Novel 4-Azapregnene Derivatives as Potential Anticancer Agents: Synthesis, Antiproliferative Activity and Molecular Docking Studies
Abstract
1. Introduction
2. Results and Discussion
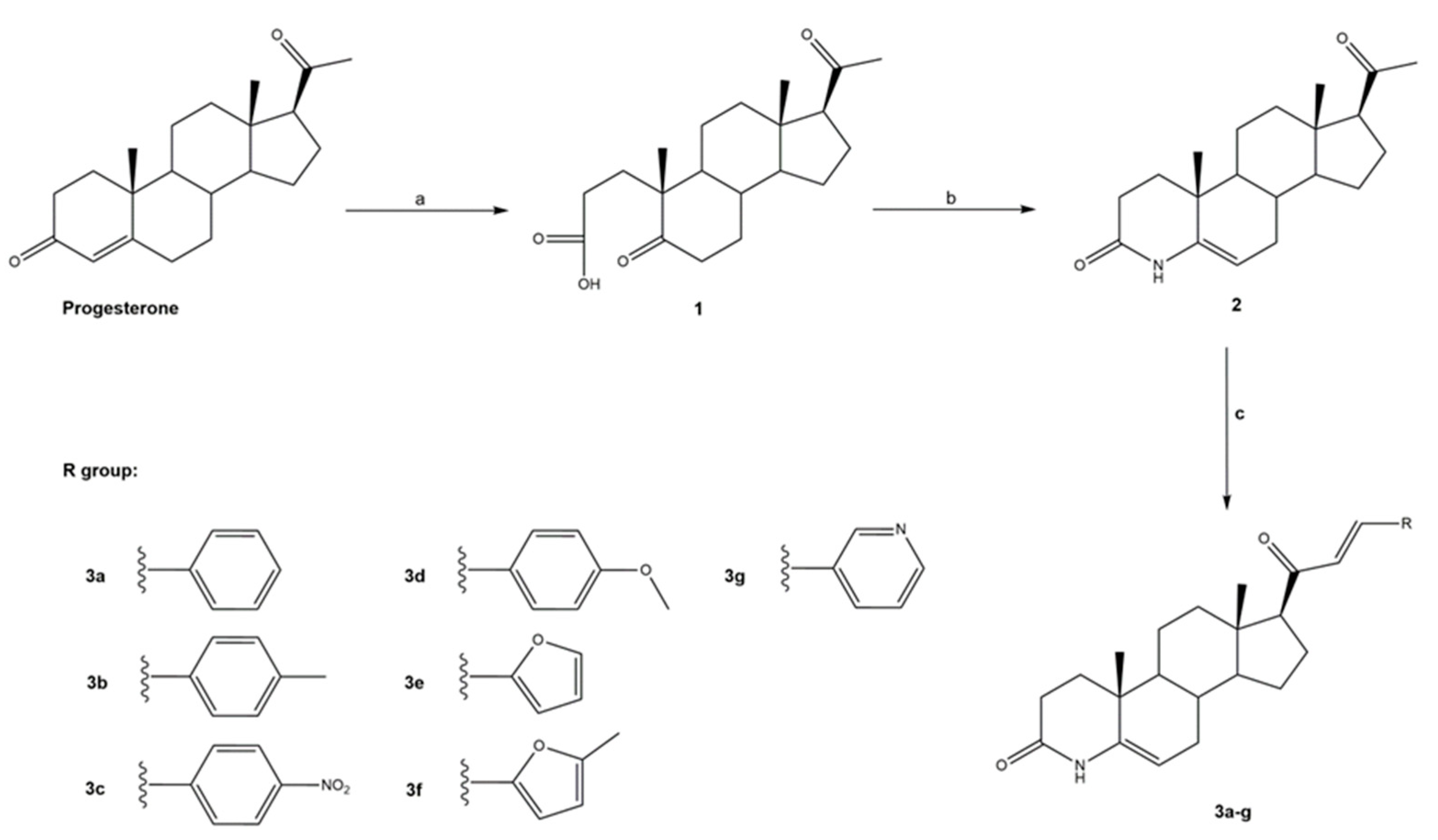
2.1. Chemistry
2.2. Biology
2.2.1. Screening of Cell Proliferation Effects
2.2.2. Characterization of the Cytotoxic Effect of 3g on T47-D Cells
2.2.3. Characterization of the Cytotoxic Effect of 3g on LNCaP Cells
2.3. Molecular Docking
3. Materials and Methods
3.1. Chemistry
3.1.1. General Considerations
3.1.2. Synthesis
3.2. Biology
3.2.1. Cell Culture
3.2.2. Preparation of Compounds Solutions
3.2.3. MTT Cell Proliferation Assay [38]
3.2.4. Fluorescence Microscopy Assay
3.2.5. Cell Nuclear Morphology and Distribution Analysis with Imagej
3.2.6. Flow Cytometry Assay
3.2.7. Caspase-9 Activity Assay
3.2.8. Statistical Data Analysis
3.3. Molecular Docking
3.3.1. Preparation of Proteins
3.3.2. Preparation of Ligands
3.3.3. Grid Map Calculations
3.3.4. Molecular Docking Simulations
4. Conclusions
Supplementary Materials
Author Contributions
Funding
Institutional Review Board Statement
Informed Consent Statement
Data Availability Statement
Acknowledgments
Conflicts of Interest
Sample Availability
References
- Ke, S. Recent Progress of Novel Steroid Derivatives and Their Potential Biological Properties. Mini-Reviews Med. Chem. 2018, 18, 1–31. [Google Scholar] [CrossRef] [PubMed]
- Shaikh, S.; Verma, H.; Yadav, N.; Jauhari, M.; Bullangowda, J. Applications of Steroid in Clinical Practice: A Review. ISRN Anesthesiol. 2012, 2012, 1–11. [Google Scholar] [CrossRef]
- Brito, V.; Alves, G.; Almeida, P.; Silvestre, S. Highlights on Steroidal Arylidene Derivatives as a Source of Pharmacologically Active Compounds: A Review. Molecules 2021, 26, 2032. [Google Scholar] [CrossRef]
- Roy, J.; Deroy, P.; Poirier, D. 2β-(N-Substituted Piperazino)-5α-Androstane-3α,17β-Diols: Parallel Solid-Phase Synthesis and Antiproliferative Activity on Human. J. Comb. Chem. 2007, 9, 347–358. [Google Scholar] [CrossRef]
- Banday, A.H.; Mir, B.P.; Lone, I.H.; Suri, K.A.; Kumar, H.M.S. Studies on Novel D-Ring Substituted Steroidal Pyrazolines as Potential Anticancer Agents. Steroids 2010, 75, 805–809. [Google Scholar] [CrossRef]
- Fan, N.; Tang, J.; Li, H.; Li, X.; Luo, B.; Gao, J. Synthesis and Cytotoxic Activity of Some Novel Steroidal C-17 Pyrazolinyl Derivatives. Eur. J. Med. Chem. 2013, 69, 182–190. [Google Scholar] [CrossRef]
