Dual-Responsive Alginate Hydrogel Constructed by Sulfhdryl Dendrimer as an Intelligent System for Drug Delivery
Abstract
:1. Introduction
2. Materials and Methods
2.1. Materials and Agents
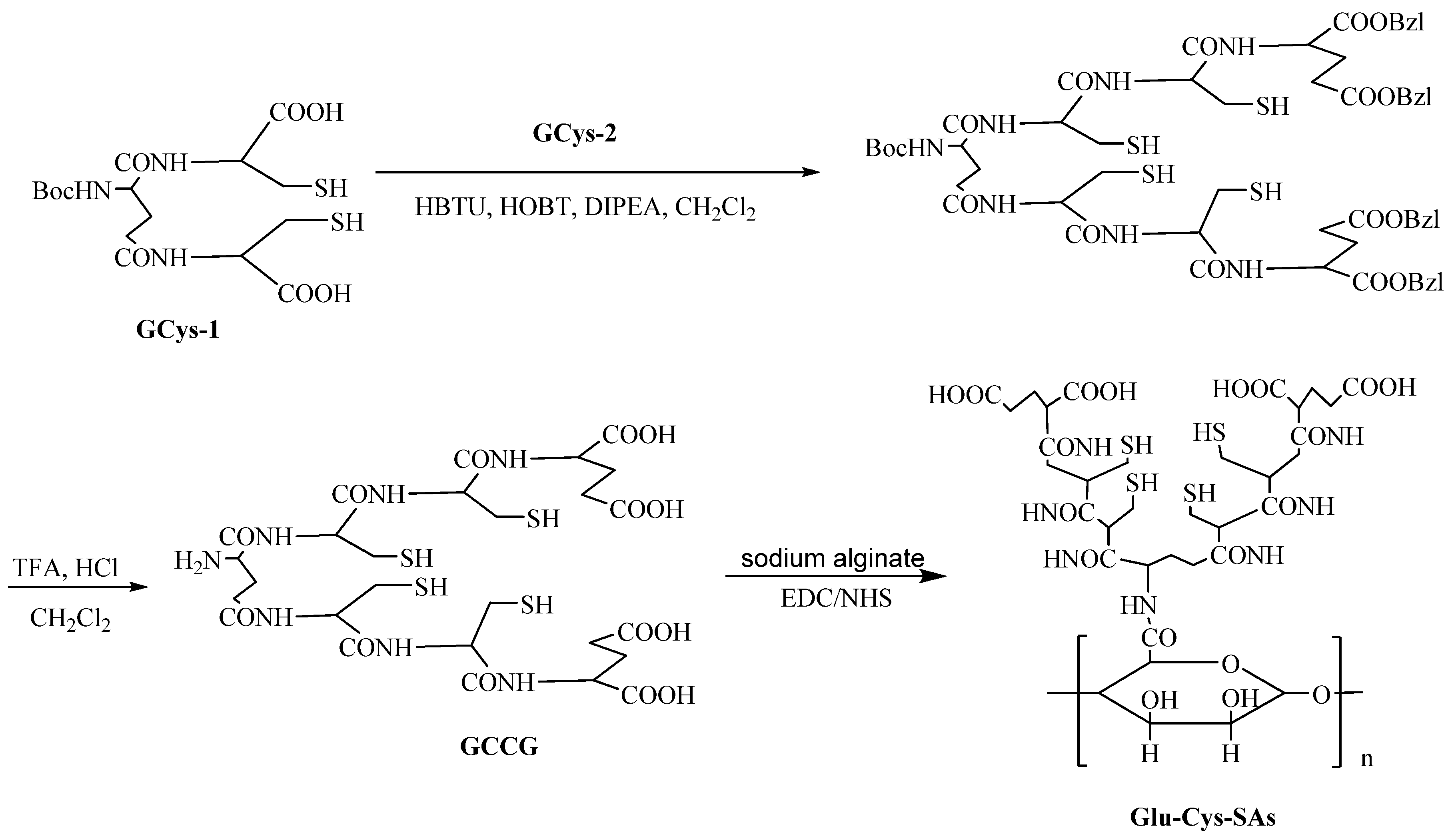
2.2. Synthesis of Glu-Cys Dendrimer
2.3. Preparation of Glu-Cys-SA
2.4. FT-IR Spectroscopy
2.5. Capillary Flow Test and Tube Inversion
2.6. Size and Morphology of Hydrogel
2.7. Self-Healing Investigation
2.8. GSH Responsiveness Measurement
2.9. pH Responsive Transition of Hydrogels
2.10. Drug Release
2.11. In Vitro Cytotoxicity Investigation
3. Results and Discussion
3.1. The Synthesis of Glu-Cys Dendrimer Fabrication and Glu-Cys-SA Hydrogel
3.2. FT-IR Characterization
3.3. Dynamic Properties of Hydrogels
3.4. Size and Morphology of Hydrogel
3.5. Self-Healing Properties
3.6. GSH- and pH-Responsive Reversible Transition
3.7. GSH- and pH-Dependent In Vitro Release Test of DOX-Loaded Glu-Cys-SA Hydrogel
3.8. Evaluation of Cytotoxic Effect of Hydrogels
4. Conclusions
Author Contributions
Funding
Institutional Review Board Statement
Informed Consent Statement
Data Availability Statement
Conflicts of Interest
References
- Gyawali, B.; Hey, S.P.; Kesselheim, A.S. Assessment of the clinical benefit of cancer drugs receiving accelerated approval. JAMA Intern. Med. 2019, 179, 906–915. [Google Scholar] [CrossRef]
- Papachristos, A.; Ratain, M.J. Accelerated approval of anticancer drugs: Lessons learned from the example of olaratumab. Clin. Pharmacol. Ther. 2020, 110, 29–31. [Google Scholar] [CrossRef]
- Jin, H.; Wu, B.-X.; Zheng, Q.; Hu, C.-H. Design, synthesis, biological evaluation and docking study of novel quinazoline derivatives as egfr-tk inhibitors. Future Med. Chem. 2021, 13, 601–612. [Google Scholar] [CrossRef]
- Peng, Z.P.; She, Y.Q.; Chen, L. Synthesis of poly(glutamic acid)-tyramine hydrogel by enzyme-mediated gelation for controlled release of proteins. J. Biomater. Sci. 2015, 26, 111–127. [Google Scholar] [CrossRef] [PubMed]
- Lu, D.; Zhang, Y.; Li, Y.; Luo, C.; Wang, X. Preparation and properties of reversible hydrogels based on triblock poly(amino acid)s with tunable pH-responsivity across a broad range. J. Polym. Sci. Part A Polym. Chem. 2017, 55, 207–212. [Google Scholar] [CrossRef]
