Curcuma longa L. Rhizome Extract as a Poly(vinyl chloride)/Graphene Nanocomposite Green Modifier
Abstract
1. Introduction
2. Results and Discussion
2.1. Analysis of Curcuma longa L. Rhizome Extract
2.2. Structure of PVC/GN Nanocomposites
2.3. Thermal Properties of PVC/GN Nanocomposites
2.4. Swelling Behavior of PVC/GN Nanocomposites
- Sd—swelling degree, %;
- SE—equilibrium swelling, upper asymptote, %;
- tM—time in which the swelling occurs with a maximum rate, s;
- t—time of exposure to the swelling agent, s;
- p—comparison parameter, s−1.
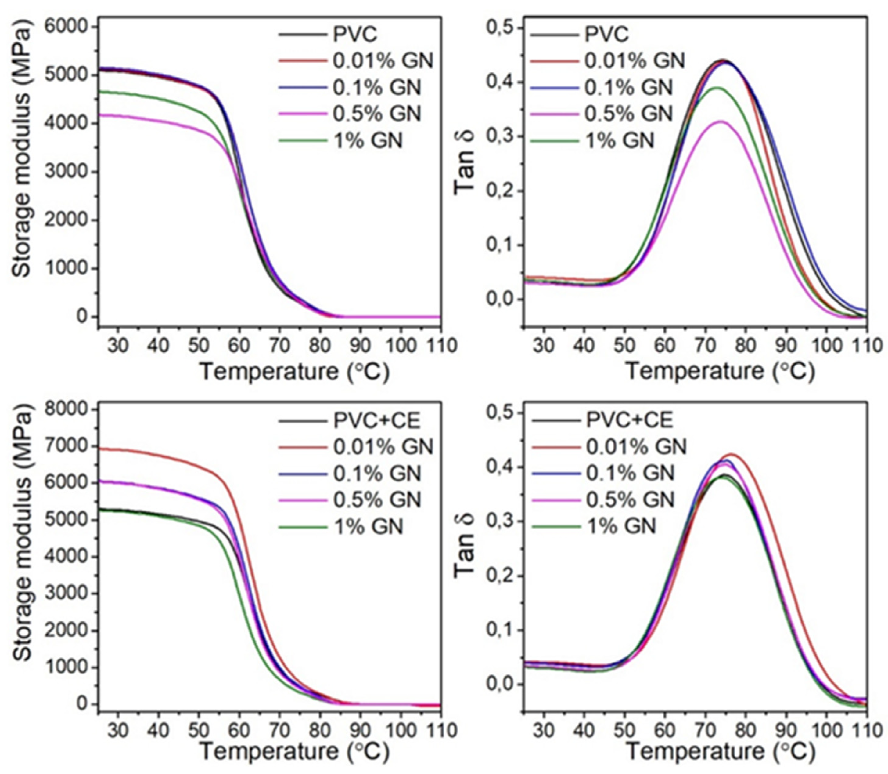
2.5. Dynamic Mechanical Thermal Analysis of PVC/GN Nanocomposites
2.6. Mechanical Properties of PVC/GN Nanocomposites
2.7. Electrical Properties of PVC/GN Nanocomposites
3. Experimental Section
3.1. Materials
3.2. Preparation of Curcuma longa L. Rhizome Extract
3.3. Preparation of PVC/GN Nanocomposites
3.4. Methods of Curcuma longa L. Rhizome Extract Analysis
3.5. Characterization of PVC/GN Nanocomposites
- h—sample diameter after time t (mm);
- h0—initial sample diameter (mm).
