Abstract
Development of novel anticancer therapeutic candidates is one of the key challenges in medicinal chemistry. Podophyllotoxin and its derivatives, as a potent cytotoxic agent, have been at the center of extensive chemical amendment and pharmacological investigation. Herein, a new series of podophyllotoxin-N-sulfonyl amidine hybrids (4a–4v, 5a–5f) were synthesized by a CuAAC/ring-opening procedure. All the synthesized podophyllotoxins derivatives were evaluated for in vitro cytotoxic activity against a panel of human lung (A-549) cancer cell lines. Different substituents’, or functional groups’ antiproliferative activities were discussed. The –CF3 group performed best (IC50: 1.65 μM) and exhibited more potent activity than etoposide. Furthermore, molecular docking and dynamics studies were also conducted for active compounds and the results were in good agreement with the observed IC50 values.
1. Introduction
Podophyllotoxin is a potent cytotoxic agent and serves as a useful lead compound for the development of drugs due to its cytotoxic, insecticidal, antifungal, antiviral, anti-inflammatory, neurotoxic, immunosuppressive, antirheumatic, antioxidative, anti-spasmogenic, and hypolipidemic activities. Its derivatives also act as excellent anticancer aspirants for future chemotherapies [1,2,3,4,5]. Similar to etoposide [6], teneposide [7] drugs have been proven to be potential antitumor drugs in clinical use; NPF [8] and GL-331 [9] have been under clinical trials. However, their therapeutic efficacy is often limited to their undesirable secondary effects, for example, gastrointestinal toxicity, neurotoxicity, hair loss, bone marrow suppression, etc., as well as the development of resistance by cancer cells [3]. Therefore, the development of less toxic derivatives or analogues has been a consistent focus of podophyllotoxin modifications.
Previous studies have shown that modifications in the podophyllotoxin skeleton’s A-ring and D-ring compounds appeared to be biologically less active than podophyllotoxin itself [10]. Intact A-ring and D-ring systems are important for the compounds’ DNA topoisomerase II (dtop II)-inhibiting activity. Meanwhile, rational modification at C4, including podophyllotoxin hybrids [11,12,13] and the β-configurated derivative podophyllotoxin hybrids, might improve the molecule’s topoisomerase II-inhibition activity, water solubility, drug resistance profile, and antimitotic activities [14] (Figure 1).
Figure 1.
Podophyllotoxin and podophyllotoxin derivatives.
Depending on the chosen modern molecule hybridization strategy [15,16], podophyllotoxin/epipodophyllotoxin can hybridize with amino acid/peptide [17,18], azole [19], biotin [20], carbamate [21], chalcone [22], cinnamic acid [23], cinnamic acid [24], ferrocene [25], furan/pyrrole [26], hydroxamic acid [27], indole [28], norcantharidin [29], pyridine/pyrimidine [30], pterostilbene [31], retinoic acid [32], sugar [33], (thio)urea [34], or sulfur [35] (Figure 1). These have been subjected to extensive research and have been shown to be highly active against both MDR and drug-sensitive cancer cell lines with IC50 or GI50 values at a nanomolar level; however, the water solubility, bioactivities, and toxicity still need to be improved. Analogs on a large scale, for drug discovery and application, are still required.
On the other hand, the N-sulfonyl amidine moiety frequently appears in biologically active compounds, and has displayed a crucial role in medicinal chemistry research, where it has therapeutic effects against several diseases. It showed a prolific set of biological activities (Figure 2), including anticancer (a) [36], antifungal (b) [37], antiresorptive (c) [38], dopamine transporter inhibition (d) [39], and antiproliferative activities [40], etc.
Figure 2.
Examples of sulfonyl amidine drug candidates.
Accordingly, herein we describe a new series of podophyllotoxin-N-sulfonyl amidine hybrids (PSAH) with potent antiproliferative activity. The operationally simple synthesis protocol involved stirring a mixture of the terminal alkynes, sulfonyl azides, and podophyllotoxin in the presence of a copper (I) catalyst; additionally, we studied the effects of different functional groups on cytotoxicity (Scheme 1).
Scheme 1.
Design and synthesis of novel podophyllotoxin hybrids.
2. Materials and Methods
2.1. General Methods
All melting points were determined on a Yanaco melting point apparatus (Kyoto, Japan) and were uncorrected. IR spectra were recorded as KBr pellets on a Nicolet FT-IR 5DX spectrometer (Waltham, MA, USA). All spectra of 1H NMR (400 MHz) and 13C NMR (100 MHz) were recorded on a Bruker AVANCE NEO 400 MHz spectrometer (Berne, Switzerland) in DMSO-d6 or CDCl3 (unless otherwise indicated), with TMS used as an internal reference and the J values given in Hz. HRMS were obtained on a Thermo Scientific Q Exactive Focus Orbitrap LC-MS/MS spectrometer (Waltham, MA, USA). Optical rotations are measured on a P-2000, serial number: B209161232, JASCO corporation (Tokyo, Japan). 4β-Aminopodophyllotoxin (1a) and 4′-O-demethyl-4β-aminopodophyllotoxin (1b) were prepared by using reported methods [41,42]. All terminal alkynes (2a–2m, see Supplemetary Materials Scheme S2) were prepared by the manufacturer and sulfonyl azides (3a–3j, see Supplemetary Materials Scheme S3) were prepared using methods in the literature [43].
