Abstract
In this work, the solution conformations of seventeen 3,7-diacyl bispidines were studied by means of NMR spectroscopy including VT NMR experiments. The acyl groups included alkyl, alkenyl, aryl, hetaryl, and ferrocene moieties. The presence of syn/anti-isomers and their ratios were estimated, and some reasons explaining experimental facts were formulated. In particular, all aliphatic and heterocyclic units in the acylic R(CO) fragments led to an increased content of the syn-form in DMSO-d6 solutions. In contrast, only the anti-form was detected in DMSO-d6 and CDCl3 in the case when R = Ph, ferrocenyl, (R)-myrtenyl. In the case of a chiral compound derived from the natural terpene myrtene, a new dynamic process was found in addition to the expected inversion around the amide N-C(O) bond. Here, rotation around the CO-C=C bond in the acylic R fragment was detected, and its energy was estimated. For this compound, ΔG for amide N-C(O) inversion was found to be equal to 15.0 ± 0.2 kcal/mol, and for the rotation around the N(CO)–C2′ bond, it was equal to 15.6 ± 0.3 kcal/mol. NMR analysis of the chiral bispidine-based bis-amide was conducted for the first time. Two X-ray structures are reported. For the first time, the unique syn-form was found in the crystal of an acyclic bispidine-based bis-amide. Quantum chemical calculations revealed the unexpected mechanism for amide bond inversion. It was found that the reaction does not proceed as direct N-C(O) bond inversion in the double-chair (CC) conformation but rather requires the conformational transformation into the chair–boat (CB) form first. The amide bond inversion in the latter requires less energy than in the CC form.
1. Introduction
Recently, we introduced the concept of “stereochemical chameleons”, i.e., functional groups which could exhibit either donor or acceptor behavior depending on their surroundings and conformation [1]. One of the most exciting examples of such groups is the amide group widespread in nature and extremely important synthetically. The typical and acknowledged property of the amide moiety is its planarity, which is a result of N-CO conjugation; in some cases, this planarity causes the existence of diastereomeric E- and Z-forms. Under some conditions, the amide group could undergo inversion of its configuration, which could be stable under other conditions [2,3] (Scheme 1).
Scheme 1.
The general scheme of amide bond inversion.
Typical values for the rotational barriers around amide bonds range from 19.05 kcal/mol (R1 = R2 = R3 = Me, in water [4]) to 14.3 kcal/mol (R1 = R2 = Me, R3 = ferrocenyl (Fc), in CD2Cl2 [5]), being strongly dependent on all three R’s (Scheme 1) as well as on the nature of the solvent [6,7,8,9]. Szostak et al. established a useful correlation between the barrier of the amide bond rotation and the reactivity of amides in cross-coupling reactions [10].
When one has two amide functionalities in one molecule, they could influence each other, provided they are spatially aligned in close proximity [2]. The bispidine (3,7-diazabicyclo[3.3.1]nonane) scaffold seems to be a highly useful platform in this respect since N,N′-bis-amides could exist in either anti- or syn-isomers [11] (Scheme 2).
Scheme 2.
Two stereoisomeric forms that appear in the case of N,N′-diacylbispidines.
The application of the syn/anti dichotomy in the chemistry of bispidines is well documented. For example, Palyulin et al. measured the ΔG of the anti/anti interconversion of 3,7-diacetylbispidine to be equal to 18.2 kcal/mol in DMF [12]. They also established the dependence of the syn/anti ratio on the polarity of the solvent (solvents such as CCl4, CDCl3, (CD3)2CO, (CD3)2SO, (CD3)2CO/CD3OD, CD3OD, CD3OD/D2O, and D2O were used). Wang et al. called the anti/syn interchange a “chiral–achiral switch” since, in the case R1 = R2 (see Scheme 2), the anti-form possesses C2 symmetry and thus should be chiral, whilst the syn-form has a symmetry plane and is therefore achiral [13]. They also pointed out that incorporation of 3,7-diacylbispidine in a medium-sized macrocycle could affect the total symmetry of the molecule.
The equilibrium constant for anti/syn interconversion strongly depends on the nature of the solvent: in more polar solvents, the syn-form predominates since it possesses a higher dipole moment compared to the anti-form [12,13,14]. It should be noted here that the presence of a metal ion in a solution could strongly affect the resulting syn/anti ratio towards the prevalence of the syn-form due to chelation of a metal center by two oxygen atoms, which are in close proximity in the syn-form [12,15].
At the same time, the anti-form would be more stable in less polar solvents and, presumably, in the crystal form since the crystallization of molecules with a smaller dipole moment is more preferable. A CSD search returns 19 structures of bispidine-based bis-amides (tricyclic compounds of the cytisine type are excluded) [16,17,18,19,20,21,22,23,24,25], out of which only 3 possess a syn-conformation in the crystal, and all belong to macrocyclic molecules containing two bispidine fragments [13,20,23].
N,N′-Diacyl bispidines have found various different applications in: medicinal chemistry [26] (a review), [27,28]; crystal engineering [29]; macroheterocycle synthesis [13,18,19,20,23,29,30,31]; secondary structure nucleators in peptides [22,32]; conformational switching [12,13]; lipid bilayer modifiers [15,33].
In the frames of our studies on bispidine-type molecules as SARS-CoV-2 main protease inhibitors [27] and as components of catalytic systems for the Henry reaction [34], we focused our efforts on a group of symmetrical bispidine-based bis-amides. In this paper, we describe two crystal structures of new bispidinone bis-amides and an NMR study of the solution behavior of a group of bis-amides, 1–3 (Figure 1). The quantum chemical calculation of the amide bond rotation in bis-amide 1a explaining the possible mechanism of the process is also presented.
Figure 1.
The structures and numbering of compounds discussed in this work.