4. Conclusions
Supplementary Materials
Author Contributions
Funding
Institutional Review Board Statement
Informed Consent Statement
Data Availability Statement
Conflicts of Interest
Sample Availability
References
- Saleem, H.; Haneef, M.; Abbasi, H.Y. Synthesis route of reduced graphene oxide via thermal reduction of chemically exfoliated graphene oxide. Mater. Chem. Phys. 2018, 204, 1–7. [Google Scholar] [CrossRef]
- Johnson, D.W.; Dobson, B.P.; Coleman, K.S. A manufacturing perspective on graphene dispersions. Curr. Opin. Colloid Interface Sci. 2015, 20, 367–382. [Google Scholar] [CrossRef]
- Abdel Ghany, N.A.; Elsherif, S.A.; Handal, H.T. Revolution of Graphene for different applications: State-of-the-art. Surf. Interfaces 2017, 9, 93–106. [Google Scholar] [CrossRef]
- Drewniak, S.; Muzyka, R.; Stolarczyk, A.; Pustelny, T.; Kotyczka-Morańska, M.; Setkiewicz, M. Studies of reduced graphene oxide and graphite oxide in the aspect of their possible application in gas sensors. Sensors 2016, 16, 103. [Google Scholar] [CrossRef] [PubMed]
- Mikhailov, S. Physics and Applications of Graphene-Experiments; InTech: Singapore, 2011; ISBN 9789533071527. [Google Scholar]
- Punetha, V.D.; Rana, S.; Yoo, H.J.; Chaurasia, A.; McLeskey, J.T.; Ramasamy, M.S.; Sahoo, N.G.; Cho, J.W. Functionalization of carbon nanomaterials for advanced polymer nanocomposites: A comparison study between CNT and graphene. Prog. Polym. Sci. 2017, 67, 1–47. [Google Scholar] [CrossRef]
- Galpaya, D.; Wang, M.; Liu, M.; Motta, N.; Waclawik, E.; Yan, C. Recent Advances in Fabrication and Characterization of Graphene-Polymer Nanocomposites. Graphene 2012, 01, 30–49. [Google Scholar] [CrossRef]
- Sreenivasulu, B.; Ramji, B.R.; Nagaral, M. A Review on Graphene Reinforced Polymer Matrix Composites. Mater. Today Proc. 2018, 5, 2419–2428. [Google Scholar] [CrossRef]
- Phiri, J.; Gane, P.; Maloney, T.C. General overview of graphene: Production, properties and application in polymer composites. Mater. Sci. Eng. B Solid State Mater. Adv. Technol. 2017, 215, 9–28. [Google Scholar] [CrossRef]
- Mohan, V.B.; Lau, K.; Hui, D.; Bhattacharyya, D. Graphene-based materials and their composites: A review on production, applications and product limitations. Compos. Part B Eng. 2018, 142, 200–220. [Google Scholar] [CrossRef]
- Münch, F.; Höllerer, C.; Klapproth, A.; Eckert, E.; Rüffer, A.; Cesnjevar, R.; Göen, T. Effect of phospholipid coating on the migration of plasticizers from PVC tubes. Chemosphere 2018, 202, 742–749. [Google Scholar] [CrossRef]
- Brostow, W.; Lu, X.; Osmanson, A.T. Nontoxic bio-plasticizers for PVC as replacements for conventional toxic plasticizers. Polym. Test. 2018, 69, 63–70. [Google Scholar] [CrossRef]
- Yousif, E.; Salimon, J.; Salih, N. New photostabilizers for PVC based on some diorganotin(IV) complexes. J. Saudi Chem. Soc. 2015, 19, 133–141. [Google Scholar] [CrossRef]
- Borowska, A.; Sterzyński, T.; Piszczek, K. Ocena degradacji PVC-U poddanego przyspieszonemu starzeniu fotooksydacyjnemu. Polimery 2010, 55, 306–313. [Google Scholar] [CrossRef][Green Version]