- Salvador, J.A.R.; Pinto, R.M.A.; Silvestre, S.M. Steroidal 5α-Reductase and 17α-Hydroxylase/17,20-Lyase (CYP17) Inhibitors Useful in the Treatment of Prostatic Diseases. J. Steroid Biochem. Mol. Biol. 2013, 137, 199–222. [Google Scholar] [CrossRef]
- Cortés-Benítez, F.; Cabeza, M.; Teresa, M.; Apan, R.; Bratoeff, E. Synthesis of 17b-N-Arylcarbamoylandrost-4-En-3-One Derivatives and Their Antiproliferative Effect on Human Androgen-Sensitive LNCaP Cell Line. Eur. J. Med. Chem. 2016, 4, 737–746. [Google Scholar] [CrossRef]
- Ajdukovic, J.J.; Djurendic, E.A.; Petri, E.T.; Klisuric, O.R.; Celic, A.S.; Sakač, M.N.; Jakimov, D.S.; Penov Gaši, K.M. 17(E)-Picolinylidene Androstane Derivatives as Potential Inhibitors of Prostate Cancer Cell Growth: Antiproliferative Activity and Molecular Docking Studies. Bioorg. Med. Chem. 2013, 21, 7257–7266. [Google Scholar] [CrossRef]
- Bansal, R.; Guleria, S. Synthesis of 16E-[3-Methoxy-4-(2-Aminoethoxy)Benzylidene]Androstene Derivatives as Potent Cytotoxic Agents. Steroids 2008, 73, 1391–1399. [Google Scholar] [CrossRef]
- Bansal, R.; Thota, S.; Karkra, N.; Minu, M.; Zimmer, C.; Hartmann, R.W. Synthesis and Aromatase Inhibitory Activity of Some New 16E-Arylidenosteroids. Bioorg. Chem. 2012, 45, 36–40. [Google Scholar] [CrossRef] [PubMed]
- Chattopadhaya, R.; Jindal, D.P.; Minu, M.; Gupta, R. Synthesis and Cytotoxic Studies of Hydroximino Derivatives of Some 16E-Arylidenosteroids. Arzneim. Forshung - Drug Res. 2004, 556, 551–556. [Google Scholar] [CrossRef]
- Dubey, S.; Piplani, P.; Jindal, D.P. Synthesis and in Vitro Antineoplastic Evaluation of Certain 16-(4-Substituted Benzylidene) Derivatives of Androst-5-Ene. Chem. Biodivers. 2004, 1, 1529–1536. [Google Scholar] [CrossRef] [PubMed]
- Choudhary, M.I.; Alam, M.S.; Yousuf, S.; Wu, Y.; Lin, A.; Shaheen, F. Pregnenolone Derivatives as Potential Anticancer Agents. Steroids 2011, 76, 1554–1559. [Google Scholar] [CrossRef]
- Banday, A.H.; Shameem, S.A.; Jeelani, S. Steroidal Pyrazolines and Pyrazoles as Potential 5α-Reductase Inhibitors: Synthesis and Biological Evaluation. Steroids 2014, 92, 13–19. [Google Scholar] [CrossRef]
- Banday, A.H.; Akram, S.M.M.; Shameem, S.A. Benzylidine Pregnenolones and Their Oximes as Potential Anticancer Agents: Synthesis and Biological Evaluation. Steroids 2014, 84, 64–69. [Google Scholar] [CrossRef]
- Fan, N.; Han, Y.; Li, Y.; Gao, J.; Tang, J. Synthesis of Novel 4′-Acylamino Modified 21E-Benzylidene Steroidal Derivatives and Their Cytotoxic Activities. Steroids 2017, 123, 20–26. [Google Scholar] [CrossRef]
