [Google Scholar] [CrossRef] [PubMed]
- Berndt, N.; Holzhütter, H.-G.; Bulik, S. Implications of enzyme deficiencies on mitochondrial energy metabolism and reactive oxygen species formation of neurons involved in rotenone-induced Parkinson’s disease: A model-based analysis. FEBS J. 2013, 280, 5080–5093. [Google Scholar] [CrossRef] [PubMed]
- Margolis, S.A.; Coxon, B. Identification and quantitation of the impurities in sodium pyruvate. Anal. Chem. 1986, 58, 2504–2510. [Google Scholar] [CrossRef]
- Bukovec, P.; Benkic, P.; Smrkolj, M.; Vrecer, F. Effect of crystal habit on the dissolution behavior of simvastatin crystals and its relationship to crystallization solvent properties. Pharmazie 2016, 71, 263–268. [Google Scholar] [CrossRef]
- Rao, R.S.; Kumar, C.G.; Prakasham, R.S.; Hobbs, P.J. The Taguchi methodology as a statistical tool for biotechnological ap-plications: A critical appraisal. Biotechnol. J. 2008, 3, 510–523. [Google Scholar] [CrossRef]
- Shafiee, S.; Ahangar, H.A.; Saffar, A. Taguchi method optimization for synthesis of Fe3O4 @chitosan/Tragacanth Gum nanocomposite as a drug delivery system. Carbohydr. Polym. 2019, 222, 114982. [Google Scholar] [CrossRef]
- Idris, F.N.; Nadzir, M.M.; Shukor, S.R.A. Optimization of solvent-free microwave extraction of Centella asiatica using Taguchi method. J. Environ. Chem. Eng. 2020, 8, 103766. [Google Scholar] [CrossRef]
- Maazinejad, B.; Mohammadnia, O.; Ali, G.A.; Makhlouf, A.S.; Nadagouda, M.N.; Sillanpää, M.; Asiri, A.M.; Agarwal, S.; Gupta, V.K.; Sadegh, H. Taguchi L9 (34) orthogonal array study based on methylene blue removal by single-walled carbon nanotubes-amine: Adsorption optimization using the experimental design method, kinetics, equilibrium and thermodynamics. J. Mol. Liq. 2020, 298, 112001. [Google Scholar] [CrossRef]
- Noël, A.; Van Soen, G.; Rouaud, I.; Hitti, E.; Tomasi, S. Optimization of cytotoxic activity of Nocardia sp culture broths using a design of experiments. PLoS ONE 2020, 15, e0227816. [Google Scholar] [CrossRef]
- Egbosiuba, T.C.; Abdulkareem, A.S.; Tijani, J.O.; Ani, J.I.; Krikstolaityte, V.; Srinivasan, M.; Veksha, A.; Lisak, G. Taguchi optimization design of diameter-controlled synthesis of multi walled carbon nanotubes for the adsorption of Pb(II) and Ni(II) from chemical industry wastewater. Chemosphere 2021, 266, 128937. [Google Scholar] [CrossRef] [PubMed]
- Fernández-López, J.A.; Angosto, J.M.; Roca, M.J.; Miñarro, M.D. Taguchi design-based enhancement of heavy metals bioremoval by agroindustrial waste biomass from artichoke. Sci. Total Environ. 2019, 653, 55–63. [Google Scholar] [CrossRef] [PubMed]
- Cornish-Bowden, A. The origins of enzyme kinetics. FEBS Lett. 2013, 587, 2725–2730. [Google Scholar] [CrossRef] [PubMed]
- Robinson, P.K. Enzymes: Principles and biotechnological applications. Essays Biochem. 2015, 59, 1–41. [Google Scholar] [CrossRef] [PubMed]
