New Constructed EEM Spectra Combined with N-PLS Analysis Approach as an Effective Way to Determine Multiple Target Compounds in Complex Samples
Abstract
1. Introduction
2. Data Sets
2.1. Data Set 1
2.2. Data Set 2
3. Data Analysis
3.1. The New Constructed 3D EEM Spectra
3.2. N-PLS Method
3.3. PLS Method
3.4. Regression Modeling and Evaluation
4. Results and Discussion
4.1. N-PLS Method on New Constructed 3D EEM Spectra
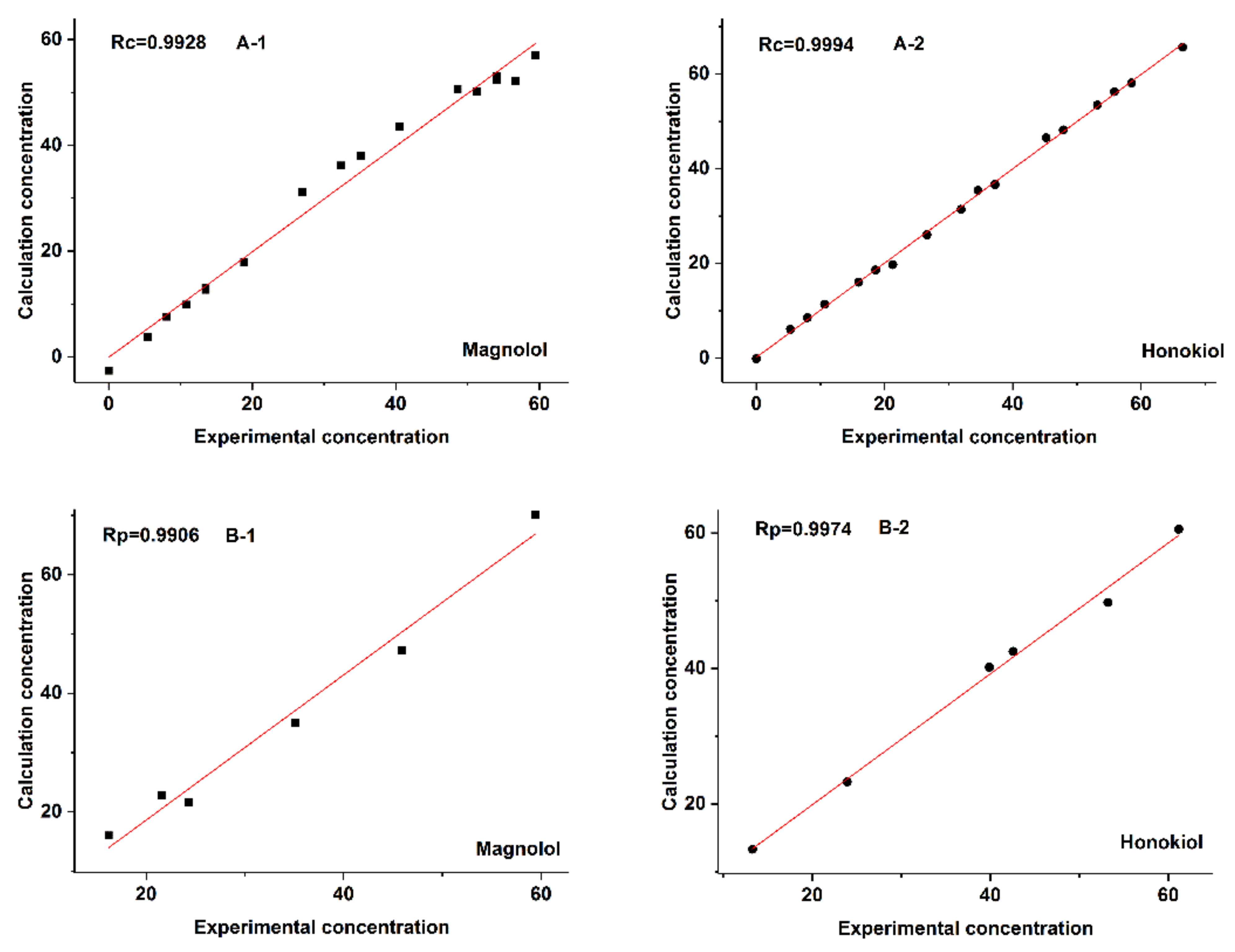
4.1.1. The Results of Data Set 1
4.1.2. The Results of Data Set 2
4.2. Comparison with Other Methods
4.2.1. N-PLS Method on the Original EEM Spectra
4.2.2. PLS Method on the Extracted Maximum Spectra in the Concatenated Mode
5. Conclusions
Author Contributions
Funding
Institutional Review Board Statement
Informed Consent Statement
Data Availability Statement
Conflicts of Interest
Sample Availability
References
- Włodarska, K.; Pawlak-Lemańska, K.; Khmelinskii, I.; Sikorska, E. Multivariate curve resolution–Alternating least squares analysis of the total synchronous fluorescence spectra: An attempt to identify polyphenols contribution to the emission of apple juices. Chemom. Intell. Lab. Syst. 2017, 164, 94–102. [Google Scholar] [CrossRef]
- Gu, H.W.; Zhang, S.H.; Wu, B.C.; Chen, W.; Wang, J.B.; Liu, Y. A green chemometrics-assisted fluorimetric detection method for the direct and simultaneous determination of six polycyclic aromatic hydrocarbons in oil-field wastewaters. Spectrochim. Acta Part A 2018, 200, 93–101. [Google Scholar] [CrossRef] [PubMed]
- Calvet, A.; Li, B.; Ryder, A.G. Rapid quantification of tryptophan and tyrosine in chemically defined cell culture media using fluorescence spectroscopy. J. Pharm. Biomed. Anal. 2012, 71, 89–98. [Google Scholar] [CrossRef] [PubMed][Green Version]
- Tu, D.-Z.; Wu, H.-L.; Li, Y.-N.; Zhang, J.; Li, Y.; Nie, C.-C.; Zhang, X.-H.; Yu, R.-Q. Measuring estriol and estrone simultaneously in liquid cosmetic samples using second-order calibration coupled with excitation–emission matrix fluorescence based on region selection. Anal. Methods 2012, 4, 222–229. [Google Scholar] [CrossRef]
- Peng, T.-Q.; Yin, X.-L.; Sun, W.; Ding, B.; Ma, L.-A.; Gu, H.-W. Developing an Excitation-Emission Matrix Fluorescence Spectroscopy Method Coupled with Multi-way Classification Algorithms for the Identification of the Adulteration of Shanxi Aged Vinegars. Food Anal. Methods 2019, 12, 2306–2313. [Google Scholar] [CrossRef]
- Trivittayasil, V.; Tsuta, M.; Imamura, Y.; Sato, T.; Otagiri, Y.; Obata, A.; Otomo, H.; Kokawa, M.; Sugiyama, J.; Fujita, K.; et al. Fluorescence fingerprint as an instrumental assessment of the sensory quality of tomato juices. J. Sci. Food Agric. 2016, 96, 1167–1174. [Google Scholar] [CrossRef]
