Chemical Synthesis and Biological Activities of Amaryllidaceae Alkaloid Norbelladine Derivatives and Precursors
Abstract
:1. Introduction
2. Results
2.1. Chemical Synthesis
2.2. Cytotoxic Assay
2.3. Antiviral Assay
2.3.1. Inhibition of HIV-1GFP
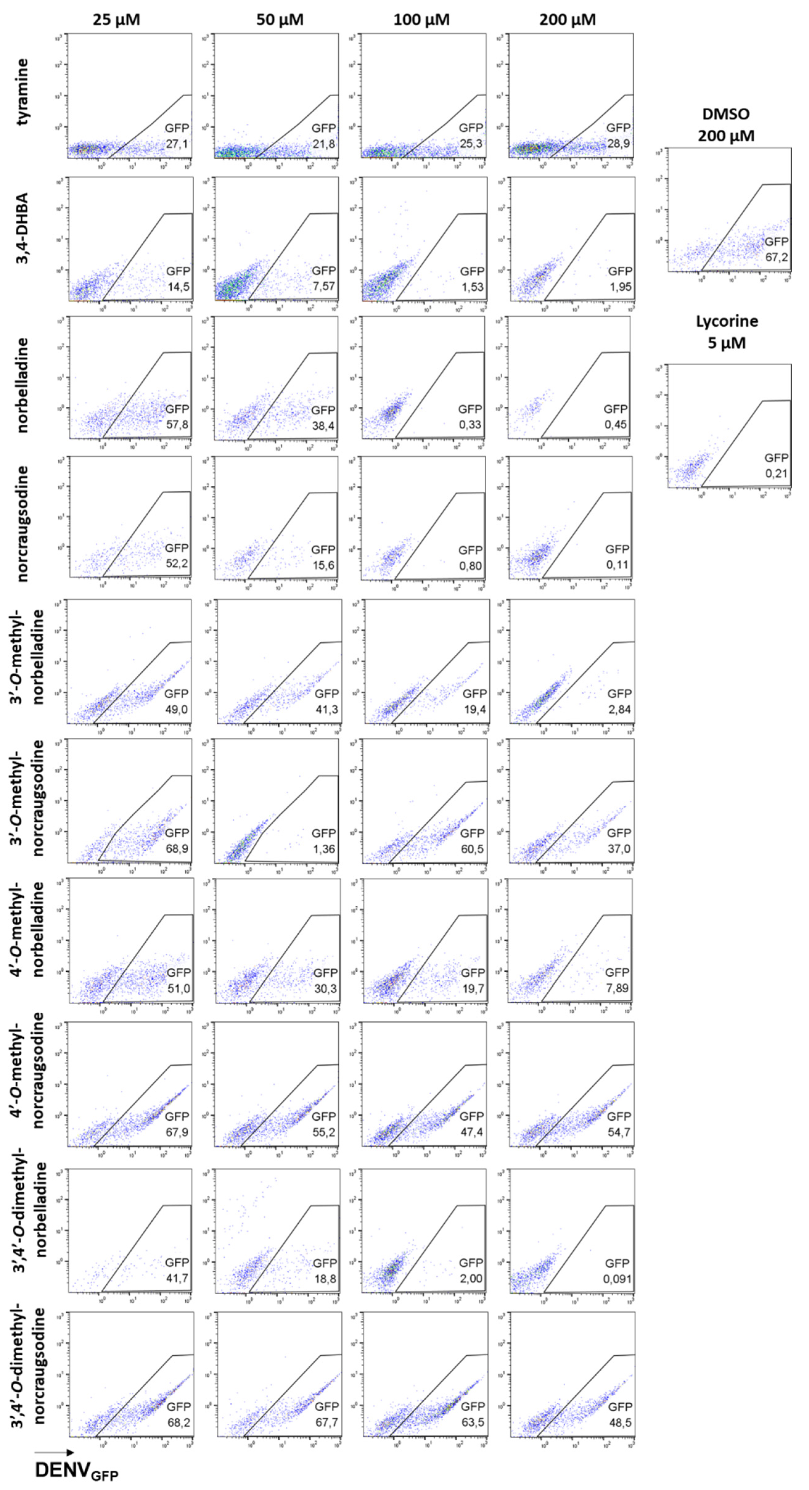
2.3.2. Inhibition of DENVGFP
2.4. Choline Esterase and Prolyloligopeptidase Inhibitory Effect
2.5. Molecular Docking of Norbelladine Derivatives with BuChE
3. Discussion
4. Materials and Methods
4.1. Chemical Synthesis and Purification of Alkaloids
4.2. Preparation of Lycorine, 3,4-DHBA, Tyramine, and other Commercial Inhibitor Stocks
4.3. Cell Lines and Culture
4.4. Cytotoxicity Assay
4.5. Viral Vectors
4.6. Antiviral Assays
4.7. Anti-acetylcholinesterase (AChE) and -Butyrylcholinesterase (BuChE) Activity
4.8. Prolyloligopeptidase (POP) Inhibition Assay
4.9. Docking of Norbelladine Derivatives with BuChE
4.10. Statistical Analysis
5. Conclusions
Author Contributions
Funding
Institutional Review Board Statement
Informed Consent Statement
Data Availability Statement
Acknowledgments
Conflicts of Interest
Sample Availability
Appendix A


| POP | AChE | BuChE | ||
|---|---|---|---|---|
| DPP | ATCh | BuTCh | ATCh | |
| 3,4-DHBA | nid | nid | nid | nid |
| Tyramine | nd | nid | nid | nid |
| Norcraugsodine | 567.30 | nid | nid | nid |
| Norbelladine | nid | nid | 26.13 | 33.26 |
| 3′-O-Methylnorcraugsodine | 1146.01 | nid | nid | nid |
| 4′-O-Methylnorcraugsodine | nid | nid | nid | nid |
| 3′,4′-O-Dimethylnorcraugsodine | nid | nid | nid | nid |
| 3′-O-Methylnorbelladine | 1230.60 | nid | 58.95 | 40.22 |
| 4′-O-Methylnorbelladine | nid | nid | 91.61 | 42.92 |
| 3′,4′-O-Dimethylnorbelladine | nid | 319.6 | 87.86 | 87.80 |
References
- Ka, S.; Koirala, M.; Mérindol, N.; Desgagné-Penix, I. Biosynthesis and Biological Activities of Newly Discovered Amaryllidaceae Alkaloids. Molecules 2020, 25, 4901. [Google Scholar] [CrossRef] [PubMed]
- Ding, Y.; Qu, D.; Zhang, K.-M.; Cang, X.-X.; Kou, Z.-N.; Xiao, W.; Zhu, J.-B. Phytochemical and biological investigations of Amaryllidaceae alkaloids: A review. J. Asian Nat. Prod. Res. 2017, 19, 53–100. [Google Scholar] [CrossRef] [PubMed]
- Cahlíková, L.; Benesová, N.; Macáková, K.; Urbanova, K.; Opletal, L. GC/MS Analysis of Three Amaryllidaceae Species and Their Cholinesterase Activity. Nat. Prod. Commun. 2011, 6, 1255–1258. [Google Scholar] [CrossRef] [PubMed]
- Cheesman, L.; Nair, J.J.; van Staden, J. Antibacterial activity of crinane alkaloids from Boophone disticha (Amaryllidaceae). J. Ethnopharmacol. 2012, 140, 405–408. [Google Scholar] [CrossRef]
