Secondary Metabolites with Antimicrobial Activities from Chamaecyparis obtusa var. formosana
Abstract
:1. Introduction
2. Results and Discussion
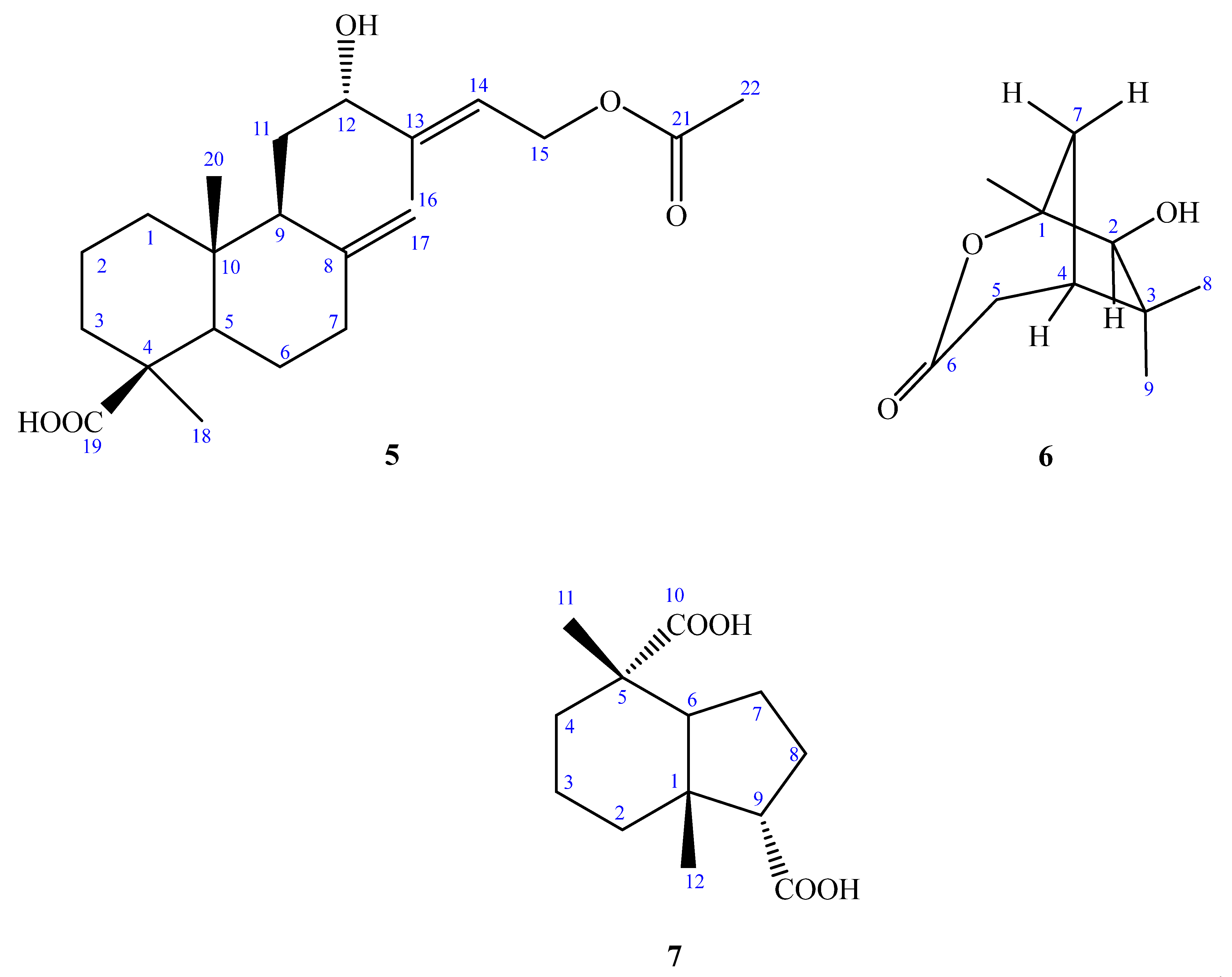
2.1. Structure Elucidation of Compounds
2.2. Biological Studies
3. Materials and Methods
3.1. General Experimental Procedures
3.2. Plant Material
3.3. Isolation and Characterization of Secondary Metabolites
3.4. Antimicrobial Activity Assays
4. Conclusions
Supplementary Materials
Author Contributions
Funding
Institutional Review Board Statement
Informed Consent Statement
Data Availability Statement
Acknowledgments
Conflicts of Interest
Sample Availability
References
- Li, H.L.; Keng, H. Cupressaceae in ‘Flora of Taiwan, 2nd ed.; Editorial Committee of the Flora of Taiwan: Taipei, Taiwan, 1994; Volume 1, pp. 586–590. [Google Scholar]
- Fu, L.; Yu, Y.; Adams, R.P.; Farjon, A. Cupressaceae Bartlett; Flora of China. Vol. 4 (Cycadaceae through Fagaceae); Wu, Z.Y., Raven, P.H., Eds.; Science Press: Beijing, China; Missouri Botanical Garden Press: St. Louis, MO, USA, 1999. [Google Scholar]
- Farjon, A. Monograph of Cupressaceae and Sciadopitys; Royal Botanic Gardens, Kew: Richmond, UK, 2005. [Google Scholar]
- Michener, C.D. Chamaecyparis Spach in Flora of North America @ efloras.org eFlora; Missouri Botanical Garden: St. Louis, MO, USA; Harvard University Herbaria: Cambridge, MA, USA, 2003. [Google Scholar]
- Kuo, Y.H.; Chen, C.H.; Lin, Y.L. New lignans from the heartwood of Chamaecyparis obtusa var. formosana. Chem. Pharm. Bull. 2002, 50, 978–980. [Google Scholar] [CrossRef] [PubMed]
- Chien, S.C.; Chang, J.Y.; Kuo, C.C.; Hsieh, C.C.; Yang, N.S.; Kuo, Y.H. Cytotoxic and novel skeleton compounds from the heartwood of Chamaecyparis obtusa var. formosana. Tetrahedron Lett. 2007, 48, 1567–1569. [Google Scholar] [CrossRef]
- Kuo, Y.H.; Chen, C.H.; Chien, S.C.; Lin, H.C. Novel diterpenes from the heartwood of Chamaecyparis obtusa var. formosana. Chem. Pharm. Bull. 2004, 52, 764–766. [Google Scholar] [CrossRef]
- Kuo, Y.H.; Chen, C.H.; Chien, S.C.; Lin, Y.L. Five new cadinane-type sesquiterpenes from the heartwood of Chamaecyparis obtusa var. formosana. J. Nat. Prod. 2002, 65, 25–28. [Google Scholar] [CrossRef] [PubMed]