2.2. General Procedure for the Synthesis of PSAH
We added 4β-Aminopodophyllotoxin (1a) or 4′-O-demethyl-4β-aminopodophyllotoxin (1b) (0.1 mmol), terminal alkynes (2) (0.12 mmol), sulfonyl azides (3) (0.12 mmol), CuI (0.02 mmol), NEt3 (0.4 mmol), and dry MeCN (2 mL) to an oven-dried Schlenk tube, equipped with a magnetic stirring bar. After the reaction was stirred at room temperature for 12 h, the solvent was removed by evaporation in vacuum. The residue was directly purified by flash column chromatography (silica gel, using hexanes/EtOAc as eluent) to afford the corresponding products PSAH, see 4 or 5. Details of the compound characterizations are provided in the following subsections.
N-((5S,5aS,8aR,9R)-8-Oxo-9-(3,4,5-trimethoxyphenyl)-5,5a,6,8,8a,9-hexahydrofuro[3′,4′:6,7]naphtho[2,3-d][1,3]dioxol-5-yl)-2-phenyl-N′-tosylacetimidamide (4a), white solid, 63 mg; yield: 92%; m.p.: 146–148 °C, [α]D25 = −59.1 (c 1.00, CH2Cl2); 1H NMR (400 MHz, CDCl3) δ = 7.82 (dd, J = 15.7, 7.9 Hz, 2H), 7.33 (dd, J = 11.9, 7.4 Hz, 5H), 7.21 (d, J = 7.2 Hz, 2H), 6.52 (s, 1H), 6.41 (s, 1H), 6.17 (s, 2H), 5.95 (d, J = 3.0 Hz, 2H), 5.27 (d, J = 6.9 Hz, 1H), 5.19 (t, J = 5.7 Hz, 1H), 4.42 (d, J = 5.1 Hz, 1H), 4.41–4.27 (m, 2H), 4.10 (t, J = 8.3 Hz, 1H), 3.77 (s, 3H), 3.71 (s, 6H), 3.61 (t, J = 10.0 Hz, 1H), 2.86–2.68 (m, 1H), 2.45 (m, 1H), 2.43 (s, 3H); 13C NMR (100 MHz, CDCl3) δ = 173.9, 166.5, 152.8 (2C), 148.8, 147.9, 143.2, 140.0, 137.5, 134.5, 133.0, 132.6, 129.9, 129.8 (2C), 129.7 (2C), 128.6, 127.3, 126.6 (2C), 126.5, 110.3, 108.7, 108.4 (2C), 101.9, 69.0, 60.9, 56.4 (2C), 50.6, 43.7, 42.0, 39.5, 36.9, 21.7; IR νmax (KBr): 3398, 2943, 1778, 1535, 1485, 1423, 1392, 1234, 933, 690 cm−1; HRMS (ESITOF) m/z calcd. for C37H36N2O9S, [M + H]+ 685.2214, found 685.2209.
N-((5S,5aS,8aR,9R)-8-Oxo-9-(3,4,5-trimethoxyphenyl)-5,5a,6,8,8a,9-hexahydrofuro[3′,4′:6,7]naphtho[2,3-d][1,3]dioxol-5-yl)-2-(p-tolyl)-N′-tosylacetimidamide (4b), white solid, 65 mg; yield: 93%; m.p.: 148–150 °C, [α]D25 = −69.1 (c 1.00, CH2Cl2); 1H NMR (400 MHz, CDCl3) δ = 7.84 (d, J = 8.1 Hz, 2H), 7.31 (d, J = 8.0 Hz, 2H), 7.16–7.04 (m, 4H), 6.53 (s, 1H), 6.42 (s, 1H), 6.18 (s, 2H), 5.96 (s, 2H), 5.33 (d, J = 7.0 Hz, 1H), 5.20 (dd, J = 7.0, 4.7 Hz, 1H), 4.43 (d, J = 5.0 Hz, 1H), 4.29 (m, 2H), 4.10 (dd, J = 9.2, 7.4 Hz, 1H), 3.77 (s, 3H), 3.71 (s, 6H), 2.79 (dddd, J = 15.3, 11.5, 7.4, 4.7 Hz, 1H), 2.45 (m, 1H), 2.43 (s, 3H), 2.32 (s, 3H); 13C NMR (100 MHz, CDCl3) δ = 173.9, 166.9, 152.8 (2C), 148.8, 147.9, 143.2, 140.0, 138.4, 137.5, 134.5, 132.6, 130.5 (2C), 129.7 (3C), 129.6 (2C), 127.4, 126.6 (2C), 110.3, 108.8, 108.4 (2C), 101.8, 69.1, 60.9, 56.4 (2C), 50.5, 43.7, 42.0, 39.1, 36.9, 21.7, 21.3; IR νmax (KBr): 3394, 2927, 1778, 1531, 1485, 1388, 1330, 1234, 933, 690 cm−1; HRMS (ESITOF) m/z calcd. for C38H38N2O9S, [M + H]+ 699.2371, found 699.2364.