- Ding, J.; Zhuang, X.; Xiao, C.; Cheng, Y.; Li, Z.; He, C.; Tang, Z.; Chen, X. Preparation of photo-cross-linked pH-responsive polypeptide nanogels as potential carriers for controlled drug delivery. J. Mater. Chem. 2011, 21, 11383–11391. [Google Scholar] [CrossRef]
- Peres, L.B.; Dos-Anjos, R.S.; Preiss, L.C. pH-responsive physically and chemically cross-linked glutamic-acid-based hydrogels and nanogels. Eur. Polym. J. 2018, 101, 341–349. [Google Scholar] [CrossRef]
- Luo, C.; Sun, J.; Liu, D.; Sun, B.; Miao, L.; Musetti, S.; Li, J.; Han, X.; Du, Y.; Li, L. Self-assembled redox dual-responsive prodrug-nanosystem formed by single thioether-bridged paclitaxel-fatty acid conjugate for cancer chemotherapy. Nano Lett. 2016, 16, 5401–5408. [Google Scholar] [CrossRef] [Green Version]
- Lei, B.; Chen, M.; Wang, Y.; Zhang, J.; Liu, H. Double security drug delivery system dds constructed by multi-responsive (pH/redox/us) microgel. Colloids Surf. B Biointerfaces 2020, 193, 111022. [Google Scholar] [CrossRef]
- Malekmohammadi, S.; Sedghi Aminabad, N.; Sabzi, A.; Zarebkohan, A.; Razavi, M.; Vosough, M.; Bodaghi, M.; Maleki, H. Smart and Biomimetic 3D and 4D Printed Composite Hydrogels: Opportunities for Different Biomedical Applications. Biomedicines 2021, 9, 1537. [Google Scholar] [CrossRef]
- Huamani-Palomino, R.G.; Jacinto, C.R.; Alarcón, H.; Mejía, I.M.; López, B.R.C.; Oliveira-Silva, D.D.; Cavalheiro, E.T.G.; Venâncio, T.; Dávalos, J.Z.; Valderrama, A.C. Chemical modification of alginate with cysteine and its application for the removal of Pb(II) from aqueous solutions—ScienceDirect. Int. J. Biol. Macromol. 2019, 129, 1056–1068. [Google Scholar] [CrossRef] [PubMed]
- Xu, Y.; Lu, G.; Chen, M.; Wang, P.; Zhang, X. Redox and ph dual-responsive injectable hyaluronan hydrogels with shape-recovery and self-healing properties for protein and cell delivery. Carbohydr. Polym. 2020, 250, 116979. [Google Scholar] [CrossRef]
- Mccarroll, J.; Baigude, H.; Yang, C.S.; Rana, T.M. Nanotubes functionalized with lipids and natural amino acid dendrimers: A new strategy to create nanomaterials for delivering systemic RNAi. Bioconjug. Chem. 2010, 21, 56–63. [Google Scholar] [CrossRef] [PubMed] [Green Version]
- Blondelle, S.E.; Houghten, R.A. Comparison of 55% TFA/CH2Cl2 and 100% TFA for Boc group removal during solid-phase peptide synthesis. Chem. Biol. Drug Des. 2010, 41, 522–527. [Google Scholar] [CrossRef]
