The Effect of Benzannulation on the Structures, Reactivity and Molecular Dynamics of Indenes, Pentalenes, Azulenes and Related Molecules
Abstract
:1. Introduction
2. The Indenyl Effect
3. Enhancement of Aromatic Character by Benzannulation
3.1. Stabilisation of Isoindene Intermediates in 1,5 Sigmatropic Migrations

3.2. Lowering the Barriers to Migrations in Haptotropic Shifts
3.2.1. Metal Complexes of Cyclopenta[def]phenanthrene

3.2.2. Metal Complexes of syn and anti Dibenzopentalene

4. [4 + 2] Cycloadditions to Anthracenes and to 2-Phenylindene
4.1. Benzyne Addition to 3-Indenylanthracene and 2-Indenyl-anthracene
4.2. Benzyne Addition to 2-Phenylindene
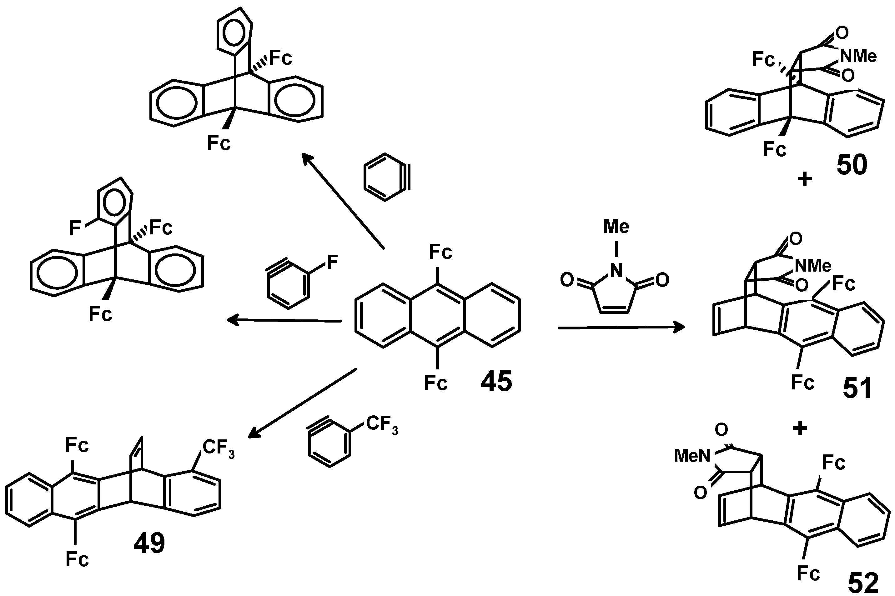
4.3. Benzyne Additions to Ferrocenylanthracenes
4.4. The First Organometallic Molecular Brake
5. Benzannulation as a Route to Non-Planar Polycyclic Hydrocarbons
5.1. Syntheses of Fragments of C60
5.2. Synthetic Routes to Benzazulenes
5.2.1. Starting from Azulenes
5.2.2. Starting from Dibenzosuberenone
6. Serendipitous Formation of Tetracenes from 9-Phenylethynyl-9H-fluorene
7. Concluding Remarks
Funding
Acknowledgments
Conflicts of Interest
References
- Solà, M. Forty years of Clar’s aromatic π-sextet rule. Front. Chem. 2013, 1, 22. [Google Scholar] [CrossRef] [PubMed] [Green Version]
- Rerek, M.E.; Basolo, F. Kinetics and mechanism of substitution reactions of η5-cyclopentadienyldicarbonylrhodium(I) derivatives. Rate enhancement of associative substitution in cyclopentadienylmetal compounds. J. Am. Chem. Soc. 1984, 106, 5908–5912. [Google Scholar] [CrossRef]
- Westcott, S.A.; Kakkar, A.K.; Stringer, G.; Taylor, N.J.; Marder, T.B. Flexible coordination of indenyl ligands in sandwich complexes of transition metals. Molecular structures of [(η-C9R7)2M] (M = Fe, R = H, Me; M = Co, Ni, R = H): Direct measurement of the degree of slip-fold distortion as a function of d-electron count. J. Organomet. Chem. 1990, 394, 777–794. [Google Scholar] [CrossRef]
- Pammer, F.; Thiel, W.R. Benzannulated homologues of cyclopentadienide as ligands in organometallic chemistry. Coord. Chem. Rev. 2014, 270, 14–30. [Google Scholar] [CrossRef]
- Wilkinson, G.; Piper, T.S. Alkyl and aryl derivatives of π-cyclopentadienyl compounds of chromium, molybdenum, tungsten and iron. J. Inorg. Nucl. Chem. 1956, 3, 104–124. [Google Scholar] [CrossRef]
- Bennett, M.J.; Cotton, F.A.; Davison, A.; Faller, J.W.; Lippard, S.J.; Morehouse, S.M. Stereochemically nonrigid organometallic compounds. I. π-Cyclopentadienyliron dicarbonyl σ-cyclopentadiene. J. Am. Chem. Soc. 1966, 88, 4371–4376. [Google Scholar] [CrossRef]
- Cotton, F.A.; Musco, A.; Yagupsky, G. Stereochemically nonrigid organometallic compounds. VIII. Further Studies of σ-cyclopentadienylmetal compounds. J. Am. Chem. Soc. 1967, 89, 6136–6139. [Google Scholar] [CrossRef]
- Stradiotto, M.; Hughes, D.W.; Bain, A.D.; Brook, M.A.; McGlinchey, M.J. The fluxional character of (η5-C5H5)FeCO)2(η1-C9H7): Evidence for the [4+2] cycloaddition of a metal-substituted isoindene with tetracyanoethylene. Organometallics 1997, 16, 5563–5568. [Google Scholar] [CrossRef]
