A Composition Analysis and an Antibacterial Activity Mechanism Exploration of Essential Oil Obtained from Artemisia giraldii Pamp
Abstract
1. Introduction
2. Results and Discussion
2.1. Chemical Compositions of the AgEo
2.2. Antioxidant Activity of the AgEo
2.2.1. The Total Reducing Capacity
2.2.2. The Scavenging Ability of Hydroxyl Radical
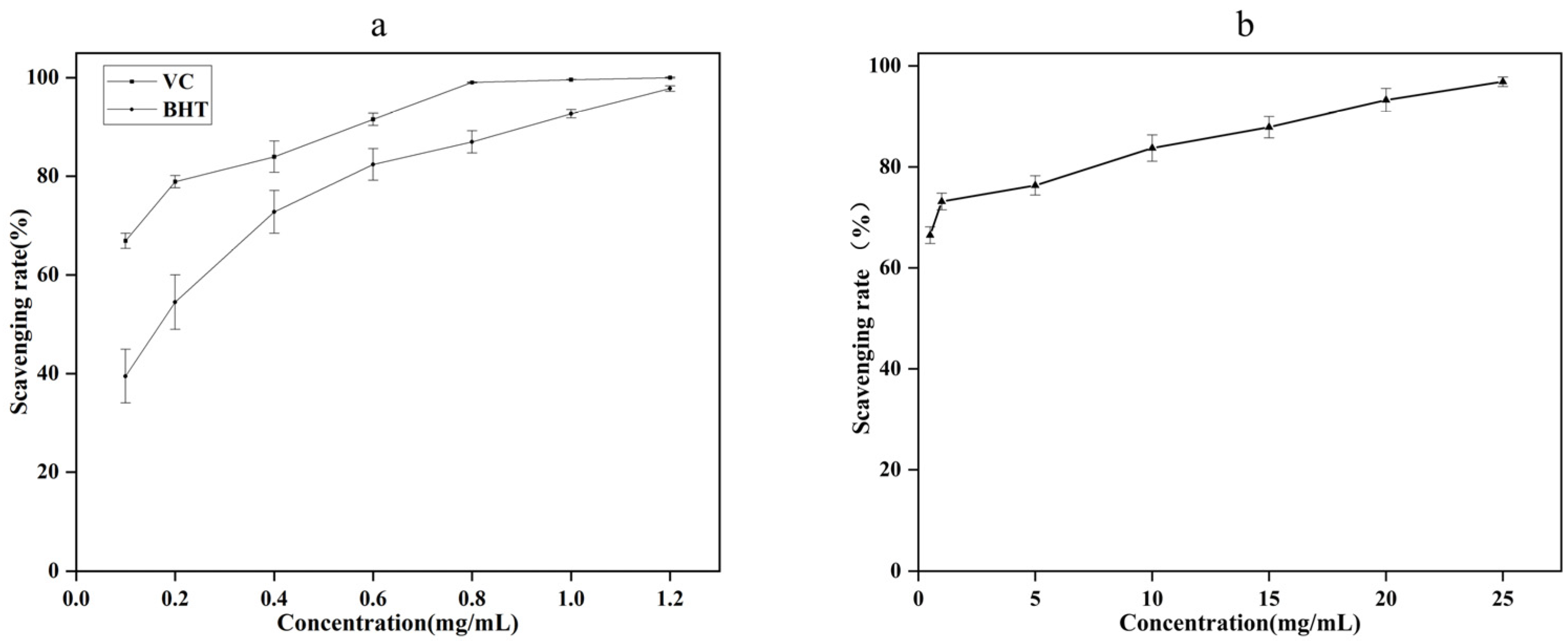
2.2.3. The Scavenging Ability of DPPH
2.2.4. The Scavenging Ability of ABTS
2.3. The DIZ of the AgEo against Tested Strains
2.4. MIC and MBC of the AgEo against Tested Strains
2.5. Growth Curves of the AgEo against Tested Strains
2.6. Relative Electric Conductivity
2.7. The Leakage of Alkaline Phosphatase and Protein
2.8. The Electron Scanning Micrograph
3. Materials and Methods
3.1. Plant Material and Bacterial Strains
3.2. Essential Oil Extraction
3.3. GC-MS Analysis
3.4. Test of Antioxidant Ability
3.4.1. The Test of Ferric Ion Reducing Antioxidant Power (FRAP)
3.4.2. The Scavenging Ability of Hydroxyl Radical
3.4.3. The Scavenging Ability of DPPH
3.4.4. The Scavenging Ability of ABTS
3.5. Determination of DIZ
3.6. Determination of MIC and MBC
3.7. Growth Curves
3.8. Relative Electric Conductivity
3.9. Determination of Alkaline Phosphatase, Protein and Nucleic Acid Content
3.10. Scanning Electron Microscope (SEM)
4. Statistical Analysis
5. Conclusions
- There were a total of 63 chemical constituents in the AgEo of which the monoterpenes (10.2%) and sesquiterpenes (30.14%) were the main constituents. Among all chemical constituents, Camphor (15.68%), Germacrene D (15.29%), and Eucalyptol (14.18%) were the main characteristic constituents;
- AgEo can effectively scavenge hydroxyl radicals, DPPH radicals and ABTS radicals, and has good antioxidant capacity;
- AgEo is high in a range of active compounds with good inhibitory activity against S. aureus and E. coli. AgEo acts on the surface of bacteria, which can atrophy and rupture the bacterial cell membrane, leak intracellular biological macromolecules, such as alkaline phosphatase and protein, and disrupt the intracellular homeostasis, eventually leading to bacterial inactivation and death.
Author Contributions
Funding
Institutional Review Board Statement
Informed Consent Statement
Data Availability Statement
Conflicts of Interest
Sample Availability
Abbreviations
| AgEo | Artemisia giraldii Pamp essential oil |
| DPPH | 2,2-Diphenyl-1-picrylhydrazyl |
| ABTS | 2,2′-Azinobis-(3-ethylbenzthiazoline-6-sulphonate |
| DIZ | diameter of the inhibition zone |
| MIC | minimum inhibitory concentration |
| MBC | minimum bactericidal concentration |
| AKP | Alkaline phosphatase |
| LB | Luria-bertani |