- Orzel, J.; Daszykowski, M.; Grabowski, I.; Zaleszczyk, G.; Sznajder, M.; Walczak, B. Simultaneous determination of Solvent Yellow 124 and Solvent Red 19 in diesel oil using fluorescence spectroscopy and chemometrics. Talanta 2012, 101, 78–84. [Google Scholar] [CrossRef]
- Wlodarska, K.; Pawlak-Lemanska, K.; Khmelinskii, I.; Sikorska, E. Explorative study of apple juice fluorescence in relation to antioxidant properties. Food Chem. 2016, 210, 593–599. [Google Scholar] [CrossRef]
- Xia, H.; Wu, H.-L.; Gu, H.-W.; Yin, X.-L.; Fang, H.; Yu, R.-Q. Simultaneous determination of naphazoline and pyridoxine in eye drops using excitation–emission matrix fluorescence coupled with second-order calibration method based on alternating trilinear decomposition algorithm. Chin. Chem. Lett. 2015, 26, 1446–1449. [Google Scholar] [CrossRef]
- Gu, H.-W.; Yin, X.-L.; Ma, Y.-X.; Wang, J.; Yang, F.; Sun, W.; Ding, B.; Chen, Y.; Liu, Z. Differentiating grades of Xihu Longjing teas according to the contents of ten major components based on HPLC-DAD in combination with chemometrics. Lwt 2020, 130, 109688. [Google Scholar] [CrossRef]
- Santos, M.C.D.; Azcarate, S.M.; Lima, K.M.G.; Goicoechea, H.C. Fluorescence spectroscopy application for Argentinean yerba mate (Ilex paraguariensis) classification assessing first- and second-order data structure properties. Microchem. J. 2020, 155, 104783. [Google Scholar] [CrossRef]
- Bayat, M.; Marin-Garcia, M.; Ghasemi, J.B.; Tauler, R. Application of the area correlation constraint in the MCR-ALS quantitative analysis of complex mixture samples. Anal. Chim. Acta 2020, 1113, 52–65. [Google Scholar] [CrossRef]
- Vosough, M.; Eshlaghi, S.N.; Zadmard, R. On the performance of multiway methods for simultaneous quantification of two fluoroquinolones in urine samples by fluorescence spectroscopy and second-order calibration strategies. Spectrochim. Acta Part A 2015, 136 Pt B, 618–624. [Google Scholar] [CrossRef]
- Li, Y.; Wu, H.-l.; Yu, X.-y. Dealing with three-way data containing missing values by new weighted method for second-order calibration. Chemom. Intell. Lab. Syst. 2017, 171, 207–217. [Google Scholar] [CrossRef]
- Wu, H.-L.; Wang, T.; Yu, R.-Q. Recent advances in chemical multi-way calibration with second-order or higher-order advantages: Multilinear models, algorithms, related issues and applications. TrAC Trends Anal. Chem. 2020, 130, 115954. [Google Scholar] [CrossRef]