2. Results and Discussion
2.1. Synthesis of Compounds
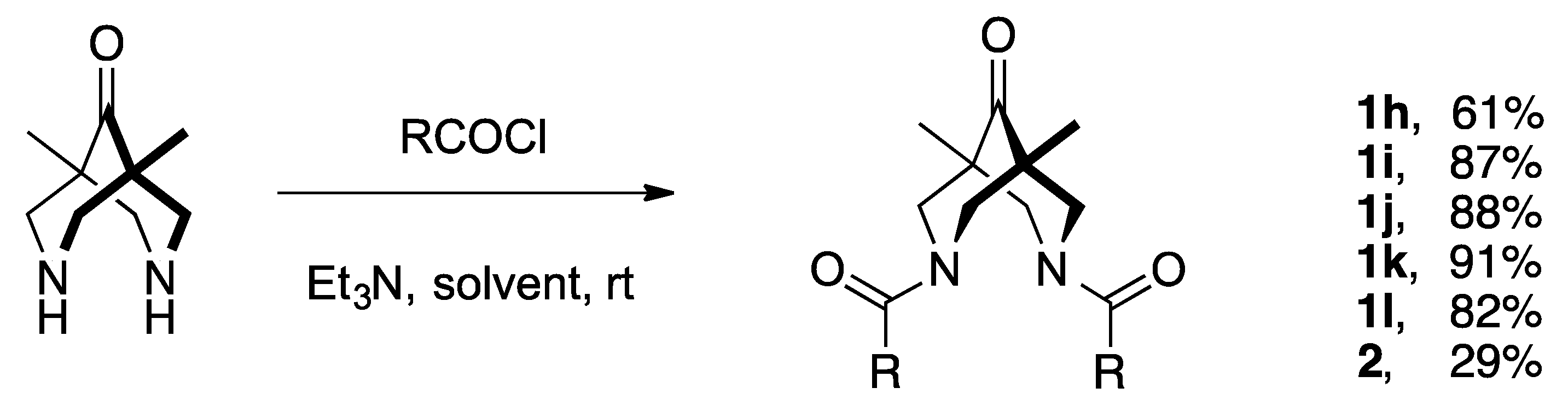
Bis-amides 1 and 2 were synthesized previously either from 5,7-dimethyl-1,3-diazaadamantan-6-one by methylene bridge cleavage in the biphasic system benzene–water (compounds 1a [12,35] (for this compound, the acetic acid anhydride was used), 1b, 1c, 1b′, 1c′ [25], and 1f [27], Scheme 3) or from 1,5-dimethyl-3,7-diazabicyclo[3.3.1]nonan-9-one by direct acylation with the corresponding acid chlorides (compounds 1h–1k [27], 1l, and 2 [19], Scheme 4).
Scheme 3.
Synthesis of bis-amides by bridge splitting in 1,3-diazaadamantan-6-one and 1,3-diazaadamantane.
Scheme 4.
Synthesis of bis-amides by acylation of 1,5-dimethyl-3,7-diazabicyclo[3.3.1]nonan-9-one.
Amides 1d, 1d′, and 1e were prepared by nucleophilic substitution reactions with sodium iodide and sodium azide in acetone, from the corresponding dichlorides (1b and 1b′); the same approach was used for dopamine derivative 3 (Scheme 5; for experimental details, see Section 3 and Supplementary Materials, SM). The tricyclic core of molecules of type 3 is a well-known scaffold of AMPA receptor allosteric modulators [36].
Scheme 5.
Synthesis of compounds 1d, 1d′, 1e, and 3 by nucleophilic substitution reactions.
The chiral bis-amide 1g was obtained by the interaction of the acid chloride of (1R)-(−)-myrtenic acid obtained from (-)-myrtenol with diazaadamantanone in a water–benzene mixture in the presence of NaHCO3 (Scheme 6). The effect of the compound on the physical activity of mice was recently studied [37]. Moreover, 1g was used as a ligand of metal complex catalysts for the Henry reaction [34].
Scheme 6.
Synthesis of compound 1g.
2.2. X-ray Studies
In this paper, we report two crystal structures, namely, those of compounds 1i and 3; in the latter, the relatively small macrocycle size (10 atoms) does not allow the formation of the anti-form; the solid-state conformation of the former is not as obvious.
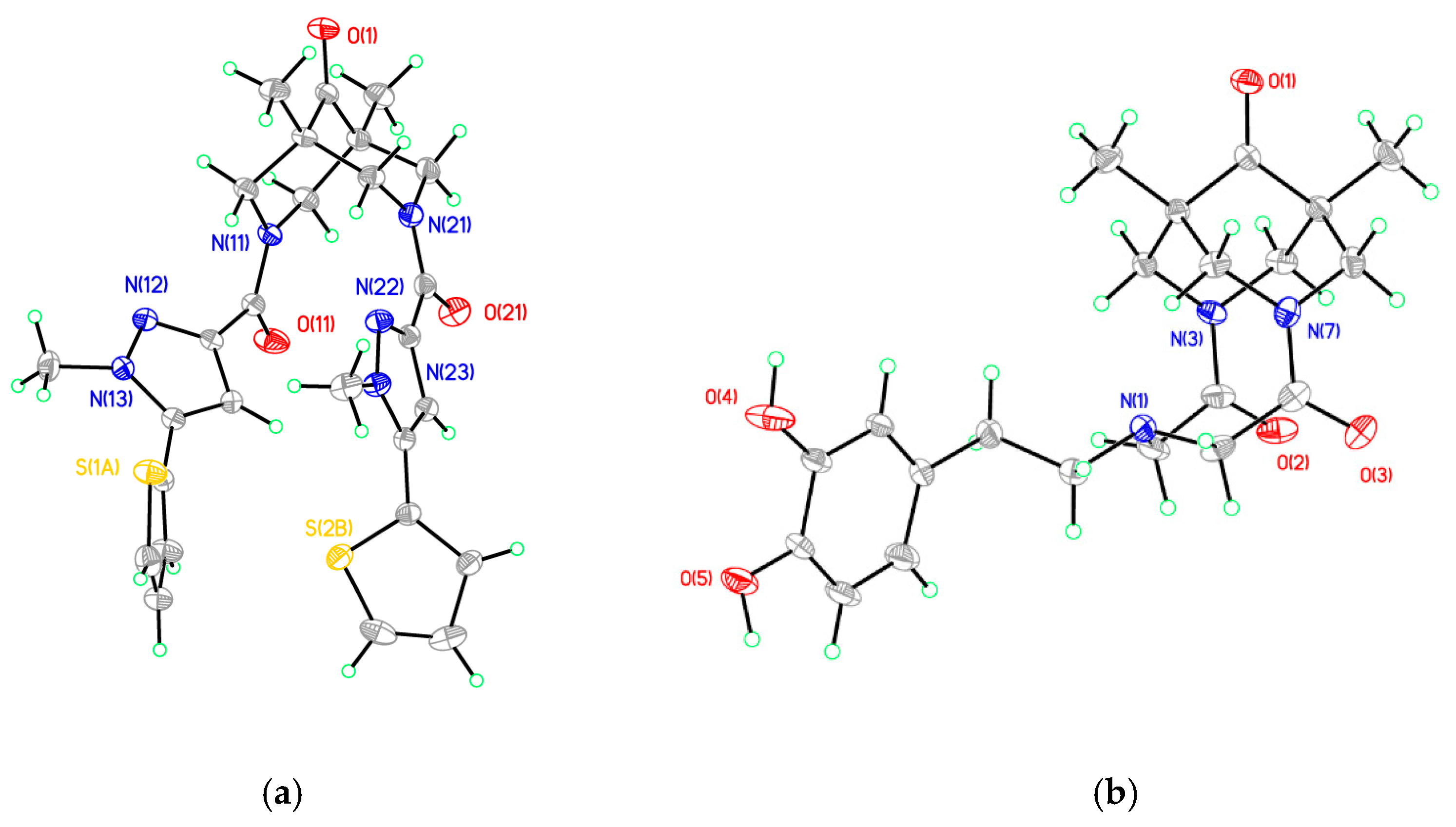
Surprisingly, molecules of 1i adopt the syn-configuration in the crystal. In the structure of 1i, the bispidinone skeleton adopts a chair–chair conformation with N…N separation equal to 2.869 Å (Figure 2a). Both amide fragments (CH2)2N-C(=O)-C are planar within 0.03 Å. The main geometrical parameters of the bicyclic core in the studied compounds are close to the values reported and discussed for several bispidine derivatives in [38] and references cited therein. The heterocycles in 1i are close to an orthogonal disposition, and thus the observed conformation can be additionally stabilized by C-H…π interaction or S…π interaction.