- Habartová, K.; Cahlíková, L.; Řezáčová, M.; Havelek, R. The Biological Activity of Alkaloids from the Amaryllidaceae: From Cholinesterases Inhibition to Anticancer Activity. Nat. Prod. Commun. 2016, 11, 1587–1594. [Google Scholar] [CrossRef]
- Desgagné-Penix, I. Biosynthesis of alkaloids in Amaryllidaceae plants: A review. Phytochem. Rev. 2021, 20, 409–431. [Google Scholar] [CrossRef]
- Jin, Z.; Yao, G. Amaryllidaceae and Sceletium alkaloids. Nat. Prod. Rep. 2019, 36, 1462–1488. [Google Scholar] [CrossRef]
- El Tahchy, A.; Boisbrun, M.; Ptak, A.; Dupire, F.; Chretien, F.; Henry, M.; Chapleur, Y.; Laurain-Mattar, D. New method for the study of Amaryllidaceae alkaloid biosynthesis using biotransformation of deuterium-labeled precursor in tissue cultures. Acta Biochim. Pol. 2010, 57, 75–82. [Google Scholar] [CrossRef]
- Singh, A.; Massicotte, M.A.; Garand, A.; Tousignant, L.; Ouellette, V.; Bérubé, G.; Desgagne-Penix, I. Cloning and characterization of norbelladine synthase catalyzing the first committed reaction in Amaryllidaceae alkaloid biosynthesis. BMC Plant Biol. 2018, 18, 338. [Google Scholar] [CrossRef]
- Hotchandani, T.; Desgagne-Penix, I. Heterocyclic Amaryllidaceae Alkaloids: Biosynthesis and Pharmacological Applications. Curr. Top. Med. Chem. 2017, 17, 418–427. [Google Scholar] [CrossRef]
- Han, S.-Y.; Mayer, S.C.; Schweiger, E.J.; Davis, B.M.; Joulleé, M.M. Synthesis and biological activity of galanthamine derivatives as acetylcholinesterase (AChE) inhibitors. Bioorganic. Med. Chem. Lett. 1991, 1, 579–580. [Google Scholar] [CrossRef]
- Heinrich, M.; Lee Teoh, H. Galanthamine from snowdrop--the development of a modern drug against Alzheimer’s disease from local Caucasian knowledge. J. Ethnopharmacol. 2004, 92, 147–162. [Google Scholar] [CrossRef]
- Sun, Y.; Wu, P.; Sun, Y.; Sharopov, F.S.; Yang, Q.; Chen, F.; Wang, P.; Liang, Z. Lycorine possesses notable anticancer potentials in on-small cell lung carcinoma cells via blocking Wnt/β-catenin signaling and epithelial-mesenchymal transition (EMT). Biochem Biophys Res. Commun. 2018, 495, 911–921. [Google Scholar] [CrossRef]
- Wang, C.; Wang, Q.; Li, X.; Jin, Z.; Xu, P.; Xu, N.; Xu, A.; Xu, Y.; Zheng, S.; Zheng, J.; et al. Lycorine induces apoptosis of bladder cancer T24 cells by inhibiting phospho-Akt and activating the intrinsic apoptotic cascade. Biochem. Biophys. Res. Commun. 2017, 483, 197–202. [Google Scholar] [CrossRef]
- Cao, Z.; Yu, D.; Fu, S.; Zhang, G.; Pan, Y.; Bao, M.; Tu, J.; Shang, B.; Guo, P.; Yang, P.; et al. Lycorine hydrochloride selectively inhibits human ovarian cancer cell proliferation and tumor neovascularization with very low toxicity. Toxicol. Lett. 2013, 218, 174–185. [Google Scholar] [CrossRef]