- Piszczek, K. Żelowanie Suspensyjnego, Nieplastyfikowanego Poli(Chlorku Winylu); Wydawnictwa Uczelniane Uniwersytetu Technologiczno-Przyrodniczego: Bydgoszcz, Poland, 2009. [Google Scholar]
- Klapiszewski, Ł.; Tomaszewska, J.; Skórczewska, K.; Jesionowski, T. Preparation and characterization of eco-friendly Mg(OH)2/lignin hybrid material and its use as a functional filler for poly(vinyl chloride). Polymers 2017, 9, 258. [Google Scholar] [CrossRef] [PubMed]
- Feng, A.; Wu, G.; Wang, Y.; Pan, C. Synthesis, preparation and mechanical property of wood fiber-reinforced poly(vinyl chloride) composites. J. Nanosci. Nanotechnol. 2017, 17, 3859–3863. [Google Scholar] [CrossRef]
- Taha, T.A.; Azab, A.A. Thermal, optical, and dielectric investigations of PVC/La0.95Bi0.05FeO3 nanocomposites. J. Mol. Struct. 2019, 1178, 39–44. [Google Scholar] [CrossRef]
- Qiu, F.; He, G.; Hao, M.; Zhang, G. Enhancing the mechanical and electrical properties of poly(vinyl chloride)-based conductive nanocomposites by zinc oxide nanorods. Materials 2018, 11, 2139. [Google Scholar] [CrossRef]
- Sterzyński, T.; Tomaszewska, J.; Piszczek, K.; Skórczewska, K. The influence of carbon nanotubes on the PVC glass transition temperature. Compos. Sci. Technol. 2010, 70, 966–969. [Google Scholar] [CrossRef]
- Lu, Y.; Khanal, S.; Ahmed, S.; Xu, S. Mechanical and thermal properties of poly(vinyl chloride) composites filled with carbon microspheres chemically modified by a biopolymer coupling agent. Compos. Sci. Technol. 2019, 172, 29–35. [Google Scholar] [CrossRef]
- Deshmukh, K.; Joshi, G.M. Thermo-mechanical properties of poly (vinyl chloride)/graphene oxide as high performance nanocomposites. Polym. Test. 2014, 34, 211–219. [Google Scholar] [CrossRef]
- Nawaz, K.; Ayub, M.; Ul-Haq, N.; Khan, M.B.; Niazi, M.B.K.; Hussain, A. The Effect of Graphene Nanosheets on the Mechanical Properties of Polyvinylchloride. Polym. Compos. 2016, 37, 1572–1576. [Google Scholar] [CrossRef]
- Mindivan, F.; Göktaş, M. Preparation of new PVC composite using green reduced graphene oxide and its effects in thermal and mechanical properties. Polym. Bull. 2020, 77, 1929–1949. [Google Scholar] [CrossRef]
- Li, Q.; Shen, F.; Zhang, Y.; Huang, Z.; Muhammad, Y.; Hu, H.; Zhu, Y.; Yu, C.; Qin, Y. Graphene incorporated poly(vinyl chloride) composites prepared by mechanical activation with enhanced electrical and thermo–mechanical properties. J. Appl. Polym. Sci. 2020, 137, 21–23. [Google Scholar] [CrossRef]
- Akhina, H.; Gopinathan Nair, M.R.; Kalarikkal, N.; Pramoda, K.P.; Hui Ru, T.; Kailas, L.; Thomas, S. Plasticized PVC graphene nanocomposites: Morphology, mechanical, and dynamic mechanical properties. Polym. Eng. Sci. 2018, 58, E104–E113. [Google Scholar] [CrossRef]
- Wang, H.; Xie, G.; Fang, M.; Ying, Z.; Tong, Y.; Zeng, Y. Mechanical reinforcement of graphene/poly(vinyl chloride) composites prepared by combining the in-situ suspension polymerization and melt-mixing methods. Compos. Part B Eng. 2017, 113, 278–284. [Google Scholar] [CrossRef]
