The Baffle Length Effects on the Natural Convection in Nanofluid-Filled Square Enclosure with Sinusoidal Temperature
Abstract
1. Introduction
2. Numerical Technique
3. Solution Method
4. Results and Discussion
4.1. Rayleigh Number Effects
4.2. Baffle Thermal Conductivity RatioEffects
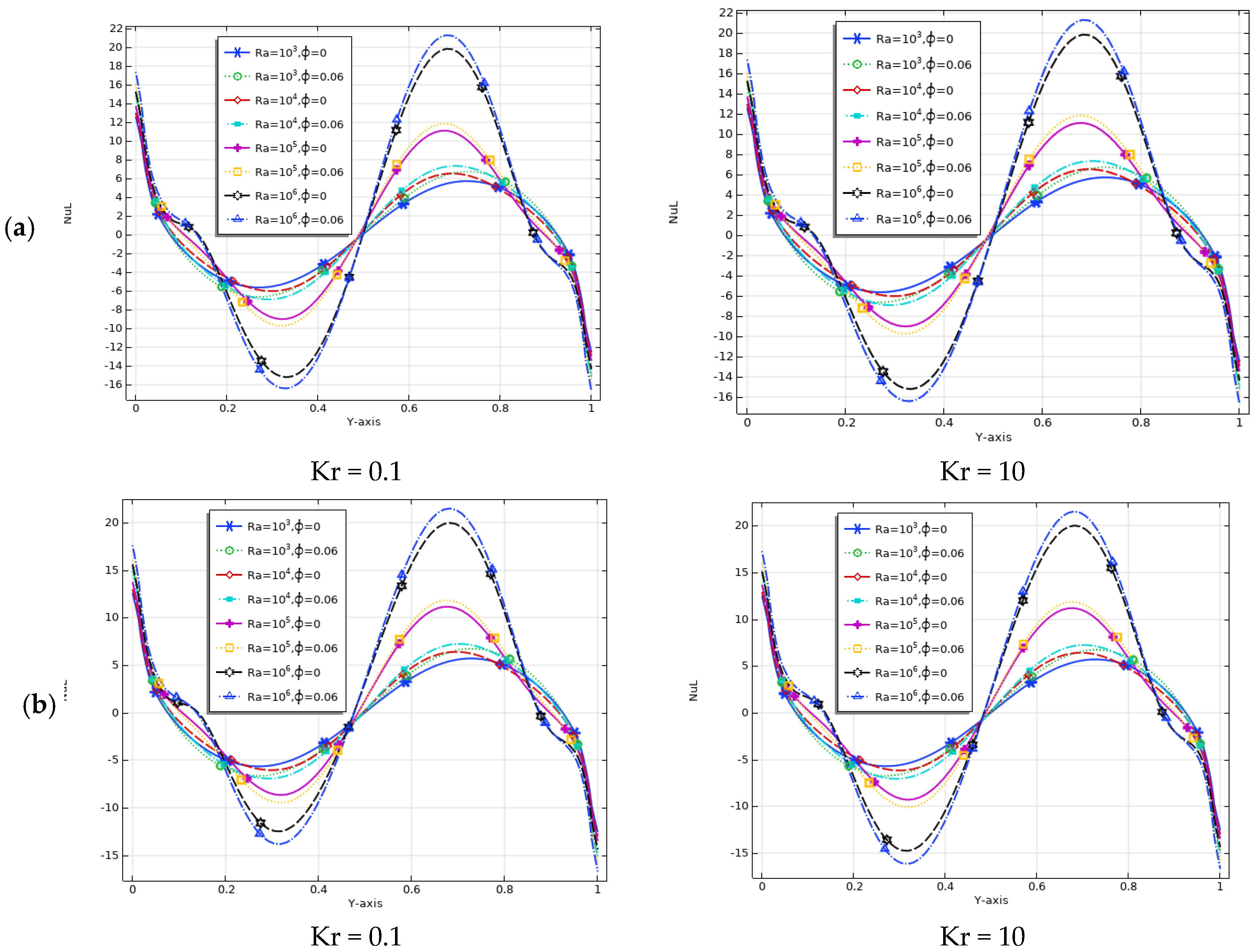
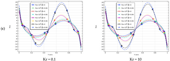
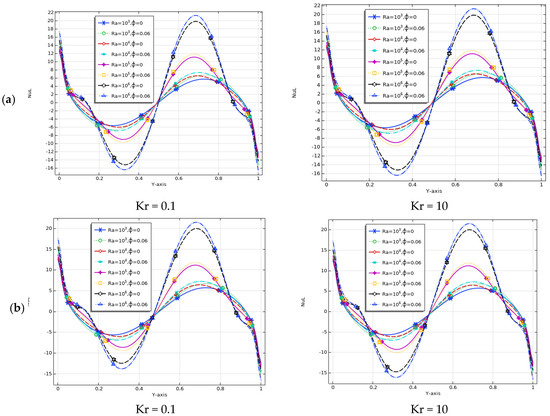
4.3. Local Nusselt Number
5. Conclusions
- When the baffle height increased, the natural flow direction was limited by the existence of the baffle. The isotherm distribution was better due to the larger convective heat transfer flux at lower altitudes.
