Inclusion Complex between Local Anesthetic/2-hydroxypropyl-β-cyclodextrin in Stealth Liposome
Abstract
1. Introduction
2. Results and Discussion
2.1. Subsection Complexing Efficiency (EE) and Constant Association (Ka) for BTB and RVC in HP-βCD
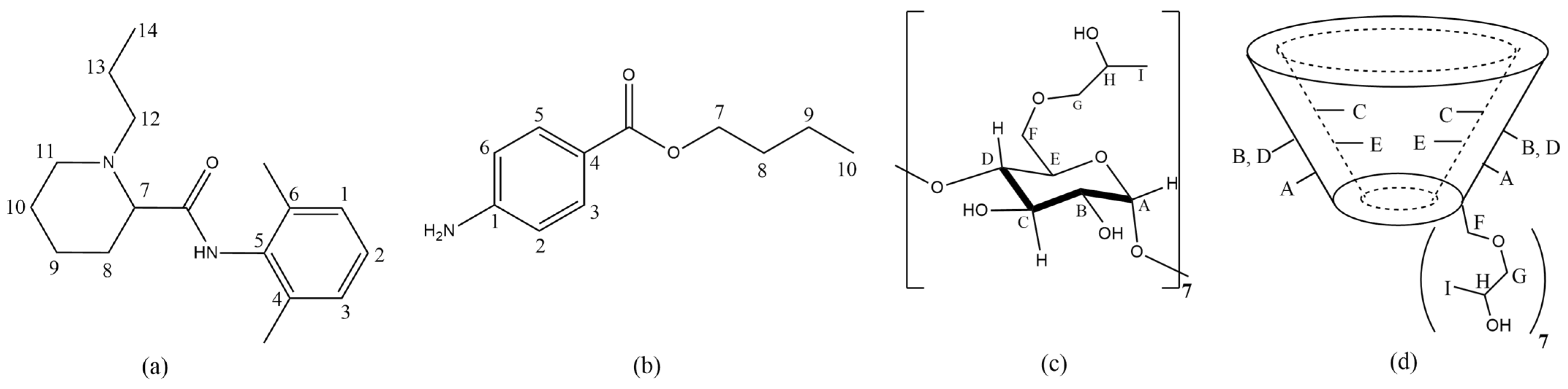
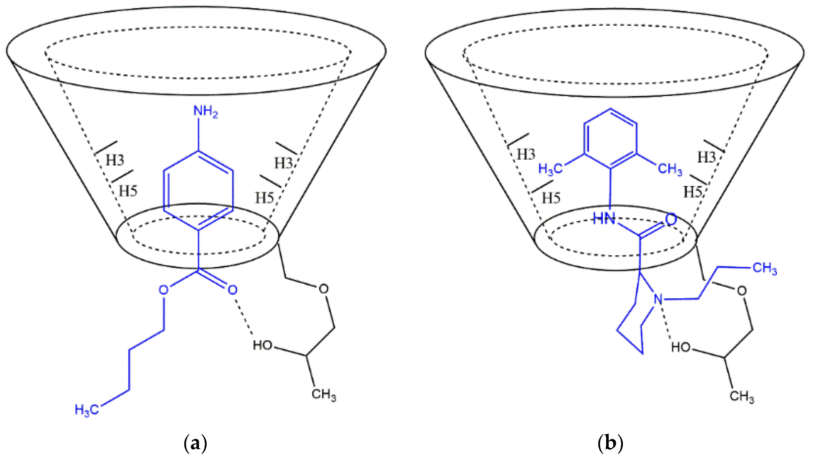
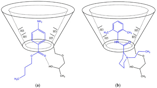
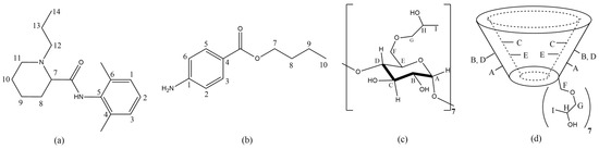
2.2. Analysis of LA/HP-βCD, LA/SL and LA/HP-βCD/SL Complexes Using Nuclear Magnetic Resonance (LA = BTB and RVC)
2.3. Analysis of Particle Size and Zeta Potential
3. Materials and Methods
3.1. Materials
3.2. Preparation of the Complex between Local Anesthetics RVC or BTB in HP-βCD
3.3. RVC or BTB Calibration Curve
3.4. Preparation of BTB Solutions for the Determination of Maximum Solubility (S0) in Sodium Phosphate Buffer pH 7.4
3.5. Complexing Efficiency and Phase Solubility of the BTB/HP-βCD and RVC/HP-βCD
3.6. Preparation and Encapsulation of LA in Long-Circulation Liposomes (RVC/SL and BTB/SL)
3.7. Ternary Complex Preparation (RVC/HP-βCD/SL)-(BTB/HP-βCD/SL)
3.8. Determination of Encapsulation Efficiency of the LA/SL and LA/HP-βCD/SL Complex (SL = RVC or BTB)
3.9. Nuclear Magnetic Resonance
3.10. Determination of Size, Zeta Potential and SL Particle Polydispersivity Index
4. Conclusions
Author Contributions
Funding
Institutional Review Board Statement
Informed Consent Statement
Data Availability Statement
Acknowledgments
Conflicts of Interest
Sample Availability
References
- Pastor, A.; Martínez-Viviente, E. NMR spectroscopy in coordination supramolecular chemistry: A unique and powerful methodology. Coord. Chem. Rev. 2008, 252, 2314–2345. [Google Scholar] [CrossRef]
- Kupče, Ē.; Frydman, L.; Webb, A.G.; Yong, J.R.J.; Claridge, T.D.W. Parallel nuclear magnetic resonance spectroscopy. Nat. Rev. Methods Primers 2021, 1, 27. [Google Scholar] [CrossRef]
- Periasamy, R. Cyclodextrin-based molecules as hosts in the formation of supramolecular complexes and their practical applications—A review. J. Carbohydr. Chem. 2021, 40, 135–155. [Google Scholar] [CrossRef]
- Mo, H.P.; Pochapsky, T.C. Intermolecular interactions characterized by nuclear overhauser effects. Prog. Nucl. Magn. Reson. Spectrosc. 1997, 30, 1–38. [Google Scholar] [CrossRef]
- Morris, K.F.; Johnson, C.S. diffusion-ordered 2-dimensional nuclear-magnetic-resonance spectroscopy. J. Am. Chem. Soc. 1992, 114, 3139–3141. [Google Scholar] [CrossRef]
- Meyer, B.; Peters, T. NMR Spectroscopy techniques for screening and identifying ligand binding to protein receptors. Angew. Chem. Int. Ed. 2003, 42, 864–890. [Google Scholar] [CrossRef]
- Jambhekar, S.S.; Breen, P. Cyclodextrins in pharmaceutical formulations II: Solubilization, binding constant, and complexation efficiency. Drug Discov. Today 2016, 21, 363–368. [Google Scholar] [CrossRef]