- Wang, H.; Xie, G.; Yang, C.; Zheng, Y.; Ying, Z.; Ren, W.; Zeng, Y. Enhanced Toughness of Multilayer Graphene-Filled Poly(vinyl chloride) Composites Prepared Using Melt-Mixing Method. Polym. Compos. 2017, 38, 138–146. [Google Scholar] [CrossRef]
- Hasan, M.; Banerjee, A.N.; Lee, M. Enhanced thermo-optical performance and high BET surface area of graphene@PVC nanocomposite fibers prepared by simple facile deposition technique: N2 adsorption study. J. Ind. Eng. Chem. 2015, 21, 828–834. [Google Scholar] [CrossRef]
- Wang, L.; Wei, X.; Wang, G.; Zhao, S.; Cui, J.; Gao, A.; Zhang, G.; Yan, Y. A facile and industrially feasible one-pot approach to prepare graphene-decorated PVC particles and their application in multifunctional PVC/graphene composites with segregated structure. Compos. Part B Eng. 2020, 185, 107775. [Google Scholar] [CrossRef]
- Wang, H.; Xie, G.; Fang, M.; Ying, Z.; Tong, Y.; Zeng, Y. Electrical and mechanical properties of antistatic PVC films containing multi-layer graphene. Compos. Part B Eng. 2015, 79, 444–450. [Google Scholar] [CrossRef]
- Wei, Z.B.; Zhao, Y.; Wang, C.; Kuga, S.; Huang, Y.; Wu, M. Antistatic PVC-graphene Composite through Plasticizer-mediated Exfoliation of Graphite. Chin. J. Polym. Sci. 2018, 36, 1361–1367. [Google Scholar] [CrossRef]
- Ma, J.; Liu, J.; Zhu, W.; Qin, W. Solubility study on the surfactants functionalized reduced graphene oxide. Colloids Surf. A Physicochem. Eng. Asp. 2018, 538, 79–85. [Google Scholar] [CrossRef]
- Dai, J.; Wang, G.; Ma, L.; Wu, C. Study on the surface energies and dispersibility of graphene oxide and its derivatives. J. Mater. Sci. 2015, 50, 3895–3907. [Google Scholar] [CrossRef]
- Tkalya, E.E.; Ghislandi, M.; De With, G.; Koning, C.E. The use of surfactants for dispersing carbon nanotubes and graphene to make conductive nanocomposites. Curr. Opin. Colloid Interface Sci. 2012, 17, 225–232. [Google Scholar] [CrossRef]
- Kuila, T.; Bose, S.; Mishra, A.K.; Khanra, P.; Kim, N.H.; Lee, J.H. Chemical functionalization of graphene and its applications. Prog. Mater. Sci. 2012, 57, 1061–1105. [Google Scholar] [CrossRef]
- Ma, F.; Yuan, N.; Ding, J. The conductive network made up by the reduced graphene nanosheet/polyaniline/polyvinyl chloride. J. Appl. Polym. Sci. 2013, 128, 3870–3875. [Google Scholar] [CrossRef]
- Li, P.; Chen, X.; Zeng, J.-B.; Gan, L.; Wang, M. Enhancement of Interfacial Interaction between Poly(vinyl chloride) and Zinc Oxide Modified Reduced Graphene Oxide. RSC Adv. 2016, 6, 5784–5791. [Google Scholar] [CrossRef]
- Khaleghi, M.; Didehban, K.; Shabanian, M. Simple and fast preparation of graphene oxide@ melamine terephthaldehyde and its PVC nanocomposite via ultrasonic irradiation: Chemical and thermal resistance study. Ultrason. Sonochem. 2018, 43, 275–284. [Google Scholar] [CrossRef]
- Hu, J.; Jia, X.; Li, C.; Ma, Z.; Zhang, G.; Sheng, W.; Zhang, X.; Wei, Z. Effect of interfacial interaction between graphene oxide derivatives and poly(vinyl chloride) upon the mechanical properties of their nanocomposites. J. Mater. Sci. 2014, 49, 2943–2951. [Google Scholar] [CrossRef]