- Ji, Y.; Yu, M.; Qi, Z.; Cui, D.; Xin, G.; Wang, B.; Jia, W.; Chang, L. Study on apoptosis effect of human breast cancer cell MCF-7 induced by lycorine hydrochloride via death receptor pathway. Saudi Pharm. J. 2017, 25, 633–637. [Google Scholar] [CrossRef]
- Hu, M.; Peng, S.; He, Y.; Qin, M.; Cong, X.; Xing, Y.; Liu, M.; Yi, Z. Lycorine is a novel inhibitor of the growth and metastasis of hormone-refractory prostate cancer. Oncotarget 2015, 6, 15348–15361. [Google Scholar] [CrossRef]
- Gabrielsen, B.; Monath, T.P.; Huggins, J.W.; Kefauver, D.F.; Pettit, G.R.; Groszek, G.; Hollingshead, M.; Kirsi, J.J.; Shannon, W.M.; Schubert, E.M.; et al. Antiviral (RNA) activity of selected Amaryllidaceae isoquinoline constituents and synthesis of related substances. J. Nat. Prod. 1992, 55, 1569–1581. [Google Scholar] [CrossRef]
- Li, S.Y.; Chen, C.; Zhang, H.Q.; Guo, H.Y.; Wang, H.; Wang, L.; Zhang, X.; Hua, S.N.; Yu, J.; Xiao, P.G.; et al. Identification of natural compounds with antiviral activities against SARS-associated coronavirus. Antivir. Res. 2005, 67, 18–23. [Google Scholar] [CrossRef]
- Wang, P.; Li, L.F.; Wang, Q.Y.; Shang, L.Q.; Shi, P.Y.; Yin, Z. Anti-dengue-virus activity and structure-activity relationship studies of lycorine derivatives. ChemMedChem 2014, 9, 1522–1533. [Google Scholar] [CrossRef]
- Zou, G.; Puig-Basagoiti, F.; Zhang, B.; Qing, M.; Chen, L.; Pankiewicz, K.W.; Felczak, K.; Yuan, Z.; Shi, P.Y. A single-amino acid substitution in West Nile virus 2K peptide between NS4A and NS4B confers resistance to lycorine, a flavivirus inhibitor. Virology 2009, 384, 242–252. [Google Scholar] [CrossRef] [PubMed]
- Ka, S.; Merindol, N.; Sow, A.A.; Singh, A.; Landelouci, K.; Plourde, M.B.; Pépin, G.; Masi, M.; Di Lecce, R.; Evidente, A.; et al. Amaryllidaceae alkaloid cherylline inhibits the replication of dengue and Zika viruses. Antimicrob. Agents Chemother. 2021, 65, e0039821. [Google Scholar] [CrossRef] [PubMed]
- Masi, M.; Di Lecce, R.; Mérindol, N.; Girard, M.-P.; Berthoux, L.; Desgagné-Penix, I.; Calabrò, V.; Evidente, A. Cytotoxicity and Antiviral Properties of Alkaloids Isolated from Pancratium maritimum. Toxins 2022, 14, 262. [Google Scholar] [CrossRef] [PubMed]
- Tan, S.; Banwell, M.G.; Ye, W.-C.; Lan, P.; White, L.V. The Inhibition of RNA Viruses by Amaryllidaceae Alkaloids: Opportunities for the Development of Broad-Spectrum Anti-Coronavirus Drugs. Chem. Asian J. 2022, 17, e202101215. [Google Scholar] [CrossRef] [PubMed]
- Park, J.B. Synthesis and characterization of norbelladine, a precursor of Amaryllidaceae alkaloid, as an anti-inflammatory/anti-COX compound. Bioorg Med. Chem Lett 2014, 24, 5381–5384. [Google Scholar] [CrossRef] [PubMed]