- Stradiotto, M.; Rigby, S.S.; Hughes, D.W.; Brook, M.A.; Bain, A.D.; McGlinchey, M.J. Multidimensional NMR study of tris(indenyl)methylsilane: molecular dynamics mapped onto a hypercube. Organometallics 1996, 15, 5645–5652. [Google Scholar] [CrossRef]
- Rigby, S.S.; Gupta, H.K.; Werstiuk, N.H.; Bain, A.D.; McGlinchey, M.J. The barriers to trimethylsilyl migrations in indenes and benzindenes: Silatropic shifts via aromatic transition states. Polyhedron 1995, 14, 2787–2796. [Google Scholar] [CrossRef]
- Rigby, S.S.; Gupta, H.K.; Werstiuk, N.H.; Bain, A.D.; McGlinchey, M.J. Do aromatic transition states lower barriers to silatropic shifts? A synthetic, NMR spectroscopic, and computational study. Inorg. Chim. Acta 1996, 251, 355–364. [Google Scholar] [CrossRef]
- Rigby, S.S.; Stradiotto, M.; Brydges, S.; Pole, D.L.; Top, S.; Bain, A.D.; McGlinchey, M.J. Diels-Alder dimerisation of cyclopenta[l]phenanthrene (dibenz[e,g]indene) with isodibenzindene: A computational, NMR spectroscopic, and X-ray crystallographic study. J. Org. Chem. 1998, 63, 3735–3740. [Google Scholar] [CrossRef]
- Bonny, A.; Holmes-Smith, R.D.; Hunter, G.; Stobart, S.R. Stereochemically nonrigid silanes, germanes and stannanes. 9. Chiral silylcyclopentadienes and related compounds: Mechanistic and stereochemical definition of fluxional behavior. J. Am. Chem. Soc. 1982, 104, 1855–1859. [Google Scholar] [CrossRef]
- McMaster, A.D.; Stobart, S.R. Stereochemically nonrigid silanes, germanes, and stannanes. 10. Diastereoisomerism and metallotropic behavior in polyindenyl derivatives of germanium and tin. Facile stereomutation. J. Am. Chem. Soc. 1982, 104, 2109–2112. [Google Scholar] [CrossRef]
- Rigby, S.S.; Girard, L.; Bain, A.D.; McGlinchey, M.J. Molecular dynamics of dl-bis(indenyl)dimethylsilane and meso-bis(indenyl)dimethylsilane—reexamination of the mechanism of interconversion by using single selective inversion NMR. Organometallics 1995, 14, 3798–3801. [Google Scholar] [CrossRef]
- Stradiotto, M.; Brook, M.A.; McGlinchey, M.J. The molecular dynamics and cycloaddition chemistry of tris(1-indenyl)allylsilane Part 1—Generation of the first crystallographically characterised tris(benzonorbornyl)silane. New J. Chem. 1999, 23, 317–321. [Google Scholar] [CrossRef]
- Stradiotto, M.; Brook, M.A.; McGlinchey, M.J. The molecular dynamics and reactivity of tris(inden-1-yl)silane: An NMR spectroscopic, and X-ray crystallographic study. J. Chem. Soc. Perkin Trans. 2 2000, 611–618. [Google Scholar] [CrossRef]
- Nakayama, Y.; Shiono, T. Development of chiral metallocenes as possible polymerisation catalysts. Molecules 2005, 10, 620–623. [Google Scholar] [CrossRef] [Green Version]
- Gridnev, I.D. Sigmatropic and haptotropic rearrangements in organometallic chemistry. Coord. Chem. Rev. 2008, 252, 1798–1818. [Google Scholar] [CrossRef]
- Albright, T.A.; Hofmann, P.; Hoffmann, R.; Lillya, C.P.; Dobosh, P.A. Haptotropic rearrangements of polyene-MLn complexes. 2. Bicyclic polyene-MCp, M(CO)3 systems. J. Am. Chem. Soc. 1983, 105, 3396–3411. [Google Scholar] [CrossRef]
- Treichel, P.M.; Johnson, J.W. Stereospecific ring protonation of diindenyliron. J. Organomet. Chem. 1975, 88, 207–214. [Google Scholar] [CrossRef]