2-(4-(Dimethylamino)phenyl)-N-((5S,5aS,8aR,9R)-8-oxo-9-(3,4,5-trimethoxyphenyl)-5,5a,6,8,8a,9-hexahydrofuro[3′,4′:6,7]naphtho[2,3-d][1,3]dioxol-5-yl)-N′-tosylacetimidamide (4c), white solid, 70 mg; yield: 96%; m.p.: 139–141 °C, [α]D25 = −77.3 (c 1.00, CH2Cl2); 1H NMR (400 MHz, CDCl3) δ = 7.84 (d, J = 8.0 Hz, 2H), 7.30 (d, J = 8.0 Hz, 2H), 7.01 (d, J = 8.4 Hz, 2H), 6.64 (d, J = 8.4 Hz, 2H), 6.57 (s, 1H), 6.41 (s, 1H), 6.19 (s, 2H), 5.94 (dd, J = 5.3, 1.3 Hz, 2H), 5.54 (d, J = 7.1 Hz, 1H), 5.23 (dd, J = 7.2, 4.8 Hz, 1H), 4.43 (d, J = 5.0 Hz, 1H), 4.20 (d, J = 4.4 Hz, 2H), 4.16–4.10 (m, 1H), 3.77 (s, 3H), 3.71 (s, 6H), 3.62 (dd, J = 10.9, 9.3 Hz, 1H), 2.93 (s, 6H), 2.80 (dddd, J = 15.1, 11.3, 7.1, 4.6 Hz, 1H), 2.47 (dd, J = 14.5, 5.1 Hz, 1H), 2.42 (s, 3H); 13C NMR (100 MHz, CDCl3) δ = 174.0, 167.9, 152.7 (2C), 150.2, 148.6, 147.8, 142.9, 140.1, 137.4, 134.5, 132.5, 130.6 (2C), 129.6 (2C), 127.4, 126.5 (2C), 119.3, 113.2 (2C), 110.2, 108.8, 108.3 (2C), 101.7, 69.0, 60.8, 56.3 (2C), 50.3, 43.6, 41.9, 40.4 (2C), 38.5, 36.8, 21.6; IR νmax (KBr): 3437, 2931, 1778, 1527, 1485, 1284, 1234, 1145, 941, 686 cm−1; HRMS (ESITOF) m/z calcd. for C39H41N3O9S, [M + H]+ 728.2636, found 728.2632.
2-(4-Methoxyphenyl)-N-((5S,5aS,8aR,9R)-8-oxo-9-(3,4,5-trimethoxyphenyl)-5,5a,6,8,8a,9-hexahydrofuro[3′,4′:6,7]naphtho[2,3-d][1,3]dioxol-5-yl)-N′-tosylacetimidamide (4d), white solid, 68 mg; yield: 95%; m.p.: 133–135 °C, [α]D25 = −91.3 (c 1.00, CH2Cl2); 1H NMR (400 MHz, CDCl3) δ = 7.76 (t, J = 5.7 Hz, 2H), 7.28 (m, 2H), 7.12 (d, J = 8.2 Hz, 2H), 6.87–6.75 (m, 2H), 6.53 (d, J = 2.3 Hz, 1H), 6.37 (d, J = 6.6 Hz, 1H), 6.18 (s, 2H), 5.92 (d, J = 6.7 Hz, 2H), 5.84 (m, 1H), 5.21 (dd, J = 7.1, 4.7 Hz, 1H), 4.40 (d, J = 5.1 Hz, 1H), 4.28 (dd, J = 16.8, 4.1 Hz, 1H), 4.19–4.00 (m, 2H), 3.76 (s, 3H), 3.74 (s, 3H), 3.69 (s, 6H), 3.60 (t, J = 10.1 Hz, 1H), 2.79 (dddd, J = 15.0, 11.3, 7.3, 4.7 Hz, 1H), 2.60 (dd, J = 14.1, 5.2 Hz, 1H), 2.41 (s, 3H); 13C NMR (100 MHz, CDCl3) δ = 174.0, 167.0, 159.3, 152.6 (2C), 148.6, 147.7, 143.0, 139.9, 137.2, 134.6, 132.5, 130.8, 130.7, 129.6, 129.5, 127.3, 126.4, 126.3, 124.8, 114.9, 114.8, 110.1, 108.7, 108.2 (2C), 101.7, 68.9, 60.7, 56.3 (2C), 55.3, 50.4, 43.6, 41.8, 38.4, 36.8, 21.5; IR νmax (KBr): 3390, 2935, 2839, 1778, 1585, 1512, 1330, 1238, 933, 690 cm−1; HRMS (ESITOF) m/z calcd. for C38H38N2O10S, [M + H]+ 715.2320, found 715.2321.
