RETRACTED: Fluorescent and Phosphorescent Nitrogen-Containing Heterocycles and Crown Ethers: Biological and Pharmaceutical Applications
Abstract
1. Introduction
2. Applications of Heterocyclic Compounds
2.1. Anti-Mycobacterial Activity
2.2. Anticancer Activity
2.3. Therapeutic and Biological Applications
2.4. Antiparasitic Activity of Metalloporphyrins and Their Role as Potentiometric Biosensors
2.5. Antioxidant Activity
2.6. Neuroprotective Agents
2.7. Bioorganic Activity of 1,4-Dihydropyridines
2.8. Antihypertensive and Antibacterial Activity
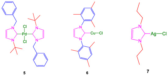
2.9. Anti-Microbial, Antifungal and Antitumor Activities of Metal N-Heterocyclic Carbine Complexes
2.10. Anti-Malarial, Anti-HIV, and Antibacterial Activities of Carbazoles
2.11. 1,2,4-Oxa-diazoles Activity as Peptidomimetics and Bioisosteres
2.12. Anti-Microbial Activity of 2-Chloro-5-methylpyridine-3-olefin Derivatives
2.13. Antitumor Activity
2.14. Antioxidant Activity of Halogenated β-Carbolines
2.15. Antioxidants and Various Other Important Roles
2.16. Photodynamic Therapy of Phthalocyanines
2.17. Drug Activity and DNA Targeting Activity of Coumarins and Phenanthridines
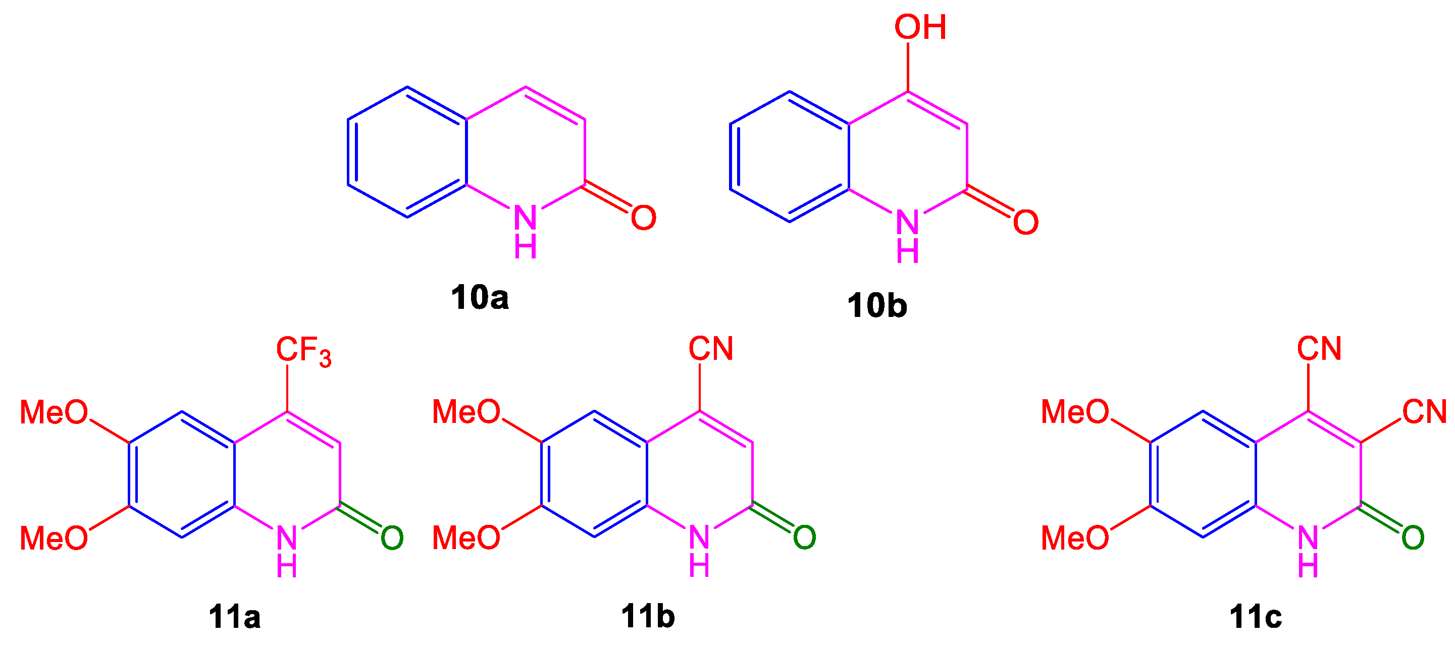
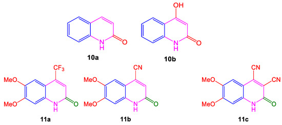
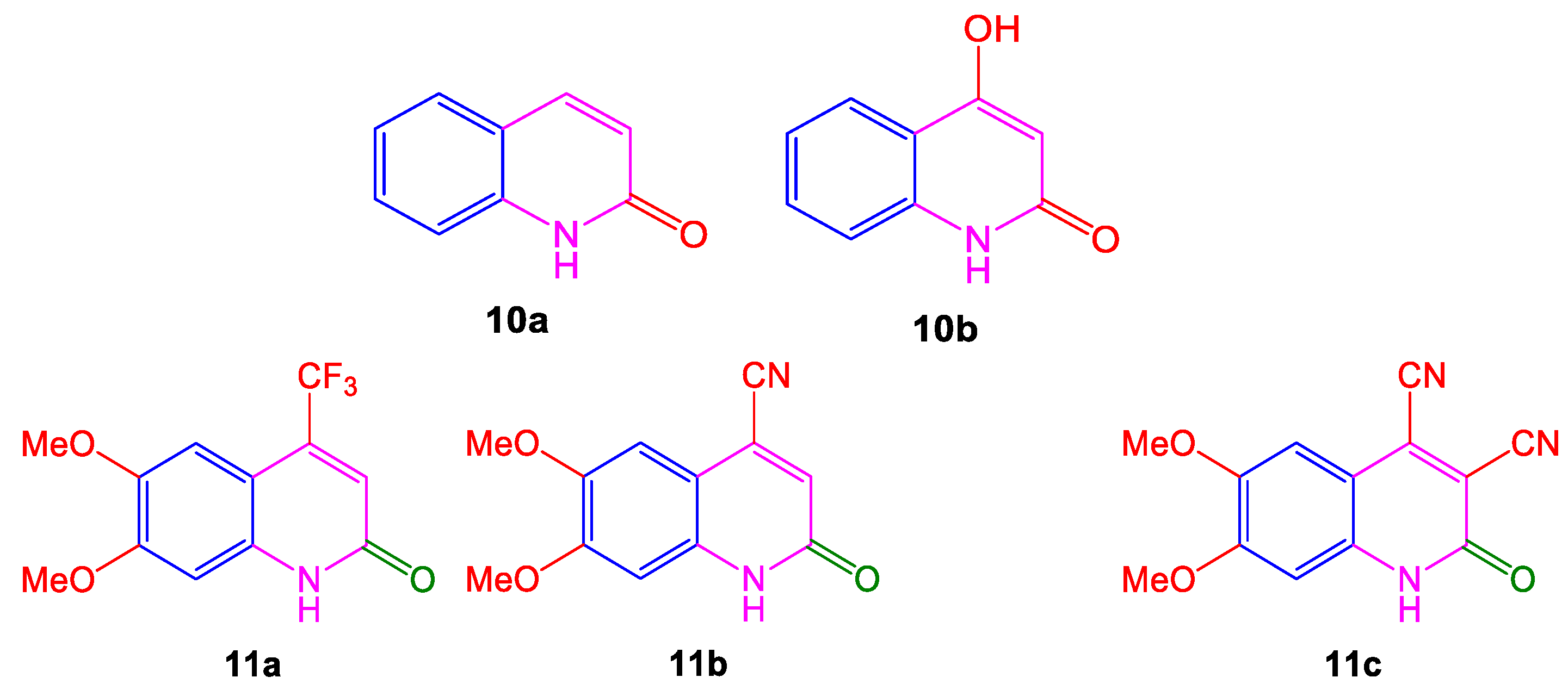
2.18. Applications of Fluorescent Quinolones, Quinolines and Their Derivatives
2.19. Photochemical Applications of Imidazo[1,2-a]pyridine Derivatives
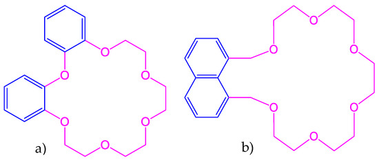
2.20. Importance of Some Crown Ethers in Physical and Biochemistry
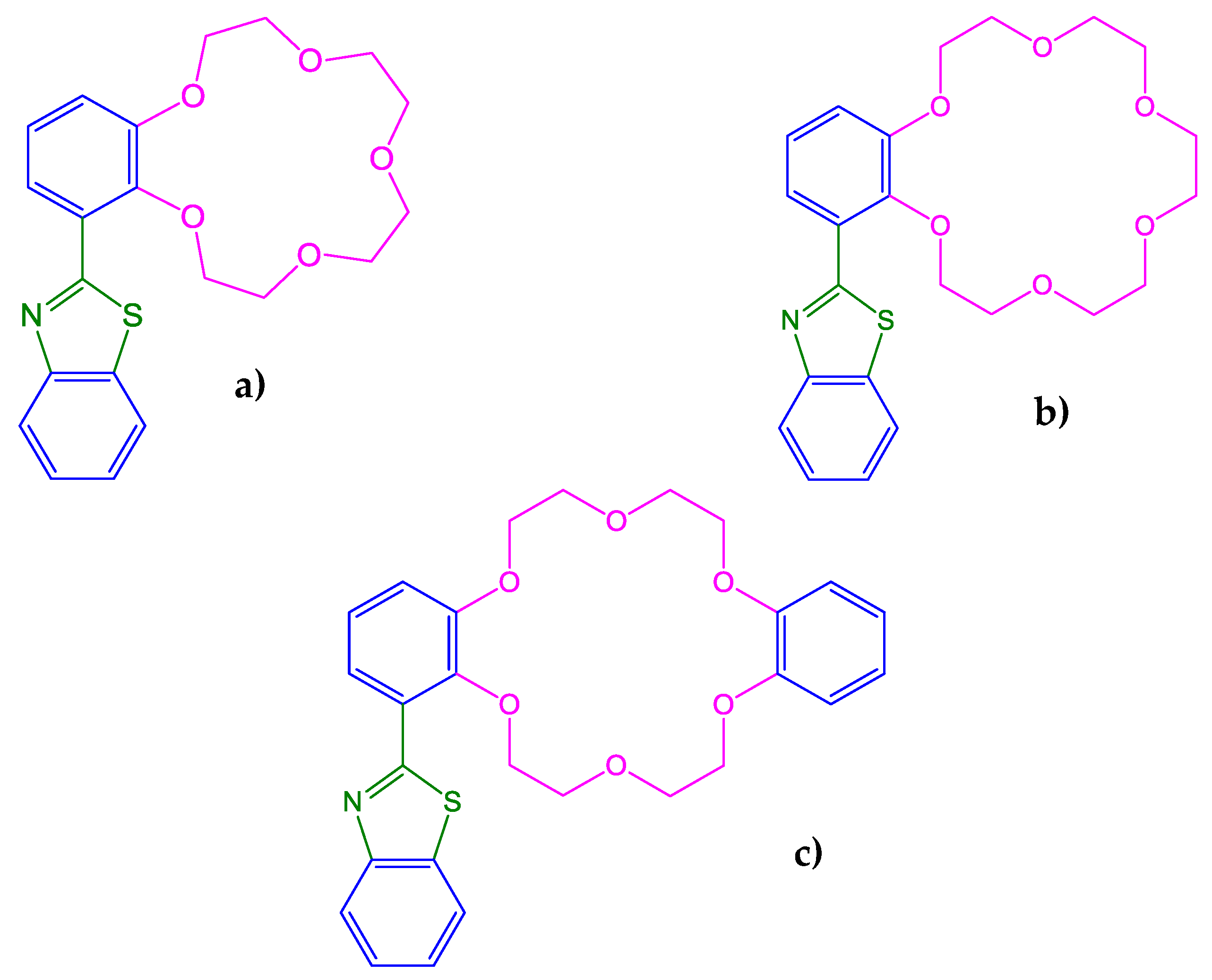
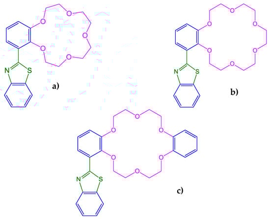
2.21. Application of Benzothiazole Crown Ethers as Metal Ion Sensors
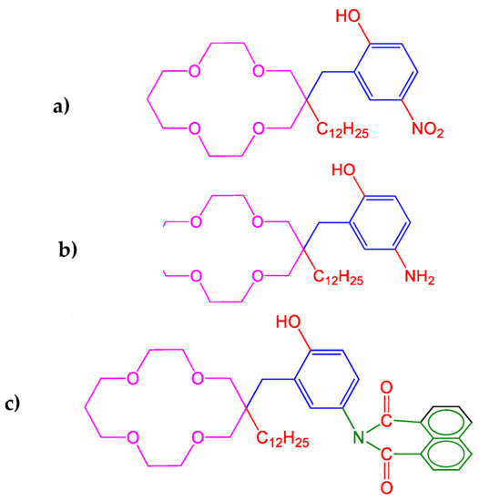
2.22. Use of Fluorescent 14-Crown-4 Derivatives in Lithium-Ion Extraction
2.23. Biological Activity of Naphthoquinones
2.24. Nitro-Heterocycle and Their Biological Activity
2.25. Biological Activity of Imidazothiazoles
2.26. NHC (N-Heterocyclic Complexes) with Transition Metals
3. Conclusions
Author Contributions
Funding
Institutional Review Board Statement
Informed Consent Statement
Data Availability Statement
Acknowledgments
Conflicts of Interest
References
- Sanderson, M.J.; Smith, I.; Parker, I.; Bootman, M.D. Fluorescence microscopy. Cold Spring Harb. Protoc. 2014, 2014, 1042–1065. [Google Scholar] [CrossRef]
- Schulman, S.; Sharma, A. Introduction to fluorescence spectroscopy. Microchem. J. 2000, 65, 353. [Google Scholar] [CrossRef]
- McGown, L.B.; Nithipahkom, K. Molecular fluorescence and phosphorescence. Appl. Spectrosc. Rev. 2000, 35, 353–393. [Google Scholar] [CrossRef]
- Derkowska-Zielinska, B.; Skowronski, L.; Biitseva, A.; Grabowski, A.; Naparty, M.K.; Smokal, V.; Kysil, A.; Krupka, O. Optical characterization of heterocyclic azo dyes containing polymers thin films. Appl. Surf. Sci. 2017, 421, 361–366. [Google Scholar] [CrossRef]
- Maliyappa, M.R.; Keshavayya, J.; Mallikarjuna, N.M.; Krishna, P.M.; Shivakumara, N.; Sandeep, T.; Sailaja, K.; Nazrulla, M.A. Synthesis, characterization, pharmacological and computational studies of 4, 5, 6, 7-tetrahydro-1, 3-benzothiazole incorporated azo dyes. J. Mol. Struct. 2018, 1179, 630–641. [Google Scholar] [CrossRef]
- Xu, S.; Chen, R.; Zheng, C.; Huang, W. Excited State Modulation for Organic Afterglow: Materials and Applications. Adv. Mater. 2016, 28, 9920–9940. [Google Scholar] [CrossRef] [PubMed]
- Escribano, P.; Julián-López, B.; Planelles-Aragó, J.; Cordoncillo, E.; Viana, B.; Sanchez, C. Photonic and nanobiophotonic properties of luminescent lanthanide-doped hybrid organic-inorganic materials. J. Mater. Chem. 2008, 18, 23–40. [Google Scholar] [CrossRef]
