Wetting Properties of Rhamnolipid and Surfactin Mixtures with Triton X-165
Abstract
:1. Introduction
2. Results and Discussion
2.1. Adsorption and Wetting Properties of TX165, RL and SF
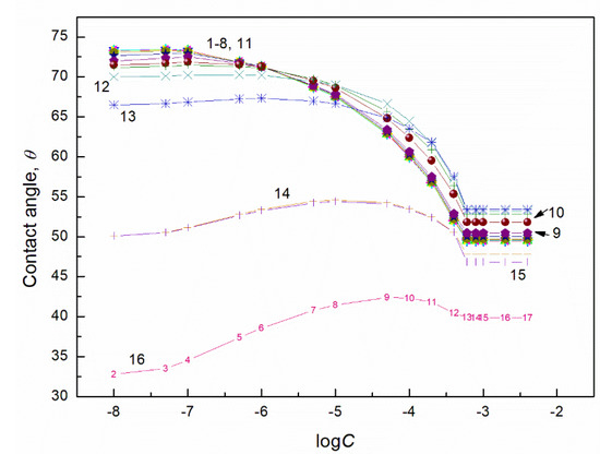
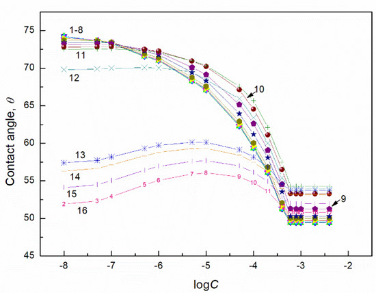
2.2. Contact Angle of Biosurfactants Mixtures with TX165
2.3. Composition and Concentration of the Mixed Layer at the Solid-Air and Solid-Water Interfaces
3. Materials and Methods
4. Conclusions
Supplementary Materials
Author Contributions
Funding
Institutional Review Board Statement
Informed Consent Statement
Data Availability Statement
Conflicts of Interest
References
- Rosen, M.J. Surfactants and Interfacial Phenomena, 3rd ed.; Wiley Intersccience: New York, NY, USA, 2004. [Google Scholar]
- Marchant, R.; Banat, I.M. Biosurfactants: A sustainable replacement for chemical surfactants. Biotechnol. Lett. 2012, 34, 1597–1605. [Google Scholar] [CrossRef] [PubMed]
- Banat, I.M.; Makkar, R.S.; Cameotra, S.S. Potential commercial applications of microbial surfactants. Appl. Microbiol. Biotechnol. 2000, 53, 495–508. [Google Scholar] [CrossRef] [PubMed]
- Ishigami, Y.; Osman, M.; Nakahara, H.; Sano, Y.; Ishiguro, R.; Matsumoto, M. Significance of β-sheet formation for micellization and surface adsorption of surfactin. Colloids Surf. B 1995, 4, 341–348. [Google Scholar] [CrossRef]
- Zdziennicka, A.; Jańczuk, B. Thermodynamic parameters of some biosurfactants and surfactants adsorption at water-air interface. J. Mol. Liq. 2017, 243, 236–244. [Google Scholar] [CrossRef]
- Tânia, M.S.; Lima, T.M.S.; Procópio, L.C.; Brandão, F.D.; Carvalho, A.M.X.; Tótola, M.R.; Borges, A.C. Biodegradability of bacterial surfactants. Biodegradation 2011, 3, 585–592. [Google Scholar] [CrossRef]
- Sarubbo, L.A.; Maria da Gloria, C.S.; Durval, I.J.B.; Bezerra, K.G.O.; Ribeiro, B.G.; Silva, I.A.; Twigg, M.S.; Banat, I.M. Biosurfactants: Production, properties, applications, trends, and general perspectives. Biochem. Eng. J. 2022, 181, 108377. [Google Scholar] [CrossRef]
- Drakontis, C.E.; Amin, S. Biosurfactants: Formulations, properties, and applications. Curr. Opin. Colloid Interface Sci. 2020, 48, 77–90. [Google Scholar] [CrossRef]
- Mulligan, C.N. Environmental applications for biosurfactants. Environ. Pollut. 2005, 133, 183–198. [Google Scholar] [CrossRef]
- Seydlová, G.; Svobodová, J. Review of surfactin chemical properties and the potential biomedical applications. Cent. Eur. J. Med. 2008, 3, 123–133. [Google Scholar] [CrossRef]
- Rodrigues, L.; Banat, I.M.; Teixeira, J.; Oliveira, R. Biosurfactants: Potential applications in medicine. J. Antimicrob. Chemother. 2006, 57, 609–618. [Google Scholar] [CrossRef]
- Nitschke, M.; Costa, S.G.V.A.O. Biosurfactants in food industry. Trends Food Sci. Technol. 2007, 18, 252–259. [Google Scholar] [CrossRef]