- Alam, B.; Bajpai, V.K.; Ra, J.-S.; Lim, J.-Y.; An, H.; Shukla, S.; Quan, K.T.; Khan, I.; Huh, Y.S.; Han, Y.-K.; et al. Anthraquinone-type inhibitor of α-glucosidase enhances glucose uptake by activating an insulin-like signaling pathway in C2C12 myotubes. Food Chem. Toxicol. 2019, 129, 337–343. [Google Scholar] [CrossRef] [PubMed]
- Zolfaghari, G.; Esmaili-Sari, A.; Anbia, M.; Younesi, H.; Amirmahmoodi, S.; Ghafarinazari, A. Taguchi optimization approach for Pb(II) and Hg(II) removal from aqueous solutions using modified mesoporous carbon. J. Hazard. Mater. 2011, 192, 1046–1055. [Google Scholar] [CrossRef]



| (1) CPSP * Preparation | ||||
| Symbol | Factor | Level | ||
| 1 | 2 | 3 | ||
| A | Concentration of pyruvic acid solution (M) | 0.5 | 1 | 2 |
| B | pH of dimerization reaction | 8 | 10 | 12 |
| C | Temperature of dimerization reaction (°C) | 4 | 25 | 37 |
| D | pH of stop reaction | 2 | 3 | 4 |
| (2) First Solvent Crystallization | ||||
| Symbol | Factor | Level | ||
| 1 | 2 | 3 | ||
| A | Volume ratio of CPSP: solvent | 1:2 | 1:2.5 | 1:3 |
| B | Standing temperature (°C) | −20 | 4 | 25 |
| C | Standing time (hour) | 6 | 12 | 24 |
| D | Mixing time (seconds) | 10 | 30 | 60 |
| (3) Secondary Solvent Crystallization | ||||
| Symbol | Factor | Level | ||
| 1 | 2 | 3 | ||
| A | Volume ratio of IPFC solution **: ethanol | 1:9 | 1:10 | 1:12 |
| B | Standing temperature (°C) | −20 | 4 | 25 |
| C | Standing time (hour) | 6 | 12 | 24 |
| D | Mixing time (seconds) | 10 | 30 | 60 |
| Run | CPSP Preparation | First Solvent Crystallization by Acetone | Secondary Solvent Crystallization by Ethanol | Yield (%) | Purity (%) |
|---|---|---|---|---|---|
| Optimum | A3B3C1D1 | A2B1C3D3 | A3B1C3D3 | 72.8 | 99.8 |
| Inhibitor (mM) * | Vmax (nmol/min/mL) | Km (mM) | Inhibitor Type |
|---|---|---|---|
| 0 | 18.5154 | 0.0324 | Competitive ** |
| 0.01 | 18.9913 | 0.0862 | |
| 0.1 | 18.7824 | 0.1698 | |
| 0.5 | 19.1352 | 0.5875 | |
| 1 | 18.6393 | 1.0747 |
Publisher’s Note: MDPI stays neutral with regard to jurisdictional claims in published maps and institutional affiliations. |
© 2022 by the authors. Licensee MDPI, Basel, Switzerland. This article is an open access article distributed under the terms and conditions of the Creative Commons Attribution (CC BY) license (https://creativecommons.org/licenses/by/4.0/).
Share and Cite
Lee, I.; Yang, N.-C. Using Taguchi Method to Determine the Optimum Conditions for Synthesizing Parapyruvate. Molecules 2022, 27, 1870. https://doi.org/10.3390/molecules27061870
Lee I, Yang N-C. Using Taguchi Method to Determine the Optimum Conditions for Synthesizing Parapyruvate. Molecules. 2022; 27(6):1870. https://doi.org/10.3390/molecules27061870
Chicago/Turabian StyleLee, Inn, and Nae-Cherng Yang. 2022. "Using Taguchi Method to Determine the Optimum Conditions for Synthesizing Parapyruvate" Molecules 27, no. 6: 1870. https://doi.org/10.3390/molecules27061870
APA StyleLee, I., & Yang, N.-C. (2022). Using Taguchi Method to Determine the Optimum Conditions for Synthesizing Parapyruvate. Molecules, 27(6), 1870. https://doi.org/10.3390/molecules27061870