- Clark, D.T.; Mlekuz, M.; Sayer, B.G.; McCarry, B.E.; McGlinchey, M.J. Protonation of bis(ethylene)(.eta.5-indenyl)rhodium and (cyclooctatetraene)(.eta.5-indenyl)rhodium: A 500-MHz NMR study. Organometallics 1987, 6, 2201–2207. [Google Scholar] [CrossRef]
- Kirillov, E.; Kahlal, S.; Roisnel, T.; Georgelin, T.; Saillard, J.-Y.; Carpentier, J.-F. Haptotropic Rearrangements in Sandwich (Fluorenyl)(Cyclopentadienyl) Iron and Ruthenium Complexes. Organometallics 2008, 27, 387–393. [Google Scholar] [CrossRef]
- Decken, A.; Britten, J.F.; McGlinchey, M.J. Facile haptotropic shifts in organometallic complexes of 4H-cyclopenta[def]phenanthrene via naphthalene-type transition states. Synthetic, X-ray crystallographic and EHMO studies. J. Am. Chem. Soc. 1993, 115, 7275–7284. [Google Scholar] [CrossRef]
- Decken, A.; Rigby, S.S.; Girard, L.; Bain, A.D.; McGlinchey, M.J. Haptotropic shifts in (C5H5)Fe and Mn(CO)3 complexes 4H-cyclopenta[def]phenanthrene (cppH): X-ray crystal structure and NMR fluxionality of (η1-cpp)Mn(CO)3(PEt3)2. Organometallics 1997, 16, 1308–1315. [Google Scholar] [CrossRef]
- Decken, A. Haptotropic Rearrangements in Metal Complexes of 4H-cyclopenta[def]phenanthrene. Ph.D. Thesis, McMaster University, Hamilton, ON, Canada, 1993. [Google Scholar]
- Calhorda, M.; Gonçalves, I.S.; Goodfellow, B.J.; Herdtweck, E.; Romão, C.C.; Royo, B.; Veiros, L.F. Exocyclic coordination of the η3-fluorenyl, η3-cyclopenta[def]phenanthrenyl and η3-8,9-dihydrocyclopenta[def]phenanthrenyl anions: X-ray crystal structures, NMR fluxionality and theoretical studies. New J. Chem. 2002, 26, 1552–1558. [Google Scholar] [CrossRef]
- Ustynuk, Y.A.; Trifonova, O.I.; Oprunenko, Y.F.; Mstislavsky, V.I.; Gloriozov, I.P.; Ustynuk, N.A. First example of a rapid reversible inter-ring .eta.5,.eta.5-haptotropic rearrangement in an anionic metal tricarbonyl complex containing a dibenzopentalene ligand. Organometallics 1990, 9, 1707–1709. [Google Scholar] [CrossRef]
- Brydges, S.; Reginato, N.; Cuffe, L.P.; Seward, C.M.; McGlinchey, M.J. High and low barriers to haptotropic shifts across polycyclic surfaces: The relevance of aromatic character during the migration process. Comptes Rendus. Chim. 2005, 8, 1497–1505. [Google Scholar] [CrossRef]
- Deramchi, K.; Maouche, B.; Kahlal, S.; Saillard, J.-Y. Haptotropic shifts in mononuclear complexes of substituted pentalenes: A DFT investigation of the [CpFe(C8H4R2](q) (R = H, Me, NH2, CF3, CN; q = −1, 0 +1) series. Inorg. Chim. Acta 2011, 370, 499–504. [Google Scholar] [CrossRef]
- Nikitin, K.; Müller-Bunz, H.; Ortin, Y.; McGlinchey, M.J. Joining the rings: The preparation of 2- and 3-indenyl-triptycenes and curious related processes. Org. Biomol. Chem. 2007, 5, 1952–1960. [Google Scholar] [CrossRef]
- Nikitin, K.; Müller-Bunz, H.; Ortin, Y.; McGlinchey, M.J. Diels-Alder reactions of 9-ferrocenyl- and 9,10-diferrocenylanthracene: Steric control of 9,10- versus 1,4-cycloaddition. Organometallics 2013, 32, 6118–6129. [Google Scholar] [CrossRef]
