Salicylic Acid as Ionic Liquid Formulation May Have Enhanced Potency to Treat Some Chronic Skin Diseases
Abstract
:1. Introduction
2. Results and Discussion
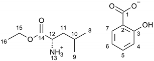
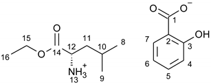
2.1. Synthesis of the Target Salicylic Acid-Based Ionic Liquids
2.2. Cytotoxicity and Anti-Inflammatory Potential of [AAOR][SA]
2.3. Energetics of [AAOR][SA]/BSA Binding Interaction assesed by Isothermal Titration Calorimetry
3. Materials and Methods
3.1. Materials
3.2. Synthesis of Amino Acid Alkyl Ester Salicylate [AAOR][SA]
3.3. Identification and Properties of Amino Acid Alkyl Ester Salicylates [AAOR][SA]
3.3.1. Nuclear Magnetic Resonance (NMR)
3.3.2. Attenuated Total Reflectance Fourier Transform Infrared Spectroscopy (FTIR-ATR)
3.3.3. UV-Vis
3.3.4. Elemental Analysis
3.3.5. Thermogravimetric Analysis (TG)
3.3.6. Differential Scanning Calorimetry (DSC)
3.3.7. Specific Rotation
3.3.8. Solubility
3.3.9. Identification of Salicylic Acid Derivatives








3.4. Cell Culture
3.5. Neutral Red Uptake Assay (NRU)
3.6. MTT Assay
3.7. Quantitative Estimation of IL-6 Cytokine
3.8. Isothermal Titration Calorimetry (ITC)
4. Conclusions
Supplementary Materials
Author Contributions
Funding
Institutional Review Board Statement
Informed Consent Statement
Data Availability Statement
Conflicts of Interest
References
- Kumar, A.; Chen, F.; Mozhi, A.; Zhang, X.; Zhao, Y.; Xue, X.; Hao, Y.; Zhang, X.; Wang, P.C.; Liang, X.-J. Innovative pharmaceutical development based on unique properties of nanoscale delivery formulation. Nanoscale 2013, 5, 8307–8325. [Google Scholar] [CrossRef] [Green Version]
- Shargel, L.; Wu-Pong, S.; Yu, A.C. (Eds.) Chapter 17—Modified-Release Drug Products. In Applied Biopharmaceutics and Pharmacokinetics; McGraw-Hill Education: New York, NY, USA, 2012; Available online: https://accesspharmacy.mhmedical.com/content.aspx?bookid=513§ionid=41488015 (accessed on 14 November 2021).
- Lipinski, C.A. Poor aqueous solubility—An industry wide problem in drug discovery. Am. Pharm. Rev. 2002, 5, 82–85. [Google Scholar]
- Kalepu, S.; Nekkanti, V. Insoluble drug delivery strategies: Review of recent advances and business prospects. Acta Pharm. Sin. B. 2015, 5, 442–453. [Google Scholar] [CrossRef] [Green Version]
- Vinceković, M.; Jurić, S.; Marijan, M.; Viskić, M.; Vlahoviček-Kahlina, K.; Bandić, L.M. Chapter 8—Encapsulation of herb extracts (Aromatic and medicinal herbs). In Aromatic Herbs in Food Bioactive Compounds, Processing, and Applications; Galanakis, C.M., Ed.; Elsevier: Amsterdam, The Netherlands, 2021; pp. 263–322. ISBN 978-0-12-822716-9. [Google Scholar]
- Boyd, B.J.; Bergström, C.A.S.; Vinarov, Z.; Kuentz, M.; Brouwers, J.; Augustijns, P.; Brandl, M.; Bernkop-Schnürch, A.; Shrestha, N.; Préat, V.; et al. Successful oral delivery of poorly water-soluble drugs both depends on the intraluminal behavior of drugs and of appropriate advanced drug delivery systems. Eur. J. Pharm. Sci. 2019, 137, 104967. [Google Scholar] [CrossRef]
- Censi, R.; Di Martino, P. Polymorph impact on the bioavailability and stability of poorly soluble drugs. Molecules 2015, 20, 18759–18776. [Google Scholar] [CrossRef] [Green Version]