Figure 2.
Molecular structures of 1i (a) and 3 (b). Thermal ellipsoids are shown at a 50% probability level.
We tentatively assumed that the solid-state syn-conformation of compound 1i is due to attractive intramolecular interactions between two heterocyclic side arms. If this is the case, one would expect the existence of a high content of the syn-form in the solutions of the heterocyclic molecules with electron-rich aromatic fragments (compounds 1h–1k), vide infra.
As it was suggested earlier, the 10-membered cycle in dopamine derivative 3 in the crystal exists in the syn-form. In the structure of 3, the bispidinone skeleton exists in a chair–chair conformation with N…N separation equal to 2.776 Å (Figure 2b). Both amide fragments (CH2)2N-C(=O)-C are planar within 0.03 Å.
Of interest to mention is that the distances of O…O and C…C (O and C belong to the amide carbonyl groups) differ for both molecules: while in 1i, O…O = 3.623 Å and C…C = 3.415 Å, in 3, these values are 3.191 Å and 2.819 Å, respectively. These differences reflect the level of rigidity of the bispidine core: while the macrocyclic nature of 3 dictates the spatial proximity of the carbonyl groups in the 10-membered ring, the acyclic molecule 1i could adopt a more relaxed conformation of the bicyclic core. The values of C…C separations found in published papers on bispidine bis-amides range from 3.041 [14] to 4.696 Å [13] (here, we compare only the C…C distance since O…O separation obviously differs for the syn- and anti-forms). These findings clearly demonstrate that, in contrast to the widely known conformational rigidity of the bispidine bicycle in the double-chair conformation, the subtle structural factors could have a pronounced impact on the spatial structure of the molecules, even in the case when a system contains conventionally planar and conformationally stable amide moieties. Indeed, the C(O)…C(O) distance in 3 seems to be the champion among other bispidine bis-amides.
2.3. NMR Studies
NMR studies were performed in two solvents, namely, CDCl3 and DMSO-d6, which differ in their polarity. This helped us to establish the basic characteristic of the conformational exchange between the anti- and syn-forms and to formulate some subtle conclusions. Please note that hereafter, we use the syn/anti ratio derived from the NMR spectra to estimate the influence of the substituent at the amide carbonyl on the conformational behavior of the molecule (see also SI for more information). The resulting data together with some literature data are shown in Table 1.
In Figure 3, the 1H-NMR spectra of 1e in CDCl3 (Figure 3a) and DMSO-d6 (Figure 3b) are shown as typical examples of the solvent polarity influence on the syn/anti ratio of bis-amides. These spectra demonstrate that while, in CDCl3, compound 1e exhibits the presence of only the anti-form (the signals of methyl groups at positions 1 and 5 of the bicycle are equivalent; other signals prove the C2 symmetry), the solution in DMSO-d6 contains both syn- and anti-forms, as seen from the presence of two methyl signals, which is typical for a molecule possessing a symmetry plane passing through atoms 1, 9, and 5.
Figure 3.
1H NMR spectrum of 1e in CDCl3 (a); 1H-NMR spectrum of 1e in DMSO-d6 (b).
VT NMR experiments allowed us to estimate the rotation barriers of amide bond rotation for several molecules. The barriers of amide rotation for exchange between two positions with equal populations were estimated by measuring the coalescence temperatures for the chosen signals in the 1H-NMR and 13C spectra (see SI). Such experiments were performed for compounds 1i, 1l, and 1g (for discussion of this particular compound, see below).
The assignment of the signals in the NMR spectra of 1g in CDCl3 was carried out using 2D experiments (COSY, NOESY, HSQC, HMBC, see SI) and generally coincides with that in [37], with the exception of protons and carbon atoms of the bispidine framework (the assignment in that work was not fulfilled completely). We performed full assignment of all signals for 1g in CDCl3 and DMSO-d6 in which VT experiments were carried out. The protons H2,6(eq) and H4,8(eq) were assigned taking into account their spatial closeness to the chiral substituent R.
It was found that compound 1g exhibits more complex dynamic behavior compared to other bis-amides. At the slow exchange limit, the symmetry of the (R,R)-form (anti-isomer) should be C2, provided the substituents are free to rotate. At the fast exchange limit, the molecular symmetry is also, in principle, C2, but only due to two chiral substituents. However, their influence on the bispidine core is insignificant, meaning at high temperatures, its symmetry can be considered as pseudo-C2v.
The doubling of the H2,6(eq) signals in the 1H-NMR spectra, as well as the doubling of the C3′ and C2′ signals in the 13C-NMR spectra at room temperature, is apparently associated with the hindered rotation of bulky substituents with conjugated C=C–C=O double bonds around the N(CO)–C2′ bond (C1 symmetry). Thus, in this case, two processes are observed: amide rotation (ΔG≠ = 15.0 ± 0.3 kcal/mol) and rotation around the N(CO)–C2′ bond (ΔG≠ = 15.6 ± 0.3 kcal/mol).
Table 1.
Syn/anti ratios for bis-amides 1a–1l, 2, and 3 in CDCl3 and DMSO-d6. Data are in ascending order of the syn-form in DMSO-d6.
Table 1.