- Wang, X.; Li, B.Q.; Zhai, H.L.; Xiong, M.Y.; Liu, Y. An efficient approach to the quantitative analysis of humic acid in water. Food Chem. 2016, 190, 1033–1039. [Google Scholar] [CrossRef] [PubMed]
- Chen, J.; Li, B.Q.; Cui, Y.Q.; Yu, E.; Zhai, H.L. A fast and effective method of quantitative analysis of VB 1, VB 2 and VB 6 in B-vitamins complex tablets based on three-dimensional fluorescence spectra. J. Food Compos. Anal. 2015, 41, 122–128. [Google Scholar] [CrossRef]
- Chen, J.; Li, B.Q.; Xu, M.L.; Wang, X.; Jing, Y.H.; Zhai, H.L. Krawtchouk image moment method for the simultaneous determination of three drugs in human plasma based on fluorescence three-dimensional spectra. Talanta 2016, 161, 99–104. [Google Scholar] [CrossRef] [PubMed]
- Li, B.Q.; Wang, X.; Xu, M.L.; Zhai, H.L.; Chen, J.; Liu, J.J. The multi-resolution capability of Tchebichef moments and its applications to the analysis of fluorescence excitation-emission spectra. Methods Appl. Fluoresc. 2017, 6, 015008. [Google Scholar] [CrossRef]
- Acar, E.; Papalexakis, E.E.; Gürdeniz, G.; Rasmussen, M.A.; Lawaetz, A.J.; Nilsson, M.; Bro, R. Structure-revealing data fusion. BMC Bioinform. 2014, 15, 239. [Google Scholar] [CrossRef]
- Bahram, M.; Bro, R.; Stedmon, C.; Afkhami, A. Handling of Rayleigh and Raman scatter for PARAFAC modeling of fluorescence data using interpolation. J. Chemom. 2006, 20, 99–105. [Google Scholar] [CrossRef]
- Kumar, K.; Mishra, A.K. Simultaneous quantification of dilute aqueous solutions of certain polycyclic aromatic hydrocarbons (PAHs) with significant fluorescent spectral overlap using total synchronous fluorescence spectroscopy (TSFS) and N-PLS, unfolded-PLS and MCR-ALS analysis. Anal. Methods 2011, 3, 2616. [Google Scholar] [CrossRef]
- Sahar, A.; Boubellouta, T.; Dufour, É. Synchronous front-face fluorescence spectroscopy as a promising tool for the rapid determination of spoilage bacteria on chicken breast fillet. Food Res. Int. 2011, 44, 471–480. [Google Scholar] [CrossRef]
- BRO, R. Multiway Calibration. Multilinear Pls. J. Chemom. 1996, 10, 47–61. [Google Scholar] [CrossRef]
- Yang, R.; Dong, G.; Sun, X.; Yang, Y.; Yu, Y.; Liu, H.; Zhang, W. Feasibility of the simultaneous determination of polycyclic aromatic hydrocarbons based on two-dimensional fluorescence correlation spectroscopy. Spectrochim. Acta Part A 2018, 190, 342–346. [Google Scholar] [CrossRef] [PubMed]
- Lu, S.H.; Li, S.S.; Yin, B.; Mi, J.Y.; Zhai, H.L. The rapid quantitative analysis of three pesticides in cherry tomatoes and red grape samples with Tchebichef image moments. Food Chem. 2019, 290, 72–78. [Google Scholar] [CrossRef] [PubMed]