- Williams, H.D.; Trevaskis, N.L.; Charman, S.A.; Shanker, R.M.; Charman, W.N.; Pouton, C.W.; Porter, C.J.H. Strategies to address low drug solubility in discovery and development. Pharmacol. Rev. 2013, 5, 315–499. [Google Scholar] [CrossRef] [PubMed]
- Savjani, K.T.; Gajjar, A.K.; Savjani, J.K. Drug solubility: Importance and enhancement techniques. Int. Sch. Res. Notices. 2012, 195727. [Google Scholar] [CrossRef] [PubMed] [Green Version]
- Egorova, K.S.; Gordeev, E.G.; Ananikov, V.P. Biological activity of ionic liquids and their application in pharmaceutics and medicine. Chem. Rev. 2017, 117, 7132–7189. [Google Scholar] [CrossRef] [PubMed]
- Hough, W.L.; Smiglak, M.; Rodrıguez, H.; Swatloski, R.P.; Spear, S.K.; Daly, D.T.; Pernak, J.; Grisel, J.E.; Carliss, R.D.; Soutullo, M.D.; et al. The third evolution of ionic liquids: Active pharmaceutical ingredients. New J. Chem. 2007, 31, 1429–1436. [Google Scholar] [CrossRef]
- Hayes, R.; Warr, G.G.; Atkin, R. Structure and nanostructure in ionic Liquids. Chem. Rev. 2015, 115, 6357–6426. [Google Scholar] [CrossRef] [Green Version]
- Moshikur, R.M.; Chowdhury, M.R.; Wakabayashi, R.; Tahara, Y.; Moniruzzaman, M.; Goto, M. Ionic liquids with methotrexate moieties as a potential anticancer prodrug: Synthesis, characterization and solubility evaluation. J. Mol. Liq. 2019, 278, 226–233. [Google Scholar] [CrossRef]
- Guncheva, M. Ionic Liquids for Anticancer Application. In Encyclopedia of Ionic Liquids; Zhang, S., Ed.; Springer: Singapore, 2019. [Google Scholar] [CrossRef]
- Ferraz, R.; Silva, D.; Dias, A.R.; Dias, V.; Santos, M.M.; Pinheiro, L.; Prudêncio, C.; João Noronha, P.; Petrovski, Ž.; Branco, L.C. Synthesis and antibacterial activity of ionic liquids and organic salts based on penicillin G and amoxicillin hydrolysate derivatives against resistant bacteria. Pharmaceutics 2020, 12, 221. [Google Scholar] [CrossRef] [Green Version]
- Nikfarjam, N.; Ghomi, M.; Agarwal, T.; Hassanpour, M.; Sharifi, E.; Khorsandi, D.; Ali, M.K.; Rossi, F.; Rossetti, A.; Zare, E.N.; et al. Antimicrobial ionic liquid-based materials for biomedical applications. Adv. Funct. Mater. 2021, 31, 2104148. [Google Scholar] [CrossRef]
- Bancos, S.; Bernard, M.P.; Topham, D.J.; Phipps, R.P. Ibuprofen and other widely used non-steroidal anti-inflammatory drugs inhibit antibody production in human cells. Cell Immunol. 2009, 258, 18–28. [Google Scholar] [CrossRef] [Green Version]
- Haley, R.M.; von Recum, H.A. Localized and targeted delivery of NSAIDs for treatment of inflammation: A review. Exp. Biol. Med. 2019, 244, 433–444. [Google Scholar] [CrossRef]
- Fini, A.; Fazio, G.; Feroci, G. Solubility and solubilization properties of non-steroidal anti-inflammatory drugs. Int. J. Pharm. 1995, 126, 95–102. [Google Scholar] [CrossRef]
- Chantereau, G.; Sharma, M.; Abednejad, A.; Neves, B.M.; Sèbe, G.; Coma, V.; Freire, M.G.; Freire, C.S.R.; Silvestre, A.J.D. Design of nonsteroidal anti-inflammatory drug-based ionic liquids with improved water solubility and drug delivery. ACS Sustainable Chem. Eng. 2019, 7, 14126–14134. [Google Scholar] [CrossRef]