- Sekhon Randhawa, K.K.; Rahman, P.K.S.M. Rhamnolipid biosurfactants—Past, present, and future scenario of global market. Front. Microbiol. 2014, 5, 454. [Google Scholar] [CrossRef] [PubMed] [Green Version]
- Bafghi, M.K.; Fazaelipoor, M.H. Application of rhamnolipid in the formulation of a detergent. J. Surfactant Deterg. 2012, 15, 679–684. [Google Scholar] [CrossRef]
- Chen, W.C.; Juang, R.-S.; Wei, Y.-H. Applications of a lipopeptide biosurfactant, surfactin, produced by microorganisms. Biochem. Eng. J. 2015, 103, 158–169. [Google Scholar] [CrossRef]
- Shaligram, N.S.; Singhal, R.S. Surfactin—A review on biosynthesis, fermentation, purification and applications. Food Technol. Biotechnol. 2010, 48, 119–134. [Google Scholar]
- Shah, M.U.H.; Moniruzzaman, M.; Sivapragasam, M.; Talukder, M.M.; Bt Yusup, S.; Goto, M. A binary mixture of a biosurfactant and an ionic liquid surfactant as a green dispersant for oil spill remediation. J. Mol. Liq. 2019, 280, 111–119. [Google Scholar] [CrossRef]
- Chen, M.L.; Penfold, J.; Thomas, R.K.; Smyth, T.J.; Perfumo, A.; Marchant, R.; Banat, I.M.; Stevenson, P.; Parry, A.; Tucker, I.; et al. Mixing Behaviour of the Biosurfactant, Rhamnolipid, with a Conventional Anionic Surfactant, Sodium Dodecyl Benzene Sulfonate. Langmuir 2010, 23, 17958–17968. [Google Scholar] [CrossRef]
- Xu, L.; Amin, S. Microrheological study of ternary surfactant-biosurfactant mixtures. Int J. Cosmet Sci 2019, 41, 364–370. [Google Scholar] [CrossRef]
- Adamson, W.; Gast, A.P. Physical Chemistry of Surfaces, 6th ed.; Wiley Interscience: New York, NY, USA, 1997. [Google Scholar]
- Mańko, D.; Zdziennicka, A.; Jańczuk, B. Surface tension of polytetrafluoroethylene and its wetting by aqueous solution of some surfactants and their mixtures. Appl. Surf. Sci. 2017, 392, 117–125. [Google Scholar] [CrossRef]
- Szymczyk, K.; Zdziennicka, A.; Krawczyk, J.; Jańczuk, B. Correlation between wetting, adhesion and adsorption in the polymer–aqueous solutions of ternary surfactant mixtures–air systems. Appl. Surf. Sci. 2014, 288, 488–496. [Google Scholar] [CrossRef]
- Szymczyk, K.; González-Martín, M.L.; Morales Bruque, J.; Jańczuk, B. Effect of two hydrocarbon and one fluorocarbon surfactant mixtures on the surface tension and wettability of polymers. J. Colloid Interface Sci. 2014, 47, 180–187. [Google Scholar] [CrossRef] [PubMed]
- Rekiel, E.; Zdziennicka, A.; Szymczyk, K.; Jańczuk, B. Thermodynamic Analysis of the Adsorption and Micellization Activity of the Mixtures of Rhamnolipid and Surfactin with Triton X-165. Molecules 2022, 27, 3600. [Google Scholar] [CrossRef]