Syn/anti ratios for bis-amides 1a–1l, 2, and 3 in CDCl3 and DMSO-d6. Data are in ascending order of the syn-form in DMSO-d6.
| # | Bis-amide | CDCl3 | DMSO-d6 | Data for X-ray Conformations and Solution Barriers |
|---|---|---|---|---|
| 1. | 1g | only anti * | only anti * | NMR: ΔG = 15.0 ± 0.3 kcal/mol (rotation around amide bond) * NMR: ΔG = 15.6 ± 0.3 kcal/mol (rotation around N(CO)–C2′ bond) * |
| 2. | 2 | only anti [19] | only anti [19] | X-ray: bis-anti [19] NMR: no rotation around amide bond [19] |
| 3. | 1f | only anti * | only anti * | |
| 4. | 1l | only anti [19] | only anti [19] | X-ray: anti [19] NMR: ΔG = 14.5 ± 0.2 kcal/mol [19] |
| 5. | 1e | only anti * | 0.19 * | |
| 6. | 1a | only anti * | 0.21 * | X-ray: anti [21] |
| 7. | 1b | only anti [25] | 0.25 [25] | |
| 8. | 1c | only anti [25] | 0.33 [25] | X-ray: anti [25] |
| 9. | 1b′ | only anti [25] | 0.39 [25] | |
| 10. | 1d | only anti [25] | 0.48 [25] | X-ray: anti [25] |
| 11. | 1c′ | only anti [25] | 0.54 [25] | X-ray: anti [25] |
| 12. | 1d′ | only anti [25] | 0.70 [25] | X-ray: anti [25] |
| 13. | 1i | 0.33 [27] | 1.00 * | X-ray: syn * NMR: ΔG = 16.3 ± 0.2 kcal/mol * |
| 14. | 1h | 0.33 [27] | 1.18 * | |
| 15. | 1j | 1.43 [27] | 2.33 * | |
| 16. | 1k | 1.25 [27] | 2.40 * | |
| 17. | 3 | only syn | only syn | X-ray: syn * |
* This work.
Although, at present, not all the data shown in Table 1 can be rationalized, we are able to comment on some results.
First of all, it is not easy to distinguish between pure electronic and steric reasons for the stability of a specific conformation. For example, the restricted rotation in the very tightly organized macrocycle 2 (line 2) dictates the resulting anti-form in both solvents. At the same time, in its acyclic analogue 1l (line 4), in which rotation around the amide bond is possible, only the anti-form was found in both solvents. This finding, together with the results for the phenyl compound 1f (line 3) and chiral terpene derivative 1g (line 1), could reflect the steric repulsion between two bulky acyl substituents in a syn-form.
At the same time, the bulky pyrazole-containing molecules 1h–1k (lines 13–16) also exhibit a high amount of the syn-form in both solvents. This might be tentatively explained by the possible intramolecular π–π interactions of the spatially proximal aromatic moieties in this form, which could stabilize it (see Figure 3a). The highest content of the syn-form for two homologous compounds, 1j and 1k, in which relatively planar and rigid tricyclic aromatic fragments are presented, additionally confirms this explanation.
The increase in the syn-form in acetic acid derivatives in the row 1e–1a–1b–1c–1d presumably reflects the increase in the polarizability of the substituents, being lowest for H and N3 and highest for I (lines 5–8, 10). At the same time, the comparison of the syn/anti ratio between bispidin-9-ones 1b–d and bispidines 1b′–1d′ shows that molecules with a methylene group in position 9 should possess bigger dipole moments than their carbonyl-containing counterparts. The reason for this is not clear, but we could explain it by the analysis of calculated dipole moments for 1a and model compound 1a′ (1a′ is 1,5-dimetyl-3,7-bis-acetyl-3,7-diazabicyclo[3.3.1]nonane, see below).
2.4. QC Calculations
To analyze the barriers and mechanism of the N-C(O) bond rotation of bispidines, we performed DFT modeling.
First of all, the geometry of 1a was optimized using very tight optimization criteria and empirical dispersion corrections on the total energy with Becke–Johnson damping (D3). The minimum energy was observed for the CC conformation of the bicyclic skeleton and anti-arrangement of C=O groups, while for the syn-form, it was 4.7 kcal higher. At the same time, the syn-conformation of 1a is characterized by a higher dipole moment (5.3 vs. 1.7 D, difference 3.6 D). Thus, one can assume that an increase in the solvent polarity would lead to a decrease in the energy difference for syn and anti. Indeed, the modeling of 1a for the syn- and anti-arrangements of C=O groups using a solvent with a high dielectric constant leads to only a 1.3 kcal/mol difference. It should be noted that the same calculations for 1a′ (1,5-dimethyl-3,7-diacetyl-3,7-diazabicylo[3.3.1]nonane, the analogue of bisacetamide 1a lacking a C=O group in the bridge position) lead to the same picture. Although the dipole moments for 1a′ are higher than for 1a (7.0 and 5.0 D for the syn- and anti-forms, respectively), the difference in energy of isolated conformers as well as conformers with the account of solvent polarity is almost the same as in 1a and equal to 4.8 and 1.2 kcal/mol. Thus, we can conclude that an increase in solvent polarity should lead to an increase in the syn-form in the case of 1a′ compared to 1a, which is in qualitative agreement with the obtained experimental data (Table 1, lines 7 and 9, 8 and 11, 10 and 12). At the same time, it is clear that non-specific interactions, such as stacking in the case of heterocycles, hydrogen or halogen bonds, can significantly influence the equilibria.
The comparison of the molecular geometry for the syn- and anti-forms for 1a showed that N…N contact in both of them practically coincides and is equal to 2.836 and 2.824 Å. The nature and energy of N…N interaction in 1a were estimated using the topological analysis of the electron density distribution function ρ(r) within Bader’s quantum theory of “atoms in molecules” (QTAIM) [39]. Using the AIM formalism, one can distinguish the binding interatomic interactions from all other contacts. When the distribution of ρ(r) in the molecule or crystal is known, one can answer the question of whether the bonding interaction is present or not by searching the bond critical point (3,−1) and predicting the energy of weak intermolecular interactions (Econt) with high accuracy on the basis of the potential energy density function v(r)—the correlation suggested by Espinosa et al. (CEML) [40,41].
According to the critical point (CP) search of ρ(r), CP (3,−1), in 1a, is found not only for all expected bonds but also for weak N…N interactions. It should be noted that for C…C and O…O contacts, the critical points (3,−1) were not located. Expectedly, all covalent bonds are characterized by both a negative ∇2ρ(r) and electron energy density (he(r)) and thus correspond to the shared type of interatomic interactions, while N…N interactions are found to be of the closed shell type. The energies of N…N bonds according to CEML are equal to 3.7 kcal/mol.