- Lee, H.J.; Seo, S.M.; Lee, O.K.; Jo, H.J.; Kang, H.Y.; Choi, D.H.; Paik, K.H.; Khan, M. Lignans from the bark of Magnolia kobus. Helv. Chim. Acta 2008, 91, 2361–2366. [Google Scholar] [CrossRef]
- Park, S.Y.; Lee, H.J.; Lee, O.K.; Kang, H.Y.; Choi, D.H.; Paik, K.H.; Khan, M. Benzofurans from the seeds of Styrax obassia. Bull. Korean Chem. Soc. 2007, 28, 1874–1876. [Google Scholar]
- Khan, M.; Alkhathlan, H.Z.; Khan, S.T. Antibiotic and antibiofilm activities of Salvadora persica essential oils against Streptococcus mutans: A detailed comparative study with chlorhexidine digluconate. Pathogens 2020, 9, 66. [Google Scholar] [CrossRef] [PubMed]
- Yang, P.S.; Cheng, M.J.; Peng, C.F.; Chen, J.J.; Chen, I.S. Endiandric acid analogues from the roots of Beilschmiedia erythrophloia. J. Nat. Prod. 2009, 72, 53–58. [Google Scholar] [CrossRef] [PubMed]
- Kuo, Y.H.; Yu, M.T. Three Labdane-Type Diterpenes from the Bark of Juniperus formosana HAY. var. concolor HAY. Chem. Pharm. Bull. 1996, 44, 1242–1244. [Google Scholar] [CrossRef]
- Yuan, W.; Lu, Z.; Liu, Y.; Meng, C.; Cheng, K.D.; Zhu, P. Three new podocarpane-type diterpenoids from callus of Securinega Suffruticosa Chem. Pharm. Bull. 2005, 53, 1610–1612. [Google Scholar] [CrossRef] [PubMed]
- Iwamoto, M.; Ohtsu, H.; Matsunaga, S.; Tanaka, R. Labdane-type diterpenes and a nordrimane-type sesquiterpene from the stem bark of Thuja standishii. J. Nat. Prod. 2000, 63, 1381–1383. [Google Scholar] [CrossRef] [PubMed]
- Lu, Y.C. Studies on the Constituents of the Bark of Chamaecyparis Formosensis Matsum. and the Whole Herb of Waltheria Americana L. Master’s Thesis, Department of Chemistry, National Taiwan University, Taipei City, Taiwan, 2005. [Google Scholar]
- Popova, M.P.; Chinou, I.B.; Marekov, I.N.; Bankova, V.S. Terpenes with antimicrobial activity from Cretan propolis. Phytochemistry 2009, 70, 1262–1271. [Google Scholar] [CrossRef] [PubMed]
- Hsieh, Y.L.; Fang, J.M.; Cheng, Y.S. Terpenoids and Flavonoids from Pseudotsuga wilsoniana. Phytochemistry 1998, 47, 845–850. [Google Scholar]