- Szente, L.; Singhal, A.; Domokos, A.; Song, B. Cyclodextrins: Assessing the impact of cavity size, occupancy, and substitutions on cytotoxicity and cholesterol homeostasis. Molecules 2018, 23, 1228. [Google Scholar] [CrossRef]
- Venturini, C.G.; Nicolini, J.; Machado, C.; Machado, V.G. Propriedades e aplicações recentes das ciclodextrinas. Quim. Nova 2008, 31, 360–368. [Google Scholar] [CrossRef]
- Freitas, C.F.; Calori, I.R.; Tessaro, A.L.; Caetano, W.; Hioka, N. Rapid formation of small unilamellar vesicles (SUV) through low-frequency sonication: An innovative approach. Colloids Surf. B 2019, 181, 837–844. [Google Scholar] [CrossRef]
- Vieira, A.L.N.; Franz-Montan, M.; Cabeça, L.F.; Paula, E. Anaesthetic benefits of a ternary drug delivery system (Ropivacaine-in-Cyclodextrin-in-Liposomes): In-Vitro and in-vivo evaluation. J. Pharm. Pharmacol. 2020, 72, 396–408. [Google Scholar] [CrossRef] [PubMed]
- Maritim, S.; Boulas, P.; Lin, Y. Comprehensive analysis of liposome formulation parameters and their influence on encapsulation, stability and drug release in glibenclamide liposomes. Int. J. Pharm. 2021, 592, 120051. [Google Scholar] [CrossRef] [PubMed]
- Holzschuh, S.; Kaeß, K.; Fahr, A.; Decker, C. Quantitative In vitro assessment of liposome stability and drug transfer employing asymmetrical flow field-flow fractionation (AF4). Pharm. Res. 2016, 33, 842–855. [Google Scholar] [CrossRef] [PubMed]
- Nag, O.K.; Awasthi, V. Surface engineering of liposomes for stealth behavior. Pharmaceutic 2013, 5, 542–569. [Google Scholar] [CrossRef] [PubMed]
- Batista, C.M.; Carvalho, C.M.B.; Magalhães, N.S.S. Lipossomas e suas aplicações terapêuticas: Estado da arte. Rev. Bras. Ciênc. Farm. 2007, 43, 167–179. [Google Scholar] [CrossRef]
- Immordino, M.L.; Dosio, F.; Cattel, L. Stealth liposomes: Review of the basic science, rationale, and clinical applications, existing and potential. Int. J. Nanomed. 2006, 1, 297–315. [Google Scholar]
- Mowat, J.J.; Mok, M.J.; Macleod, B.A.; Madden, T.D. Liposomal bupivacaine—Extended duration nerve blockade using large unilamellar vesicles that exhibit a proton gradient. Anesthesiology 1996, 85, 635–643. [Google Scholar] [CrossRef]
- Franz-Montan, M.; Silva, A.L.R.; Cogo, K.; Bergamaschi, C.C.; Volpato, M.C.; Ranali, J.; Paula, E.; Groppo, F.C. Liposome-encapsulated ropivacaine for topical anesthesia of human oral mucosa. Anesth. Analg. 2007, 104, 1528–1531. [Google Scholar] [CrossRef]
- Franz-Montan, M.; De Paula, E.; Groppo, F.C.; Ranali, J.; Volpato, M.C. Efficacy of liposome-encapsulated 0.5% ropivacaine in maxillary dental anaesthesia. Br. J. Oral. 2012, 55, 454–458. [Google Scholar] [CrossRef]