Using the syn- and anti-forms as the starting geometry, we located the transition state for the barrier to rotation (Figure 4). As one can see, direct inversion of the amide bond costs too much (26.1 kcal/mol) and is probably unrealistic (Figure 4a). At the same time, if we propose that the exchange of an anti- to a syn-isomer occurs not in the chair–chair (CC) conformation, but in the chair–boat (CB) conformation, the barrier is lowered to 17.5 kcal/mol (Figure 4b). Of course, one should take into account that the difference in energy of the CC and CB conformations is 4.7 kcal/mol, and that the barrier of such a process is 6.8 kcal/mol (Figure 4c).

Figure 4.
The calculated routes of anti/syn isomerization on the example of 1a: direct amide inversion in the CC conformation (a); amide inversion in the CB conformation (b); CC–CB transformation (c).
Thus, we can conclude that the more realistic mechanism for the transformation of the anti- to the syn-form includes the CC–CB conformational exchange of the bicyclic skeleton and consequent rotation around the amide bond.
3. Materials and Methods
All reagents and solvents used in the work (purity 90.0 – 99.9 + %) were purchased from commercial sources (SigmaAldrich, St. Louis, MO, USA; abcr, Karlsruhe, Dermany; Acros Organics, Fisher Scientific, Waltham, MA, USA), and, if necessary, subjected to further purification by standard routines immediately before use to achieve analytical purity. Solvents were purified by common methods. The reaction progress and purity of the obtained compounds were controlled by TLC on Merck Silicagel 60G F254 plates. Carl Roth Silica gel 60, 0.04–0.063 mm was used for column chromatography. High-resolution mass spectra with electrospray ionization were recorded on a Bruker MicroOTOF II instrument (Bruker AXS, Karlsruhe, Germany). Melting points were determined by the capillary method on Electrothermal IA9000 instrument (Cole-Parmer, Cambridgeshire, UK).
Compounds 1a [42], 1b–d, 1b′–1d′, [25] 1l, 2, [19] 1f, 1h–1k [27] were prepared as described earlier.
Preparation of N,N′-bis(2-azidoacetyl)-1,5-dimethyl-3,7-diazabicyclo[3.3.1]nonan-9-one (1e).
The solution of 0.73 mmol of N,N′-bis(2-chloroacetyl)-1,5-dimethyl-3,7-diazabicyclo[3.3.1]nonan-9-one (1b) in 12 mL of dry acetone was mixed with 2.2 mmol of sodium azide and 0.29 mmol of sodium iodide and refluxed for 16 h. The volatiles were removed, and the residue was suspended in water, filtered, and dried on air. The white residue was recrystallized form ethanol. Yield 77%. White fluffy needles. M.p. 199–201 °C (dec.), HRMS-ESI: Calc for [C13H18N8O3 + H]+ 335.1580. Found 335.1574.
NMR spectra see Figures S6–S8.
Preparation of (3r,9r)-6-(3,4-dihydroxyphenethyl)-1,11-dimethyl-3,6,9-triazatricyclo[7.3.1.13,11]tetradecane-4,8,12-trione (3).
To the mixture of N,N′-bis(2-bromoacetyl)-1,5-dimethyl-3,7-diazabicyclo[3.3.1]nonan-9-one (1c, 755 mg, 1.86 mmol) and dopamine hydrochloride (352 mg, 1.86 mmol) in dry acetonitrile (22 ml) DIPEA (0.97 mL, 5.57 mmol) was added. The reaction mixture was refluxed with stirring for 6 h. The obtained solution was evaporated to dryness and extracted with DCM (250 mL) and water (15 mL). The organic fraction was separated, dried over sodium sulfate and evaporated to dryness. The product was purified with column chromatography on silica, eluent from DCM:MeOH 100:5 to DCM:MeOH 100:7.5. White powder. Yield 458 mg (62%). M.p. 267–269 °C (dec.). HRMS-ESI: Calc. for [C21H27N3O5 + H]+: 402.2023. Found: 402.2021.
X-Ray-quality crystals were obtained by slow evaporation of methanolic solution.
NMR spectra see Figures S38–S40.
X-ray structural determinations of 1i and 3.
X-ray diffraction data were collected using Mo-Kα radiation (λ = 0.71073 Å) on a SMART APEX II area-detector diffractometer (Bruker AXS, Germany; graphite monochromator, ω-scan technique). The intensity data were integrated by the SAINT program [43] and corrected for absorption and decay by SADABS [44]. All structures were solved by direct methods using SHELXT [45] and refined against F2 using SHELXL-2018 [46]. Analysis of anisotropic displacement parameters has revealed that in 1i thiophen molecules are disordered by two positions leading to the superposition of sulfur and C-H. The refinement of two different positions for each of the fragments was done refined with the EADP and DFIX constraints. In addition to the disorder of the complex in the crystals, disorder is observed for lattice solvate molecule which in the case of 3 was removed by the SQUEEZE method [47] (implemented in the PLATON program) [48]. All C-H hydrogen atoms were placed in ideal calculated positions and refined as riding atoms with relative isotropic displacement parameters. The SHELXTL program suite [43] was used for molecular graphics. Crystal data, data collection, and structure refinement details are summarized in Table S1.
NMR study
1H and 13C-NMR spectra were recorded at room temperature on Bruker Avance-400, Bruker Avance-III-500 and Bruker Avance-600 spectrometers (Bruker AXS, Germany). The spectrometer frequency is denoted in parentheses for each spectral data set. Chemical shifts were referred to the signals of the deuterated solvents (7.26 ppm and 77.0 ppm for CDCl3, 2.49 ppm and 39.5 ppm for (CD3)2SO). The variable temperature experiments were performed on a Bruker Avance-III-500 spectrometer (Bruker AXS, Germany). When necessary, the assignment of signals in the NMR spectra was carried out using 2D techniques. Lorentz-Gauss apodization was used for precise measurement of the proton coupling constants values.
The barriers of amide rotation for exchange between two positions with equal populations were estimated by measuring the coalescence temperatures for the chosen signals in the 1H-NMR spectra using Equation (1):
where δν is the difference (in Hz) between two signals at the slow exchange limit.
kcoal = (kTcoal/h)·exp(−ΔG≠/RTcoal) = π(δν)/√2
Compound 1g (syn-/anti- = 0).
1H-NMR (500 MHz, (CD3)2SO):
Tcoal(NCH2(ax)) ≈ Tcoal(NCH2(eq)) ≈ Tcoal(H2,6(eq)) ≈ 323 K (50 °C)
δν(NCH2(ax)) = δν(NCH2(eq)) = 220 Hz (298 K (25 °C)); ΔG≠ = 62.7 ± 1.2 kJ/mol (15.0 ± 0.3 kcal/mol) (amide rotation)).