- Parra-Ruiz, F.; Toledano, E.; Fernández-Gutiérrez, M.; Dinjaski, N.; Prieto, M.A.; Vázquez-Lasa, B.; Román, J.S. Polymeric systems containing dual biologically active ions. Eur. J. Med. Chem. 2011, 46, 4980–4991. [Google Scholar] [CrossRef]
- Zhang, Y.; Cao, Y.; Meng, X.; Li, C.; Wang, H.; Zhang, S. Enhancement of transdermal delivery of artemisinin using microemulsion vehicle based on ionic liquid and lidocaine ibuprofen. Colloids Surf. B: Biointerfaces 2020, 189, 110886. [Google Scholar] [CrossRef] [PubMed]
- Panic, J.; Tot, A.; Drid, P.; Gadzuri, S.; Vranes, M. Design and analysis of interactions in ionic liquids based on procaine and pharmaceutically active anions. Eur. J. Pharm. Sci. 2021, 166, 105966. [Google Scholar] [CrossRef]
- Hussan, K.P.S.; Thayyil, M.S.; Deshpand, S.K.; Jinitha, T.V.; Rajan, V.K.; Ngai, K.L. Synthesis and molecular dynamics of double active pharmaceutical ingredient-benzalkonium ibuprofenate. J. Mol. Liq. 2016, 223, 1333–1339. [Google Scholar] [CrossRef]
- Santos, M.M.; Raposo, L.R.; Carrera, G.V.S.M.; Costa, A.; Dionísio, M.; Baptista, P.V.; Fernandes, A.R.; Branco, L.C. Ionic Liquids and salts from ibuprofen as promising innovative formulations of an old drug. ChemMedChem 2019, 14, 907–911. [Google Scholar] [CrossRef] [PubMed]
- Ossowicz, P.; Janus, E.; Klebeko, J.; Światek, E.; Kardaleva, P.; Taneva, S.; Krachmarova, E.; Rangelov, M.; Todorova, N.; Guncheva, M. Modulation of the binding affinity of naproxen to bovine serum albumin by conversion of the drug into amino acid ester salts. J. Mol. Liq. 2020, 319, 114283. [Google Scholar] [CrossRef]
- Ossowicz, P.; Kardaleva, P.; Guncheva, M.; Klebeko, J.; Swiatek, E.; Janus, E.; Yancheva, D.; Angelov, I. Ketoprofen-based ionic liquids: Synthesis and interactions with bovine serum albumin. Molecules 2020, 25, 90. [Google Scholar] [CrossRef] [Green Version]
- Ossowicz-Rupniewska, P.; Rakoczy, R.; Nowak, A.; Konopacki, M.; Klebeko, J.; Świątek, E.; Janus, E.; Duchnik, W.; Wenelska, K.; Kucharski, Ł.; et al. Transdermal delivery systems for ibuprofen and ibuprofen modified with amino acids alkyl esters based on bacterial cellulose. Int. J. Mol. Sci. 2021, 22, 6252. [Google Scholar] [CrossRef]
- Nowak, A.; Ossowicz-Rupniewska, P.; Rakoczy, R.; Konopacki, M.; Perużyńska, M.; Droździk, M.; Makuch, E.; Duchnik, W.; Kucharski, Ł.; Wenelska, K.; et al. Bacterial cellulose membrane containing Epilobium angustifolium L. extract as a promising material for the topical delivery of antioxidants to the skin. Int. J. Mol. Sci. 2021, 22, 6269. [Google Scholar] [CrossRef] [PubMed]
- Moshikur, R.M.; Chowdhury, M.R.; Wakabayashi, R.; Tahara, Y.; Kamiya, N.; Moniruzzaman, M.; Goto, M. Ionic liquids with N-methyl-2-pyrrolidonium cation as an enhancer for topical drug delivery: Synthesis, characterization, and skin penetration evaluation. J. M. Liq. 2020, 299, 112166. [Google Scholar] [CrossRef]
- Wu, H.; Fang, F.; Zheng, L.; Ji, W.; Qi, M.; Hong, M.; Ren, G. Ionic liquid form of donepezil: Preparation, characterization and formulation development. J. Mol. Liq. 2020, 300, 112308. [Google Scholar] [CrossRef]