- Khaleghi, M.; Didehban, K.; Shabanian, M. Effect of new melamine-terephthaldehyde resin modified graphene oxide on thermal and mechanical properties of PVC. Polym. Test. 2017, 63, 382–391. [Google Scholar] [CrossRef]
- Hatamie, S.; Ahadian, M.M.; Iraji zad, A.; Akhavan, O.; Jokar, E. Photoluminescence and electrochemical investigation of curcumin-reduced graphene oxide sheets. J. Iran. Chem. Soc. 2018, 15, 351–357. [Google Scholar] [CrossRef]
- Hatamie, S.; Akhavan, O.; Sadrnezhaad, S.K.; Ahadian, M.M.; Shirolkar, M.M.; Wang, H.Q. Curcumin-reduced graphene oxide sheets and their effects on human breast cancer cells. Mater. Sci. Eng. C 2015, 55, 482–489. [Google Scholar] [CrossRef]
- Navik, R.; Gai, Y.; Wang, W.; Zhao, Y. Curcumin-assisted ultrasound exfoliation of graphite to graphene in ethanol. Ultrason. Sonochem. 2018, 48, 96–102. [Google Scholar] [CrossRef]
- Rohman, A.; Sudjadi, D.; Ramadhani, D.; Nugroho, A. Analysis of curcumin in curcuma longa and Curcuma xanthorriza using FTIR spectroscopy and chemometrics. Res. J. Med. Plant 2015, 9, 179–186. [Google Scholar] [CrossRef]
- Bagchi, A. Extraction of Curcumin. IOSR J. Environ. Sci. Toxicol. Food Technol. 2012, 1, 1–16. [Google Scholar] [CrossRef]
- Priyadarsini, K.I. The chemistry of curcumin: From extraction to therapeutic agent. Molecules 2014, 19, 20091–20112. [Google Scholar] [CrossRef]
- Lestari, M.; Indrayanto, G. Curcumin. Profiles Drug Subst. Excipients Relat. Methodol. 2014, 39, 113–204. [Google Scholar] [CrossRef]
- Saltos, J.A.; Shi, W.; Mancuso, A.; Sun, C.; Park, T.; Averick, N.; Punia, K.; Fatab, J.; Raja, K. Curcumin-derived green plasticizers for Poly(vinyl) chloride. RSC Adv. 2014, 4, 54725–54728. [Google Scholar] [CrossRef]
- Larrañeta, E.; Imízcoz, M.; Toh, J.X.; Irwin, N.J.; Ripolin, A.; Perminova, A.; Domínguez-Robles, J.; Rodríguez, A.; Donnelly, R.F. Synthesis and Characterization of Lignin Hydrogels for Potential Applications as Drug Eluting Antimicrobial Coatings for Medical Materials. ACS Sustain. Chem. Eng. 2018, 6, 9037–9046. [Google Scholar] [CrossRef]
- Velho, S.; Brum, L.; Petter, C.; dos Santos, J.H.; Šimunić, Š.; Kappa, W.H. Development of structured natural dyes for use into plastics. Dye. Pigment. 2017, 136, 248–254. [Google Scholar] [CrossRef]
- Mohan, P.R.K.; Sreelakshmi, G.; Muraleedharan, C.V.; Joseph, R. Water soluble complexes of curcumin with cyclodextrins: Characterization by FT-Raman spectroscopy. Vib. Spectrosc. 2012, 62, 77–84. [Google Scholar] [CrossRef]
- Sofyan, N.; Situmorang, F.W.; Ridhova, A.; Yuwono, A.H.; Udhiarto, A. Visible light absorption and photosensitizing characteristics of natural yellow 3 extracted from Curcuma Longa, L. for Dye-Sensitized solar cell. IOP Conf. Ser. Earth Environ. Sci. 2018, 105, 1–6. [Google Scholar] [CrossRef]
- He, X.G.; Lin, L.Z.; Lian, L.Z.; Lindenmaier, M. Liquid chromatography-electrospray mass spectrometric analysis of curcuminoids and sesquiterpenoids in turmeric (Curcuma longa). J. Chromatogr. A 1998, 818, 127–132. [Google Scholar] [CrossRef]