- Perich, J.W.; Kelly, D.P.; Reynolds, E.C. Efficient solution-phase synthesis of multiple O-phosphoseryl-containing peptides related to casein and statherin. Chem. Biol. Drug Des. 2010, 40, 81–88. [Google Scholar] [CrossRef]
- Coffey, D.S.; Hawk, M.; Ghera, S.J.; Marler, P.G.; Dodson, P.N.; Lytle, M.L. Large Scale Deprotection of a tert-Butoxycarbonyl (Boc) Group Using Aqueous HCl and Acetone. Org. Process. Res. Dev. 2011, 8, 945–947. [Google Scholar] [CrossRef]
- Bernkop-Schnürch, A.; Kast, C.E.; Richter, M.F. Improvement in the mucoadhesive properties of alginate by the covalent attachment of cysteine. J. Control. Release 2001, 71, 277–285. [Google Scholar] [CrossRef]
- Martínez, A.; Iglesias, I.; Lozano, R.; Teijón, J.M.; Blanco, M.D. Synthesis and characterization of thiolated alginate-albumin nanoparticles stabilized by disulfide bonds. evaluation as drug delivery systems. Carbohydr. Polym. 2011, 83, 1311–1321. [Google Scholar] [CrossRef]
- Xu, W.T.; Tang, H.W.; Lv, H.Y.; Li, J.; Zhao, X.L.; Li, H.; Wang, N.; Yang, X.N. Sol–gel transition of poly(3-hexylthiophene) revealed by capillary measurements: Phase behaviors, gelation kinetics and the formation mechanism. Soft Matter 2011, 8, 726–733. [Google Scholar] [CrossRef]
- Zhang, X.; Sun, P.C.; Huangshan, L.G.; Hu, B.H.; Messersmith, P.B. Improved method for synthesis of cysteine modified hyaluronic acid for in situ hydrogel formation. Chem. Commun. 2015, 51, 9662–9665. [Google Scholar] [CrossRef] [Green Version]
- Ren, S.; Liang, H.; Sun, P.; Gao, Y.; Zheng, L. A tri-responsive and fast self-healing organogel with stretchability based on multiple dynamic covalent bonds. New J. Chem. 2020, 44, 1609–1614. [Google Scholar] [CrossRef]
- Ghorbani-Zamani, F.; Moulahoum, H.; Anl, S.; Bayr, E.; Timur, S. pH-bioresponsive poly(ε-caprolactone)-based polymersome for effective drug delivery in cancer and protein glycoxidation prevention. Arch. Biochem. Biophys. 2020, 695, 108643. [Google Scholar] [CrossRef] [PubMed]
- Sun, J.Y.; Moon, Y.J.; Chun, H.J.; Yang, D.H. Doxorubicin·Hydrochloride/Cisplatin-Loaded Hydrogel/Nanosized(2-Hydroxypropyl)-Beta-Cyclodextrin Local Drug-Delivery System for Osteosarcoma Treatment In Vivo. Nanomaterials 2019, 9, 1652. [Google Scholar] [CrossRef] [Green Version]
- Onaca, O.; Enea, R.; Hughes, D.W.; Meier, W. Stimuli-responsive polymersomes as nanocarriers for drug and gene delivery. Macromol. Biosci. 2010, 9, 129–139. [Google Scholar] [CrossRef]