2-(3-Hydroxyphenyl)-N-((5S,5aS,8aR,9R)-8-oxo-9-(3,4,5-trimethoxyphenyl)-5,5a,6,8,8a,9-hexahydrofuro[3′,4′:6,7]naphtho[2,3-d][1,3]dioxol-5-yl)-N′-tosylacetimidamide (4e), white solid, 55 mg; yield: 79%; m.p.: 154–156 °C, [α]D25 = −48.1 (c 1.00, CH2Cl2). dr = 3.3:1; 1H NMR (400 MHz, CDCl3, contains two isomers) δ = 7.73 (d, J = 8.0 Hz, 2H, major), 7.65 (d, J = 7.9 Hz, 2H, minor), 7.30–7.23 (m, 2H, major + minor), 7.18 (t, J = 7.8 Hz, 1H, minor), 7.09 (t, J = 8.0 Hz, 1H, major), 6.84 (dd, J = 8.2, 2.3 Hz, 2H, minor), 6.72 (d, J = 7.0 Hz, 2H, major), 6.68 (d, J = 7.5 Hz, 1H, major + minor), 6.50 (s, 1H, major), 6.39 (s, 1H, minor), 6.26 (s, 1H, minor), 6.23 (s, 1H, major), 6.21 (d, J = 6.8 Hz, 2H, minor), 6.16 (s, 2H, major), 5.85 (d, J = 14.7 Hz, 2H, major), 5.79 (d, J = 8.5 Hz, 2H, minor), 5.30 (dd, J = 8.5, 5.1 Hz, 1H, minor), 5.18 (dd, J = 7.3, 3.5 Hz, 1H, major), 4.32 (d, J = 3.9 Hz, 1H, major), 4.24 (d, J = 16.0 Hz, 1H, major), 4.17 (d, J = 8.5 Hz, 1H, minor), 4.13 (d, J = 13.9 Hz, 1H, minor), 4.05–3.97 (m, 2H, major), 3.90–3.84 (m, 2H, minor), 3.80 (s, 3H, minor), 3.73 (s, 3H, major), 3.69 (s, 6H, major + minor), 3.62 (m, 2H, major), 3.38 (dd, J = 10.3, 4.6 Hz, 1H, minor), 3.20 (dt, J = 10.3, 5.2 Hz, 1H, minor), 2.75 (m, 2H, major + minor), 2.40 (s, 3H, major + minor); 13C NMR (100 MHz, CDCl3, contains two isomers) δ (major + minor) = 179.1, 174.6, 167.1, 166.7, 157.4, 157.1, 153.5 (2C), 152.6 (2C), 148.5, 148.0, 147.6, 147.3, 143.2, 143.1, 139.7, 139.6, 137.2, 137.0, 136.8, 134.8, 134.8, 133.9, 132.5, 131.1, 130.7, 130.5, 129.6 (2C), 127.2, 127.0, 126.4 (2C), 126.2 (2C), 121.5, 120.9, 116.8, 116.6, 116.0, 115.3, 110.1, 109.9, 108.9 (2C), 108.3 (2C), 106.5, 105.0, 101.7, 101.5, 69.1, 68.6, 60.9, 60.8, 56.3 (2C), 56.2 (2C), 50.6, 45.1, 44.7, 43.5, 41.7, 39.6, 39.1, 38.3, 36.9, 21.6 (2C); IR νmax (KBr): 3630, 3387, 2927, 1778, 1535, 1485, 1330, 1234, 933, 690 cm−1; HRMS (ESITOF) m/z calcd. for C37H36N2O10S, [M + H]+ 701.2163, found 701.2159.