- Singh, G.; Kapoor, I.P.S.; Singh, P.; de Heluani, C.S.; de Lampasona, M.P.; Catalan, C.A.N. Comparative study of chemical composition and antioxidant activity of fresh and dry rhizomes of turmeric (Curcuma longa Linn. ) Food Chem. Tox. 2010, 48, 1026–1031. [Google Scholar] [CrossRef]
- Xu, L.L.; Shang, Z.P.; Lu, Y.Y.; Li, P.; Sun, L.; Guo, Q.L.; Bo, T.; Le, Z.Y.; Bai, Z.L.; Zhang, X.L.; et al. Analysis of curcuminoids and volatile components in 160 batches of turmeric samples in China by high-performance liquid chromatography and gas chromatography mass spectrometry. J. Pharm. Biomed. Anal. 2020, 188, 113465. [Google Scholar] [CrossRef]
- Li, R.; Xiang, C.; Zhang, X.; An Guo, D.-; Ye, M. Chemical Analysis of the Chinese Herbal Medicine Turmeric (Curcuma longa L.). Curr. Pharm. Anal. 2010, 6, 256–268. [Google Scholar] [CrossRef]
- Asgarzadeh, Z.; Naderi, G. Morphology and properties of unvulcanized and dynamically vulcanized PVC/NBR blend reinforced by graphene nanoplatelets. Int. Polym. 2018, 33, 497–505. [Google Scholar] [CrossRef]
- Wang, H.; Xie, G.; Zhu, Z.; Ying, Z.; Zeng, Y. Enhanced tribological performance of the multi-layer graphene filled poly(vinyl chloride) composites. Compos. Part A Appl. Sci. Manuf. 2014, 67, 268–273. [Google Scholar] [CrossRef]
- Wang, H.; Xie, G.; Ying, Z.; Tong, Y.; Zeng, Y. Enhanced mechanical properties of multi-layer graphene filled poly(vinyl chloride) composite films. J. Mater. Sci. Technol. 2015, 31, 340–344. [Google Scholar] [CrossRef]
- Godínez-García, A.; Vallejo-Arenas, D.D.; Salinas-Rodríguez, E.; Gómez-Torres, S.A.; Ruíz, J.C. Spraying synthesis and ion permeation in polyvinyl chloride/graphene oxide membranes. Appl. Surf. Sci. 2019, 489, 962–975. [Google Scholar] [CrossRef]
- Kugler, S.; Spychaj, T. Nanostruktury wȩglowe i błony lub powłoki polimerowe z ich udziałem: Cz. II. Błony i powłoki polimerowe z udziałem nanostruktur wȩglowych. Polimery 2013, 58, 177–180. [Google Scholar] [CrossRef]
- Deshmukh, K.; Khatake, S.M.; Joshi, G.M. Surface properties of graphene oxide reinforced polyvinyl chloride nanocomposites. J. Polym. Res. 2013, 20, 286. [Google Scholar] [CrossRef]
- Vadukumpully, S.; Paul, J.; Mahanta, N.; Valiyaveettil, S. Flexible conductive graphene/poly(vinyl chloride) composite thin films with high mechanical strength and thermal stability. Carbon 2011, 49, 198–205. [Google Scholar] [CrossRef]
- Wilczewski, S.; Skórczewska, K.; Tomaszewska, J.; Lewandowski, K.; Szulc, J.; Runka, T. Manufacturing homogenous PVC/graphene nanocomposites using a novel dispersion agent. Polym. Test. 2020, 91, 106868. [Google Scholar] [CrossRef]
- Hasan, M.; Lee, M. Enhancement of the thermo-mechanical properties and efficacy of mixing technique in the preparation of graphene/PVC nanocomposites compared to carbon nanotubes/PVC. Prog. Nat. Sci. Mater. Int. 2014, 24, 579–587. [Google Scholar] [CrossRef]
- Wilczewski, S.; Skórczewska, K.; Tomaszewska, J.; Lewandowski, K. Structure and properties of poly ( vinyl chloride )/graphene nanocomposites. Polym. Test. 2020, 81, 106282. [Google Scholar] [CrossRef]