- When the baffle length was short (Lb = 0.3), the heat transfer rate increased, whereas, in the range of 0.5–0.7, the heat transfer rate decreased.
- By increasing the thermal conductivity ratio, the Nusselt number increased due to the high heat transfer through the baffle, which could be transferred to the cavity without the baffle effect.
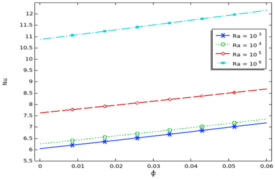
- The Nusselt number increased with the Rayleigh number and nanofluid concentration due to the increase in buoyancy force and thermal conductivity. The circulating cores corresponding to nanofluids were also stronger than those of pure water at high Rayleigh numbers.
Author Contributions
Funding
Institutional Review Board Statement
Informed Consent Statement
Data Availability Statement
Acknowledgments
Conflicts of Interest
Nomenclature
| AR | Aspect ratio |
| Cp | Specific heat, J·kg−1·K−1 |
| d | Wall thickness, m |
| g | Gravitational acceleration, m·s−2 |
| k | Thermal conductivity, W·m−1·K−1 |
| Kr | Thermal conductivity ratio (Kr = kb/kf) |
| L | Length of the enclosure, m |
| lb | Baffle length, m |
| Lb | Nondimensional Baffle length (Lb = lb/H) |
| Local Nusselt number | |
| Nuav | Average Nusselt number |
| P | Nondimensional pressure |
| p | Pressure, kg/(m·s2) |
| Pr | Prandtl number |
| Ra | Modified Rayleigh number |
| Gr | Grashof number |
| T | Dimensional temperature, °C |
| U | Nondimensional velocity component X-direction, |
| V | Nondimensional velocity component Y-direction, |
| wb | Baffle width, m |
| Wb | Nondimensional baffle width, (Wb = wb/L) |
| X | Nondimensional X-coordinate |
| Y | Nondimensional Y-coordinate |
| Greek symbols | |
| ν | Kinematic viscosity, m2/s |
| ψ | Stream function |
| ϕ | Solid volume fraction |
| θ | Dimensionless temperature |
| Φ | Baffle inclination angle, ° |
| ρ | Density, kg/m3 |
| µ | Dynamic viscosity, kg·m−1·s−1 |
| α | Thermal diffusivity, m2·s−1 |
| β | Thermal expansion coefficient, K−1 |
| Subscripts | |
| b | Baffle |
| c | Cold |
| f | Fluid (pure water) |
| h | Hot |
| nf | Nanofluid |
| p | Nanoparticle |
| S | Solid |
| W | Wall |
References
- Choi, S.U.S.; Eastman, J.A. Enhancing Thermal Conductivity of Fluids with Nanoparticles; Argonne National Lab. (ANL): Argonne, IL, USA, 1995. [Google Scholar]
- Abdulsahib, A.D.; Al-Farhany, K. Review of the effects of stationary/rotating cylinder in a cavity on the convection heat transfer in porous media with/without nanofluid. Math. Model. Eng. Probl. 2021, 8, 356–364. [Google Scholar] [CrossRef]
- Al-Chlaihawi, K.K.; Alaydamee, H.H.; Faisal, A.E.; Al-Farhany, K.; Alomari, M.A. Newtonian and non-Newtonian nanofluids with entropy generation in conjugate natural convection of hybrid nanofluid-porous enclosures: Areview. HeatTransf. 2021, 51, 1725–1745. [Google Scholar] [CrossRef]
- Qi, C.; Cui, X.; Liu, Y.; Yang, Z.; Huang, C. Natural convection heat transfer of liquid metal gallium nanofluids in a rectangular enclosure. Heat Transfer—Asian Res. 2017, 46, 1–17. [Google Scholar] [CrossRef]