- National Committee for Clinical Laboratory Standards. Performance Standards for Antimicrobial Disk Susceptibility Tests: Approved Standard, 8th ed.; NCCLS Document M2-A8; National Committee for Clinical Laboratory Standards: Wayne, PA, USA, 2003. [Google Scholar]






| No | 1 | 2 | 3 | 4 | 5 | 6 | 7 |
|---|---|---|---|---|---|---|---|
| 1 | 36.9 | 34.6 | 40.9 | 41.0 | 39.0 | 91.9 | 44.5 |
| 2 | 27.4 | 18.7 | 19.6 | 19.5 | 19.9 | 84.6 | 39.3 |
| 3 | 78.7 | 37.5 | 38.0 | 38.0 | 37.9 | 44.5 | 20.1 |
| 4 | 39.8 | 35.4 | 44.1 | 44.0 | 44.1 | 42.0 | 37.1 |
| 5 | 52.8 | 53.2 | 55.6 | 55.3 | 56.2 | 35.7 | 43.9 |
| 6 | 84.0 | 19.9 | 24.9 | 24.8 | 26.0 | 170.3 | 57.9 |
| 7 | 46.2 | 25.6 | 37.2 | 37.0 | 38.6 | 38.0 | 22.8 |
| 8 | 127.6 | 159.5 | 148.9 | 148.2 | 148.3 | 24.6 | 21.7 |
| 9 | 147.0 | 134.4 | 60.6 | 60.8 | 52.4 | 26.4 | 55.9 |
| 10 | 36.9 | 43.4 | 40.0 | 40.4 | 40.2 | 20.3 | 184.3 |
| 11 | 109.3 | 172.3 | 136.2 | 139.2 | 28.7 | 27.9 | |
| 12 | 151.5 | 70.6 | 136.1 | 124.2 | 77.3 | 12.4 | |
| 13 | 131.2 | 28.7 | 154.8 | 161.7 | 142.4 | 180.2 | |
| 14 | 125.7 | 183.4 | 117.5 | 114.6 | 121.8 | ||
| 15 | 26.3 | 17.6 | 172.6 | 174.0 | 60.9 | ||
| 16 | 22.0 | 14.3 | 70.5 | 10.7 | |||
| 17 | 22.2 | 108.4 | 108.7 | 106.9 | |||
| 18 | 28.3 | 28.9 | 28.9 | 28.9 | |||
| 19 | 20.9 | 183.9 | 182.3 | 183.0 | |||
| 20 | 16.2 | 13.7 | 13.7 | 12.9 | |||
| 1′ | 130.2 | ||||||
| 2′ | 118.5 | ||||||
| 3′ | 157.3 | ||||||
| 4′ | 132.0 | ||||||
| 5′ | 126.6 | ||||||
| 6′ | 129.8 | ||||||
| 7′ | 127.4 | ||||||
| 8′ | 126.2 | ||||||
| 9′ | 134.0 | ||||||
| 10′ | 132.3 | ||||||
| 11′ | 24.0 | ||||||
| 12′ | 41.1 | ||||||
| 13′ | 214.1 | ||||||
| 14′ | 41.0 | ||||||
| 15′ | 18.4 | ||||||
| 16 | 18.0 | ||||||
| 17′ | 20.6 | ||||||
| 18′ | 28.6 | ||||||
| 19′ | 21.3 | ||||||
| 20′ | 22.6 |
| No | 1 | 2 | 3 | 4 | 5 | 6 | 7 |
|---|---|---|---|---|---|---|---|
| 1 | 1.78 (m) | 1.16 (dd, J = 13.3, 4.1) | 1.07 (m) | 1.09 (m) | 0.95 (m) | ||
| 2.17 (m) | 2.56 (d, J = 13.3) | 1.46 (m) | 1.44 (m) | 1.79 (m) | |||
| 2 | 1.89 (m) | 1.53 (m, H-2α) | 1.46 (m) | 1.76 (m) | 1.50 (m) | 3.62 (d, J = 2.4) | 1.20 (m, H-2α(ax)) |