| NA | Nutrient agar |
| NB | nutrient broth |
| FRAP | Ferric ion reducing antioxidant power |
| DPPH | 1,1-diphenyl-2-picryl-hydrazyl radical |
| ABTS | 2,2′-Azinobis-(3-ethylbenzthiazoline-6-sulphonate |
| SEM | Scanning electron microscope |
| VC | Vitamin C |
| BHT | Bbutylated hydroxytoluene |
References
- Aati, H.Y.; Perveen, S.; Orfali, R.; Al-Taweel, A.M.; Aati, S.; Wanner, J.; Khan, A.; Mehmood, R. Chemical composition and antimicrobial activity of the essential oils of Artemisia absinthium, Artemisia scoparia, and Artemisia sieberi grown in Saudi Arabia. Arab. J. Chem. 2020, 13, 8209–8217. [Google Scholar] [CrossRef]
- Liu, T.; Lin, P.; Bao, T.; Ding, Y.; Lha, Q.; Nan, P.; Huang, Y.; Gu, Z.; Zhong, Y. Essential oil composition and antimicrobial activity of Artemisia dracunculus L. var. qinghaiensis Y. R. Ling (Asteraceae) from Qinghai-Tibet Plateau. Ind. Crops Prod. 2018, 125, 1–4. [Google Scholar]
- Xiang, F.; Bai, J.; Tan, X.-J.; Chen, T.; Yang, W.; He, F. Antimicrobial activities and mechanism of the essential oil from Artemisia argyi Levl. et Van. var. argyi cv. Qiai. Ind. Crops Prod. 2018, 125, 582–587. [Google Scholar] [CrossRef]
- Zhao, L. Relationships between geographical distribution of Artemisia giraldii and climate. J. Arid Land Resour. Environ. 2012, 6, 56–59. [Google Scholar] [CrossRef]
- Yue, J.; Lu, Q.; Ni, Y.; Chen, P.; Liu, C. Comparative analysis of the plastid and mitochondrial genomes of Artemisia giraldii Pamp. Sci. Rep. 2022, 12, 1–16. [Google Scholar] [CrossRef] [PubMed]
- Tan, R.X.; Lu, H.; Wolfender, J.L.; Yu, T.T.; Zheng, W.F.; Yang, L.; Gafner, S.; Hostettmann, K. Mono- and sesquiterpenes and antifungal constituents from Artemisia species. Planta Med. 1999, 65, 64–67. [Google Scholar] [CrossRef] [PubMed]
- Zheng, W.F.; Tan, R.X.; Yang, L.; Liu, Z.L. Two flavones from Artemisia giraldii and their antimicrobial activity. Planta Med. 1996, 62, 160–162. [Google Scholar] [CrossRef]
- Chu, S.S.; Liu, Z.L.; Du, S.S.; Deng, Z.W. Chemical composition and insecticidal activity against Sitophilus zeamais of the essential oils derived from Artemisia giraldii and Artemisia subdigitata. Molecules 2012, 17, 7255–7265. [Google Scholar] [CrossRef] [PubMed]
- Yang, X. Sesquiterpenes from Artemisia giraldii var. longipedunculata. J. Chin. Pharm. Sci. 2018, 27, 576–581. [Google Scholar] [CrossRef]
- Ivanescu, B.; Miron, A.; Corciovă, A. Sesquiterpene Lactones from Artemisia Genus: Biological Activities and Methods of Analysis. J. Anal. Methods Chem. 2015, 2015, 247685. [Google Scholar] [CrossRef] [PubMed]