- Nikitin, K.; Bothe, C.; Müller-Bunz, H.; Ortin, Y.; McGlinchey, M.J. A molecular paddlewheel with a sliding organometallic latch: X-ray crystal structures and dynamic behaviour of [Cr(CO)3{η6-2-(9-triptycyl)indene}], and of [M(CO)3{η5-2-(9-triptycyl)indenyl}] (M = Mn, Re). Chem.—A Eur. J. 2009, 15, 1836–1843. [Google Scholar] [CrossRef] [PubMed]
- McGlinchey, M.J.; Nikitin, K. Palladium-catalysed coupling reactions en route to molecular machines: Sterically hindered indenyl and ferrocenyl anthracenes and triptycenes. Molecules 2020, 25, 1950. [Google Scholar] [CrossRef]
- Scott, L.T.; Hashemi, M.M.; Bratcher, M.S. Corannulene bowl-to-bowl inversion is rapid at room temperature. J. Am. Chem. Soc. 1992, 114, 1920–1921. [Google Scholar] [CrossRef]
- Mehta, G.; Shah, S.R.; Ravikumar, K. Towards the design of tricyclo[def, jkl,pqr]triphenylene (Sumanene): A 'bowl-shaped' hydrocarbon featuring a structural motif present in C60 (Buckminsterfullerene). J. Chem. Soc. Chem. Commun. 1993, 1006–1008. [Google Scholar] [CrossRef]
- Sakurai, H.; Daiko, T.; Hirao, T. A synthesis of sumanene, a fullerene fragment. Science 2003, 301, 1878. [Google Scholar] [CrossRef]
- Barth, W.E.; Lawton, R.G. Dibenzo [ghi,mno] fluoranthene. J. Am. Chem. Soc. 1966, 88, 380–381. [Google Scholar] [CrossRef]
- Scott, L.T.; Hashemi, M.M.; Meyer, D.T.; Warren, H.B. Thermal rearrangements of aromatic compounds. 14. Corannulene. A convenient new synthesis. J. Am. Chem. Soc. 1991, 113, 1082–1084. [Google Scholar] [CrossRef]
- Seiders, T.J.; Elliott, E.L.; Grube, G.H.; Siegel, J.S. Synthesis of corannulene and alkyl derivatives of corannulene. J. Am. Chem. Soc. 1999, 121, 7804–7813. [Google Scholar] [CrossRef]
- Butterfield, A.M.; Gilomen, B.; Siegel, J.S. Kilogram-scale production of corannulene. Org. Process Res. Dev. 2012, 16, 664–676. [Google Scholar] [CrossRef]
- Scott, L.T.; Boorum, M.M.; McMahon, B.J.; Hagen, S.; Mack, J.; Blank, J.; Wegner, H.; de Meijere, A. A rational chemical synthesis of C-60. Science 2002, 295, 1500–1503. [Google Scholar] [CrossRef] [PubMed]
- Hafner, K.; Rieper, W. New synthesis of 2H-benzazulenes. Angew. Chem. Int. Ed. 1970, 9, 248. [Google Scholar] [CrossRef]
- Jutz, C.; Schweige, E. Preparation of benzazulenes from azulene derivatives. Chem. Ber. 1974, 107, 2383–2396. [Google Scholar] [CrossRef]
- Balduzzi, S.; Müller-Bunz, H.; McGlinchey, M.J. A convenient route to benz[cd]azulenes: Versatile ligands with the potential to bind metals in an η5, η6 or η7 fashion. Chem. Eur. J. 2004, 10, 5398–5405. [Google Scholar] [CrossRef] [PubMed]
- Banide, E.V.; Oulié, P.; McGlinchey, M.J. From allenes to tetracenes: Syntheses, structures and reactivity of the intermediates. Pure Appl. Chem. 2009, 81, 1–17. [Google Scholar] [CrossRef]
- Banide, E.V.; O’Connor, C.; Fortune, N.; Ortin, Y.; Milosevic, S.; Müller-Bunz, H.; McGlinchey, M.J. Syntheses, X-ray structures and reactivity of fluorenylidene- and dibenzosuberylidene-allenes: Convenient precursors to dispirotetracenes, di-indenotetracenes and 2-phenyl-11bH-dibenz [cd,h] azulene. Org. Biomol. Chem. 2010, 8, 3997–4010. [Google Scholar] [CrossRef]