- Khattab, T.A.; Abd El-Aziz, M.; Abdelrahman, M.S.; El-Zawahry, M.; Kamel, S. Development of long-persistent photoluminescent epoxy resin immobilized with europium (II)-doped strontium aluminate. Luminescence 2020, 35, 478–485. [Google Scholar] [CrossRef] [PubMed]
- Muhr, V.; Würth, C.; Kraft, M.; Buchner, M.; Baeumner, A.J.; Resch-Genger, U.; Hirsch, T. Particle-Size-Dependent Förster Resonance Energy Transfer from Upconversion Nanoparticles to Organic Dyes. Anal. Chem. 2017, 89, 4868–4874. [Google Scholar] [CrossRef]
- Muhamad Sarih, N.; Myers, P.; Slater, A.; Slater, B.; Abdullah, Z.; Tajuddin, H.A.; Maher, S. White Light Emission from a Simple Mixture of Fluorescent Organic Compounds. Sci. Rep. 2019, 9, 11834. [Google Scholar] [CrossRef] [PubMed]
- Girgis, A.S.; Basta, A.H.; El-Saied, H.; Mohamed, M.A.; Bedair, A.H.; Salim, A.S. Synthesis, quantitative structure–property relationship study of novel fluorescence active 2-pyrazolines and application. R. Soc. Open Sci. 2018, 5, 171964. [Google Scholar] [CrossRef] [PubMed]
- Velic, D.; Knapp, M.; Köhler, G. Supramolecular inclusion complexes between a coumarin dye and β-cyclodextrin, and attachment kinetics of thiolated β-cyclodextrin to gold surface. J. Mol. Struct. 2001, 598, 49–56. [Google Scholar] [CrossRef]
- Wagner, B.D.; Fitzpatrick, S.J. A comparison of the host-guest inclusion complexes of 1,8-ANS and 2,6-ANS in parent and modified cyclodextrins. J. Incl. Phenom. 2000, 38, 467–478. [Google Scholar] [CrossRef]
- Kele, P.; Orbulescu, J.; Calhoun, T.L.; Gawley, R.E.; Leblanc, R.M. Coumaryl crown ether based chemosensors: Selective detection of saxitoxin in the presence of sodium and potassium ions. Tetrahedron Lett. 2002, 43, 4413–4416. [Google Scholar] [CrossRef]
- Li, T.; Pang, H.; Wu, Q.; Huang, M.; Xu, J.; Zheng, L.; Wang, B.; Qiao, Y. Rigid Schiff Base Complex Supermolecular Aggregates as a High-Performance pH Probe: Study on the Enhancement of the Aggregation-Caused Quenching (ACQ) Effect via the Substitution of Halogen Atoms. Int. J. Mol. Sci. 2022, 23, 6259. [Google Scholar] [CrossRef] [PubMed]
- Schönefeld, K.; Barann, A.; Vogel, K.; Feller, K.H.; Kunze, D.; Müller, P.; Weber, E. Fluorescence studies of crown ether complexes—Solvent effects regarding the inclusion properties of host-guest sensor complexes. Int. J. Environ. Anal. Chem. 2005, 85, 655–663. [Google Scholar] [CrossRef]
- Prasad, P.K.; Motiei, L.; Margulies, D. Steps toward enhancing the fluorescence of small-molecule-based protein labels using supramolecular hosts. Results Chem. 2021, 3, 100134. [Google Scholar] [CrossRef]
- Singh, S.K.; Singh, M.; Singh, S.K.; Gangwar, M.; Nath, G. Design, synthesis and mode of action of some benzothiazole derivatives bearing an amide moiety as antibacterial agents. RSC Adv. 2014, 4, 19013–19023. [Google Scholar] [CrossRef]
- Ullah, F.; Khan, T.A.; Iltaf, J.; Anwar, S.; Khan, M.F.A.; Khan, M.R.; Ullah, S.; Rehman, M.F.U.; Mustaqeem, M.; Kotwica-Mojzych, K.; et al. Heterocyclic Crown Ethers with Potential Biological and Pharmacological Properties: From Synthesis to Applications. Appl. Sci. 2022, 12, 1102. [Google Scholar] [CrossRef]
- Cai, K.; Wang, F.; Lu, J.-Q.; Shen, A.-N.; Zhao, S.-M.; Zang, W.-D.; Gui, Y.-H.; Zhao, J.-Y. Nicotinamide Mononucleotide Alleviates Cardiomyopathy Phenotypes Caused by Short-Chain Enoyl-Coa Hydratase 1 Deficiency. JACC Basic Transl. Sci. 2022, 7, 348–362. [Google Scholar] [CrossRef] [PubMed]
- Wu, Z.; Li, C.; Zhang, F.; Huang, S.; Wang, F.; Wang, X.; Jiao, H. High-performance ultra-narrow-band green-emitting phosphor LaMgAl11O19:Mn2+ for wide color-gamut WLED backlight displays. J. Mater. Chem. C 2022, 10, 7443–7448. [Google Scholar] [CrossRef]
- Kityk, A.V. Absorption and fluorescence spectra of heterocyclic isomers from long-range-corrected density functional theory in polarizable continuum approach. J. Phys. Chem. A 2012, 116, 3048–3055. [Google Scholar] [CrossRef] [PubMed]