- Yang, X.; Muhammad, T.; Bakri, M.; Muhammad, I.; Yang, J.; Zhai, H.; Abdurahman, A.; Wu, H. Simple and fast spectrophotometric method based on chemometrics for the measurement of multicomponent adsorption kinetics. J. Chemom. 2020, 34, e3249. [Google Scholar] [CrossRef]
- Filoda, P.F.; Fetter, L.F.; Fornasier, F.; Schneider, R.; Helfer, G.A.; Tischer, B.; Teichmann, A.; da Costa, A.B. Fast Methodology for Identification of Olive Oil Adulterated with a Mix of Different Vegetable Oils. Food Anal. Methods 2018, 12, 293–304. [Google Scholar] [CrossRef]
- Teixeira, K.S.S.; da Cruz Fonseca, S.G.; de Moura, L.C.B.; de Moura, M.L.R.; Borges, M.H.P.; Barbosa, E.G.; De Lima, E.M.T.F.A. Use of chemometrics to compare NIR and HPLC for the simultaneous determination of drug levels in fixed-dose combination tablets employed in tuberculosis treatment. J. Pharm. Biomed. Anal. 2018, 149, 557–563. [Google Scholar] [CrossRef]
- Henseler, J.; Hubona, G.; Ray, P.A. Using PLS path modeling in new technology research: Updated guidelines. Ind. Manag. Data Syst. 2016, 116, 2–20. [Google Scholar] [CrossRef]
- Feng, Y.Z.; Zhang, T.L.; Zhao, M.J.; Zhang, X.; Tang, H.S.; Sheng, Q.L. Raman-infrared spectral fusion combined with partial least squares (PLS) for quantitative analysis of polycyclic aromatic hydrocarbons in soil. Anal. Methods 2020, 12, 1203–1211. [Google Scholar] [CrossRef]
- Divya, O.; Mishra, A.K. Chemometric study of excitation-emission matrix fluorescence data: Quantitative analysis of petrol-kerosene mixtures. Appl. Spectrosc. 2008, 62, 753–758. [Google Scholar] [CrossRef] [PubMed]
- Lu, S.; Zhang, X.; Zhang, Z.; Yang, Y.; Xiang, Y. Quantitative measurements of binary amino acids mixtures in yellow foxtail millet by terahertz time domain spectroscopy. Food Chem. 2016, 211, 494–501. [Google Scholar] [CrossRef] [PubMed]







| Method | Item | Val–Tyr–Val | Trp–Gly | Phe | 
|---|---|---|---|---|
| *N-PLS*1 | LVs | 3 | 5 | 5 | 
| Rc | 0.9964 | 0.9999 | 0.9958 | |
| RMSEC | 0.1333 | 0.0254 | 0.1339 | |
| Rloo-cv | 0.9951 | 0.9997 | 0.9872 | |
| RMSECV | 0.1553 | 0.0487 | 0.2335 | |
| Rp | 0.9991 | 0.9993 | 0.9983 | |
| RMSEP | 0.0901 | 0.0961 | 0.1111 | |
| *N-PLS*2 | LVs | 3 | 2 | 5 | 
| Rc | 0.9957 | 0.9967 | 0.9925 | |
| RMSEC | 0.1457 | 0.1756 | 0.1778 | |
| Rloo-cv | 0.9941 | 0.9957 | 0.9808 | |
| RMSECV | 0.1453 | 0.1706 | 0.2512 | |
| Rp | 0.9999 | 0.9869 | 0.9987 | |
| RMSEP | 0.0812 | 0.3944 | 0.0940 | |
| PLS | LVs | 3 | 4 | 5 | 
| Rc | 0.9969 | 0.9999 | 0.9963 | |
| RMSEC | 0.1208 | 0.0278 | 0.1241 | |
| Rloo-cv | 0.9948 | 0.9997 | 0.9853 | |
| RMSECV | 0.1562 | 0.0511 | 0.2527 | |
| Rp | 0.9992 | 0.9993 | 0.9984 | |