- Richard, B.M.; Ott, L.R.; Haan, D.; Brubaker, A.N.; Cole, P.I.; Nelson, K.G.; Ross, P.E.; Rebelatto, M.C.; Newton, P.E. The safety and tolerability evaluation of DepoFoam bupivacaine (bupivacaine extended-release liposome injection) administered by incision wound infiltration in rabbits and dogs. Expert Opin. Investig. Drugs 2011, 20, 1327–1341. [Google Scholar] [CrossRef]
- Mura, P.; Maestrelli, F.; Gonzalez-Rodriguez, M.; Michelacci, I.; Ghelardini, C.; Rabasco, A. Development, characterization and in vivo evaluation of benzocaine-loaded liposomes. Eur. J. Pharm. Biopharm. 2007, 67, 86–95. [Google Scholar] [CrossRef] [PubMed]
- Bezamat, J.M.; Yokaichiya, F.; Franco, M.K.K.D.; Castro, S.R.; Paula, E.; Cabeça, L.F. Complexation of the local anesthetic pramoxine with hydroxypropyl-betacyclodextrin can improve its bioavailability. J. Drug Deliv. Sci. Technol. 2020, 55, 101475. [Google Scholar] [CrossRef]
- Higuchi, T.; Connors, K.A. Phase solubility techniques. Anal. Chem. Instrum. 1965, 4, 117–212. [Google Scholar]
- Araujo, D.R.; Paula, E.; Fraceto, L.F. Anestésicos locais: Interação com membranas biológicas e com o canal de sódio voltagem-dependente. Quím. Nova 2008, 31, 1775–1783. [Google Scholar] [CrossRef][Green Version]
- Cavalcanti, I.M.F.; Mendonça, E.A.M.; Lira, M.C.B.; Honrato, S.B.; Camara, C.A.; Amorim, R.V.S.; Filho, J.M.; Rabello, M.M.; Hernandez, M.Z.; Ayala, A.P.; et al. The encapsulation of β-lapachone in 2-hydroxypropyl-β-cyclodextrin inclusion complex into liposomes: A physicochemical evaluation and molecular modeling approach. Eur. J. Pharm. Sci. 2011, 44, 332–340. [Google Scholar] [CrossRef] [PubMed]
- Barbosa, J.A.A.; Zoppi, A.; Quevedo, M.A.; Melo, P.N.; Medeiros, A.S.A.; Streck, L.; Oliveira, A.R.; Fernandes-Pedrosa, M.; Longhi, M.R.; Silva-Júnior, A.A. Triethanolamine stabilization of methotrexate-β-cyclodextrin interactions in ternary complexes. Int. J. Mol. Sci. 2014, 15, 17077–17099. [Google Scholar] [CrossRef]
- Moraes, C.M.; Abrami, P.; Gonçalves, M.M.; Filho, N.A.; Fernandes, S.A.; Paula, E.; Fraceto, L.F. Preparação e caracterização físico-química de complexos de inclusão entre anestésicos locais e hidroxipropil-β-ciclodextrina. Quím. Nova 2007, 30, 777–784. [Google Scholar] [CrossRef]
- Maestrelli, F.; González-Rodríguez, M.L.; Rabasco, A.M.; Ghelardini, C.; Mura, P. New “drug-in cyclodextrin-in deformable liposomes” formulations to improve the therapeutic efficacy of local anaesthetics. Int. J. Pharm. 2010, 395, 222–231. [Google Scholar] [CrossRef]
- De Paula, E.; Cereda, C.M.S.; Tofoli, G.R.; Franz-Montan, M.; Fraceto, L.F.; Araújo, D.R. Drug delivery systems for local anesthetics, recent pat. Drug Deliv. Formul. 2010, 4, 23–34. [Google Scholar] [CrossRef]