- Nciri, R.; AliRothan, Y.; Nasri, F.; Ali, C. Fe3O4-water nanofluid free convection within an inclined 2D rectangular enclosure heated by solar energy using finned absorber plate. Appl. Sci. 2021, 11, 486. [Google Scholar] [CrossRef]
- Basak, T.; Chamkha, A.J. Heatline analysis on natural convection for nanofluids confined within square cavities with various thermal boundary conditions. Int. J. HeatMassTransf. 2012, 55, 5526–5543. [Google Scholar] [CrossRef]
- Cianfrini, M.; Corcione, M.; Quintino, A. Natural convection in square enclosures differentially heated at sides using alumina-water nanofluids with temperature-dependent physical properties. Therm. Sci. 2015, 19, 591–608. [Google Scholar] [CrossRef]
- Alomari, M.A.; Al-Farhany, K.; Hashem, A.L.; Al-Dawody, M.F.; Redouane, F.; Olayemi, O.A. Numerical study of mhd natural convection in trapezoidal enclosure filled with (50%mgo-50%ag/water) hybrid nanofluid: Heated sinusoidal from below. Int. J. Heat Technol. 2021, 39, 1271–1279. [Google Scholar] [CrossRef]
- Fichera, A.; Marcoux, M.; Pagano, A.; Volpe, R. An analytical model for natural convection in a rectangular enclosure with differentially heated vertical walls. Energies 2020, 13, 3220. [Google Scholar] [CrossRef]
- Shi, X.; Khodadadi, J.M. Laminar Natural Convection Heat Transfer in a Differentially Heated Square Cavity Due to a Thin Fin on the Hot Wall. J. Heat Transf. 2003, 125, 624–634. [Google Scholar] [CrossRef]
- Humaira Tasnim, S.; Collins, M.R. Numerical analysis of heat transfer in a square cavity with a baffle on the hot wall. Int. Comm. Heat Mass Transf. 2004, 31, 639–650. [Google Scholar] [CrossRef]
- Bilgen, E. Natural convection in cavities with a thin fin on the hot wall. Int. J. Heat Mass Transf. 2005, 48, 3493–3505. [Google Scholar] [CrossRef]
- Oztop, H.; Bilgen, E. Natural convection in differentially heated and partially divided square cavities with internal heat generation. Int. J. Heat Fluid Flow 2006, 27, 466–475. [Google Scholar] [CrossRef]
- Ambarita, H.; Kishinami, K.; Daimaruya, M.; Saitoh, T.; Takahashi, H.; Suzuki, J. Laminar natural convection heat transfer in an air filled square cavity with two insulated baffles attached to its horizontal walls. Thermal Sci. Eng. 2006, 14, 35–46. [Google Scholar]
- Ben-Nakhi, A.; Chamkha, A.J. Effect of length and inclination of a thin fin on natural convection in a square enclosure. Numer. Heat Transf. Part A Appl. 2006, 50, 381–399. [Google Scholar] [CrossRef]
- Ghassemi, M.; Pirmohammadi, M.; Sheikhzadeh, G.H. A Numerical Study of Natural Convection in a Tilted Cavity with Two Baffles Attached to its Isothermal Walls. WSEAS Trans. Fluid Mech. 2007, 2, 61–68. [Google Scholar]
- Nardini, G.; Paroncini, M.; Vitali, R. Natural convection in a square cavity with two baffles on the vertical walls: Experimental and numerical investigation. Int. J. Mech. 2015, 9, 120–127. [Google Scholar]
- Elatar, A.; Teamah, M.A.; Hassab, M.A. Numerical study of laminar natural convection inside square enclosure with single horizontal fin. Int. J. Therm. Sci. 2016, 99, 41–51. [Google Scholar] [CrossRef]