2-(4-Chlorophenyl)-N-((5S,5aS,8aR,9R)-8-oxo-9-(3,4,5-trimethoxyphenyl)-5,5a,6,8,8a,9-hexahydrofuro[3′,4′:6,7]naphtho[2,3-d][1,3]dioxol-5-yl)-N′-tosylacetimidamide (4f), white solid, 63 mg; yield: 88%; m.p.: 138–140 °C, [α]D25 = −61.3 (c 1.00, CH2Cl2); 1H NMR (400 MHz, CDCl3) δ = 7.73 (d, J = 7.9 Hz, 2H), 7.28 (m, 4H), 7.16 (d, J = 8.1 Hz, 2H), 6.51 (s, 1H), 6.40 (s, 1H), 6.18 (s, 2H), 5.95 (d, J = 5.1 Hz, 2H), 5.68 (d, J = 6.9 Hz, 1H), 5.19 (dd, J = 7.0, 4.7 Hz, 1H), 4.45–4.33 (m, 2H), 4.12 (d, J = 16.4 Hz, 1H), 4.05 (t, J = 8.3 Hz, 1H), 3.75 (s, 3H), 3.70 (s, 6H), 3.60 (t, J = 10.0 Hz, 1H), 2.80 (dddd, J = 15.2, 11.6, 7.4, 4.8 Hz, 1H), 2.61 (dd, J = 14.4, 5.0 Hz, 1H), 2.42 (s, 3H); 13C NMR (100 MHz, CDCl3) δ = 173.9, 165.8, 152.7 (2C), 148.8, 147.9, 143.3, 139.7, 137.4, 134.5, 134.3, 132.6, 131.7, 130.9 (2C), 129.7 (2C), 129.6 (2C), 127.3, 126.4 (2C), 110.3, 108.7, 108.3 (2C), 101.8, 68.9, 60.8, 56.4 (2C), 50.7, 43.7, 41.9, 38.6, 36.8, 21.6; IR νmax (KBr): 3302, 2927, 1778, 1535, 1485, 1234, 933, 810, 779, 690 cm−1; HRMS (ESITOF) m/z calcd. for C37H35ClN2O9S, [M + H]+ 719.1824, found 719.1821.
2-(3-Chlorophenyl)-N-((5S,5aS,8aR,9R)-8-oxo-9-(3,4,5-trimethoxyphenyl)-5,5a,6,8,8a,9-hexahydrofuro[3′,4′:6,7]naphtho[2,3-d][1,3]dioxol-5-yl)-N′-tosylacetimidamide (4g), white solid, 68 mg; yield: 94%; m.p.: 151–153 °C, [α]D25 = −59.6 (c 1.00, CH2Cl2); 1H NMR (400 MHz, CDCl3) δ = 7.65 (d, J = 7.9 Hz, 2H), 7.27–7.19 (m, 4H), 7.20–7.10 (m, 2H), 6.50 (s, 1H), 6.33 (s, 1H), 6.27 (d, J = 7.0 Hz, 1H), 6.17 (s, 2H), 5.90 (d, J = 16.2 Hz, 2H), 5.21 (dd, J = 7.1, 4.1 Hz, 1H), 4.38 (dd, J = 10.1, 5.6 Hz, 2H), 4.05–3.97 (m, 1H), 3.97 (d, J = 11.9 Hz, 1H), 3.72 (s, 3H), 3.68 (s, 6H), 3.58 (t, J = 9.5 Hz, 1H), 2.86–2.66 (m, 2H), 2.40 (s, 3H); 13C NMR (100 MHz, CDCl3) δ = 174.1, 165.4, 152.5 (2C), 148.5, 147.6, 143.1, 139.6, 137.1, 135.9, 134.8, 134.7, 132.4, 130.4, 129.5 (2C), 129.2, 127.9, 127.4, 127.3, 126.2 (2C), 110.1, 108.7, 108.1 (2C), 101.6, 68.7, 60.7, 56.2 (2C), 50.5, 43.6, 41.6, 38.3, 36.7, 21.5; IR νmax (KBr): 3398, 2931, 1778, 1585, 1423, 1330, 1234, 933, 771, 690 cm−1; HRMS (ESITOF) m/z calcd. for C37H35ClN2O9S, [M + H]+ 719.1825, found 719.1824.
2-(4-Bromophenyl)-N-((5S,5aS,8aR,9R)-8-oxo-9-(3,4,5-trimethoxyphenyl)-5,5a,6,8,8a,9-hexahydrofuro[3′,4′:6,7]naphtho[2,3-d][1,3]dioxol-5-yl)-N′-tosylacetimidamide (4h), white solid, 59 mg; yield: 77%; m.p.: 163–165 °C, [α]D25 = −64.4 (c 1.00, CH2Cl2); 1H NMR (400 MHz, CDCl3) δ = 7.68 (d, J = 8.2 Hz, 2H), 7.40 (d, J = 8.3 Hz, 2H), 7.29–7.20 (m, 2H), 7.08 (d, J = 8.1 Hz, 2H), 6.51 (s, 1H), 6.37 (s, 1H), 6.17 (s, 2H), 5.97–5.94 (m, 2H), 5.93 (m, 1H), 5.21 (dd, J = 7.1, 4.6 Hz, 1H), 4.41 (d, J = 4.9 Hz, 1H), 4.33 (d, J = 16.2 Hz, 1H), 4.09–3.97 (m, 1H), 3.73 (s, 3H), 3.69 (s, 6H), 3.60 (t, J = 9.9 Hz, 1H), 2.80 (dddd, J = 15.1, 11.2, 7.2, 4.7 Hz, 1H), 2.68 (dd, J = 14.4, 5.0 Hz, 1H), 2.41 (s, 3H); 13C NMR (100 MHz, CDCl3) δ = 174.0, 165.7, 152.7 (2C), 148.7, 147.8, 143.2, 139.7, 137.3, 134.6, 132.6, 132.5 (2C), 132.4, 131.1 (2C), 129.6 (2C), 127.3, 126.4, 126.3, 122.2, 110.2, 108.7, 108.3 (2C), 101.8, 68.9, 60.8, 56.3 (2C), 50.7, 43.6, 41.8, 38.6, 36.8, 21.6; IR νmax (KBr): 3437, 2935, 1778, 1535, 1485, 1330, 1234, 933, 694, 551 cm−1; HRMS (ESITOF) m/z calcd. for C37H35BrN2O9S, [M + H]+ 763.1319, found 763.1310.