δν(H2,6(eq)) = 81 Hz (298 K (25 °C)); ΔG≠ = 65.4 ± 1.2 kJ/mol (15.6 ± 0.3 kcal/mol) (rotation around N(CO)–C2′ bond).
The temperature of the slow exchange limit for 1H spectra is slightly lower than the ambient temperature (the lines are still broad at 298 K), so the accuracy of the ΔG≠ estimate for 1H spectra is lower than for 1i and 1l (see below).
13C-NMR (500 MHz, (CD3)2SO):
Tcoal(NCH2) ≈ 333 K (60 °C)
δν(NCH2) = 594 Hz (298 K (25 °C)); ΔG≠ = 61.9 ± 1.2 kJ/mol (14.8 ± 0.3 kcal/mol) (amide rotation)).
Compound 1i (syn-/anti- = 1.00). 1H-NMR (500 MHz, (CD3)2SO):
Tcoal(NCH3) = 341 K (68 °C); δν = 107.4 Hz (298 K (25 °C)); ΔG≠ = 68.3 ± 0.9 kJ/mol (16.3 ± 0.2 kcal/mol).
Tcoal(H4′) = 347 K (74 °C); δν = 165.3 Hz (298 K (25 °C)); ΔG≠ = 68.4 ± 0.9 kJ/mol (16.3 ± 0.2 kcal/mol).
Compound 1l (syn-/anti- = 0). 1H-NMR (500 MHz, CDCl3):
Tcoal(NCH2(ax)) = 306 K (33 °C); δν = 118.2 Hz (255 K (−18 °C)); ΔG≠ = 60.8 ± 0.9 kJ/mol (14.5 ± 0.2 kcal/mol).
4. Conclusions
In this work, we demonstrated that the anti/syn ratio of bispidine bis-amides could be affected not only by changing the solvent polarity, but also by the nature of the acylic substituents. Bispidines with aliphatic and heterocyclic units in the acylic R(CO) fragments were found to possess an increased content of the syn-form in DMSO-d6 solutions. In the case when R = Ph, ferrocenyl, (R)-myrtenyl, only the anti-form was detected both in CDCl3 and DMSO-d6.
For the first time, VT NMR experiments were applied to a compound derived from a natural terpene, myrtene, and a new dynamic process was found in addition to the expected inversion around the amide N-C(O) bond.
Quantum chemical calculations revealed that the reaction of amide bond inversion proceeds via the conformational transformation into the chair–boat (CB) form, with subsequent inversion of this form taking place.
The results of this work could find application in mechanistic studies of the biological action of bispidine-based bis-amides and in the design of new biologically active molecules. For example, according to docking studies, only one isomeric form of compound 1k was found to be covalently bound to the active site of the SARS-CoV-II main protease [29].
Supplementary Materials
The following Supporting Information can be downloaded online, Table S1. Crystal data, data collection, and structure refinement details for 1i and 3; Figures S1–S40—NMR data; Details of quantum chemistry calculations.
Author Contributions
Conceptualization, S.Z.V., D.P.K. and A.V.M.; Formal analysis, A.O.G.; Investigation, K.Y.P. and M.A.K.; Resources, S.Z.V.; Data curation, M.A.K. and K.A.L.; Writing—original draft preparation, S.Z.V. and A.I.D.; writing—review and editing, S.Z.V., D.P.K., A.I.D., A.V.C. and A.V.M.; Visualization, A.I.D., A.V.M., D.P.K. and E.V.S.; Supervision, S.Z.V.; Project administration, S.Z.V.; Funding acquisition, S.Z.V. and K.A.L. All authors have read and agreed to the published version of the manuscript.
Funding
The general support of this work by the Russian Science Foundation (grant # 19-73-20090) is greatly acknowledged. K.A. Lyssenko is grateful to the RFBR (grant # 20-03-00867) for financial support of the DFT calculations and analysis of electron density topology.
Institutional Review Board Statement
Not applicable.
Informed Consent Statement
Not applicable.
Data Availability Statement
Not applicable.
Acknowledgments
The mass spectra were measured using the equipment of the Center for Collective Use, Zelinsky Institute of Organic Chemistry, Russian Academy of Sciences.
Conflicts of Interest
The authors declare no conflict of interest.
Sample Availability
Not available.
References
- Vatsadze, S.Z.; Loginova, Y.D.; dos Passos Gomes, G.; Alabugin, I.V. Stereoelectronic Chameleons: The Donor–Acceptor Dichotomy of Functional Groups. Chem.—Eur. J. 2017, 23, 3225–3245. [Google Scholar] [CrossRef]
- Cox, C.; Lectka, T. Synthetic Catalysis of Amide Isomerization Intramolecular Catalysis of Amide. Acc. Chem. Res. 2000, 33, 849–858. [Google Scholar] [CrossRef]
- Stein, R.L. Mechanism of Enzymatic and Nonenzymatic Prolyl Cis-Trans Isomerization. Adv. Protein Chem. 1993, 44, 1–24. [Google Scholar] [CrossRef]
- Wiberg, K.B.; Rablen, P.R.; Rush, D.J.; Keith, T.A.; Haven, N.; Avenue, W.; Haven, N. Amides. 3. Experimental and Theoretical Studies of the Effect of the Medium on the Rotational Barriers for N,N-Dimethylformamide and N,N-Dimethylacetamide. J. Am. Chem. Soc. 1995, 117, 4261–4270. [Google Scholar] [CrossRef]
- Petter, R.C.; Rao, S.J. C-N Rotational Barriers in Ferrocenecarboxamides. J. Org. Chem. 1991, 56, 2932–2934. [Google Scholar] [CrossRef]
- Otani, Y.; Nagae, O.; Naruse, Y.; Inagaki, S.; Ohno, M.; Yamaguchi, K.; Yamamoto, G.; Uchiyama, M.; Ohwada, T. An Evaluation of Amide Group Planarity in 7-Azabicyclo[2.2.1]heptane Amides. Low Amide Bond Rotation Barrier in Solution. J. Am. Chem. Soc. 2003, 125, 15191–15199. [Google Scholar] [CrossRef] [PubMed]