- Torabi, M.; Keyhani, A.; Peterson, G.P. A comprehensive investigation of natural convection inside a partially differentially heated cavity with a thin fin using two-set lattice Boltzmann distribution functions. Int. J. Heat Mass Transf. 2017, 115, 264–277. [Google Scholar] [CrossRef]
- Mahmoudi, A.H.; Shahi, M.; Raouf, A.H.; Ghasemian, A. Numerical study of natural convection cooling of horizontal heat source mounted in a square cavity filled with nanofluid. Int. Comm. Heat Mass Transf. 2010, 37, 1135–1141. [Google Scholar] [CrossRef]
- Habibzadeh, A.; Sayehvand, H.; Mekanik, A. Numerical study of natural convection in a partitioned square cavity filled with nanofluid. Int. J. Chem. Eng. Applicat. 2011, 2, 261. [Google Scholar] [CrossRef][Green Version]
- Sayehvand, H.; Habibzadeh, A.; Mekanik, A. CFD analysis of natural convection heat transfer in a square cavity with partitions utilizing Al2O3 nanofluid. Int. J. Nano Dim. 2012, 2, 191–200. [Google Scholar]
- Naoufal, Y.; Zaydan, M.; Rachid, S. Numerical study of natural convection in a square cavity with partitions utilizing Cu-Water nanofluid. Int. J. Innov. Res. Sci. Eng. Tech. 2015, 4, 10354–10367. [Google Scholar]
- Selimefendigil, F.; Öztop, H.F. Conjugate natural convection in a cavity with a conductive partition and filled with different nanofluids on different sides of the partition. J. Mol. Liq. 2016, 216, 67–77. [Google Scholar] [CrossRef]
- Mobedi, M. Conjugate natural convection in a square cavity with finite thickness horizontal walls. Int. Comm. Heat Mass Transf. 2008, 35, 503–513. [Google Scholar] [CrossRef]
- Wu, F.; Zhou, W.; Ma, X. Natural convection in a porous rectangular enclosure with sinusoidal temperature distributions on both side walls using a thermal non-equilibrium model. Int. J. Heat Mass Transf. 2015, 85, 756–771. [Google Scholar] [CrossRef]
- Alsabery, A.I.; Chamkha, A.J.; Saleh, H.; Hashim, I. Heatline visualization of conjugate natural convection in a square cavity filled with nanofluid with sinusoidal temperature variations on both horizontal walls. Int. J. Heat Mass Transf. 2016, 100, 835–850. [Google Scholar] [CrossRef]
- Al-Farhany, K.; Abdulkadhim, A. Numerical investigation of conjugate natural convection heat transfer in a square porous cavity heated partially from left sidewall. Int. J. Heat Tech. 2018, 36, 237–244. [Google Scholar] [CrossRef]
- Zahan, I.; Alim, M. Effect of conjugate heat transfer on flow of nanofluid in a rectangular enclosure. Int. J. Heat Tech. 2018, 36, 397–405. [Google Scholar] [CrossRef]
- Nia, S.N.; Rabiei, F.; Rashidi, M.M.; Kwang, T.M. Lattice Boltzmann simulation of natural convection heat transfer of a nanofluid in a L-shape enclosure with a baffle. Results Phys. 2020, 19, 103413. [Google Scholar]
- Keramat, F.; Dehghan, P.; Mofarahi, M.; Lee, C.-H. Numerical analysis of natural convection of alumina–water nanofluid in H-shaped enclosure with a V-shaped baffle. J. Taiwan Inst. Chem. Eng. 2020, 111, 63–72. [Google Scholar] [CrossRef]