- Godin, M.S.; Della Torre, T. The use of expanded polytetrafluoroethylene (e-PTFE) implants in rhinoplasty. Oper. Tech. Otolayngol. Head Neck. Surg. 2008, 19, 285–289. [Google Scholar] [CrossRef]
- Krawczyk, J. Surface free energy of the human skin and its critical surface tension of wetting in the skin/surfactant aqueous solution/air system. Skin Res. Technol. 2015, 21, 214–223. [Google Scholar] [CrossRef]
- van Oss, C.J.; Chaudhury, M.K.; Good, R.J. Monopolar surfaces. Adv. Colloid Interface Sci. 1987, 28, 35–64. [Google Scholar] [CrossRef]
- van Oss, C.J. Interfacial Forces in Aqueous Media, 1st ed.; Marcel Dekker: New York, NY, USA, 1994. [Google Scholar]
- van Oss, C.J.; Constanzo, P.M. Adhesion of anionic surfactants to polymer surfaces and low-energy materials. J. Adhes. Sci. Technol. 1992, 4, 477–487. [Google Scholar] [CrossRef]
- Fowkes, F.M. Attractive forces at interfaces. Ind. Eng. Chem. 1964, 56, 40–52. [Google Scholar] [CrossRef]
- Szymczyk, K.; Zdziennicka, A.; Krawczyk, J.; Jańczuk, B. Wettability, adhesion, adsorption and interface tension in the polymer/surfactant aqueous solution system: II. Work of adhesion and adsorption of surfactant at polymer–solution and solution–air interfaces. Colloids Surf. A Physicochem. Eng. Asp. 2012, 402, 139–145. [Google Scholar] [CrossRef]
- Beyer, K. Phase structures, water binding, and molecular dynamics in liquid crystalline and frozen states of the system Triton X-100-D2O: A deuteron and carbon NMR study. J. Colloid Interface Sci. 1982, 86, 73–89. [Google Scholar] [CrossRef]
- Desai, T.R.; Dixit, S.G. Interaction and Viscous Properties of Aqueous Solutions of Mixed Cationic and Nonionic Surfactants. J. Colloid Interface Sci. 1996, 177, 471–477. [Google Scholar] [CrossRef]
- Zdziennicka, A.; Krawczyk, J.; Szymczyk, K.; Jańczuk, B. Macroscopic and microscopic properties of some surfactants and biosurfactants. Int. J. Mol. Sci. 2018, 19, 1934. [Google Scholar] [CrossRef] [PubMed] [Green Version]
- Rekiel, E.; Zdziennicka, A.; Jańczuk, B. Mutual influence of ethanol and surfactin on their wetting and adhesion properties. Colloids Surf. A Physicochem. Eng. Asp. 2021, 627, 127161. [Google Scholar] [CrossRef]
- Lucassen-Reynders, E.H. Contact angles and adsorption on solids. J. Phys. Chem. 1963, 67, 969–972. [Google Scholar] [CrossRef]
- Boer, J.H. The Dynamical Character of Adsorption, 1st ed.; Oxford University Press: London, UK, 1953. [Google Scholar]
- Zdziennicka, A.; Szymczyk, K.; Krawczyk, J.; Jańczuk, B. Activity and thermodynamic parameters of some surfactants adsorption at the water–air interface. Fluid. Phase Equilib. 2012, 318, 25–33. [Google Scholar] [CrossRef]
- Zdziennicka, A.; Krawczyk, J.; Jańczuk, B. Volumetric properties of rhamnolipid and surfactin at different temperatures. J. Mol. Liq. 2018, 255, 562–571. [Google Scholar] [CrossRef]