| RMSEP | 0.0881 | 0.0972 | 0.1020 | 
| Method | Item | Magnolol | Honokiol | 
|---|---|---|---|
| *N-PLS*1 | LVs | 4 | 4 | 
| Rc | 0.9928 | 0.9994 | |
| RMSEC | 2.3957 | 0.7081 | |
| Rloo-cv | 0.9780 | 0.9976 | |
| RMSECV | 4.7487 | 1.4362 | |
| Rp | 0.9906 | 0.9974 | |
| RMSEP | 4.5444 | 1.4700 | |
| *N-PLS*2 | LVs | 4 | 5 | 
| Rc | 0.9894 | 0.9993 | |
| RMSEC | 2.8895 | 0.7442 | |
| Rloo-cv | 0.9693 | 0.9962 | |
| RMSECV | 5.5521 | 1.8324 | |
| Rp | 0.9921 | 0.9978 | |
| RMSEP | 3.8600 | 1.4685 | |
| PLS | LVs | 5 | 4 | 
| Rc | 0.9974 | 0.9974 | |
| RMSEC | 1.4284 | 1.4275 | |
| Rloo-cv | 0.9905 | 0.9919 | |
| RMSECV | 2.8213 | 2.6537 | |
| Rp | 0.9684 | 0.9781 | |
| RMSEP | 10.1635 | 4.0459 | 
| Compound | Method | Magnoliae Cortex (μg/mL) | Added Sample (μg/mL) | ||
|---|---|---|---|---|---|
| Added | Predicted | Recovery (%) | |||
| Magnolol | *N-PLS*1 | 9.0 | 34.8 | 95.6 | |
| *N-PLS*2 | 10.1 | 27.0 | 34.7 | 91.0 | |
| PLS | 11.7 | 35.9 | 89.6 | ||
| Honokiol | *N-PLS*1 | 6.6 | 29.3 | 85.6 | |
| *N-PLS*2 | 6.8 | 26.6 | 29.9 | 86.7 | |
| PLS | 8.9 | 32.3 | 88.1 | ||
| Publisher’s Note: MDPI stays neutral with regard to jurisdictional claims in published maps and institutional affiliations. | 
© 2022 by the authors. Licensee MDPI, Basel, Switzerland. This article is an open access article distributed under the terms and conditions of the Creative Commons Attribution (CC BY) license (https://creativecommons.org/licenses/by/4.0/).
Share and Cite
Li, Z.; Feng, N.; Li, X.; Lin, Y.; Zhang, X.; Li, B. New Constructed EEM Spectra Combined with N-PLS Analysis Approach as an Effective Way to Determine Multiple Target Compounds in Complex Samples. Molecules 2022, 27, 8378. https://doi.org/10.3390/molecules27238378
Li Z, Feng N, Li X, Lin Y, Zhang X, Li B. New Constructed EEM Spectra Combined with N-PLS Analysis Approach as an Effective Way to Determine Multiple Target Compounds in Complex Samples. Molecules. 2022; 27(23):8378. https://doi.org/10.3390/molecules27238378
Chicago/Turabian StyleLi, Zeying, Na Feng, Xinkang Li, Yuan Lin, Xiangzhi Zhang, and Baoqiong Li. 2022. "New Constructed EEM Spectra Combined with N-PLS Analysis Approach as an Effective Way to Determine Multiple Target Compounds in Complex Samples" Molecules 27, no. 23: 8378. https://doi.org/10.3390/molecules27238378
APA StyleLi, Z., Feng, N., Li, X., Lin, Y., Zhang, X., & Li, B. (2022). New Constructed EEM Spectra Combined with N-PLS Analysis Approach as an Effective Way to Determine Multiple Target Compounds in Complex Samples. Molecules, 27(23), 8378. https://doi.org/10.3390/molecules27238378
 
        


 
       