- Mamun, A.A.; Pidany, F.; Hulcova, D.; Marikova, J.; Kucera, T.; Schmidt, M.; Catapano, M.C.; Hrabinova, M.; Jun, D.; Muckova, L.; et al. Amaryllidaceae Alkaloids of Norbelladine-Type as Inspiration for Development of Highly Selective Butyrylcholinesterase Inhibitors: Synthesis, Biological Activity Evaluation, and Docking Studies. Int. J. Mol. Sci. 2021, 22, 8308. [Google Scholar] [CrossRef] [PubMed]
- Babkova, K.; Korabecny, J.; Soukup, O.; Nepovimova, E.; Jun, D.; Kuca, K. Prolyl oligopeptidase and its role in the organism: Attention to the most promising and clinically relevant inhibitors. Future Med. Chem. 2017, 9, 1015–1038. [Google Scholar] [CrossRef]
- Darvesh, S.; Hopkins, D.A.; Geula, C. Neurobiology of butyrylcholinesterase. Nat. Rev. Neurosci. 2003, 4, 131–138. [Google Scholar] [CrossRef]
- Nair, J.J.; Bastida, J.; van Staden, J. In vivo Cytotoxicity Studies of Amaryllidaceae Alkaloids. Nat. Prod. Commun. 2016, 11, 121–132. [Google Scholar] [CrossRef]
- Cao, Z.; Yang, P.; Zhou, Q. Multiple biological functions and pharmacological effects of lycorine. Sci. China Chem. 2013, 56, 1382–1391. [Google Scholar] [CrossRef]
- Chen, X.; Tikhonova, I.G.; Decker, M. Probing the mid-gorge of cholinesterases with spacer-modified bivalent quinazolinimines leads to highly potent and selective butyrylcholinesterase inhibitors. Bioorg. Med. Chem. 2011, 19, 1222–1235. [Google Scholar] [CrossRef]
- Macdonald, I.R.; Martin, E.; Rosenberry, T.L.; Darvesh, S. Probing the peripheral site of human butyrylcholinesterase. Biochemistry 2012, 51, 7046–7053. [Google Scholar] [CrossRef]
- Bajda, M.; Wieckowska, A.; Hebda, M.; Guzior, N.; Sotriffer, C.A.; Malawska, B. Structure-based search for new inhibitors of cholinesterases. Int J. Mol. Sci. 2013, 14, 5608–5632. [Google Scholar] [CrossRef]
- Zhang, Z.; Fan, F.; Luo, W.; Zhao, Y.; Wang, C. Molecular Dynamics Revealing a Detour-Forward Release Mechanism of Tacrine: Implication for the Specific Binding Characteristics in Butyrylcholinesterase. Front. Chem. 2020, 8, 730. [Google Scholar] [CrossRef]
- Mann, J.D.; Fales, H.M.; Mudd, S.H. Alkaloids and Plant Metabolism: VI. O-methylation in vitro of norbelladine, a precursor of amaryllidaceae alkaloids. J. Biol. Chem. 1963, 238, 3820–3823. [Google Scholar] [CrossRef]
- Chen, H.; Lao, Z.; Xu, J.; Li, Z.; Long, H.; Li, D.; Lin, L.; Liu, X.; Yu, L.; Liu, W.; et al. Antiviral activity of lycorine against Zika virus in vivo and in vitro. Virology 2020, 546, 88–97. [Google Scholar] [CrossRef]
- Shen, L.; Niu, J.; Wang, C.; Huang, B.; Wang, W.; Zhu, N.; Deng, Y.; Wang, H.; Ye, F.; Cen, S.; et al. High-Throughput Screening and Identification of Potent Broad-Spectrum Inhibitors of Coronaviruses. J. Virol. 2019, 93, e00023-19. [Google Scholar] [CrossRef]