- Liang, J.Y.; Liu, X.T.; Gu, J.; Liu, Y.; Ma, X.Y.; Lv, N.; Guo, S.S.; Wang, J.; Du, S.; Zhang, J. Chemical Constituents and Insecticidal Activity of the Essential Oils Extracted from Artemisia giraldii and Artemisia rubripes against TwoStored Product Insects. Med. Chem. 2016, 6, 541–545. [Google Scholar] [CrossRef]
- Karaca, N.; Şener, G.; Demirci, B.; Demirci, F. Synergistic antibacterial combination of Lavandula latifolia Medik. essential oil with camphor. Z. FÜR Nat. C 2020, 76, 169–173. [Google Scholar] [CrossRef] [PubMed]
- Judzentiene, A.; Budiene, J. Mugwort (Artemisia vulgaris L.) essential oils rich in germacrene D, and their toxic activity. J. Essent. Oil Res. 2020, 33, 256–264. [Google Scholar] [CrossRef]
- Karlović, Z.; Anić, I.; Miletić, I.; Prpić-Mehičić, G.; Pezelj-Ribarić, S.; Maršan, T. Antibacterial Activity of Halothane, Eucalyptol and Orange Oil. Acta Stomatol. Croat. 2000, 34, 307–309. [Google Scholar]
- Şenol, F.S.; Orhan, I.E.; Kurkcuoglu, M.; Khan, M.T.H.; Altıntaş, A.; Şener, B.; Başer, K.H.C. A mechanistic investigation on anticholinesterase and antioxidant effects of rose (Rosa damascena Mill.). Food Res. Int. 2013, 53, 502–509. [Google Scholar] [CrossRef]
- Wei, A.; Shibamoto, T. Antioxidant activities and volatile constituents of various essential oils. J. Agric. Food Chem. 2007, 55, 1737–1742. [Google Scholar] [CrossRef]
- Kang, J.-E.; Jin, W.; Wang, J.; Sun, Y.; Wu, X.; Liu, L. Antibacterial and anti-biofilm activities of peppermint essential oil against Staphylococcus aureus. LWT 2019, 101, 639–645. [Google Scholar] [CrossRef]
- Zhang, Y.; Liu, X.Y.; Wang, Y.; Jiang, P.P.; Quek, S.Y. Antibacterial activity and mechanism of cinnamon essential oil against Escherichia coli and Staphylococcus aureus. Food Control. 2016, 59, 282–289. [Google Scholar] [CrossRef]
- Diao, W.-R.; Hu, Q.; Zhang, H.; Xu, J.-G. Chemical composition, antibacterial activity and mechanism of action of essential oil from seeds of fennel (Foeniculum vulgare Mill.). Food Control. 2014, 35, 109–116. [Google Scholar] [CrossRef]
- Kohanski, M.A.; Dwyer, D.J.; Collins, J.J. How antibiotics kill bacteria: From targets to networks. Nat. Rev. Microbiol. 2010, 8, 423–435. [Google Scholar] [CrossRef]
- Zhang, L.-L.; Zhang, L.-F.; Hu, Q.; Hao, D.-L.; Xu, J.-G. Chemical composition, antibacterial activity of Cyperus rotundus rhizomes essential oil against Staphylococcus aureus via membrane disruption and apoptosis pathway. Food Control 2017, 80, 290–296. [Google Scholar] [CrossRef]
- Ardestani, A.; Yazdanparast, R. Antioxidant and free radical scavenging potential of Achillea santolina extracts. Food Chem. 2007, 104, 21–29. [Google Scholar] [CrossRef]