- Patel, P.; Mandal, A.; Gote, V.; Pal, D.; Mitra, A.K. Thermosensitive hydrogel-based drug delivery system for sustained drug release. J. Polym. Res. 2019, 26, 131. [Google Scholar] [CrossRef]
- Li, Y.; Cao, X.; Yu, F. An injectable hyaluronic acid/PEG hydrogel for cartilage tissue engineering formed by integrating enzymatic crosslinking and Diels-Alder “click chemistry”. Polym. Chem. 2014, 9, 1082–1090. [Google Scholar]
- Araújo, E.D.S.; Stocco, T.D.; Sousa, G.F.D.; Afewerki, S.; Lobo, A.O. Oxygen-Generating Microparticles in Chondrocytes-laden Hydrogels by Facile and Versatile Click Chemistry Strategy. Colloids Surf. B Biointerfaces 2021, 205, 111850. [Google Scholar] [CrossRef]
- Li, Y.; Wang, X.; Han, Y.; Sun, H.; Shi, L. Click chemistry based biopolymeric hydrogels for regenerative medicine. Biomed. Mater. 2020, 205, 022003. [Google Scholar] [CrossRef] [PubMed]















Publisher’s Note: MDPI stays neutral with regard to jurisdictional claims in published maps and institutional affiliations. |
© 2022 by the authors. Licensee MDPI, Basel, Switzerland. This article is an open access article distributed under the terms and conditions of the Creative Commons Attribution (CC BY) license (https://creativecommons.org/licenses/by/4.0/).
Share and Cite
Li, L.; Lei, D.; Zhang, J.; Xu, L.; Li, J.; Jin, L.; Pan, L. Dual-Responsive Alginate Hydrogel Constructed by Sulfhdryl Dendrimer as an Intelligent System for Drug Delivery. Molecules 2022, 27, 281. https://doi.org/10.3390/molecules27010281
Li L, Lei D, Zhang J, Xu L, Li J, Jin L, Pan L. Dual-Responsive Alginate Hydrogel Constructed by Sulfhdryl Dendrimer as an Intelligent System for Drug Delivery. Molecules. 2022; 27(1):281. https://doi.org/10.3390/molecules27010281
Chicago/Turabian StyleLi, Li, Dongyu Lei, Jiaojiao Zhang, Lu Xu, Jiashan Li, Lu Jin, and Le Pan. 2022. "Dual-Responsive Alginate Hydrogel Constructed by Sulfhdryl Dendrimer as an Intelligent System for Drug Delivery" Molecules 27, no. 1: 281. https://doi.org/10.3390/molecules27010281
APA StyleLi, L., Lei, D., Zhang, J., Xu, L., Li, J., Jin, L., & Pan, L. (2022). Dual-Responsive Alginate Hydrogel Constructed by Sulfhdryl Dendrimer as an Intelligent System for Drug Delivery. Molecules, 27(1), 281. https://doi.org/10.3390/molecules27010281