N-((5S,5aS,8aR,9R)-8-Oxo-9-(3,4,5-trimethoxyphenyl)-5,5a,6,8,8a,9-hexahydrofuro[3′,4′:6,7]naphtho[2,3-d][1,3]dioxol-5-yl)-N′-tosyl-2-(4-(trifluoromethyl)phenyl)acetimidamide (4i), white solid, 73 mg; yield: 97%; m.p.: 201–203 °C, [α]D25 = −57.2 (c 1.00, CH2Cl2); 1H NMR (400 MHz, CDCl3) δ = 7.74–7.65 (m, 2H), 7.56 (dd, J = 8.2, 3.2 Hz, 2H), 7.35 (d, J = 7.9 Hz, 2H), 7.25 (dd, J = 8.9, 2.9 Hz, 2H), 6.47 (s, 1H), 6.40 (d, J = 2.4 Hz, 1H), 6.18 (s, 2H), 5.93 (d, J = 13.1 Hz, 2H), 5.81–5.66 (m, 1H), 5.21 (dd, J = 6.8, 4.6 Hz, 1H), 4.51 (dd, J = 16.1, 3.0 Hz, 1H), 4.46–4.39 (m, 1H), 4.14 (dd, J = 16.2, 5.4 Hz, 1H), 4.06 (t, J = 8.3 Hz, 1H), 3.74 (s, 3H), 3.69 (s, 6H), 3.64 (t, J = 10.1 Hz, 1H), 2.82 (dddd, J = 15.1, 11.4, 7.3, 4.7 Hz, 1H), 2.67 (dt, J = 13.8, 5.2 Hz, 1H), 2.40 (s, 3H); 13C NMR (100 MHz, CDCl3) δ = 174.0, 165.2, 152.7 (2C), 148.8, 147.9, 143.4, 139.6, 137.6, 137.4, 134.6, 132.6, 130.4 (q, J = 31.1 Hz, 1C), 129.8 (2C), 129.6 (2C), 127.3 (q, J = 1.1 Hz, 2C), 126.4, 126.3 (q, J = 3.3 Hz, 2C), 123.9 (q, J = 272.2 Hz, 1C), 110.3, 108.6, 108.3 (2C), 101.9, 68.9, 60.8, 56.4 (2C), 50.9, 43.7, 42.0, 39.0, 36.8, 21.6; IR νmax (KBr): 3437, 2935, 1778, 1535, 1485, 1327, 1234, 1126, 933, 690 cm−1; HRMS (ESITOF) m/z calcd. for C38H35F3N2O9S, [M + H]+ 753.2088, found 753.2082.
4-(2-(((5S,5aS,8aR,9R)-8-Oxo-9-(3,4,5-trimethoxyphenyl)-5,5a,6,8,8a,9-hexahydrofuro[3′,4′:6,7]naphtha[2,3-d][1,3]dioxol-5-yl)amino)-2-(tosylimino)ethyl)benzoic acid (4j), white solid, 45 mg; yield: 61%; m.p.: 170–172 °C, [α]D25 = −61.8 (c 1.00, (CH3)2CO); 1H NMR (400 MHz, (CD3)2CO) δ = 8.00 (d, J = 7.4 Hz, 1H), 7.93 (d, J = 7.9 Hz, 2H), 7.79 (d, J = 7.9 Hz, 2H), 7.52 (d, J = 7.9 Hz, 2H), 7.33 (d, J = 7.9 Hz, 2H), 6.77 (s, 1H), 6.48 (s, 1H), 6.35 (s, 2H), 5.97 (d, J = 7.5 Hz, 2H), 5.45 (dd, J = 7.6, 4.0 Hz, 1H), 4.62 (d, J = 15.0 Hz, 1H), 4.52 (d, J = 4.8 Hz, 1H), 4.26 (d, J = 15.0 Hz, 1H), 4.13–4.04 (m, 1H), 3.76 (t, J = 9.5 Hz, 1H), 3.66 (s, 6H), 3.65 (s, 4H), 3.61 (s, 1H), 3.16–3.01 (m, 2H), 2.39 (s, 3H); 13C NMR (100 MHz, (CD3)2CO) δ = 173.6, 166.5, 165.2, 152.5 (2C), 148.1, 147.2, 142.1, 141.2, 140.5, 137.3, 135.4, 132.8, 129.7 (2C), 129.2, 129.1 (4C), 128.4, 126.2 (2C), 109.5, 109.1, 108.5 (2C), 101.5, 68.4, 59.4, 55.4 (2C), 50.2, 43.6, 41.1, 38.4, 37.0, 20.4; IR νmax (KBr): 3433, 2924, 1778, 1724, 1543, 1485, 1330, 1234, 933, 690 cm−1; HRMS (ESITOF) m/z calcd. for C38H36N2O11S, [M + H]+ 729.2113, found 729.2110.