- Jin, Y.H.; Min, J.S.; Jeon, S.; Lee, J.; Kim, S.; Park, T.; Park, D.; Jang, M.S.; Park, C.M.; Song, J.H.; et al. Lycorine, a non-nucleoside RNA dependent RNA polymerase inhibitor, as potential treatment for emerging coronavirus infections. Phytomedicine 2021, 86, 153440. [Google Scholar] [CrossRef]
- Zhao, R.; Wang, M.; Cao, J.; Shen, J.; Zhou, X.; Wang, D.; Cao, J. Flavivirus: From Structure to Therapeutics Development. Life 2021, 11, 615. [Google Scholar] [CrossRef]
- Mustafa, M.S.; Rasotgi, V.; Jain, S.; Gupta, V. Discovery of fifth serotype of dengue virus (DENV-5): A new public health dilemma in dengue control. Med. J. Armed Forces India 2015, 71, 67–70. [Google Scholar] [CrossRef] [Green Version]
- Siatka, T.; Adamcova, M.; Opletal, L.; Cahlikova, L.; Jun, D.; Hrabinova, M.; Kunes, J.; Chlebek, J. Cholinesterase and Prolyl Oligopeptidase Inhibitory Activities of Alkaloids from Argemone platyceras (Papaveraceae). Molecules 2017, 22, 1181. [Google Scholar] [CrossRef]
- Greig, N.H.; Lahiri, D.K.; Sambamurti, K. Butyrylcholinesterase: An important new target in Alzheimer’s disease therapy. Int. Psychogeriatr. 2002, 14, 77–91. [Google Scholar] [CrossRef]
- Darvesh, S.; Cash, M.K.; Reid, G.A.; Martin, E.; Mitnitski, A.; Geula, C. Butyrylcholinesterase is associated with beta-amyloid plaques in the transgenic APPSWE/PSEN1dE9 mouse model of Alzheimer disease. J. Neuropathol Exp. Neurol 2012, 71, 2–14. [Google Scholar] [CrossRef]
- Lockridge, O.; Bartels, C.F.; Vaughan, T.A.; Wong, C.K.; Norton, S.E.; Johnson, L.L. Complete amino acid sequence of human serum cholinesterase. J. Biol. Chem. 1987, 262, 549–557. [Google Scholar] [CrossRef]
- Vellom, D.C.; Radic, Z.; Li, Y.; Pickering, N.A.; Camp, S.; Taylor, P. Amino acid residues controlling acetylcholinesterase and butyrylcholinesterase specificity. Biochemistry 1993, 32, 12–17. [Google Scholar] [CrossRef]
- Masson, P.; Xie, W.; Froment, M.T.; Levitsky, V.; Fortier, P.L.; Albaret, C.; Lockridge, O. Interaction between the peripheral site residues of human butyrylcholinesterase, D70 and Y332, in binding and hydrolysis of substrates. Biochim. Biophys. Acta 1999, 1433, 281–293. [Google Scholar] [CrossRef]
- Nachon, F.; Carletti, E.; Ronco, C.; Trovaslet, M.; Nicolet, Y.; Jean, L.; Renard, P.Y. Crystal structures of human cholinesterases in complex with huprine W and tacrine: Elements of specificity for anti-Alzheimer’s drugs targeting acetyl- and butyryl-cholinesterase. Biochem. J. 2013, 453, 393–399. [Google Scholar] [CrossRef]
- Armarego, W.L.F. Purification of Laboratory Chemicals, 8th ed.; Butterworth-Heinemann Press: Oxford, UK, 2017. [Google Scholar]