- Rekiel, E.; Zdziennicka, A.; Jańczuk, B. Adsorption of surfactin at water with ethanol mixture-air interface. J. Mol. Liq. 2020, 300, 112240. [Google Scholar] [CrossRef]
- Zisman, W.A. Contact angle wettability and adhesion. In Advances in Chemistry Series; Fowkes, F.M., Ed.; American Chemical Society: Washington, DC, USA, 1964; Volume 43, pp. 1–51. [Google Scholar]
- Bernett, M.K.; Zisman, W.A. Relation of wettability by aqueous solutions to the surface constitution of low-energy solids. J. Phys. Chem. 1959, 63, 1241–1246. [Google Scholar] [CrossRef]
- Szymczyk, K.; Zdziennicka, A.; Jańczuk, B. Properties of some nonionic fluorocarbon surfactants and their mixtures with hydrocarbon ones. Adv. Colloid Interface Sci. 2021, 292, 102421. [Google Scholar] [CrossRef]









| Substance | Components and Parameters [mN/m] | [mN/m] | Refs. | |||
|---|---|---|---|---|---|---|
| SF (head) | 34.25 | 8.55 | 0.37 | 49.39 | 42.80 | [24,34] |
| SF (tail) | 24.70 | 0.00 | 0.00 | 0.00 | 24.70 | [24,34] |
| Water | 26.85 | 45.95 | 22.975 | 22.975 | 72.80 | [24,34] |
| RL (head) | 35.38 | 3.01 | 0.04 | 56.74 | 38.39 | [24,34] |
| RL (tail) | 21.80 | 0.00 | 0.00 | 0.00 | 21.80 | [24,34] |
| TX165 (head) | 27.70 | 8.14 | 0.33 | 50.20 | 35.84 | [24,34] |
| TX165 (tail) | 22.00 | 0.00 | 0.00 | 0.00 | 22.00 | [24,34] |
| PTFE | 20.24 | 0.00 | 0.00 | 0.00 | 20.24 | [35] |
| PMMA | 41.28 | 0.00 | 0.00 | 7.28 | 41.28 | [35] |
| Quartz | 38.07 | 9.63 | 1.61 | 14.36 | 47.70 | [35] |
| Substrates | PTFE | PMMA | Quartz | ||||||
|---|---|---|---|---|---|---|---|---|---|
| SF (head) | 52.66 | 10.38 | −32.94 | 78.48 | 5.60 | −7.12 | 94.66 | −4.16 | 9.06 |
| SF (tail) | 44.72 | 0.22 | −4.68 | 63.86 | 2.12 | 14.46 | 61.33 | 11.07 | 11.93 |
| Water | 46.62 | 46.42 | −98.98 | 92.45 | 21.63 | −53.15 | 112.43 | 8.07 | −33.17 |
| RL (head) | 53.52 | 5.11 | −23.26 | 77.51 | 2.16 | 0.73 | 94.03 | −7.94 | 17.25 |
| RL (tail) | 42.01 | 0.03 | −1.59 | 60 | 3.08 | 16.40 | 57.62 | 11.88 | 14.02 |
| TX165 (head) | 47.36 | 8.72 | −24.32 | 70.73 | 6.39 | −0.95 | 87.28 | −3.74 | 15.60 |
| TX165 (tail) | 42.20 | 0.04 | −1.80 | 60.27 | 3.01 | 16.27 | 57.88 | 11.82 | 13.88 |
| Δ | ||||||
|---|---|---|---|---|---|---|
| TX 165 | RL | SF | ||||
| Interface | Equation (12) 1 | Equation (10) | Equation (12) 1 | Equation (10) | Equation (12) 1 | Equation (10) |
| W-A | −44.00 | −44.23 | −42.57 | −44.79 | −47.37 | −51.53 |
| PTFE-W | −43.89 | −42.53 | −42.70 | −44.59 | −51.54 | −52.15 |
| PMMA-W | −44.58 | −44.11 | −43.31 | - | −49.52 | - |
| Q-W | −43.58 | −42.53 | −43.02 | - | −50.23 | - |
| Gibbs surface excess concentration, (×10−6 mol/m2) | ||||||
| Interface | ||||||
| W-A | 2.12 | 4.65 | 2.01 | 2.403 | 1.382 | 1.782 |
| PTFE-W | 2.10 | 4.65 | 1.98 | 2.28 | 1.34 | 1.75 |