- Willetts, S.; Foley, D.W. True or false? Challenges and recent highlights in the development of aspirin prodrugs. Eur. J. Med. Chem. 2020, 192, 112200. [Google Scholar] [CrossRef]
- Timis, T.-L.; Florian, I.-A.; Vesa, S.-C.; Mitrea, D.R.; Orasan, R.-I. An updated guide in the management of psoriasis for every practitioner. The Intern. J. Clin. Practice 2021, 75, e14290. [Google Scholar] [CrossRef] [PubMed]
- Madan, R.K.; Levitt, J. A review of toxicity from topical salicylic acid preparations. J. Am. Acad. Dermatol. 2014, 70, 788–792. [Google Scholar] [CrossRef]
- Araújo, J.M.M.; Florindo, C.; Pereiro, A.B.; Vieira, N.S.M.; Matias, A.A.; Duarte, C.M.M.; Rebelo, L.P.N.; Marrucho, I.M. Cholinium-based ionic liquids with pharmaceutically active anions. RSC Adv. 2014, 4, 28126–28132. [Google Scholar] [CrossRef]
- Ahmad, N.A.; Jumbri, K.; Ramli, A.; Ghani, N.; Ahmad, H. Salycilate-based protic ionic liquids as a potential antioxidant. Malays. J. Anal. Sci. 2019, 23, 383–389. [Google Scholar]
- Moshikur, R.M.; Chowdhury, M.R.; Wakabayashi, R.; Tahara, Y.; Moniruzzaman, M.; Goto, M. Characterization and cytotoxicity evaluation of biocompatible amino acid esters used to convert salicylic acid into ionic liquids. Int. J. Pharm. 2018, 546, 31–38. [Google Scholar] [CrossRef] [PubMed]
- Ossowicz, P.; Klebeko, J.; Janus, E.; Nowak, A.; Duchnik, W.; Kucharski, Ł.; Klimowicz, A. The effect of alcohols as vehicles on the percutaneous absorption and skin retention of ibuprofen modified with l-valine alkyl esters. RSC Adv. 2020, 10, 41727–41740. [Google Scholar] [CrossRef]
- Janus, E.; Ossowicz, P.; Klebeko, J.; Nowak, A.; Duchnik, W.; Kucharski, Ł.; Klimowicz, A. Enhancement of ibuprofen solubility and skin permeation by conjugation with l-valine alkyl esters. RSC Adv. 2020, 10, 7570–7584. [Google Scholar] [CrossRef] [Green Version]
- Furukawa, S.; Hattori, G.; Sakai, S.; Kamiya, N. Highly efficient and low toxic skin penetrants composed of amino acid ionic liquids. RSC Adv. 2016, 6, 87753–87755. [Google Scholar] [CrossRef]
- Furniss, B.H.A.; Hannaford, J.; Smith, P.W.G.; Tatchell, A.R. Vogel’s Textbook of Practical Organic Chemistry; Longman Scientific & Technical: London, UK; John Wiley &Sons, Inc.: New York, NY, USA, 1989. [Google Scholar]
- Prieto Peraita, M.; Griesinger, C.; Amcoff, S.; Whelan, M. EURL ECVAM Recommendation on the 3T3 Neutral Red Uptake Cytotoxicity Assay for Acute Oral Toxicity Testing; EUR 25946; JRC79556; Publications Office of the European Union: Luxembourg, 2013. [Google Scholar]
- Prieto, P.; Cole, T.; Curren, R.; Gibson, R.M.; Liebsch, M.; Raabe, H.; Tuomainen, A.M.; Whelan, M.; Kinsner-Ovaskainen, A. Assessment of the predictive capacity of the 3T3 Neutral Red Uptake cytotoxicity test method to identify substances not classified for acute oral toxicity (LD50 > 2000 mg/kg): Results of an ECVAM validation study. Regul. Toxicol. Pharmacol. 2013, 65, 344–365. [Google Scholar] [CrossRef]
- Cytotoxicity: In Vitro Determination. Available online: https://www.who.int/tdr/grants/workplans/en/cytotoxicity_invitro.pdf (accessed on 1 November 2021).