- Mao, G.; Orita, A.; Fenenko, L.; Yahiro, M.; Adachi, C.; Otera, J. Blue emitting fluorophores of phenyleneethynylenes substituted by diphenylethenyl terminal groups for organic light-emitting diodes. Mater. Chem. Phys. 2009, 115, 378–384. [Google Scholar] [CrossRef]
- Feng, Y.; Li, F.; Yan, J.; Guo, X.; Wang, F.; Shi, H.; Du, J.; Zhang, H.; Gao, Y.; Li, D.; et al. Pan-cancer analysis and experiments with cell lines reveal that the slightly elevated expression of DLGAP5 is involved in clear cell renal cell carcinoma progression. Life Sci. 2021, 287, 120056. [Google Scholar] [CrossRef]
- Qu, Y.-Y.; Zhao, R.; Zhang, H.-L.; Zhou, Q.; Xu, F.-J.; Zhang, X.; Xu, W.-H.; Shao, N.; Zhou, S.-X.; Dai, B.; et al. Inactivation of the AMPK-GATA3-ECHS1 Pathway Induces Fatty Acid Synthesis That Promotes Clear Cell Renal Cell Carcinoma Growth. Cancer Res. 2020, 80, 319–333. [Google Scholar] [CrossRef]
- Mohanty, J.; Pal, H.; Sapre, A.V. Excited singlet (S1) state interactions of 2,2′- and 4,4′-biphenyldiols with chloroalkanes: Photoinduced dissociative electron transfer. J. Chem. Phys. 2002, 116, 8006–8014. [Google Scholar] [CrossRef]
- Yang, W.; Zhang, H.; Liu, Y.; Tang, C.; Xu, X.; Liu, J. Rh(iii)-catalyzed synthesis of dibenzo[b,d]pyran-6-ones from aryl ketone O-acetyl oximes and quinones via C-H activation and C-C bond cleavage. RSC Adv. 2022, 12, 14435–14438. [Google Scholar] [CrossRef]
- Zhang, J.; Lv, J.; Wang, J. The crystal structure of (E)-1-(4-aminophenyl)-3-(p-tolyl)prop-2-en-1-one, C16H15NO. Z. Krist.—New Cryst. Struct. 2022, 237, 385–387. [Google Scholar] [CrossRef]
- Jarolímová, Z.; Vishe, M.; Lacour, J.; Bakker, E. Potassium ion-selective fluorescent and pH independent nanosensors based on functionalized polyether macrocycles. Chem. Sci. 2016, 7, 525–533. [Google Scholar] [CrossRef]
- Li, Y.P.; Yang, H.R.; Zhao, Q.; Song, W.C.; Han, J.; Bu, X.H. Ratiometric and selective fluorescent sensor for Zn 2+ as an “off-on-off” switch and logic gate. Inorg. Chem. 2012, 51, 9642–9648. [Google Scholar] [CrossRef]
- Valeur, B.; Leray, I. Design principles of fluorescent molecular sensors for cation recognition. Coor. Chem. 2000, 205, 3–40. [Google Scholar] [CrossRef]
- Kapoor, S. Fluorescence properties of crown ethers with phenylbenzothiozole pendant group. Chem. Phys. Lett. 2005, 408, 290–294. [Google Scholar] [CrossRef]
- Li, J.; Yim, D.; Jang, W.; Yoon, J. Chem Soc Rev Recent progress in the design and applications of fluorescence probes containing crown ethers. Chem. Soc. Rev. 2016, 46, 2437–2458. [Google Scholar] [CrossRef] [PubMed]
- Erk, C. Cation Recognition with Fluorophore Crown Ethers 1. Ind. Eng. Chem. Res. 2000, 39, 3582–3588. [Google Scholar] [CrossRef]
- Lou, X.Y.; Yang, Y.W. Manipulating Aggregation-Induced Emission with Supramolecular Macrocycles. Adv. Opt. Mater. 2018, 6, 1800668. [Google Scholar] [CrossRef]
- Ji, X.; Dong, S.; Wei, P.; Xia, D.; Huang, F. A novel diblock copolymer with a supramolecular polymer block and a traditional polymer block: Preparation, controllable self-assembly in water, and application in controlled release. Adv. Mater. 2013, 25, 5725–5729. [Google Scholar] [CrossRef]
- Li, B.; He, T.; Fan, Y.; Yuan, X.; Qiu, H.; Yin, S. Recent developments in the construction of metallacycle/metallacage-cored supramolecular polymers: Via hierarchical self-assembly. Chem. Commun. 2019, 55, 8036–8059. [Google Scholar] [CrossRef] [PubMed]
- Całus, S.; Gondek, E.; Danel, A.; Jarosz, B.; Pokładko, M.; Kityk, A.V. Electroluminescence of 6-R-1,3-diphenyl-1H-pyrazolo [3,4-b]quinoline-based organic light-emitting diodes (R = F, Br, Cl, CH3, C2H3 and N(C6H5)2). Mater. Lett. 2007, 61, 3292–3295. [Google Scholar] [CrossRef]