- Mindivan, F.; Göktaş, M.; Dike, A.S. Mechanical, thermal, and micro- and nanostructural properties of polyvinyl chloride/graphene nanoplatelets nanocomposites. Polym. Compos. 2020, 9, 3707–3716. [Google Scholar] [CrossRef]
- Ak, T.; Gülçin, I. Antioxidant and radical scavenging properties of curcumin. Chem. Biol. Interact. 2008, 174, 27–37. [Google Scholar] [CrossRef]
- Brostow, W.; Hnatchuk, N.; Kim, T. Preventing thermal degradation of PVC insulation by mixtures of cross-linking agents and antioxidants. J. Appl. Polym. Sci. 2020, 137, 48816. [Google Scholar] [CrossRef]
- Broza, G.; Piszczek, K.; Schulte, K.; Sterzynski, T. Nanocomposites of poly(vinyl chloride) with carbon nanotubes (CNT). Compos. Sci. Technol. 2007, 67, 890–894. [Google Scholar] [CrossRef]
- Brostow, W.; Hagg Lobland, H.E. Materials: Introduction and Applications; John Wiley and Sons: New York, NY, USA, 2017; ISBN 978-0-470-52379-7. [Google Scholar]
- Xu, C.; Wang, S.; Shao, L.; Zhao, J.; Feng, Y. Structure and properties of chlorinated polyvinyl chloride graft copolymer with higher property. Polym. Adv. Technol. 2012, 23, 470–477. [Google Scholar] [CrossRef]
- Lee, K.W.; Chung, J.W.; Kwak, S.Y. Flexible Poly(vinyl chloride) Nanocomposites Reinforced with Hyperbranched Polyglycerol-Functionalized Graphene Oxide for Enhanced Gas Barrier Performance. ACS Appl. Mater. Interfaces 2017, 9, 33149–33158. [Google Scholar] [CrossRef]
- Ahmed, R.M.; Ibrahiem, A.A.; El-Bayoumi, A.S.; Atta, M.M. Structural, mechanical, and dielectric properties of polyvinylchloride/graphene nano platelets composites. Int. J. Polym. Anal. Charact. 2021, 26, 68–83. [Google Scholar] [CrossRef]
- Lewandowski, K.; Skórczewska, K.; Piszczek, K.; Urbaniak, W. Recycled glass fibres from wind turbines as a filler for poly(Vinyl chloride). Adv. Polym. Technol. 2019, 2019, 8960503. [Google Scholar] [CrossRef]
- Ferry, J.D. Viscoelastic Properties of Polymers; John Wiley and Sons: New York, NY, USA, 1980; ISBN 0471048941. [Google Scholar]
- Ward, I.M.; Sweeney, J. Mechanical Properties of Solid Polymers; John Wiley and Sons: New York, NY, USA, 2013; ISBN 9781444319507. [Google Scholar]
- Jarząbek, D.M.; Dziekoński, C.; Dera, W.; Chrzanowska, J.; Wojciechowski, T. Influence of Cu coating of SiC particles on mechanical properties of Ni/SiC co-electrodeposited composites. Ceram. Int. 2018, 44, 21750–21758. [Google Scholar] [CrossRef]
- Jarząbek, D.M. The impact of weak interfacial bonding strength on mechanical properties of metal matrix–Ceramic reinforced composites. Compos. Struct. 2018, 201, 352–362. [Google Scholar] [CrossRef]









| Material | Cont. of THF, % | Max. DTG I, °C | Max. DTG II, °C | Residual Mass, % | Congo Red Test, Min | Tg, °C |
|---|---|---|---|---|---|---|
| PVC | 5.3 (0.9) | 268.4 (5.5) | 456.5 (7.2) | 8.7 (0.4) | 3.0 (0.3) | 74.3 (0.04) |
| PVC + CE | 5.8 (0.2) | 267.4 (4.9) | 455.6 (8.1) | 8.6 (1.2) | 5.1 (0.8) | 74.4 (0.2) |
| PVC/0.01% GN | 5.9 (0.1) | 268.2 (5.0) | 459.0 (5.5) | 9.5 (1.1) | 2.5 (0.5) | 74.5 (0.4) |