- Bisz, E.; Piontek, A.; Dziuk, B.; Szostak, R.; Szostak, M. Barriers to Rotation in ortho-Substituted Tertiary Aromatic Amides: Effect of Chloro-Substitution on Resonance and Distortion. J. Org. Chem. 2018, 83, 3159–3163. [Google Scholar] [CrossRef] [PubMed]
- Drakenberg, T.; Dahlqvist, K.I.; Forsén, S. The barrier to internal rotation in amides. IV. N,N-dimethylamides; substituent and solvent effects. J. Phys. Chem. 1972, 76, 2178–2183. [Google Scholar] [CrossRef]
- Da Silva, C.O.; Mennucci, B.; Vreven, T. Combining microsolvation and polarizable continuum studies: New insights in the rotation mechanism of amides in water. J. Phys. Chem. 2003, 107, 6630–6637. [Google Scholar] [CrossRef]
- Lei, P.; Meng, G.; Shi, S.; Ling, Y.; An, J.; Szostak, R.; Szostak, M. Suzuki-Miyaura cross-coupling of amides and esters at room temperature: Correlation with barriers to rotation around C-N and C-O bonds. Chem. Sci. 2017, 8, 6525–6530. [Google Scholar] [CrossRef] [Green Version]
- Zefirov, N.S.; Palyulin, V.A. Conformational Analysis of Bicyclo[3.3.1]nonanes and Their Hetero Analogs. Top. Stereochem. 1991, 20, 171–230. [Google Scholar] [CrossRef]
- Palyulin, V.A.; Emets, S.V.; Chertkov, V.A.; Kasper, C.; Schneider, H.J. Conformational switching of 3,7-diacyl-3,7-diazabicyclo[3.3.1]nonanes by metal binding and by solvent changes. Eur. J. Org. Chem. 1999, 2, 3479–3482. [Google Scholar] [CrossRef]
- Wang, Z.; Islam, M.J.; Vukotic, V.N.; Revington, M.J. Conformational Study of N,N′-Diacyl Bispidines and Dioxo Bis-bispidines: Planar Chirality and Molecular Switching. J. Org. Chem. 2016, 81, 2981–2986. [Google Scholar] [CrossRef] [PubMed]
- Levinger, S.; Sharabi-Ronen, Y.; Mainfeld, A.; Albeck, A. Structural and spatial considerations in the N,N′-diacyl- and bis(alkoxycarbonyl)bispidinone series. J. Org. Chem. 2008, 73, 7793–7796. [Google Scholar] [CrossRef]
- Veremeeva, P.N.; Grishina, I.V.; Zaborova, O.V.; Averin, A.D.; Palyulin, V.A. Synthesis of 3,7-diacyl-1,5-dimethyl-3,7-diazabicyclo[3.3.1]nonane derivatives as promising lipid bilayer modifiers. Tetrahedron 2019, 75, 4444–4450. [Google Scholar] [CrossRef]
- McCabe, P.H.; Milne, N.J.; Sim, G.A. Conformational control in the 3,7-diazabicyclo[3.3.1]nonane system. J. Chem. Soc. Chem. Commun. 1985, 10, 625–626. [Google Scholar] [CrossRef]
- Palyulin, V.A.; Emets, S.V.; Potekhin, K.A.; Lysov, A.E.; Chertkov, V.A.; Zefirov, N.S. The Synthesis and Crystal and Molecular Structures of 3,7-Diacetyl- and 3,7-Bis(thioacetyl)-1,5-dimethyl-3,7- diazabicyclo[3.3.1]nonanes. Dokl. Chem. 2000, 375, 782–785. [Google Scholar] [CrossRef]
- Sharma, S.; Thorat, S.H.; Gonnade, R.G.; Jasinski, J.P.; Butcher, R.; Haridas, V. Engineering Molecular Topology: A Pseudopeptidic Macrocyclic Figure-Eight Motif. Eur. J. Org. Chem. 2017, 2017, 1120–1124. [Google Scholar] [CrossRef]
- Medved’ko, A.V.; Krut’ko, D.P.; Gaisen, S.V.; Churakov, A.V.; Minyaev, M.E.; Moiseeva, A.A.; Lemenovsky, D.A.; Yu, H.; Wang, L.; Vatsadze, S.Z. First examples of bispidine-ferrocene cyclophanes. J. Organomet. Chem. 2021, 949, 121945. [Google Scholar] [CrossRef]
- Sharma, S.; Gopalakrishna, M.V.S.; Venugopalan, P.; Suresh, C.H.; Haridas, V. Stackabilization: Self-assembling bispidinophanes. Tetrahedron 2015, 71, 8302–8306. [Google Scholar] [CrossRef]
- Levina, O.I.; Potekhin, K.A.; Kurkutova, E.N.; Struchkov, Y.T.; Baskin, I.I.; Palyulin, V.A.; Zefirov, N.S. Crystal and molecular structure of 3,7-diacetyl-1,5-diphenyl-3,7-diazabicyclo [3,3,1] nonane-9-one. Dokl. Akad. Nauk SSSR 1985, 281, 1367. [Google Scholar]
- Haridas, V.; Sadanandan, S.; Sharma, Y.K.; Chinthalapalli, S.; Shandilya, A. Bispidine as a secondary structure nucleator in peptides. Tetrahedron Lett. 2012, 53, 623–626. [Google Scholar] [CrossRef]
- Comba, P.; Pritzkow, H.; Schiek, W. A very rigid bis-bispidine tetraazamacrocycle and its unusual copper(II) complex. Angew. Chem. Int. Ed. 2001, 40, 2465–2468. [Google Scholar] [CrossRef]
- Palyulin, V.A.; Emets, S.V.; Potekhin, K.A.; Lysov, A.E.; Sumskaya, Y.G.; Zefirov, N.S. Synthesis and Crystal and Molecular Structure of 3,7-Dithenoyl-1,5-dimethyl-3,7-diazabicyclo[3.3.1]nonane. Dokl. Akad. Nauk SSSR 2001, 380, 639. [Google Scholar] [CrossRef]
- Churakov, A.V.; Medved’ko, A.V.; Prikhodchenko, P.V.; Krut’ko, D.P.; Vatsadze, S.Z. First example of peroxosolvate of iodine-containing organic molecule. Mendeleev Commun. 2021, 31, 352–355. [Google Scholar] [CrossRef]
- Tomassoli, I.; Gündisch, D. Bispidine as a Privileged Scaffold. Curr. Top. Med. Chem. 2016, 16, 1314–1342. [Google Scholar] [CrossRef] [PubMed]
- Shcherbakov, D.; Baev, D.; Kalinin, M.; Dalinger, A.; Chirkova, V.; Belenkaya, S.; Khvostov, A.; Krut’ko, D.; Medved’ko, A.; Volosnikova, E.; et al. Design and Evaluation of Bispidine-Based SARS-CoV-2 Main Protease Inhibitors. ACS Med. Chem. Lett. 2021. [Google Scholar] [CrossRef]