- Shan, L.; Liu, H.; Huang, K.; Dai, G.; Cao, C.; Dong, R. Synthesis of 3b, 7a, 11a-Trihydroxy-Pregn-21-Benzylidene-5-En-20-One Derivatives and Their Cytotoxic Activities. Bioorg. Med. Chem. Lett. 2009, 19, 6637–6639. [Google Scholar] [CrossRef]
- Huang, L.-H.; Xu, H.-D.; Yang, Z.-Y.; Zheng, Y.-F.; Liu, H.-M. Synthesis and Anticancer Activity of Novel C6-Piperazine Substituted Purine Steroid-Nucleosides Analogues. Steroids 2014, 82, 1–6. [Google Scholar] [CrossRef]
- Brito, V.; Santos, A.O.; Almeida, P.; Silvestre, S. Novel 4-Azaandrostenes as Prostate Cancer Cell Growth Inhibitors: Synthesis, Antiproliferative Effects and Molecular Docking Studies. Comptes Rendus Chim. 2018, 22, 73–83. [Google Scholar] [CrossRef]
- Xiao, Q.; Wang, L.; Fan, H.; Wei, Z. Structure of Human Steroid 5α-Reductase 2 with the Anti-Androgen Drug Finasteride. Nat. Commun. 2020, 11, 5430. [Google Scholar] [CrossRef] [PubMed]
- Kumar, R.; Malla, P.; Verma, A.; Kumar, M. Design of Potent Human Steroid 5α-Reductase Inhibitors: 3D-QSAR CoMFA, CoMSIA and Docking Studies. Med. Chem. Res. 2013, 22, 4568–4580. [Google Scholar] [CrossRef]
- Yao, Z.; Xu, Y.; Zhang, M.; Jiang, S.; Nicklaus, M.C.; Liao, C. Discovery of a Novel Hybrid from Finasteride and Epristeride as 5a-Reductase Inhibitor. Bioorganic Med. Chem. Lett. 2011, 21, 475–478. [Google Scholar] [CrossRef] [PubMed]
- Borthakur, M.; Boruah, R.C. A Microwave Promoted and Lewis Acid Catalysed Solventless Approach to 4-Azasteroids. Steroids 2008, 73, 637–641. [Google Scholar] [CrossRef] [PubMed]
- Morzycki, J.W.; Lotowski, Z.; Wilczewska, A.Z.; Stuart, J.D. Synthesis of 4,17-Diazasteroid Inhibitors of Human 5α-Reductase. Bioorg. Med. Chem. 1996, 4, 1209–1215. [Google Scholar] [CrossRef]
- Bansal, R.; Acharya, P.C. Synthesis and Antileukemic Activity of 16E-[4-(2-Carboxy)Ethoxybenzylidene]-Androstene Amides. Steroids 2012, 77, 552–557. [Google Scholar] [CrossRef]
- Fan, N.-J.; Bai, Y.-B.; Zhang, F.-Y.; Luo, B.; Tang, J.-J.; Zhang, Q.-Z.; Gao, J.-M. Synthesis and Cytotoxicity of Some Novel 21E-Benzylidene Steroidal Derivatives. Steroids 2013, 78, 874–879. [Google Scholar] [CrossRef]
- Chen, S.R.; Wu, H.; Zhao, H.Y.; Zhang, Y.M.; Li, P.Q.; Zhao, L.M. Synthesis and Antiproliferative Activity of Novel 4-Azasteroidal-17-Hydrazone Derivatives. J. Chem. Res. 2019, 43, 130–134. [Google Scholar] [CrossRef]
- Iványi, Z.; Szabó, N.; Huber, J.; Wölfling, J.; Zupkó, I.; Szécsi, M.; Wittmann, T.; Schneider, G. Synthesis of D-Ring-Substituted (5’R)- and (5’S)-17b-Pyrazolinylandrostene Epimers and Comparison of Their Potential Anticancer Activities. Steroids 2012, 77, 566–574. [Google Scholar] [CrossRef]