- Al-Farhany, K.; Al-dawody, M.F.; Hamzah, D.A.; Al-Kouz, W.; Said, Z. Numerical investigation of natural convection on Al2O3–water porous enclosure partially heated with two fins attached to its hot wall: Under the MHD effects. Appl. Nanosci. 2021, 1–18. [Google Scholar] [CrossRef]
- Al-Farhany, K.; Al-Chlaihawi, K.K.; Al-dawody, M.F.; Biswas, N.; Chamkha, A.J. Effects of fins on magnetohydrodynamic conjugate natural convection in a nanofluid-saturated porous inclined enclosure. Int. Comm. Heat Mass Transf. 2021, 126, 105413. [Google Scholar] [CrossRef]
- Abdulsahib, A.D.; Al-Farhany, K. Numerical Investigation of the nanofluid mixed convection on two layers enclosure with rotating cylinder: High Darcy number effects. In IOP Conference Series: Materials Science and Engineering; IOP Publishing: Bristol, UK, 2020; Volume 928, p. 022001. [Google Scholar]
- Olayemi, O.A.; Khaled, A.F.; Temitope, O.J.; Victor, O.O.; Odetunde, C.B.; Adegun, I.K. Parametric study of natural convection heat transfer from an inclined rectangular cylinder embedded in a square enclosure. Aust. J. Mech. Eng. 2021, 1–14. [Google Scholar] [CrossRef]
- Al-Farhany, K.; Alomari, M.A.; Saleem, K.B.; Al-Kouz, W.; Biswas, N. Numerical investigation of double-diffusive natural convection in a staggered cavity with two triangular obstacles. Eur. Phys. J. Plus. 2021, 136, 814. [Google Scholar] [CrossRef]
- Redouane, F.; Jamshed, W.; Devi, S.S.U.; Amine, B.M.; Safdar, R.; Al-Farhany, K.; Eid, M.R.; Nisar, K.S.; Abdel-Aty, A.H.; Yahia, I.S. Influence of entropy on Brinkman–Forchheimer model of MHD hybrid nanofluid flowing in enclosure containing rotating cylinder and undulating porous stratum. Sci. Rep. 2021, 11, 24316. [Google Scholar] [CrossRef]
- Al-Kouz, W.; Medebber, M.A.; Elkotb, M.A.; Abderrahmane, A.; Aimad, K.; Al-Farhany, K.; Jamshed, W.; Moria, H.; Aldawi, F.; Saleel, C.A.; et al. Galerkin finite element analysis of Darcy–Brinkman–Forchheimer natural convective flow in conical annular enclosure with discrete heat sources. Energy Rep. 2021, 7, 6172–6181. [Google Scholar] [CrossRef]
- Ganesh, G.R.; Sridhar, W.; Al-Farhany, K.; Ahmed, S.E. Electrically MHD Casson nanofluid flow and entropy exploration under the influence of the viscous dissipation, radiation, and higher-order chemical reaction. Phys. Scr. 2022, 97, 065208. [Google Scholar] [CrossRef]
- Nasri, F.; Ali Rothan, Y.; Nciri, R.; Ali, C. MHD Natural Convection of a Fe3O4–Water Nanofluid within an Inside Round Diagonal Corner Square Cavity with Existence of Magnetic Source. Appl. Sci. 2020, 10, 3236. [Google Scholar] [CrossRef]
- Khetib, Y.; Alahmadi, A.A.; Alzaed, A.; Tahmasebi, A.; Sharifpur, M.; Cheraghian, G. Natural convection and entropy generation of MgO/water nanofluids in the enclosure under a magnetic field and radiation effects. Processes 2021, 9, 1277. [Google Scholar] [CrossRef]
- Aminossadati, S.; Ghasemi, B. Natural convection cooling of a localised heat source at the bottom of a nanofluid-filled enclosure. Eur. J. Mech.-B/Fluids 2009, 28, 630–640. [Google Scholar] [CrossRef]