N-((5S,5aS,8aR,9R)-8-Oxo-9-(3,4,5-trimethoxyphenyl)-5,5a,6,8,8a,9-hexahydrofuro[3′,4′:6,7]naphtho[2,3-d][1,3]dioxol-5-yl)-N′-tosyloctanimidamide (4k), white solid, 56 mg; yield: 81%; m.p.: 140–142 °C, [α]D25 = −99.3 (c 1.00, CH2Cl2); 1H NMR (400 MHz, CDCl3) δ = 7.74 (d, J = 7.9 Hz, 2H), 7.28 (d, J = 5.5 Hz, 2H), 6.69 (s, 1H), 6.43 (s, 1H), 6.21 (s, 2H), 5.95 (d, J = 7.5 Hz, 2H), 5.25 (dd, J = 7.1, 4.1 Hz, 1H), 4.46 (d, J = 4.3 Hz, 1H), 4.04 (dd, J = 9.2, 6.8 Hz, 1H), 3.74 (s, 3H), 3.71 (s, 6H), 3.62 (t, J = 9.7 Hz, 1H), 2.87 (td, J = 17.0, 15.7, 6.1 Hz, 3H), 2.67 (dt, J = 14.3, 8.0 Hz, 1H), 2.41 (s, 3H), 1.59 (t, J = 7.5 Hz, 2H), 1.32–1.21 (m, 9H), 0.87 (t, J = 6.7 Hz, 3H); 13C NMR (100 MHz, CDCl3) δ = 174.2, 169.0, 152.7 (2C), 148.6, 147.8, 142.9, 140.3, 137.2, 134.8, 132.6, 129.5 (2C), 127.8, 126.4 (2C), 110.2, 109.1, 108.2 (2C), 101.8, 69.0, 60.8, 56.3 (2C), 50.2, 43.7, 41.9, 36.8, 33.9, 31.8, 29.6, 28.9, 28.2, 22.6, 21.6, 14.1; IR νmax (KBr): 3441, 2927, 1778, 1531, 1485, 1330, 1234, 1145, 937, 694 cm−1; HRMS (ESITOF) m/z calcd. for C37H44N2O9S, [M + H]+ 693.2840, found 693.2836.
N-((5S,5aS,8aR,9R)-8-Oxo-9-(3,4,5-trimethoxyphenyl)-5,5a,6,8,8a,9-hexahydrofuro[3′,4′:6,7]naphtho[2,3-d][1,3]dioxol-5-yl)-2-(thiophen-2-yl)-N′-tosylacetimidamide (4l), white solid, 42 mg; yield: 61%; m.p.: 128–130 °C, [α]D25 = −82.9 (c 1.00, CH2Cl2); 1H NMR (400 MHz, CDCl3) δ = 7.81 (d, J = 7.8 Hz, 2H), 7.30 (d, J = 8.0 Hz, 3H), 6.97 (d, J = 5.6 Hz, 2H), 6.60 (s, 1H), 6.42 (s, 1H), 6.19 (s, 2H), 5.96 (s, 2H), 5.76 (d, J = 6.9 Hz, 1H), 5.21 (t, J = 5.7 Hz, 1H), 4.63–4.47 (m, 2H), 4.46 (d, J = 5.0 Hz, 1H), 4.05 (t, J = 8.3 Hz, 1H), 3.76 (s, 3H), 3.71 (s, 6H), 3.62 (t, J = 10.1 Hz, 1H), 2.89–2.73 (m, 1H), 2.57 (dd, J = 14.3, 5.1 Hz, 1H), 2.42 (s, 3H); 13C NMR (100 MHz, CDCl3) δ = 173.9, 165.2, 152.7 (2C), 148.8, 147.9, 143.3, 139.8, 137.5, 134.5, 133.9, 132.6, 129.8, 129.7, 129.2, 128.0, 127.3, 127.1, 126.6, 126.5 (2C), 110.3, 108.9, 108.3 (2C), 101.8, 69.0, 60.8, 56.4 (2C), 50.6, 43.7, 42.0, 37.0, 33.5, 21.7; IR νmax (KBr): 3441, 2935, 1778, 1585, 1539, 1485, 1419, 1392, 933, 690 cm−1; HRMS (ESITOF) m/z calcd. for C35H34N2O9S, [M + H]+ 691.1778, found 691.1774.