- Ka, S.; Masi, M.; Merindol, N.; Di Lecce, R.; Plourde, M.B.; Seck, M.; Górecki, M.; Pescitelli, G.; Desgagne-Penix, I.; Evidente, A. Gigantelline, gigantellinine and gigancrinine, cherylline- and crinine-type alkaloids isolated from Crinum jagus with anti-acetylcholinesterase activity. Phytochemistry 2020, 175, 112390. [Google Scholar] [CrossRef]
- Lamoral-Theys, D.; Andolfi, A.; Van Goietsenoven, G.; Cimmino, A.; Le Calve, B.; Wauthoz, N.; Megalizzi, V.; Gras, T.; Bruyere, C.; Dubois, J.; et al. Lycorine, the main phenanthridine Amaryllidaceae alkaloid, exhibits significant antitumor activity in cancer cells that display resistance to proapoptotic stimuli: An investigation of structure-activity relationship and mechanistic insight. J. Med. Chem. 2009, 52, 6244–6256. [Google Scholar] [CrossRef]
- Fischl, W.; Bartenschlager, R. High-throughput screening using dengue virus reporter genomes. Methods Mol. Biol. 2013, 1030, 205–219. [Google Scholar]
- He, J.; Chen, Y.; Farzan, M.; Choe, H.; Ohagen, A.; Gartner, S.; Busciglio, J.; Yang, X.; Hofmann, W.; Newman, W.; et al. CCR3 and CCR5 are co-receptors for HIV-1 infection of microglia. Nature 1997, 385, 645–649. [Google Scholar] [CrossRef] [PubMed]
- Chatel-Chaix, L.; Bartenschlager, R. Dengue virus- and hepatitis C virus-induced replication and assembly compartments: The enemy inside--caught in the web. J. Virol. 2014, 88, 5907–5911. [Google Scholar] [CrossRef]
- Merindol, N.; El-Far, M.; Sylla, M.; Masroori, N.; Dufour, C.; Li, J.X.; Cherry, P.; Plourde, M.B.; Tremblay, C.; Berthoux, L. HIV-1 capsids from B27/B57+ elite controllers escape Mx2 but are targeted by TRIM5alpha, leading to the induction of an antiviral state. PLoS Pathog 2018, 14, e1007398. [Google Scholar] [CrossRef] [PubMed]
- Summa, V.; Petrocchi, A.; Bonelli, F.; Crescenzi, B.; Donghi, M.; Ferrara, M.; Fiore, F.; Gardelli, C.; Gonzalez Paz, O.; Hazuda, D.J.; et al. Discovery of raltegravir, a potent, selective orally bioavailable HIV-integrase inhibitor for the treatment of HIV-AIDS infection. J. Med. Chem. 2008, 51, 5843–5855. [Google Scholar] [CrossRef] [PubMed]
- Salentin, S.; Schreiber, S.; Haupt, V.J.; Adasme, M.F.; Schroeder, M. PLIP: Fully automated protein-ligand interaction profiler. Nucleic Acids Res. 2015, 43, W443–W447. [Google Scholar] [CrossRef] [PubMed]






| Alkaloids | EC50 HIV-1 (µM) | CC50 THP-1 (µM) | SI HIV-1 | EC50 DENV (µM) | CC50 Huh7 (µM) | SI DENV |
|---|---|---|---|---|---|---|
| Tyramine | >200 - | >200 - | <1.0 | >200 - | >200 - | <1.0 |
| 3,4-DHBA | 51.5 * | 31.65 | 0.6 | 24.1 * | 173.1 | 7.2 |
| Norbelladine | 50.5 | 82.2 | 1.6 | 50.4 | 72.6 | 1.4 |