| PVC/0.01% GN + CE | 5.8 (0.5) | 264.3 (6.7) | 456.1 (6.6) | 11.0 (2.9) | 5.7 (0.1) | 76.3 (0.2) |
| PVC/0.1% GN | 5.7 (0.2) | 268.2 (5.7) | 461.6 (4.2) | 10.8 (1.2) | 2.2 (0.2) | 74.6 (0.2) |
| PVC/0.1% GN + CE | 5.6 (0.3) | 268.7 (8.6) | 461.1 (3.6) | 11.0 (2.8) | 6.9 (0.3) | 75.4 (0.1) |
| PVC/0.5% GN | 5.8 (0.5) | 267.5 (3.3) | 460.4 (4.7) | 10.8 (1.4) | 4.0 (0.5) | 73.3 (0.3) |
| PVC/0.5% GN + CE | 5.7 (0.5) | 263.4 (4.0) | 459.5 (5.4) | 11.9 (2.1) | 5.7 (0.6) | 75.3 (0.3) |
| PVC/1% GN | 5.9 (0.9) | 267.6 (7.1) | 457.6 (7.8) | 11.5 (1.8) | 3.9 (0.2) | 73.3 (0.2) |
| PVC/1% GN + CE | 5.6 (0.3) | 269.0 (6.1) | 459.8 (6.6) | 12.7 (0.9) | 5.5 (0.2) | 74.4 (0.3) |
| Material | SE, % | tM, s | p, s−1 | R2 |
|---|---|---|---|---|
| PVC | 53.3 (0.5) | 725 (10) | 0.002 (0.00007) | 0.994 |
| PVC + CE | 48.6 (0.4) | 672 (10) | 0.0017 (0.00005) | 0.995 |
| PVC/0.01% GN | 41.4 (0.6) | 702 (19) | 0.0016 (0.00008) | 0.986 |
| PVC/0.01% GN + CE | 38.4 (0.7) | 599 (24) | 0.0016 (0.0001) | 0.974 |
| PVC/0.1% GN | 36.3 (0.4) | 859 (16) | 0.0019 (0.00009) | 0.990 |
| PVC/0.1% GN + CE | 34.2 (0.4) | 643 (14) | 0.002 (0.00009) | 0.990 |
| PVC/0.5% GN | 40.4 (0.5) | 903 (16) | 0.0019 (0.0001) | 0.991 |
| PVC/0.5% GN + CE | 34.4 (0.4) | 753 (14) | 0.0019 (0.00008) | 0.991 |
| PVC/1% GN | 37.4 (0.5) | 1086 (24) | 0.0012 (0.00005) | 0.988 |
| PVC/1% GN + CE | 30.1 (0.7) | 2091 (67) | 0.0006 (0.00004) | 0.979 |
Publisher’s Note: MDPI stays neutral with regard to jurisdictional claims in published maps and institutional affiliations. |
© 2022 by the authors. Licensee MDPI, Basel, Switzerland. This article is an open access article distributed under the terms and conditions of the Creative Commons Attribution (CC BY) license (https://creativecommons.org/licenses/by/4.0/).
Share and Cite
Wilczewski, S.; Skórczewska, K.; Tomaszewska, J.; Lewandowski, K.; Studziński, W.; Osial, M.; Jenczyk, P.; Grzywacz, H.; Domańska, A. Curcuma longa L. Rhizome Extract as a Poly(vinyl chloride)/Graphene Nanocomposite Green Modifier. Molecules 2022, 27, 8081. https://doi.org/10.3390/molecules27228081
Wilczewski S, Skórczewska K, Tomaszewska J, Lewandowski K, Studziński W, Osial M, Jenczyk P, Grzywacz H, Domańska A. Curcuma longa L. Rhizome Extract as a Poly(vinyl chloride)/Graphene Nanocomposite Green Modifier. Molecules. 2022; 27(22):8081. https://doi.org/10.3390/molecules27228081
Chicago/Turabian StyleWilczewski, Sławomir, Katarzyna Skórczewska, Jolanta Tomaszewska, Krzysztof Lewandowski, Waldemar Studziński, Magdalena Osial, Piotr Jenczyk, Hubert Grzywacz, and Agata Domańska. 2022. "Curcuma longa L. Rhizome Extract as a Poly(vinyl chloride)/Graphene Nanocomposite Green Modifier" Molecules 27, no. 22: 8081. https://doi.org/10.3390/molecules27228081
APA StyleWilczewski, S., Skórczewska, K., Tomaszewska, J., Lewandowski, K., Studziński, W., Osial, M., Jenczyk, P., Grzywacz, H., & Domańska, A. (2022). Curcuma longa L. Rhizome Extract as a Poly(vinyl chloride)/Graphene Nanocomposite Green Modifier. Molecules, 27(22), 8081. https://doi.org/10.3390/molecules27228081