- Dehaghani, M.Z.; Bagheri, B.; Yousefi, F.; Nasiriasayesh, A.; Mashhadzadeh, A.H.; Zarrintaj, P.; Rabiee, N.; Bagherzadeh, M.; Fierro, V.; Celzard, A.; et al. Boron nitride nanotube as an antimicrobial peptide carrier: A theoretical insight. Int. J. Nanomed. 2021, 16, 1837–1847. [Google Scholar] [CrossRef]
- Lin, S.Y.; Kao, Y.H. Solid particles of drug-beta-CD inclusion complexes directly prepared by a spray-drying technique. Int. J. Pharm. 1989, 56, 249–259. [Google Scholar]
- Cabeça, L.F.; Fernandes, S.A.; Paula, E.; Marsaioli, A.J. Topology of a ternary complex (proparacaine–β-cyclodextrin–liposome) by STD NMR. Magn. Res. Chem. 2008, 46, 832–837. [Google Scholar] [CrossRef] [PubMed]
- Cabeça, L.F.; Figueiredo, I.M.; Paula, E.; Marsaioli, A.J. Prilocaine–cyclodextrin–liposome: Effect of pH variations on the encapsulation and topology of a ternary complex using 1H NMR. Magn. Reson. Chem. 2011, 49, 295–300. [Google Scholar] [CrossRef] [PubMed]
- Martins, L.; Arrais, M.; Souza, A.; Marsaioli, A. 1H NMR studies of binary and ternary dapsone supramolecular complexes with different drug carriers: EPC liposome, SBE-β-CD and β-CD. Magn. Reson. Chem. 2014, 52, 665–672. [Google Scholar] [CrossRef] [PubMed]
- Lacatusu, I.; Badea, B.; Stan, R.; Meghea, A. Novel bio-active lipid nanocarriers for the stabilization and sustained release of sitosterol. Nanotechnology 2012, 23, 455702. [Google Scholar] [CrossRef]
- DOSY Toolbox, Manchester NMR Methodology Group. Available online: https://nmr.chemistry.manchester.ac.uk/?q=node/8 (accessed on 22 June 2022).
- Haeri, A.; Sadeghian, S.; Rabbani, S.; Anvari, M.S.; Lavasanifar, A.; Amini, M.; Simin, D. Sirolimus-loaded stealth colloidal systems attenuate neointimal hyperplasia after balloon injury: A comparison of phospholipid micelles and liposomes. S. Int. J. Pharm. 2013, 455, 320–330. [Google Scholar] [CrossRef] [PubMed]





| H | BTB (ppm) | BTB/SL δ 1H (ppm) | Δδ (ppm) | BTB/HP-βCD (ppm) | Δδ (ppm) | BTB/HP-βCD/SL (ppm) | Δδ (ppm) |
| 2 | 6.76 | - | - | 6.69 | −0.07 | 6.67 | −0.02 |
| 3 | 7.78 | - | - | 7.66 | −0.12 | 7.66 | 0.00 |
| 5 | 7.78 | - | - | 7.66 | −0.12 | 7.66 | 0.00 |
| 6 | 6.76 | - | - | 6.69 | −0.07 | 6.67 | −0.02 |
| 7 | 4.23 | - | - | 4.26 | 0.03 | - | - |
| 8 | 1.66 | - | - | 1.68 | 0.02 | 1.68 | 0.00 |
| 9 | 1.36 | - | - | 1.39 | 0.03 | 1.38 | 0.01 |
| 10 | 0.87 | - | - | 0.91 | 0.04 | 0.92 | 0.01 |
| H | RVC * (ppm) | RVC/SL *δ 1H (ppm) | Δδ (ppm) | RVC/HP-βCD * (ppm) | Δδ (ppm) | RVC/HP-βCD/SL * (ppm) | Δδ (ppm) |
| 1,2,3 Aromatic | 7.14 | 7.14 | 0.00 | 7.15 | 0.01 | 7.14 | - |
| 7 | 4.12 | 4.10 | −0.02 | 4.10 | −0.02 | - | - |
| 8 e | 2.37 | 2.37 | 0.00 | 2.37 | 0 | - | - |
| 11 e | 3.67 | - | - | - | - | - | - |
| 12, 11 a | 3.08 | 3.30 | 0.22 | 3.06 | −0.02 | 3.17 | 0.09 |