| PMMA-W | 1.27 | 2.80 | 0.71 | 0.91 | 0.55 | 1.10 |
| PMMA-A | 1.00 | 2.80 | 0.98 | 1.20 | 0.64 | 1.10 |
| Q-W | 0.50 | 1.03 | 0.34 | 0.47 | 0.51 | 0.87 |
| Q-A | 0.91 | 1.20 | 0.69 | 0.91 | 0.67 | 0.87 |
| Occupied area [Å2] | ||||||
| W-A | 78.32 | 35.70 | 82.60 | 69.09 | 120.38 | 93.14−120.24 |
| PTFE-W | 79.06 | 35.70 | 82.80 | 72.82 | 123.90 | 93.14−120.24 |
| PMMA-W | 130.73 | 59.30 | 233.85 | 182.45 | 301.87 | 150.94 |
| PMMA-A | 166.03 | 59.30 | 169.41 | 138.36 | 259.42 | 150.94 |
| Q-W | 332.06 | 161.19 | 488.32 | 353.26 | 325.55 | 190.84 |
| Q-A | 182.45 | 138.36 | 240.62 | 132.45 | 247.81 | 190.84 |
| Contactable area,[Å2] | ||||||
| TX165 | RL | SF | ||||
| Surfactant | Tail | Head | Tail | Head | Tail | Head |
| 61.12 | 100.61 | 87.25 | 72.13 | 75.95 | 255.56 | |
| PTFE-W | PMMA-A | PMMA-W | Q-A | Q-W | ||||||
|---|---|---|---|---|---|---|---|---|---|---|
| Mixture | Equation (12) | Equation (10) | Equation (12) | Equation (10) | Equation (12) | Equation (10) | Equation (12) | Equation (10) | Equation (12) | Equation (10) |
| TX165 + RL (const RL) | −43.63 | −42.91 | −42.89 | −42.11 | −42.90 | −41.91 | −35.79 | - | −44.16 | −43.44 |
| TX165 + SF (const SF) | −44.17 | −43.84 | −43.47 | −42.74 | −44.05 | −43.25 | −46.35 | −45.15 | −46.18 | −46.00 |
| TX165 + RL (const TX165) | −42.13 | −41.51 | −42.66 | −42.15 | −45.36 | −45.14 | −46.07 | −45.81 | −48.51 | −48.01 |
| TX165 + SF (const TX165) | −49.42 | −48.15 | −48.71 | −49.05 | −49.33 | −49.11 | −51.16 | −50.25 | −52.64 | −51.13 |
Publisher’s Note: MDPI stays neutral with regard to jurisdictional claims in published maps and institutional affiliations. |
© 2022 by the authors. Licensee MDPI, Basel, Switzerland. This article is an open access article distributed under the terms and conditions of the Creative Commons Attribution (CC BY) license (https://creativecommons.org/licenses/by/4.0/).
Share and Cite
Rekiel, E.; Zdziennicka, A.; Szymczyk, K.; Jańczuk, B. Wetting Properties of Rhamnolipid and Surfactin Mixtures with Triton X-165. Molecules 2022, 27, 4706. https://doi.org/10.3390/molecules27154706
Rekiel E, Zdziennicka A, Szymczyk K, Jańczuk B. Wetting Properties of Rhamnolipid and Surfactin Mixtures with Triton X-165. Molecules. 2022; 27(15):4706. https://doi.org/10.3390/molecules27154706
Chicago/Turabian StyleRekiel, Edyta, Anna Zdziennicka, Katarzyna Szymczyk, and Bronisław Jańczuk. 2022. "Wetting Properties of Rhamnolipid and Surfactin Mixtures with Triton X-165" Molecules 27, no. 15: 4706. https://doi.org/10.3390/molecules27154706
APA StyleRekiel, E., Zdziennicka, A., Szymczyk, K., & Jańczuk, B. (2022). Wetting Properties of Rhamnolipid and Surfactin Mixtures with Triton X-165. Molecules, 27(15), 4706. https://doi.org/10.3390/molecules27154706