- Figueiredo, J.; Serrano, J.L.; Cavalheiro, E.; Keurulainen, L.; Yli-Kauhaluoma, J.; Moreira, V.M.; Ferreira, S.; Domingues, F.C.; Silvestre, S.; Almeida, P. Trisubstituted Barbiturates and Thiobarbiturates: Synthesis and Biological Evaluation as Xanthine Oxidase Inhibitors, Antioxidants, Antibacterial and Anti-Proliferative Agents. Eur. J. Med. Chem. 2018, 143, 829–842. [Google Scholar] [CrossRef]
- Baji, Á.; Kiss, T.; Wölfling, J.; Kovács, D.; Igaz, N.; Gopisetty, M.K.; Kiricsi, M.; Frank, É. Multicomponent Access to Androstano-Arylpyrimidines under Microwave Conditions and Evaluation of Their Anti-Cancer Activity in Vitro. J. Steroid Biochem. Mol. Biol. 2017, 172, 79–88. [Google Scholar] [CrossRef] [PubMed]
- de la Guardia, C.; Stephens, D.E.; Dang, H.T.; Quijada, M.; Larionov, O.V.; Lleonart, R. Antiviral Activity of Novel Quinoline Derivatives against Dengue Virus Serotype 2. Molecules 2018, 23, 672. [Google Scholar] [CrossRef] [PubMed]
- Eidet, J.R.; Pasovic, L.; Maria, R.; Jackson, C.J.; Utheim, T.P. Objective Assessment of Changes in Nuclear Morphology and Cell Distribution Following Induction of Apoptosis. Diagn. Pathol. 2014, 9, 1–9. [Google Scholar] [CrossRef] [PubMed]
- Li, P.; Zhou, L.; Zhao, T.; Liu, X.; Zhang, P. Caspase-9: Structure, Mechanisms and Clinical Application. Oncotarget 2017, 8, 23996–24008. [Google Scholar] [CrossRef]
- Santos, A.; Sarmento-Ribeiro, A.B.; Pedroso De Lima, M.C.; Simões, S.; Moreira, J.N. Simultaneous Evaluation of Viability and Bcl-2 in Small-Cell Lung Cancer. Cytom. Part A 2008, 73, 1165–1172. [Google Scholar] [CrossRef]
- Armarego, W.L.F. Chapter 3 - Purification of Organic Chemicals. In Purification of Laboratory Chemicals (Eighth Edition); Armarego, W.L.F., Ed.; Butterworth-Heinemann: Oxford, UK, 2017; pp. 95–634. ISBN 978-0-12-805457-4. [Google Scholar]
- Trapani, G.; Dazzi, L.; Pisu, M.G.; Reho, A.; Seu, E.; Biggio, G. A Rapid Method for Obtaining Finasteride, a 5α-Reductase Inhibitor, from Commercial Tablets. Brain Res. Protoc. 2002, 9, 130–134. [Google Scholar] [CrossRef]
- Santos, D.; Medeiros-Silva, J.; Cegonho, S.; Alves, E.; Ramilo-Gomes, F.; Santos, A.O.; Silvestre, S.; Cruz, C. Cell Proliferation Effects of Calix[4]Arene Derivatives. Tetrahedron 2015, 71, 7593–7599. [Google Scholar] [CrossRef]