- Achuthan, C.R.; Babu, B.H.; Padikkala, J. Antioxidant and Hepatoprotective Effects of Rosa damascena. Pharm. Biol. 2003, 41, 357–361. [Google Scholar] [CrossRef]
- Yen, G.-C.; Duh, P.D. Scavenging Effect of Methanolic Extracts of Peanut Hulls on Free-Radical and Active-Oxygen Species. J. Agric. Food Chem. 1994, 42, 629–632. [Google Scholar] [CrossRef]
- Delgado-Andrade, C.; Rufián-Henares, J.A.; Morales, F.J. Assessing the antioxidant activity of melanoidins from coffee brews by different antioxidant methods. J. Agric. Food Chem. 2005, 53, 7832–7836. [Google Scholar] [CrossRef]
- Wang, F.; Wei, F.; Song, C.-M.; Jiang, B.; Tian, S.; Yi, J.; Yu, C.-L.; Song, Z.-b.; Sun, L.-G.; Bao, Y.; et al. Dodartia orientalis L. essential oil exerts antibacterial activity by mechanisms of disrupting cell structure and resisting biofilm. Ind. Crops Prod. 2017, 109, 358–366. [Google Scholar] [CrossRef]
- Owuama, C.I. Determination of minimum inhibitory concentration (MIC) and minimum bactericidal concentration (MBC) using a novel dilution tube method. Afr. J. Microbiol. Res. 2017, 11, 977–980. [Google Scholar]
- Aamer, A.A.; Abdul-Hafeez, M.M.; Sayed, S.M. Minimum Inhibitory and Bactericidal Concentrations (MIC and MBC) of Honey and Bee Propolis against Multi-Drug Resistant (MDR) Staphylococcus sp. Isolated from Bovine Clinical Mastitis. Altern. Integr. Med. 2014, 2014, 1–9. [Google Scholar]
- Cui, H.; Bai, M.; Sun, Y.; Abdel-Samie, M.A.S.; Lin, L. Antibacterial activity and mechanism of Chuzhou chrysanthemum essential oil. J. Funct. Foods 2018, 48, 159–166. [Google Scholar] [CrossRef]
- Zeng, W.C.; He, Q.; Sun, Q.; Zhong, K.; Gao, H. Antibacterial activity of water-soluble extract from pine needles of Cedrus deodara. Int. J. Food Microbiol. 2012, 153, 78–84. [Google Scholar] [CrossRef]
- Kong, M.; Chen, X.G.; Liu, C.S.; Liu, C.G.; Meng, X.; Yu, L. Antibacterial mechanism of chitosan microspheres in a solid dispersing system against E. coli. Colloids Surf. B Biointerfaces 2008, 65, 197–202. [Google Scholar] [CrossRef] [PubMed]










| NO | RT (min) | Compounds | Molecular Formula | IK | Relative Content (%) |
|---|---|---|---|---|---|
| 1 | 3.786 | α-Pinene | C10H16 | 939 | 1.41 |
| 2 | 4.085 | Camphene | C10H16 | 954 | 1.46 |
| 3 | 4.594 | β-Terpinene | C10H16 | 1049 | 1.56 |
| 4 | 4.927 | 6-Methyl-3,5-heptadiene-2-one | C8H12O | 1074.9 | 1.19 |
| 5 | 6.101 | Eucalyptol | C10H18O | 1023 | 14.18 |
| 6 | 6.807 | γ-Terpinene | C10H16 | 1057 | 3.84 |
| 7 | 7.472 | 1-methyl-4-(1-methylethylidene)-Cyclohexene | C10H16 | 1025 | 1.68 |
| 8 | 7.771 | β-Terpineol | C10H18O | 1127 | 0.49 |
| 9 | 7.988 | Thujone | C10H16O | 931 | 1.01 |
| 10 | 8.382 | trans-1-methyl-4-(1-methylethyl)-2-Cyclohexen-1-ol | C10H18O | 1123 | 0.72 |