| 15, 16 | 2.12 | 2.12 | 0.00 | 2.14 | 0.02 | 2.14 | 0.02 |
| 14 | 0.89 | 0.89 | 0.89 | 0.9 | −0.01 | 0.90 | 0.01 |
| Complex | Compounds | D (10 × −10 m2 s−1) | Molar Fraction of fx % Complex | Ka L/mol |
|---|---|---|---|---|
| RVC | 4.07 ± 0.40 | |||
| SL | 0.32 ± 0.17 | |||
| HP-βCD | 2.04 ± 0.03 | |||
| RVC/SL | 3.38 ± 0.05 | 18 | 28 | |
| RVC/HP-βCD | 3.64 ± 0.02 | 22 | 37 | |
| RVC/HP-βCD/SL | 3.14 ± 0.12 | 25 | 44 | |
| BTB | 7.70 ± 0.12 | |||
| BTB/HP-βCD | 1.90 ± 0.25 | 98.3 | 72,279 |
| Frequency (ppm) | Area STD | Area Outside Resonance | Map STD Standardized |
|---|---|---|---|
| H2 e 6 BTB = 6.67 | 0.0242 | 0.8989 | 97.4% |
| H3 e 5 BTB = 7.66 | 0.0234 | 0.8575 | 97.3% |
| H9 BTB = 1.38 | 0.1550 | 1.0000 | 84.6% |
| H8 BTB = 1.68 | 0.1639 | 1.3054 | 87.5% |
| H14 RVC = 0.90 | 0.0035 | 1.3873 | 34% |
| H1, H2, H3 RVC = 7.14 | 0.0074 | 1.0000 | 100% |
| H15, H16 RVC = 2.14 | 0.0049 | 1.8851 | 35% |
| Particles | Size (nm) | IP | PZ (mV) |
|---|---|---|---|
| SL | 202 ± 1.02 | 0.30 | −22.0 ± 0.90 |
| BTB/SL | 200 ± 0.91 | 0.40 | −23.5 ± 0.63 |
| BTB/HP-βCD/SL | 229 ± 0.91 | 0.36 | −25.1 ± 0.26 |
| RVC/SL | 200 ± 0.88 | 0.40 | −22.5 ± 0.60 |
| RVC/HP-βCD/SL | 285 ± 0.91 | 0.40 | −25.1 ± 0.26 |
Publisher’s Note: MDPI stays neutral with regard to jurisdictional claims in published maps and institutional affiliations. |
© 2022 by the authors. Licensee MDPI, Basel, Switzerland. This article is an open access article distributed under the terms and conditions of the Creative Commons Attribution (CC BY) license (https://creativecommons.org/licenses/by/4.0/).
Share and Cite
Souza, G.K.; Gallo, A.; Novicki, L.H.; Neto, H.R.; de Paula, E.; Marsaioli, A.J.; Cabeça, L.F. Inclusion Complex between Local Anesthetic/2-hydroxypropyl-β-cyclodextrin in Stealth Liposome. Molecules 2022, 27, 4170. https://doi.org/10.3390/molecules27134170
Souza GK, Gallo A, Novicki LH, Neto HR, de Paula E, Marsaioli AJ, Cabeça LF. Inclusion Complex between Local Anesthetic/2-hydroxypropyl-β-cyclodextrin in Stealth Liposome. Molecules. 2022; 27(13):4170. https://doi.org/10.3390/molecules27134170
Chicago/Turabian StyleSouza, Gredson Keiff, André Gallo, Luiza Hauser Novicki, Heitor Rodrigues Neto, Eneida de Paula, Anita Jocelyne Marsaioli, and Luis Fernando Cabeça. 2022. "Inclusion Complex between Local Anesthetic/2-hydroxypropyl-β-cyclodextrin in Stealth Liposome" Molecules 27, no. 13: 4170. https://doi.org/10.3390/molecules27134170
APA StyleSouza, G. K., Gallo, A., Novicki, L. H., Neto, H. R., de Paula, E., Marsaioli, A. J., & Cabeça, L. F. (2022). Inclusion Complex between Local Anesthetic/2-hydroxypropyl-β-cyclodextrin in Stealth Liposome. Molecules, 27(13), 4170. https://doi.org/10.3390/molecules27134170