- Yan, H.; Cui, P.; Liu, C.; Yuan, S. Molecular Dynamics Simulation of Pyrene Solubilized in a Sodium Dodecyl Sulfate Micelle. Langmuir 2012, 28, 4931–4938. [Google Scholar] [CrossRef]
- Ga̧siorski, P.; Danel, K.S.; Matusiewicz, M.; Uchacz, T.; Kityk, A.V. From pirazoloquinolines to annulated azulene dyes: UVVIS spectroscopy and quantum chemical study. J. Lumin. 2010, 130, 2460–2468. [Google Scholar] [CrossRef]
- Stites, T.E.; Mitchell, A.E.; Rucker, R.B. Physiological importance of quinoenzymes and the O-quinone family of cofactors. J. Nutr. 2000, 130, 719–727. [Google Scholar] [CrossRef]
- Castro, M.C.R.; Schellenberg, P.; Belsley, M.; Fonseca, A.M.C.; Fernandes, S.S.M.; Raposo, M.M.M. Design, synthesis and evaluation of redox, second order nonlinear optical properties and theoretical DFT studies of novel bithiophene azo dyes functionalized with thiadiazole acceptor groups. Dye. Pigment. 2012, 95, 392–399. [Google Scholar] [CrossRef]
- Beyzaei, H.; Aryan, R.; Moghaddam-Manesh, M.; Ghasemi, B.; Karimi, P.; Samareh Delarami, H.; Sanchooli, M. Evaluation and structure-activity relationship analysis of a new series of 4-imino-5H-pyrazolo [3,4-d]pyrimidin-5-amines as potential antibacterial agents. J. Mol. Struct. 2017, 1144, 273–279. [Google Scholar] [CrossRef]
- Raposo, M.M.M.; Castro, M.C.R.; Fonseca, A.M.C.; Schellenberg, P.; Belsley, M. Design, synthesis, and characterization of the electrochemical, nonlinear optical properties, and theoretical studies of novel thienylpyrrole azo dyes bearing benzothiazole acceptor groups. Tetrahedron 2011, 67, 5189–5198. [Google Scholar] [CrossRef]
- Huang, X.; Groves, J.T. Oxygen Activation and Radical Transformations in Heme Proteins and Metalloporphyrins. Chem. Rev. 2018, 118, 2491–2553. [Google Scholar] [CrossRef]
- Maliyappa, M.R.; Keshavayya, J.; Mallikarjuna, N.M.; Pushpavathi, I. Novel substituted aniline based heterocyclic dispersed azo dyes coupling with 5-methyl-2-(6-methyl-1, 3-benzothiazol-2-yl)-2, 4-dihydro-3H-pyrazol-3-one: Synthesis, structural, computational and biological studies. J. Mol. Struct. 2019, 1205, 127576. [Google Scholar] [CrossRef]
- Khan, F.A.; Ali, G.; Rahman, K.; Khan, Y.; Ayaz, M.; Mosa, O.F.; Nawaz, A.; Hassan, S.S.U.; Bungau, S. Efficacy of 2-Hydroxyflavanone in Rodent Models of Pain and Inflammation: Involvement of Opioidergic and GABAergic Anti-Nociceptive Mechanisms. Molecules 2022, 27, 5431. [Google Scholar] [CrossRef]
- Mahmood, F.; Khan, J.A.; Mahnashi, M.H.; Jan, M.S.; Javed, M.A.; Rashid, U.; Sadiq, A.; Hassan, S.S.U.; Bungau, S. Anti-Inflammatory, Analgesic and Antioxidant Potential of New (2S,3S)-2-(4-isopropylbenzyl)-2-methyl-4-nitro-3-phenylbutanals and Their Corresponding Carboxylic Acids through In Vitro, In Silico and In Vivo Studies. Molecules 2022, 27, 4068. [Google Scholar] [CrossRef]
- Muhammad, I.; Luo, W.; Shoaib, R.M.; Li, G.L.; Hassan, S.S.U.; Yang, Z.H.; Xiao, X.; Tu, G.L.; Yan, S.K.; Ma, X.P.; et al. Guaiane-type sesquiterpenoids from Cinnamomum migao H. W. Li: And their anti-inflammatory activities. Phytochemistry 2021, 190, 112850. [Google Scholar] [CrossRef] [PubMed]
- Rashad, A.E.; Shamroukh, A.H.; Abdel-megeid, R.E.; Mostafa, A.; El-shesheny, R.; Kandeil, A.; Ali, M.A.; Banert, K. European Journal of Medicinal Chemistry Synthesis and screening of some novel fused thiophene and thienopyrimidine derivatives for anti-avian in fl uenza virus (H5N1) activity. Eur. J. Med. Chem. 2010, 45, 5251–5257. [Google Scholar] [CrossRef]
- Baleiz, C. Synthesis and fl uorescence properties of aminocyanopyrrole and aminocyanothiophene esthers for biomedical and bioimaging applications. J. Mol. Struct. 2020, 1209, 127974. [Google Scholar] [CrossRef]
- Imran, M.; Ramzan, M.; Qureshi, A.K.; Khan, M.A.; Tariq, M. Emerging Applications of Porphyrins and Metalloporphyrins in Biomedicine and Diagnostic Magnetic Resonance Imaging. Biosensors 2018, 8, 95. [Google Scholar] [CrossRef]