| 1.91 (m) | 1.88 (td, J = 14.0, 3.6, H-2β) | 1.85 (m) | 1.83 (m) | 1.83 (m) | 2.10 (d, J = 13.0, H-2β(equ)) | ||
| 3 | 3.39 (dd, J = 8.9, 6.9) | 1.08 (dd, J = 14.0, 3.6) | 1.05 (m) | 1.06(m) | 1.03 (m) | 1.52 (m) | |
| 2.22 (m) | 2.18 (br d, J = 12.3) | 2.18(m) | 2.13 (m) | 1.82 (m) | |||
| 4 | 1.95 (td, J = 4.8, 1.6) | 0.91 (td, J = 13.5, 4.3, H-4α(equ)) | |||||
| 2.17(m, H-4α(ax)) | |||||||
| 5 | 1.74 (d, J = 7.6) | 1.40 (dd, J = 12.2, 1.3) | 1.33 (dd, J = 12.0, 2.5) | 1.33 (dd, J = 12.5, 2.7) | 1.27 (m) | 2.47 (dd, J = 18.8, 4.8) | |
| 2.71 (dt, J = 18.8, 2.4) | |||||||
| 6 | 5.21 (t, J = 7.6) | 1.95 (m) | 1.90 (m) | 1.89 (m) | 1.83 (m) | 1.40 (dd, J = 12.8, 7.3) | |
| 2.17 (m) | 1.98 (m) | 1.99 (m) | 1.94 (m) | ||||
| 7 | 4.74 (d, J = 7.6) | 2.26 (m) | 2.00 (m) | 2.01 (m) | 1.82 (m) | 1.68 (dd, J = 12.8, 2.4) | 1.83 (m) |
| 2.37 (m) | 2.45 (m) | 2.46 (m) | 2.38 (m) | 2.12 (ddd, J = 12.8, 4.8, 2.4) | 2.18 (m) | ||
| 8 | 1.04 (s) | 1.72 (m) | |||||
| 2.09 (m) | |||||||
| 9 | 2.43 (m) | 2.47 (m) | 1.42 (m) | 1.15 (s) | 2.38 (t, J = 9.3) | ||
| 10 | 1.42 (s) | ||||||
| 11 | 6.91 (s) | 6.21 (dd, J = 15.6, 9.8) | 6.13 (dd, J = 16.0, 10.6) | 1.27 (m) | 1.21 (s) | ||
| 1.68 (m) | |||||||
| 12 | 4.54 (d, J = 17.0) | 6.09 (d, J = 15.6) | 6.37 (d, J = 16.0) | 4.12 (dd, J = 9.0, 5.5) | 0.62 (s) | ||
| 4.59 (d, J = 17.0) | |||||||
| 13 | 1.28 (s) | ||||||
| 14 | 6.48 (s) | 5.71 (s) | 5.85 (s) | 5.40 (t, J = 6.4) | |||
| 15 | 2.87 (sept, J = 6.9) | 1.04 (s) | 4.60 (dd, J = 9.0, 6.4) | ||||
| 16 | 0.84 (d, J = 6.9) | 2.29 (s) | 4.97 (br s) | 1.67 (s) | |||
| 17 | 0.67 (d, J = 6.9) | 4.41 (br s) | 4.66 (br s) | ||||
| 4.76 (br s) | 4.87 (br s) | ||||||
| 18 | 1.26 (s) | 1.25 (s) | 1.21 (s) | ||||
| 19 | 1.14 (s) | ||||||
| 20 | 1.28 (s) | 0.76 (s) | 0.59 (s) | ||||
| 21 | |||||||
| 22 | 2.04 (s) | ||||||
| 1′ | |||||||
| 2′ | |||||||
| 3′ | |||||||
| 4′ | |||||||
| 5′ | 7.49 (s) | ||||||
| 6′ | |||||||
| 7′ | 7.58 (d, J = 6.8) | ||||||
| 8′ | 7.13 (d, J = 6.8) | ||||||
| 9′ | |||||||
| 10′ | |||||||
| 11′ | 3.10 (m),3.33 (m) | ||||||
| 12′ | 2.64 (m), 2.68 (m) | ||||||
| 13′ | |||||||
| 14′ | 2.49 (sept, J = 6.9) | ||||||