| 11 | 9.781 | Camphor | C10H16O | 954 | 15.68 |
| 12 | 10.561 | (-)-Terpinene-4-ol | C10H18O | 1161 | 7.57 |
| 13 | 11.043 | L-α-Terpineol | C10H18O | 1189 | 2.24 |
| 14 | 11.423 | 2-Pentylcyclopentanone | C10H18O | 1600 | 1.04 |
| 15 | 11.688 | (-)-cis-Carvinol | C15H26O | - | 0.53 |
| 16 | 11.966 | Carveol | C10H16O | 1188 | 0.30 |
| 17 | 12.313 | D-Carvone | C10H14O | 1244 | 0.20 |
| 18 | 12.632 | 2-isopropyl-5-methyl-3-Cyclohexen-1-one | C10H16O | 1251 | 0.28 |
| 19 | 13.154 | (-)-Perillaldehyde | C10H14O | 1243 | 0.14 |
| 20 | 13.460 | Benzyl acetate | C9H10O2 | 1141 | 0.14 |
| 21 | 14.071 | p-Cymen-7-ol | C10H14O | 1011 | 0.29 |
| 22 | 14.987 | 1,5,5-Trimethyl-6-methylene-cyclohexene | C10H16 | 1338 | 0.25 |
| 23 | 15.395 | α-Borneol | C10H18O | - | 0.26 |
| 24 | 15.727 | 3-Allyl-6-methoxyphenol | C10H12O2 | 1446 | 0.47 |
| 25 | 16.230 | α-Copaene | C15H24 | 1397 | 1.19 |
| 26 | 16.691 | Calarene | C15H24 | 1592 | 0.56 |
| 27 | 17.859 | Caryophyllene | C15H24 | 1422 | 6.40 |
| 28 | 18.653 | Humulene | C15H24 | 1456 | 1.32 |
| 29 | 20.154 | Germacrene D | C15H24 | 1490 | 15.29 |
| 30 | 20.445 | Bicyclogermacrene | C15H24 | 1496 | 4.04 |
| 31 | 20.900 | β-Cadinene | C15H24 | 1491 | 1.26 |
| 32 | 21.559 | 1-allyl-2-methylene-Cycloheptanol | C10H14O | 1491 | 0.55 |
| 33 | 21.912 | Nerolidol | C15H26O | 1548 | 0.24 |
| 34 | 23.018 | 8-propoxy-Cedrane | C18H32O | 1652 | 0.59 |
| 35 | 23.473 | octahydro-2,2,4,7a-tetramethyl-1,3a-Ethano(1H)inden-4-ol | C15H24O | 1648 | 0.61 |
| 36 | 23.942 | Cedrenol | C15H24O | 1604 | 3.38 |
| 37 | 24.600 | α-Cadinol | C15H26O | 1589 | 1.35 |
| 38 | 24.940 | Isoaromadendrene epoxide | C15H24O | 1590 | 0.32 |
| 39 | 25.286 | 4-methylene-1-methyl-2-(2-methyl-1-propen-1-yl)-1-vinyl-Cycloheptane | C15H24O | - | 0.58 |
| 40 | 27.071 | 1-(3-cyclopentylpropyl)-2,4-dimethyl-Benzene | C15H24 | 1188 | 2.28 |
| 41 | 27.478 | Spathulenol | C15H24O | 1619 | 0.66 |
| 42 | 28.266 | 1,5-diethenyl-3-methyl-2-methylene-(1.α.,3.α.,5.α.)-Cyclohexane | C18H36O | - | 0.22 |
| 43 | 29.311 | 6,10,14-trimethyl-2-Pentadecanone | C18H36O | 1842 | 0.14 |
| 44 | 29.759 | 5-Nonadecen-1-ol | C19H38O | 1891 | 0.11 |
| 45 | 30.296 | Sclareoloxide | C18H30O | 1873 | 0.42 |
| 46 | 31.294 | Hexadecanoic acid methyl ester | C17H34O2 | 1985 | 0.07 |
| 47 | 31.952 | 3,7,11,16-tetramethyl-Hexadeca-2,6,10,14-tetraen-1-ol | C18H36O | - | 0.12 |
| 48 | 32.380 | n-Hexadecanoic acid | C16H32O2 | 1942 | 0.10 |
| 49 | 32.862 | 8.α.,13-propylene oxide-14-ene | C18H36O | - | 0.03 |
| 50 | 33.330 | α-Curcumin | C21H20O6 | 1471 | 0.13 |
| 51 | 33.724 | 2,3,5,8-tetramethyl-1,5,9-Decatriene | C14H24 | 1485 | 0.08 |