- Zhang, X.; Qu, Y.; Liu, L.; Qiao, Y.; Geng, H.; Lin, Y.; Zhao, J. Homocysteine inhibits pro-insulin receptor cleavage and causes insulin resistance via protein cysteine-homocysteinylation. Cell Rep. 2021, 37, 109821. [Google Scholar] [CrossRef]
- Garcia, C.R.S.; Deda, D.K.; Iglesias, B.A.; Alves, E.; Araki, K. Porphyrin Derivative Nanoformulations for Therapy and Antiparasitic Agents. Molecules 2020, 25, 2080. [Google Scholar] [CrossRef]
- Awad, H.H.; El-tayeb, T.A.; Abd El-aziz, N.M.; Abdelkader, M.A. A Semi-field Study on the Effect of Novel Hematoporphyrin Formula on the Control of Culex pipiens Larvae. J. Agric. Soc. Sci. 2008, 85–88. [Google Scholar]
- Lucantoni, L.; Magaraggia, M.; Lupidi, G.; Ouedraogo, R.K.; Esposito, F.; Fabris, C.; Jori, G.; Habluetzel, A. Novel, Meso-Substituted Cationic Porphyrin Molecule for Photo-Mediated Larval Control of the Dengue Vector Aedes aegypti. J. Pntd. 2011, 5, e1434. [Google Scholar] [CrossRef]
- Fabris, C.; Kossivi, R.; Coppellotti, O.; Dabiré, R.K.; Diabaté, A.; Di, P.; Guidolin, L.; Jori, G.; Lucantoni, L.; Lupidi, G.; et al. Acta Tropica Efficacy of sunlight-activatable porphyrin formulates on larvae of Anopheles gambiae M and S molecular forms and An arabiensis: A potential novel biolarvicide for integrated malaria vector control. Acta Trop. 2012, 123, 239–243. [Google Scholar] [CrossRef]
- Ben Amor, T.; Jori, G. Sunlight-activated insecticides: Historical background and mechanisms of phototoxic activity. Insect Biochem. Mol. Biol. 2000, 30, 915–925. [Google Scholar] [CrossRef]
- Nishida, J.; Kawabata, J. DPPH Radical Scavenging Reaction of Hydroxy- and Methoxychalcones. Biosci. Biotechnol. Biochem. 2016, 8451, 193–202. [Google Scholar] [CrossRef]
- Joubert, J.; Van Dyk, S.; Green, I.R.; Malan, S.F. Bioorganic & Medicinal Chemistry Synthesis and evaluation of fluorescent heterocyclic aminoadamantanes as multifunctional neuroprotective agents. Bioorg. Med. Chem. 2011, 19, 3935–3944. [Google Scholar] [CrossRef]
- Hassan, S.S.U.; Abdel-Daim, M.M.; Behl, T.; Bungau, S. Natural Products for Chronic Diseases: A Ray of Hope. Molecules 2022, 27, 5573. [Google Scholar] [CrossRef] [PubMed]
- Memarian, H.R.; Mirjafari, A. Solid state photochemistry of 1, 4-dihydropyridines. Bioorg. Med. Chem. Lett. 2005, 15, 3423–3425. [Google Scholar] [CrossRef]
- Mishra, R.; Siddiqui, A.A.; Husain, A.; Rashid, M.; Prakash, A.; Tailang, M.; Kumar, M.; Srivastava, N. Synthesis, characterization and antihypertensive activity of some new substituted pyridazine derivatives. J. Chil. Chem. Soc. 2011, 56, 856–859. [Google Scholar] [CrossRef]
- Xu, S.; Tao, H.; Cao, W.; Cao, L.; Lin, Y.; Zhao, S.-M.; Xu, W.; Cao, J.; Zhao, J.-Y. Ketogenic diets inhibit mitochondrial biogenesis and induce cardiac fibrosis. Signal Transduct. Target. Ther. 2021, 6, 54. [Google Scholar] [CrossRef] [PubMed]
- Hassan, S.S.U.; Muhammad, I.; Abbas, S.Q.; Hassan, M.; Majid, M.; Jin, H.Z.; Bungau, S. Stress driven discovery of natural products from actinobacteria with anti-oxidant and cytotoxic activities including docking and admet properties. Int. J. Mol. Sci. 2021, 22, 11432. [Google Scholar] [CrossRef]
- Song, K.; Wu, D. Shared decision-making in the management of patients with inflammatory bowel disease. World J. Gastroenterol. 2022, 28, 3092–3100. [Google Scholar] [CrossRef]
- Buscemi, S.; Pace, A.; Pibiri, I. Fluorinated heterocyclic compounds: An assay on the photochemistry of some fluorinated 1-oxa-2-azoles: An expedient route to fluorinated heterocycles. J. Fluor. Chem. 2004, 125, 165–173. [Google Scholar] [CrossRef]