| 15′ | 0.99 (d, J = 6.9) | ||||||
| 16′ | 1.01 (d, J = 6.9) | ||||||
| 17′ | 2.46 (s) | ||||||
| 18′ | 3.09 (sept, J = 6.5) | ||||||
| 19′ | 1.25 (d, J = 6.5) | ||||||
| 20′ | 1.27 (d, J = 6.5) |
| Test Microorganism | Isolated Compounds | Tetracycline | Ketoconazole | ||||
|---|---|---|---|---|---|---|---|
| 1 | 2 | 3 | 4 | 5 | |||
| S. aureus subsp. aureus | 24 | – | 30 | 27 | – | 25 | – |
| B. subtilis subsp. subtilis | 25 | – | 29 | 29 | – | 24 | – |
| P. aeruginosa | 22 | – | 28 | 29 | – | 24 | – |
| E. coli | 21 | – | 29 | 28 | – | 23 | – |
| A. niger | 12 | – | 17 | 19 | – | – | 32 |
| P. italicum | 13 | – | 20 | 16 | – | – | 30 |
| C. albicans | 20 | – | 19 | 19 | – | – | 29 |
| S. cerevisiae | 19 | – | 17 | 17 | – | – | 32 |
Publisher’s Note: MDPI stays neutral with regard to jurisdictional claims in published maps and institutional affiliations. |
© 2022 by the authors. Licensee MDPI, Basel, Switzerland. This article is an open access article distributed under the terms and conditions of the Creative Commons Attribution (CC BY) license (https://creativecommons.org/licenses/by/4.0/).
Share and Cite
Wu, M.-D.; Cheng, M.-J.; Chen, J.-J.; Khamthong, N.; Lin, W.-W.; Kuo, Y.-H. Secondary Metabolites with Antimicrobial Activities from Chamaecyparis obtusa var. formosana. Molecules 2022, 27, 429. https://doi.org/10.3390/molecules27020429
Wu M-D, Cheng M-J, Chen J-J, Khamthong N, Lin W-W, Kuo Y-H. Secondary Metabolites with Antimicrobial Activities from Chamaecyparis obtusa var. formosana. Molecules. 2022; 27(2):429. https://doi.org/10.3390/molecules27020429
Chicago/Turabian StyleWu, Ming-Der, Ming-Jen Cheng, Jih-Jung Chen, Nanthaphong Khamthong, Wen-Wei Lin, and Yueh-Hsiung Kuo. 2022. "Secondary Metabolites with Antimicrobial Activities from Chamaecyparis obtusa var. formosana" Molecules 27, no. 2: 429. https://doi.org/10.3390/molecules27020429
APA StyleWu, M.-D., Cheng, M.-J., Chen, J.-J., Khamthong, N., Lin, W.-W., & Kuo, Y.-H. (2022). Secondary Metabolites with Antimicrobial Activities from Chamaecyparis obtusa var. formosana. Molecules, 27(2), 429. https://doi.org/10.3390/molecules27020429