| 52 | 35.346 | 1,2-Cyclohexanedicarboxylic acid di(3-methylphenyl) ester | C22H24O4 | - | 0.11 |
| 53 | 35.611 | Methyl linolenate | C19H32O2 | 2077 | 0.04 |
| 54 | 36.059 | Phytol | C20H40O | 2104 | 0.36 |
| 55 | 36.894 | 2-heptadecyl-4,5-dihydro-1H-Imidazole | C20H40N2 | 1498 | 0.02 |
| 56 | 40.703 | 1-Methyl-6-(3-methylbuta-1,3-dienyl)-7-oxabicyclo [4.1.0]heptane | C12H18O | 2647.8 | 0.03 |
| 57 | 41.626 | Docosane | C22H46 | 2200 | 0.06 |
| 58 | 42.169 | 2-Hydroxy-2,4,4-trimethyl-3-(3-methylbuta-1,3-dienyl)cyclohexanone | C14H22O | - | 0.09 |
| 59 | 43.221 | 15,17-Dotriacontadiyne | C32H58 | 3200 | 0.13 |
| 60 | 43.737 | Alloaromadendrene | C15H24 | 1490 | 0.08 |
| 61 | 44.233 | 2-Dodecen-1-yl(-)succinic anhydride | C16H26O3 | 1966 | 0.07 |
| 62 | 44.647 | 2,2-dimethyl-,(3.β.,5.α.)-Cholest-7-en-3-ol | C15H26O2 | 3170 | 0.02 |
| 63 | 44.959 | Caparratriene | C15H26 | 1493 | 0.02 |
| Total | 100.00 |
| Strains | Diameter of Inhibition Zones (mm) a | CK (mm) |
|---|---|---|
| E. coli | 16.33 ± 1.53 a | 0 |
| S. aureus | 14.00 ± 1.00 b | 0 |
| Strains | MIC a (μL/mL) | MBC b (μL/mL) |
|---|---|---|
| E. coli | 3 | 6 |
| S. aureus | 6 | 12 |
Publisher’s Note: MDPI stays neutral with regard to jurisdictional claims in published maps and institutional affiliations. |
© 2022 by the authors. Licensee MDPI, Basel, Switzerland. This article is an open access article distributed under the terms and conditions of the Creative Commons Attribution (CC BY) license (https://creativecommons.org/licenses/by/4.0/).
Share and Cite
Huo, G.; Li, X.; Abubaker, M.A.; Liang, T.; Zhang, J.; Chen, X. A Composition Analysis and an Antibacterial Activity Mechanism Exploration of Essential Oil Obtained from Artemisia giraldii Pamp. Molecules 2022, 27, 7300. https://doi.org/10.3390/molecules27217300
Huo G, Li X, Abubaker MA, Liang T, Zhang J, Chen X. A Composition Analysis and an Antibacterial Activity Mechanism Exploration of Essential Oil Obtained from Artemisia giraldii Pamp. Molecules. 2022; 27(21):7300. https://doi.org/10.3390/molecules27217300
Chicago/Turabian StyleHuo, Guiguo, Xu Li, Mohamed Aamer Abubaker, Tingyu Liang, Ji Zhang, and Xuelin Chen. 2022. "A Composition Analysis and an Antibacterial Activity Mechanism Exploration of Essential Oil Obtained from Artemisia giraldii Pamp" Molecules 27, no. 21: 7300. https://doi.org/10.3390/molecules27217300
APA StyleHuo, G., Li, X., Abubaker, M. A., Liang, T., Zhang, J., & Chen, X. (2022). A Composition Analysis and an Antibacterial Activity Mechanism Exploration of Essential Oil Obtained from Artemisia giraldii Pamp. Molecules, 27(21), 7300. https://doi.org/10.3390/molecules27217300