- Buscemi, S.; Pace, A.; Piccionello, A.P.; Pibiri, I.; Vivona, N. Fluorinated heterocyclic compounds. A photochemical synthesisof 3-amino-5-perfluoroaryl-1,2,4-oxadiazoles. Heterocycles 2001, 57, 5865–5871. [Google Scholar] [CrossRef]
- Gangadasu, B.; Ram, M.J.; Ravinder, M.; Kumar, S.B.; Kumar, K.P.; Murthy, U.S.N.; Rao, V.J. European Journal of Medicinal Chemistry Synthesis, photochemical E (trans)/Z (cis) isomerization and antimicrobial activity of 2-chloro-5-methylpyridine-3-olefin derivatives. Eur. J. Med. Chem. 2009, 44, 4661–4667. [Google Scholar] [CrossRef]
- Star, K.; Kralj, M.; Piantanida, I.; Lidija, Š.; Karminski-zamola, G. Synthesis, photochemical synthesis, DNA binding and antitumor evaluation of novel cyano- and amidino-substituted derivatives of naphtho-furans, and their acyclic precursors. Eur. J. Med. Chem. 2006, 41, 925–939. [Google Scholar] [CrossRef]
- Rasse-Suriani, F.A.O.; Denofri, M.P.; Yañu, J.G.; Gonzalez, M.M.; Wolcan, E.; Seifermann, M.; Erra-Balsells, R.; Cabrerizo, F.M. Chemical And Photochemical Properties of Chloroharmine Derivatives in Aqueous Solutions. Phys. Chem. Chem. Phys. 2015, 18, 3–30. [Google Scholar] [CrossRef] [PubMed]
- Pietta, P. Flavonoids as Antioxidants. J. Nat. Prod. 2000, 63, 1035–1042. [Google Scholar] [CrossRef]
- Arai, Y.; Watanabe, S.; Kimira, M.; Shimoi, K.; Mochizuki, R.; Kinae, N. Human Nutrition and Metabolism Dietary Intakes of Flavonols, Flavones and Isoflavones by Japanese Women and the Inverse Correlation between Quercetin Intake and Plasma LDL Cholesterol Concentration 1. J. Nutr. 2000, 130, 2243–2250. [Google Scholar] [CrossRef]
- Sisa, M.; Bonnet, S.L.; Ferreira, D.; Westhuizen, J.H. Photochemistry of Flavonoids. Molecules 2010, 15, 5196–5245. [Google Scholar] [CrossRef]
- Tedesco, A.C.; Rotta, J.C.G.; Lunardi, C.N. Synthesis, Photophysical and Photochemical Aspects of Phthalocyanines for Photodynamic Therapy. Cur. Org. Chem. 2003, 7, 187–196. [Google Scholar] [CrossRef]
- Kampranis, S.C.; Gormley, N.A.; Tranter, R.; Orphanides, G.; Maxwell, A.; Uni, V.; Le, L. Probing the Binding of Coumarins and Cyclothialidines to DNA Gyrase. Biochemistry 1999, 38, 1967–1976. [Google Scholar] [CrossRef]
- Wang, D.; Zhao, R.; Qu, Y.-Y.; Mei, X.-Y.; Zhang, X.; Zhou, Q.; Li, Y.; Yang, S.-B.; Zuo, Z.-G.; Chen, Y.-M.; et al. Colonic Lysine Homocysteinylation Induced by High-Fat Diet Suppresses DNA Damage Repair. Cell Rep. 2018, 25. [Google Scholar] [CrossRef]
- Li, Y.; Yao, C.-F.; Xu, F.-J.; Qu, Y.-Y.; Li, J.-T.; Lin, Y.; Cao, Z.-L.; Lin, P.-C.; Xu, W.; Zhao, S.-M.; et al. APC/C(CDH1) synchronizes ribose-5-phosphate levels and DNA synthesis to cell cycle progression. Nat. Commun. 2019, 10, 2502. [Google Scholar] [CrossRef]
- Zhang, N.; Zhao, Y.; Zhang, H.; Wang, H. Sensitive determination of aliphatic amines by high- performance liquid chromatography with a new carboxaldehyde. J. Sep. Sci. 2008, 31, 38–46. [Google Scholar] [CrossRef]
- Stadlbauer, W.; Avhale, A.B.; Badgujar, N.S.; Uray, G. Syntheses and Fluorescent Properties of 2-Amino Substituted 6, 7-Dimethoxy-4- (trifluoromethyl) quinolines. J. Heterocycl. Chem. 2009, 40, 3–8. [Google Scholar] [CrossRef]
- Dhanapal, R.; Perumal, P.T.; Damodiran, M.; Ramprasath, C. Bioorganic & Medicinal Chemistry Letters Synthesis of quinoline derivatives for fluorescent imaging certain bacteria. Bioorg. Med. Chem. Lett. 2012, 22, 6494–6497. [Google Scholar] [CrossRef] [PubMed]
- Kovalska, V.B.; Volkova, K.D.; Manaev, A.V.; Yu, M.; Okhrimenko, I.N.; Traven, V.F.; Yarmoluk, S.M. Dyes and Pigments 2-Quinolone and coumarin polymethines for the detection of proteins using fluorescence. Dye. Pigment. 2010, 84, 159–164. [Google Scholar] [CrossRef]
- Aly, A.A.; Ramadan, M.; Abuo-rahma, G.E.A. Quinolones as prospective drugs: Their syntheses and biological applications. Adv. Heterocycl. Chem. 2020, 135, 147–196. [Google Scholar] [CrossRef]