- Bendikov, M.; Wudl, F.; Perepichka, D.F. Tetrathiafulvalenes, oligoacenenes, and their buckminsterfullerene derivatives: The brick and mortar of organic electronics. Chem. Rev. 2004, 104, 4891–4895. [Google Scholar] [CrossRef]
- Jiang, L.; Gao, J.; Wang, E.; Li, H.; Wang, Z.; Hu, W.; Jiang, L. Organic single-crystalline ribbons of a rigid “H”-type anthracene derivative and high-performance short-channel field-effect transistors of individual micro/nanometer-seized ribbons fabricated by an “organic ribbon mask” technique. Adv. Mater. 2008, 20, 2735–2740. [Google Scholar] [CrossRef]
- Landor, P.D.; Landor, S.R. Allenes 5. Reaction of aromatic tertiary acetylenic alcohols with thionyl chloride. J. Chem. Soc. 1963, 2707–2711. [Google Scholar] [CrossRef]
- Christl, M.; Groetsch, S.; Günther, K. The dimerisation of chiral allenes: Pairs of enantiomers and pairs of homomers furnish different diastereomers. Angew. Chem. Int. Ed. 2000, 39, 3395–3397. [Google Scholar] [CrossRef]
- Harrington, L.E.; Britten, J.F.; McGlinchey, M.J. Dimerisation of 9-phenylethynylfluorene to di-indeno-naphthacene and dispiro[fluorene-dihydronaphthacene-fluorene]: An X-ray crystallographic and NMR study. Org. Lett. 2004, 6, 787–790. [Google Scholar] [CrossRef] [PubMed]
- Banide, E.V.; Ortin, Y.; Seward, C.M.; Harrington, L.E.; Müller-Bunz, H.; McGlinchey, M.J. Sequential formation of yellow, red and orange 1-phenyl-3,3-biphenylene-allene dimers prior to blue tetracene formation: Helicity reversal in trans-3,4-diphenyl-1,2-bis(fluorenylidene)cyclobutene. Chem. Eur. J. 2006, 12, 3275–3286. [Google Scholar] [CrossRef] [PubMed]
- Banide, E.V.; Molloy, B.C.; Ortin, Y.; Müller-Bunz, H.; McGlinchey, M.J. From allenes to tetracenes: A synthetic and structural study of silyl- and halo-allenes and their dimers. Eur. J. Org. Chem. 2007, 2611–2622. [Google Scholar] [CrossRef]



















































Publisher’s Note: MDPI stays neutral with regard to jurisdictional claims in published maps and institutional affiliations. |
© 2022 by the author. Licensee MDPI, Basel, Switzerland. This article is an open access article distributed under the terms and conditions of the Creative Commons Attribution (CC BY) license (https://creativecommons.org/licenses/by/4.0/).
Share and Cite
McGlinchey, M.J. The Effect of Benzannulation on the Structures, Reactivity and Molecular Dynamics of Indenes, Pentalenes, Azulenes and Related Molecules. Molecules 2022, 27, 3882. https://doi.org/10.3390/molecules27123882
McGlinchey MJ. The Effect of Benzannulation on the Structures, Reactivity and Molecular Dynamics of Indenes, Pentalenes, Azulenes and Related Molecules. Molecules. 2022; 27(12):3882. https://doi.org/10.3390/molecules27123882
Chicago/Turabian StyleMcGlinchey, Michael J. 2022. "The Effect of Benzannulation on the Structures, Reactivity and Molecular Dynamics of Indenes, Pentalenes, Azulenes and Related Molecules" Molecules 27, no. 12: 3882. https://doi.org/10.3390/molecules27123882
APA StyleMcGlinchey, M. J. (2022). The Effect of Benzannulation on the Structures, Reactivity and Molecular Dynamics of Indenes, Pentalenes, Azulenes and Related Molecules. Molecules, 27(12), 3882. https://doi.org/10.3390/molecules27123882