- Mahmoodi, M.; Sebdani, S.M. Natural convection in a square cavity containing a nanofluid and an adiabatic square block at the center. Superlattices Microstruct. 2012, 52, 261–275. [Google Scholar] [CrossRef]
- Alsabery, A.I.; Ismael, M.A.; Chamkha, A.J.; Hashim, I. Mixed convection of Al 2 O 3-water nanofluid in a double lid-driven square cavity with a solid inner insert using Buongiorno’s two-phase model. Int. J. Heat Mass Transf. 2018, 119, 939–961. [Google Scholar] [CrossRef]
- Abdulsahib, A.D.; Hashim, A.S.; Al-Farhany, K.; Abdulkadhim, A.; Mebarek-Oudina, F. Natural convection investigation under influence of internal bodies within a nanofluid-filled square cavity. Eur. Phys. J. Spec. Top. 2022, 1–17. [Google Scholar] [CrossRef]
- Brinkman, H. The viscosity of concentrated suspensions and solutions. J. Chem. Phys. 1952, 20, 571. [Google Scholar] [CrossRef]
- Maxwell, J.C.; Thompson, J.J. A Treatise on Electricity and Magnetism; Clarendon: Oxford, UK, 1904; Volume 2. [Google Scholar]
- Sheikhzadeh, G.A.; Arefmanesh, A.; Kheirkhah, M.H.; Abdollahi, R. Natural convection of Cu–water nanofluid in a cavity with partially active side walls. Eur. J. Mech.-B/Fluids 2011, 30, 166–176. [Google Scholar] [CrossRef]
- Oztop, H.F.; Abu-Nada, E.; Varol, Y.; Al-Salem, K. Computational analysis of non-isothermal temperature distribution on natural convection in nanofluid filled enclosures. Superlattices Microstruct. 2011, 49, 453–467. [Google Scholar] [CrossRef]














| Properties | Pure Water | Cu |
|---|---|---|
| Cp (J/kg·K) | 4179 | 385 |
| ρ (kg/m3) | 997.1 | 8933 |
| k (W/m·K) | 0.613 | 401 |
| Β (1/K) | 21 × 10−5 | 1.67 × 10−5 |
Publisher’s Note: MDPI stays neutral with regard to jurisdictional claims in published maps and institutional affiliations. |
© 2022 by the authors. Licensee MDPI, Basel, Switzerland. This article is an open access article distributed under the terms and conditions of the Creative Commons Attribution (CC BY) license (https://creativecommons.org/licenses/by/4.0/).
Share and Cite
Al-Farhany, K.; Al-Muhja, B.; Ali, F.; Khan, U.; Zaib, A.; Raizah, Z.; Galal, A.M. The Baffle Length Effects on the Natural Convection in Nanofluid-Filled Square Enclosure with Sinusoidal Temperature. Molecules 2022, 27, 4445. https://doi.org/10.3390/molecules27144445
Al-Farhany K, Al-Muhja B, Ali F, Khan U, Zaib A, Raizah Z, Galal AM. The Baffle Length Effects on the Natural Convection in Nanofluid-Filled Square Enclosure with Sinusoidal Temperature. Molecules. 2022; 27(14):4445. https://doi.org/10.3390/molecules27144445
Chicago/Turabian StyleAl-Farhany, Khaled, Barik Al-Muhja, Farhan Ali, Umair Khan, Aurang Zaib, Zehba Raizah, and Ahmed M. Galal. 2022. "The Baffle Length Effects on the Natural Convection in Nanofluid-Filled Square Enclosure with Sinusoidal Temperature" Molecules 27, no. 14: 4445. https://doi.org/10.3390/molecules27144445
APA StyleAl-Farhany, K., Al-Muhja, B., Ali, F., Khan, U., Zaib, A., Raizah, Z., & Galal, A. M. (2022). The Baffle Length Effects on the Natural Convection in Nanofluid-Filled Square Enclosure with Sinusoidal Temperature. Molecules, 27(14), 4445. https://doi.org/10.3390/molecules27144445