- Kovalska, V.B.; Losytskyy, M.Y.; Kryvorotenko, D.V.; Balanda, A.O.; Tokar, V.P.; Yarmoluk, S.M. Synthesis of novel fluorescent styryl dyes based on the imidazo [1,2-a] pyridinium chromophore and their spectral-fluorescent properties in the presence of nucleic acids and proteins. Dye. Pigment. 2006, 68, 39–45. [Google Scholar] [CrossRef]
- Laquintana, V.; Denora, N.; Lopedota, A.; Suzuki, H.; Sawada, M.; Serra, M.; Farmaco-chimico, D.; Orabona, V.; Sperimentale, B.; Neuroscienze, S.; et al. N-Benzyl-2-(6,8-dichloro-2-(4-chlorophenyl)imidazo[1,2-a]pyridin-3-yl)-N-(6- (7-nitrobenzo [c][1,2,5] oxadiazol-4-ylamino) hexyl) acetamide as a New Fluorescent Probe for Peripheral Benzodiazepine Receptor and Microglial Cell Visualization. Bioconjugate Chem. 2007, 18, 1397–1407. [Google Scholar] [CrossRef] [PubMed]
- Kralj, M.; Tušek-Božić, L.; Frkanec, L. Biomedical Potentials of Crown Ethers: Prospective Antitumor Agents. Chem. Med. Chem. 2008, 3, 1478–1492. [Google Scholar] [CrossRef]
- Mashraqui, S.H.; Kumar, S.; Vashi, D. Synthesis, Cation-Binding and Optical Spectral Studies of Photoemmitive. J. Incl. Phenom. Macrocycl. Chem. 2004, 48, 125–130. [Google Scholar] [CrossRef]
- Czech, B.P.; Babb, D.A.; Son, B.; Bartsch, R.A. Functionalized 13-Crown-4, 14-Crown-4, 15-Crown-4, and 16-Crown-4 Compounds: Synthesis and Lithium Ion Complexation. J. Org. Chem. 1984, 49, 4805–4810. [Google Scholar] [CrossRef]
- Majid, M.; Farhan, A.; Asad, M.I.; Khan, M.R.; Hassan, S.S.U.; Haq, I.-U.; Bungau, S. An Extensive Pharmacological Evaluation of New Anti-Cancer Triterpenoid (Nummularic Acid) from Ipomoea batatas through In Vitro, In Silico, and In Vivo Studies. Molecules 2022, 27, 2474. [Google Scholar] [CrossRef]
- Shams ul Hassan, S.; Abbas, S.Q.; Hassan, M.; Jin, H.-Z. Computational Exploration of Anti-Cancer Potential of Guaiane Dimers from Xylopia vielana by Targeting B-Raf Kinase Using Chemo-Informatics, Molecular Docking and MD Simulation Studies. Anti-Cancer Agents Med. Chem. 2021, 21, 1–16. [Google Scholar] [CrossRef]
- Fascio, M.L.; Errea, M.I.; D’Accorso, N.B. Imidazothiazole and related heterocyclic systems. Synthesis, chemical and biological properties. Eur. J. Med. Chem. 2015, 90, 666–683. [Google Scholar] [CrossRef] [PubMed]
- Sayin, K.; Kariper, S.E.; Taştan, M.; Sayin, T.A.; Karakaş, D. Investigations of structural, spectral, electronic and biological properties of N-heterocyclic carbene Ag(I) and Pd(II) complexes. J. Mol. Struct. 2019, 1176, 478–487. [Google Scholar] [CrossRef]
- Wu, Z. Molecular imaging of human tumor cells that naturally overexpress type 2 cannabinoid receptors using a fluorescent probe overexpress type 2 cannabinoid receptors using. J. Biomed. Opt. 2014, 19, 076016. [Google Scholar] [CrossRef] [PubMed]
- Rahimizadeh, M.; Pordel, M.; Bakavoli, M.; Eshghi, H. Dyes and Pigments The synthesis of highly fluorescent heterocyclic compounds: Pyrido [2 0, 1 0: 2, 3] imidazo [4, 5-b] quinoline-12-yl cyanides. Dye. Pigment. 2010, 86, 266–270. [Google Scholar] [CrossRef]














| IC50 (μM) | ||||
|---|---|---|---|---|
| Compounds | HCT116 | A549 | Jurkat | K562 |
| 1a | 34.65 ± 0.35 | ˃50 | ˃50 | ˃50 |
| 1b | ˃50 | ˃50 | ˃50 | ˃50 |
| 1c | 43.33 ± 0.14 | ˃50 | ˃50 | ˃50 |
| 1d | 48.19 ± 0.31 | ˃50 | ˃50 | ˃50 |
| Compounds | Biological Properties | References | |
|---|---|---|---|
| 1 | Azo dye compounds (1a–d) | Anti-bacterial Anti-tuberculosis Anticancer | [5,46] |
| 2 | 3-aminopyrroles derivatives Thiophene compounds | Anti-inflammatory Antibacterial Analgesic Antiviral Antipyretic Anti-convulsant | [47,50] |
| 3 | 2-aminothiophene product | Bio-imaging | [51] |
| 4 | Metalloporphyrins | Photochemistry and spectroscopy Potentiometric sensors Antiparasitic | [54,55,56] |
| 5 | Fluorescent heterocycles (2a–c) Aminoadamantane compounds | Antioxidant Neuroprotection | [60] |