- Haridas, V.; Rajgokul, K.S.; Sadanandan, S.; Agrawal, T.; Sharvani, V.; Gopalakrishna, M.V.S.; Bijesh, M.B.; Kumawat, K.L.; Basu, A.; Medigeshi, G.R. Bispidine-Amino Acid Conjugates Act as a Novel Scaffold for the Design of Antivirals That Block Japanese Encephalitis Virus Replication. PLoS Negl. Trop. Dis. 2013, 7, e2005. [Google Scholar] [CrossRef]
- Miyahara, Y.; Goto, K.; Inazu, T. Synthesis and properties of a novel tetraazamacrocycle containing two bispidine units. Chem. Lett. 2000, 29, 620–621. [Google Scholar] [CrossRef]
- Miyahara, Y.; Goto, K.; Inazu, T. A novel hindered macrocyclic tetramine containing two bispidine units. A new type of proton sponge. Tetrahedron Lett. 2001, 42, 3097–3099. [Google Scholar] [CrossRef]
- Islam, M.J.; Miller, E.J.; Gordner, J.S.; Patel, D.; Wang, Z. Effective synthesis of bis-bispidinone and facile difunctionalization of highly rigid macrocyclic tetramines. Tetrahedron Lett. 2013, 54, 2133–2136. [Google Scholar] [CrossRef]
- Singh, H.; Chenna, A.; Gangwar, U.; Borah, J.; Goel, G. Bispidine as β-strand nucleator: From β-arch to nano cages and vesicles. Chem. Sci. 2021, 12, 15757–15764. [Google Scholar] [CrossRef]
- Veremeeva, P.N.; Bovina, E.M.; Grishina, I.V.; Lapteva, V.L.; Palyulin, V.A.; Zefirov, N.S. Synthesis of amphiphilic diacyl derivatives of 3,7-diazabicyclo[3.3.1]nonan-9-one. Mendeleev Commun. 2018, 28, 25–26. [Google Scholar] [CrossRef]
- Mozhaitsev, E.S.; Ponomarev, K.Y.; Patrusheva, O.S.; Medvedko, A.V.; Dalinger, A.I.; Rogachev, A.D.; Komarova, N.I.; Korchagina, D.V.; Suslov, E.V.; Volcho, K.P.; et al. Conjugates of Bispidine and Monoterpenoids as Ligands of Metal Complex Catalysts for the Henry Reaction. Russ. J. Org. Chem. 2020, 56, 1969–1981. [Google Scholar] [CrossRef]
- Minasyan, G.G.; Agadzhanyan, K.E.; Admyan, G.G. Synthesis and conversions of polyhedral compounds 17. Conversion of 1,3-diaza- and 1,3,5-triazaadamantanes to nitrogen-containing pentacyclic compounds. Chem. Heterocycl. Compd. 1994, 30, 94–98. [Google Scholar] [CrossRef]
- Lavrov, M.I.; Veremeeva, P.N.; Karlov, D.S.; Zamoyski, V.L.; Grigoriev, V.V.; Palyulin, V.A. Tricyclic derivatives of bispidine as AMPA receptor allosteric modulators. Mendeleev Commun. 2019, 29, 619–621. [Google Scholar] [CrossRef]
- Kotlyarova, A.A.; Ponomarev, K.Y.; Morozova, E.A.; Korchagina, D.V.; Suslov, E.V.; Pavlova, A.V.; Tolstikova, T.G.; Volcho, K.P.; Salakhutdinov, N.F. The effect of 3,7-diazabicyclo3.3.1nonanes containing monoterpenoid moieties on the physical activity of mice. J. Res. Pharm. 2020, 24, 196–204. [Google Scholar] [CrossRef] [Green Version]
- Cui, H.; Goddard, R.; Pörschke, K.R. Degradation of dichloromethane by bispidine. J. Phys. Org. Chem. 2012, 25, 814–827. [Google Scholar] [CrossRef] [Green Version]
- Matta, C.F.; Boyd, R.J. The Quantum Theory of Atoms in Molecules: From Solid State to DNA and Drug Design; Wiley-VCH Verlag GmbH & Co. KgaA: Weinheim, Germany, 2007. [Google Scholar] [CrossRef]
- Espinosa, E.; Molins, E.; Lecomte, C. Hydrogen bond strengths revealed by topological analyses of experimentally observed electron densities. Chem. Phys. Lett. 1998, 285, 170–173. [Google Scholar] [CrossRef]
- Ananyev, I.V.; Karnoukhova, V.A.; Dmitrienko, A.O.; Lyssenko, K.A. Toward a Rigorous Definition of a Strength of Any Interaction between Bader’s Atomic Basins. J. Phys. Chem. 2017, 121, 4517–4522. [Google Scholar] [CrossRef]
- Medved’ko, A.V.; Egorova, B.V.; Komarova, A.A.; Rakhimov, R.D.; Krut’Ko, D.P.; Kalmykov, S.N.; Vatsadze, S.Z. Copper-Bispidine Complexes: Synthesis and Complex Stability Study. ACS Omega 2016, 1, 854–867. [Google Scholar] [CrossRef] [PubMed] [Green Version]
- Bruker. APEX-III; Bruker AXS Inc.: Madison, WI, USA, 2019. [Google Scholar]
- Krause, L.; Herbst-Irmer, R.; Sheldrick, G.M.; Stalke, D. Comparison of silver and molybdenum microfocus X-ray sources for single-crystal structure determination. J. Appl. Crystallogr. 2015, 48, 3–10. [Google Scholar] [CrossRef] [PubMed] [Green Version]
- Sheldrick, G.M. SHELXT – Integrated space-group and crystal-structure determination. Acta Cryst. A Found. Adv. 2015, 71, 3–8. [Google Scholar] [CrossRef] [PubMed] [Green Version]
- Sheldrick, G.M. Crystal structure refinement with SHELXL. Acta Cryst. C 2015, 71, 3–8. [Google Scholar] [CrossRef]
- Spek, A. Platon squeeze: A tool for the calculation of the disordered solvent contribution to the calculated structure factors. Acta Crystallogr. Sect. C 2015, 71, 9–18. [Google Scholar] [CrossRef] [Green Version]
- Spek, A. Structure validation in chemical crystallography. Acta Cryst. D 2009, 65, 148–155. [Google Scholar] [CrossRef] [PubMed]
Publisher’s Note: MDPI stays neutral with regard to jurisdictional claims in published maps and institutional affiliations. |
© 2022 by the authors. Licensee MDPI, Basel, Switzerland. This article is an open access article distributed under the terms and conditions of the Creative Commons Attribution (CC BY) license (https://creativecommons.org/licenses/by/4.0/).