| Norcraugsodine | 55.5 | 27.0 | 0.5 | 37.7 | 121.8 | 3.2 |
| 3′-O-methylnorcraugsodine | 107.2 * | >200 | >1.9 | 176.3 * | >200 | >1.1 |
| 3′-O-methylnorbelladine | 134.7 * | 99.01 | 0.73 | 44.9 * | >200 | >4.5 |
| 4′-O-methylnorbelladine | 108.3 * | >200 | >1.8 | 40.5 * | >200 | >4.9 |
| 4′-O-methylnorcraugsodine | >200 - | >200 - | <1.0 | >200 - | >200 - | <1.0 |
| 3′,4′-O-dimethylnorbelladine | 98.3 * | >200 | >2.0 | 27.5 | 131.4 | 4.8 |
| 3′,4′-O-dimethylnorcraugsodine | >200 - | >200 - | <1.0 | >200 - | >200 - | <1.0 |
| Raltegravir | 0.098 | >10 - | >102 | u.i. | u.i. | u.i. |
| Lycorine | u.i. | 10.7 | u.i. | 0.090 | 17.4 | 193.3 |
| Score (kCal/mol) | Interaction | |||
|---|---|---|---|---|
| H-bonds | Hydrophobic | π stack | ||
| Norbelladine | −6.6829 | Trp82, Tyr332, Tyr440 | Trp82, Tyr440 | Trp82 |
| 3′-O-Methylnorbelladine | −6.8174 | Asp70, Trp82, Thr120, Trp430, His438 | Trp82 | Trp82 |
| 4′-O-Methylnorbelladine | −6.8119 | Trp82 | Trp82 | n.d. |
| 3′,4′-O-Dimethylnorbelladine | −7.0368 | Thr120 | Trp82, Tyr440 | n.d. |
Publisher’s Note: MDPI stays neutral with regard to jurisdictional claims in published maps and institutional affiliations. |
© 2022 by the authors. Licensee MDPI, Basel, Switzerland. This article is an open access article distributed under the terms and conditions of the Creative Commons Attribution (CC BY) license (https://creativecommons.org/licenses/by/4.0/).
Share and Cite
Girard, M.-P.; Karimzadegan, V.; Héneault, M.; Cloutier, F.; Bérubé, G.; Berthoux, L.; Mérindol, N.; Desgagné-Penix, I. Chemical Synthesis and Biological Activities of Amaryllidaceae Alkaloid Norbelladine Derivatives and Precursors. Molecules 2022, 27, 5621. https://doi.org/10.3390/molecules27175621
Girard M-P, Karimzadegan V, Héneault M, Cloutier F, Bérubé G, Berthoux L, Mérindol N, Desgagné-Penix I. Chemical Synthesis and Biological Activities of Amaryllidaceae Alkaloid Norbelladine Derivatives and Precursors. Molecules. 2022; 27(17):5621. https://doi.org/10.3390/molecules27175621
Chicago/Turabian StyleGirard, Marie-Pierre, Vahid Karimzadegan, Marianne Héneault, Francis Cloutier, Gervais Bérubé, Lionel Berthoux, Natacha Mérindol, and Isabel Desgagné-Penix. 2022. "Chemical Synthesis and Biological Activities of Amaryllidaceae Alkaloid Norbelladine Derivatives and Precursors" Molecules 27, no. 17: 5621. https://doi.org/10.3390/molecules27175621
APA StyleGirard, M.-P., Karimzadegan, V., Héneault, M., Cloutier, F., Bérubé, G., Berthoux, L., Mérindol, N., & Desgagné-Penix, I. (2022). Chemical Synthesis and Biological Activities of Amaryllidaceae Alkaloid Norbelladine Derivatives and Precursors. Molecules, 27(17), 5621. https://doi.org/10.3390/molecules27175621