- Egorova, K.S.; Seitkalieva, M.M.; Posvyatenko, A.V.; Khrustalev, V.N.; Ananikov, V.P. Cytotoxic activity of salicylic acid-containing drug models with ionic and covalent binding. ACS Med. Chem. Lett. 2015, 6, 1099–1104. [Google Scholar] [CrossRef] [PubMed]
- Grossman, R.M.; Krueger, J.; Yourish, D.; Granelli-Piperno, A.; Murphy, D.P.; May, L.T.; Kupper, T.S.; Sehgal, P.B.; Gottlieb, A.B. Interleukin 6 is expressed in high levels in psoriatic skin and stimulates proliferation of cultured human keratinocytes. Proc. Natl. Acad. Sci. USA 1989, 86, 6367–6371. [Google Scholar] [CrossRef] [PubMed] [Green Version]
- Younis, S.; Javed, Q. The interleukin-6 and interleukin-1A gene promoter polymorphism is associated with the pathogenesis of acne vulgaris. Arch. Dermatol. Res. 2015, 307, 365–370. [Google Scholar] [CrossRef]
- Bou-Abdallah, F.; Sprague, S.E.; Smith, B.M.; Giffune, T.R. Binding thermodynamics of diclofenac and naproxen with human and bovine serum albumins: A calorimetric and spectroscopic study. J. Chem. Thermodyn. 2016, 103, 299–309. [Google Scholar] [CrossRef] [Green Version]
- Maruthamuthu, M.; Kishore, S. Binding of ketoprofen with bovine serum albumin. Proc. Indian Acad. Sci. Chem. Sci. 1987, 99, 187–193. [Google Scholar] [CrossRef]




| No. | Compound | Color | Tm/°C | Tonset/°C | Tmax/°C | [α]λT |
|---|---|---|---|---|---|---|
| 1 | SA | white | 135.0 | 171.3 | 199.1 | 0.0 |
| 2 | [ValOEt][SA] | white | 57.5 | 157.6 | 187.5 | +11.0 |
| 3 | [ValOiPr][SA] | white | 102.6 | 163.1 | 198.7 | +12.5 |
| 4 | [ValOPr][SA] | white | 67.6/79.7 | 177.9 | 208.7 | +8.7 |
| 5 | [ValOBu][SA] | white | 68.8 | 171.8 | 205.7 | +9.6 |
| 6 | [LeuOEt][SA] | white | 68.2 | 159.2 | 194.0 | +13.5 |
| 7 | [PheOMe][SA] | white | 94.4/120.6 | 170.5 | 205.7 | +18.6 |
| 8 | [PheOEt][SA] | white | 98.4 | 181.1 | 212.4 | +16.8 |
| 9 | [PheOPr][SA] | white | 101.8 | 185.0 | 212.3 | +9.0 |
| Compound | Solubility in Water at 25 °C | |
|---|---|---|
| g·dm−3 | g SA·dm−3 | |
| SA | 3.852 ± 0.004 | 3.852 ± 0.004 |
| [ValOEt][SA] | 26.070 ± 0.026 | 12.709 ± 0.013 |
| [ValOiPr][SA] | 18.458 ± 0.018 | 8.574 ± 0.008 |
| [ValOPr][SA] | 21.789 ± 0.024 | 10.121 ± 0.011 |
| [ValOBu][SA] | 14.490 ± 0.014 | 6.427 ± 0.006 |
| [LeuOEt][SA] | 14.377 ± 0.014 | 8.659 ± 0.008 |
| [PheOMe][SA] | 2.307 ± 0.002 | 1.007 ± 0.001 |
| [PheOEt][SA] | 9.732 ± 0.010 | 4.069 ± 0.004 |
| [PheOPr][SA] | 1.143 ± 0.001 | 0.458 ± 0.001 |
| No. | Compound | Water (63.1) | Ethanol (51.9) | DMSO (45.1) | Chloroform (39.1) | Ethyl Acetate (38.1) | Diethyl ether (34.5) | Toluene (33.9) | n-Hexane (31.0) |
|---|---|---|---|---|---|---|---|---|---|
| 1 | SA | +/− | + | + | +/− | + | + | +/− | − |
| 2 | [ValOEt][SA] | +/− | + | + | + | + | + | + | − |
| 3 | [ValOiPr][SA] | +/− | + | + | + | +/− | +/− | + | − |
| 4 | [ValOPr][SA] | +/− | + | + | + | + | + | + | − |
| 5 | [ValOBu][SA] | +/− | +/− | + | + | + | + | + | − |
| 6 | [LeuOEt][SA] | +/− | +/− | + | + | + | + | + | − |
| 7 | [PheOMe][SA] | − | +/− | + | + | +/− | + | − | − |
| 8 | [PheOEt][SA] | − | +/− | + | + | +/− | + | − | − |
| 9 | [PheOPr][SA] | − | +/− | + | + | +/− | + | − | − |
| No. | Compound | IC50, μg/mL (in mM) |
|---|---|---|
| 1 | [PheOMe][SA] | 991 ± 10 (≈3.2) |
| 2 | [ValOEt][SA] | 700 ± 8 (≈2.5) |