| 6 | Dihydropyridines (3 and 4) | Antihypertensive agents Cardiovascular protection | [61,62,63] |
| 7 | Metal N-heterocyclic carbine complexes (5–7) | Anti-microbial Antifungal Anticancer | [64] |
| 8 | Oxadiazole derivatives | Photo-reactivity Peptidomimetics Bioisosteres | [67,68] |
| 9 | 2-chloro-5-methylpyridine-3-olefin derivatives (8a–e), (9a–e) | Photobiology Photochemistry | [69] |
| 10 | Naphtha furans and thiophenes | Antitumor | [70] |
| 11 | Halogenated β-carbolines | Antioxidant | [71] |
| 12 | Flavonoids | Antioxidants Reduced cholesterol absorption Improved blood flow Photochemistry and Photostability | [72,73,74] |
| 13 | Phthalocyanines | Antitumor Photodynamic therapy Drug delivery systems | [75,76] |
| 14 | Coumarins and phenanthridines | Intrinsic fluorescence properties Light-sensitive properties Dyes and DNA targeting agents | [77,78] |
| 15 | Quinolones, quinolines and their derivatives (10a–b), (11a–b), (12a–b), and (13a–c) | Fluorescence Chemosensing Fluorescent probes for bacterial and tumour cells Metal ions detection Fluorescent markers Optical brighteners Luminophores UV absorbers Colourants | [79,80,81,82,83] |
| 16 | Imidazole pyridine derivatives (14a–e) | Fluorescence Fluorescent probes | [84,85] |
| 17 | Crown ethers (15a–b) | Fluorescence Fluorescence quenching and enhancement Chelation of alkali metal cations | [86] |
| 18 | Benzothiazole crown ethers (16a–c) | Chemosensors Fluorescence-based metal ion sensors Quenching effects Fluorescent enhancement | [87] |
| 19 | 14-crown-4 derivatives (17a–c) | Lithium-ion extraction | [88] |
| 20 | Naphthoquinones | Antiplasmodial Trypanocidal Anticancer Anti-protozoans Antibacterial activities | [89] |
| 21 | Nitro-heterocycle | Antibacterial Antifungal Anticancer | [90] |
| 22 | Imidazothiazoles | Anti-psychotic Antifungal Anti-tumour Anti-microbial | [91] |
| 23 | N-Heterocyclic Complexes | Antibacterial Anticancer Antifungal Antimicrobial | [92] |
Publisher’s Note: MDPI stays neutral with regard to jurisdictional claims in published maps and institutional affiliations. |
© 2022 by the authors. Licensee MDPI, Basel, Switzerland. This article is an open access article distributed under the terms and conditions of the Creative Commons Attribution (CC BY) license (https://creativecommons.org/licenses/by/4.0/).
Share and Cite
Ullah, F.; Ullah, S.; Khan, M.F.A.; Mustaqeem, M.; Paracha, R.N.; Rehman, M.F.u.; Kanwal, F.; Hassan, S.S.u.; Bungau, S. RETRACTED: Fluorescent and Phosphorescent Nitrogen-Containing Heterocycles and Crown Ethers: Biological and Pharmaceutical Applications. Molecules 2022, 27, 6631. https://doi.org/10.3390/molecules27196631
Ullah F, Ullah S, Khan MFA, Mustaqeem M, Paracha RN, Rehman MFu, Kanwal F, Hassan SSu, Bungau S. RETRACTED: Fluorescent and Phosphorescent Nitrogen-Containing Heterocycles and Crown Ethers: Biological and Pharmaceutical Applications. Molecules. 2022; 27(19):6631. https://doi.org/10.3390/molecules27196631
Chicago/Turabian StyleUllah, Faiz, Sami Ullah, Muhammad Farhan Ali Khan, Muhammad Mustaqeem, Rizwan Nasir Paracha, Muhammad Fayyaz ur Rehman, Fariha Kanwal, Syed Shams ul Hassan, and Simona Bungau. 2022. "RETRACTED: Fluorescent and Phosphorescent Nitrogen-Containing Heterocycles and Crown Ethers: Biological and Pharmaceutical Applications" Molecules 27, no. 19: 6631. https://doi.org/10.3390/molecules27196631
APA StyleUllah, F., Ullah, S., Khan, M. F. A., Mustaqeem, M., Paracha, R. N., Rehman, M. F. u., Kanwal, F., Hassan, S. S. u., & Bungau, S. (2022). RETRACTED: Fluorescent and Phosphorescent Nitrogen-Containing Heterocycles and Crown Ethers: Biological and Pharmaceutical Applications. Molecules, 27(19), 6631. https://doi.org/10.3390/molecules27196631