- Morris, G.M.; Goodsell, D.S.; Halliday, R.S.; Huey, R.; Hart, W.E.; Belew, R.K.; Olson, A.J.; Al, M.E.T. Automated Docking Using a Lamarckian Genetic Algorithm and an Empirical Binding Free Energy Function. J. Comput. Chem. 1998, 19, 1639–1662. [Google Scholar] [CrossRef]








| Aldehyde | Arylidenesteroid | Overall Yield (%) |
|---|---|---|
| Benzaldehyde | 3a | 40 |
| p-tolualdehyde | 3b | 65 |
| 4-nitrobenzaldehyde | 3c | 58 |
| 4-methoxybenzaldehyde | 3d | 48 |
| 2-furaldehyde | 3e | 54 |
| 5-methyl-2-furaldehyde | 3f | 73 |
| Pyridine-3-carboxaldehyde | 3g | 55 |
| Compound | LNCaP | PC-3 | T47-D | NHDF | |
|---|---|---|---|---|---|
| Progesterone | Screening (30 µM) | 64.3 ± 16.1 | 42.9 ± 5.4 | 62.9 ± 6.8 | 96.6 ± 14.3 |
| IC50 (µM); R2 | -- | -- | -- | -- | |
| Testosterone | Screening (30 µM) | 99.2 ± 4.2 | 89.5 ± 9.0 | 72.0 ± 4.0 | 94.2 ± 7.3 |
| IC50 (µM); R2 | -- | -- | -- | -- | |
| DHT | Screening (30 µM) | 138.9 ± 3.9 | 93.1 ± 4.9 | 90.7 ± 9.4 | 100.5 ± 7.4 |
| IC50 (µM); R2 | -- | -- | -- | -- | |
| 1 | Screening (30 µM) | 96.4 ± 16.1 | 102.1 ± 5.2 | 130.8 ± 20.8 | 100.0 ± 6.0 |
| IC50 (µM); R2 | -- | -- | -- | -- | |
| 2 | Screening (30 µM) | 58.3 ± 13.6 | 96.7 ± 9.3 | 137.0 ± 18.0 | 106.1 ± 6.0 |
| IC50 (µM); R2 | -- | -- | -- | -- | |
| 3a | Screening (30 µM) | 6.5 ± 5.3 | 1.4 ± 1.0 | 6.5 ± 5.4 | 25.1 ± 7.4 |
| IC50 (µM); R2 | 27.47; 0.93 | 12.60; 0.96 | 16.94; 0.97 | 63.99; 0.91 | |
| 3b | Screening (30 µM) | 62.7 ± 9.0 | 25.9 ± 3.8 | 45.0 ± 11.6 | 83.0 ± 3.6 |
| IC50 (µM); R2 | -- | 25.94; 0.98 | 44.99; 0.98 | -- | |
| 3c | Screening (30 µM) | 5.2 ± 2.6 | 0.7 ± 0.5 | 6.7 ± 4.6 | 20.3 ± 2.8 |
| IC50 (µM); R2 | 16.26; 0.97 | 3.29; 0.99 | 6.56; 0.98 | 6.94; 0.93 | |
| 3d | Screening (30 µM) | 88.0 ± 15.5 | 58.2 ± 6.0 | 73.9 ± 14.6 | 52.4 ± 2.8 |
| IC50 (µM); R2 | -- | -- | -- | -- | |
| 3e | Screening (30 µM) | 85.3 ± 6.7 | 82.7 ± 6.5 | 92.6 ± 7.4 | 111.6 ± 13.9 |
| IC50 (µM); R2 | -- | -- | -- | -- | |
| 3f | Screening (30 µM) | 88.9 ± 17.7 | 108.1 ± 7.8 | 104.3 ± 11.3 | 89.7 ± 9.7 |
| IC50 (µM); R2 | -- | -- | -- | -- | |
| 3g | Screening (30 µM) | 0.7 ± 1.0 | 0.1 ± 0.1 | 1.0 ± 0.4 | 23.8 ± 3.2 |
| IC50 (µM) | 10.20; 0.90 | 3.64; 0.98 | 1.33; 0.98 | 3.09; 0.90 | |
| Finasteride | Screening (30 µM) | 88.5 ± 2.4 | 78.8 ± 8.7 | 103.5 ± 17.8 | 62.8 ± 5.9 |
| IC50 (µM); R2 | -- | -- | -- | -- | |
| 5-FU | Screening (30 µM) | 18.6 ± 2.6 | 10.8 ± 3.1 | 42.3 ± 6.4 | 33.6 ± 8.2 |
| IC50 (µM); R2 | 1.50; 0.98 | 3.30; 0.99 | 0.70; 0.99 | 29.44; 0.97 |
| Protein–Ligand Complex | PDB Code | Resolution (Å) | Number of Clusters | Energy (kcal.mol−1) and RMSD (Å) | |||