| 3 | [LeuOEt][SA] | 894 ± 12 (≈3.0) |
| 4 | [PheOEt][SA] | 1062 ± 15 (≈3.2) |
| 5 | [ValOPr][SA] | 1310 ± 17 (≈4.4) |
| 6 | [PheOPr][SA] | 662 ± 9 (≈1.9) |
| 7 | [ValOiPr][SA] | 658 ± 7 (≈2.2) |
| 8 | [ValOBu][SA] | 309 ± 9 (≈1.0) |
| 9 | SA | 300 ± 6 (≈2.2) |
| No. | Compound | IC50, mg/mL (in mM) | Viability of HaCaT after 48 h Treatment with 0.4 mM IL or SA |
|---|---|---|---|
| 1 | [PheOMe][SA] | 1.3 ± 0.20(≈4.1) | 98 ± 3 |
| 2 | [ValOEt][SA] | 0.6 ± 0.01 (≈2.1) | 74 ± 2 |
| 3 | [LeuOEt][SA] | 0.8 ± 0.12 (≈2.1) | 70 ± 3 |
| 4 | [PheOEt][SA] | 2.2 ± 0.15 (≈6.6) | 105 ± 4 |
| 5 | [ValOPr][SA] | 0.5 ± 0.05 (≈1.8) | 74 ± 2 |
| 6 | [PheOPr][SA] | 0.65 ± 0.1(≈1.9) | 93 ± 4 |
| 7 | [ValOiPr][SA] | 0.9 ± 0.05 (≈3.1) | 66 ± 2 |
| 8 | [ValOBu][SA] | 0.6 ± 0.2 (≈1.9) | 74 ± 1 |
| 9 | SA | 0.2 ± 0.1 (≈1.6) | 71 ± 3 |
| BSA/IL Complex | Binding Sites (n) | Ka (×105 M) | Kd (×10−6 M) | ΔH (Kcal mol−1) | ΔS (cal mol−1 K−1) | ΔG (kcal/mol) |
|---|---|---|---|---|---|---|
| BSA/SA | 1.04 | 1.17 | 8.55 | −5.68 | 4.1 | −6.90 |
| BSA/[ValOEt][SA] | 1.14 | 1.13 | 8.77 | −4.38 | 8.5 | −6.90 |
| BSA/[ValOPr][SA] | 1.40 | 1.49 | 6.7 | −2.72 | 14.6 | −7.07 |
| BSA/[ValOiPr][SA] | 1.03 | 2.12 | 4.72 | −4.1 | 10.6 | −7.88 |
| BSA/[ValOBu][SA] | 1.24 | 0.89 | 11.1 | −4.0 | 9.2 | −6.75 |
| BSA/[LeuOEt][SA] | 1.05 | 4.43 | 2.26 | −2.23 | 18.3 | −7.69 |
| BSA/[PheOMe][SA] | 1.20 | 2.11 | 4.74 | −2.56 | 15.8 | −7.27 |
| BSA/[PheOEt][SA] | 1.06 | 1.23 | 8.13 | −4.53 | 9.1 | −6.94 |
| BSA/[PheOPr][SA] | 0.85 | 1.33 | 7.52 | −5.48 | 5.1 | −6.99 |
Publisher’s Note: MDPI stays neutral with regard to jurisdictional claims in published maps and institutional affiliations. |
© 2021 by the authors. Licensee MDPI, Basel, Switzerland. This article is an open access article distributed under the terms and conditions of the Creative Commons Attribution (CC BY) license (https://creativecommons.org/licenses/by/4.0/).
Share and Cite
Klebeko, J.; Ossowicz-Rupniewska, P.; Świątek, E.; Szachnowska, J.; Janus, E.; Taneva, S.G.; Krachmarova, E.; Guncheva, M. Salicylic Acid as Ionic Liquid Formulation May Have Enhanced Potency to Treat Some Chronic Skin Diseases. Molecules 2022, 27, 216. https://doi.org/10.3390/molecules27010216
Klebeko J, Ossowicz-Rupniewska P, Świątek E, Szachnowska J, Janus E, Taneva SG, Krachmarova E, Guncheva M. Salicylic Acid as Ionic Liquid Formulation May Have Enhanced Potency to Treat Some Chronic Skin Diseases. Molecules. 2022; 27(1):216. https://doi.org/10.3390/molecules27010216
Chicago/Turabian StyleKlebeko, Joanna, Paula Ossowicz-Rupniewska, Ewelina Świątek, Joanna Szachnowska, Ewa Janus, Stefka G. Taneva, Elena Krachmarova, and Maya Guncheva. 2022. "Salicylic Acid as Ionic Liquid Formulation May Have Enhanced Potency to Treat Some Chronic Skin Diseases" Molecules 27, no. 1: 216. https://doi.org/10.3390/molecules27010216
APA StyleKlebeko, J., Ossowicz-Rupniewska, P., Świątek, E., Szachnowska, J., Janus, E., Taneva, S. G., Krachmarova, E., & Guncheva, M. (2022). Salicylic Acid as Ionic Liquid Formulation May Have Enhanced Potency to Treat Some Chronic Skin Diseases. Molecules, 27(1), 216. https://doi.org/10.3390/molecules27010216