|---|---|---|---|---|---|---|---|
| Lowest Energy | RMSD of Lowest Energy | Average Energy | Average RMSD | ||||
| 5AR type 2 + Adduct of Finasteride/NADPH | 7BW1 | 2.8 | 1 | −11.90 | 0.78 | −6.89 | 1.80 |
| ERα + 17β-estradiol | 1A52 | 2.8 | 1 | −9.28 | 0.51 | −9.28 | 0.53 |
| AR + DHT | 2AMA | 1.9 | 1 | −11.20 | 0.79 | −11.20 | 0.79 |
| CYP17A1 + Abiraterone | 3RUK | 2.6 | 1 | −11.78 | 0.23 | −11.78 | 0.29 |
| Compound | 5AR Type 2 | ERα | AR | CYP17A1 |
|---|---|---|---|---|
| Autodock binding energies (kcal.mol−1) | ||||
| 3a | −11.79 | −10.87 | −9.38 | −10.24 |
| 3b | −12.02 | −11.44 | −8.88 | −11.17 |
| 3c | −11.70 | −10.43 | −5.10 | −9.32 |
| 3d | −11.63 | −11.05 | −7.32 | −11.99 |
| 3e | −11.07 | −10.78 | −9.70 | −10.91 |
| 3f | −11.24 | −11.43 | −9.98 | −10.95 |
| 3g | −11.71 | −10.67 | −10.35 | −10.93 |
| Finasteride | −11.90 | − | − | − |
| 17β-estradiol | − | −9.28 | − | − |
| DHT | − | − | −11.20 | − |
| Abiraterone | − | − | − | −11.78 |
Publisher’s Note: MDPI stays neutral with regard to jurisdictional claims in published maps and institutional affiliations. |
© 2022 by the authors. Licensee MDPI, Basel, Switzerland. This article is an open access article distributed under the terms and conditions of the Creative Commons Attribution (CC BY) license (https://creativecommons.org/licenses/by/4.0/).
Share and Cite
Brito, V.; Santos, A.O.; Alves, G.; Almeida, P.; Silvestre, S. Novel 4-Azapregnene Derivatives as Potential Anticancer Agents: Synthesis, Antiproliferative Activity and Molecular Docking Studies. Molecules 2022, 27, 6126. https://doi.org/10.3390/molecules27186126
Brito V, Santos AO, Alves G, Almeida P, Silvestre S. Novel 4-Azapregnene Derivatives as Potential Anticancer Agents: Synthesis, Antiproliferative Activity and Molecular Docking Studies. Molecules. 2022; 27(18):6126. https://doi.org/10.3390/molecules27186126
Chicago/Turabian StyleBrito, Vanessa, Adriana Oliveira Santos, Gilberto Alves, Paulo Almeida, and Samuel Silvestre. 2022. "Novel 4-Azapregnene Derivatives as Potential Anticancer Agents: Synthesis, Antiproliferative Activity and Molecular Docking Studies" Molecules 27, no. 18: 6126. https://doi.org/10.3390/molecules27186126
APA StyleBrito, V., Santos, A. O., Alves, G., Almeida, P., & Silvestre, S. (2022). Novel 4-Azapregnene Derivatives as Potential Anticancer Agents: Synthesis, Antiproliferative Activity and Molecular Docking Studies. Molecules, 27(18), 6126. https://doi.org/10.3390/molecules27186126