3-(1H-Indol-1-yl)-N-((5S,5aS,8aR,9R)-8-oxo-9-(3,4,5-trimethoxyphenyl)-5,5a,6,8,8a,9-hexahydrofuro[3′,4′:6,7]naphtho[2,3-d][1,3]dioxol-5-yl)-N′-tosylpropanimidamide (4m), white solid, 47 mg; yield: 64%; m.p.: 149–151 °C, [α]D25 = −78.0 (c 1.00, CH2Cl2); 1H NMR (400 MHz, CDCl3) δ = 7.82 (dd, J = 8.1, 3.0 Hz, 2H), 7.65 (d, J = 7.8 Hz, 1H), 7.44 (d, J = 8.1 Hz, 1H), 7.30 (d, J = 8.0 Hz, 2H), 7.17 (t, J = 7.9 Hz, 1H), 7.14 (d, J = 3.1 Hz, 1H), 7.10 (t, J = 7.4 Hz, 1H), 6.50 (d, J = 3.1 Hz, 1H), 6.28 (d, J = 2.9 Hz, 1H), 6.08 (s, 2H), 5.91 (d, J = 4.2 Hz, 2H), 5.88 (s, 1H), 5.67 (d, J = 6.8 Hz, 1H), 4.80 (dt, J = 23.7, 4.3 Hz, 2H), 4.71–4.60 (m, 1H), 4.24 (d, J = 5.1 Hz, 1H), 3.73 (m, 1H), 3.70 (s, 3H), 3.64 (s, 6H), 3.46 (dt, J = 12.3, 5.9 Hz, 1H), 3.30–3.15 (m, 2H), 2.55 (dddd, J = 15.2, 11.6, 7.3, 3.6 Hz, 1H), 2.41 (s, 3H), 2.18–2.09 (m, 1H); 13C NMR (100 MHz, CDCl3) δ = 174.1, 164.7, 152.5 (2C), 148.5, 147.4, 143.3, 139.8, 137.2, 135.7, 134.8, 132.3, 129.6 (2C), 128.8, 127.8, 127.0, 126.4 (2C), 122.3, 121.9, 120.0, 109.9, 109.2, 109.1, 108.2 (2C), 102.7, 101.6, 68.7, 60.7, 56.3 (2C), 50.7, 44.0, 43.5, 41.4, 36.6, 35.8, 21.6; IR νmax (KBr): 3433, 2931, 1778, 1581, 1535, 1508, 1330, 1234, 933, 694 cm−1; HRMS (ESITOF) m/z calcd. for C40H39N3O9S, [M + H]+ 738.2480, found 738.2478.
N-((5S,5aS,8aR,9R)-8-Oxo-9-(3,4,5-trimethoxyphenyl)-5,5a,6,8,8a,9-hexahydrofuro[3′,4′:6,7]naphtho[2,3-d][1,3]dioxol-5-yl)-2-phenyl-N′-(phenylsulfonyl)acetimidamide (4n), white solid, 64 mg; yield: 96%; m.p.: 135–137 °C, [α]D25 = −71.2 (c 1.00, CH2Cl2); 1H NMR (400 MHz, CDCl3) δ = 7.98–7.86 (m, 2H), 7.60–7.44 (m, 4H), 7.33–7.29 (m, 2H), 7.25–7.18 (m, 2H), 6.53 (s, 1H), 6.37 (s, 1H), 6.17 (s, 2H), 5.92 (dd, J = 6.5, 1.2 Hz, 2H), 5.67 (d, J = 7.0 Hz, 1H), 5.21 (dd, J = 7.0, 4.7 Hz, 1H), 4.46–4.33 (m, 2H), 4.24 (d, J = 16.6 Hz, 1H), 4.07 (td, J = 9.2, 7.4 Hz, 1H), 3.75 (s, 3H), 3.69 (s, 6H), 3.64–3.54 (m, 1H), 2.80 (dddd, J = 15.3, 11.6, 7.4, 4.7 Hz, 1H), 2.54 (dd, J = 14.4, 5.1 Hz, 1H); 13C NMR (100 MHz, CDCl3) δ = 174.0, 166.7, 152.7 (2C), 148.7, 147.8, 142.7, 137.4, 134.6, 133.1, 132.5, 132.4, 129.6 (2C), 129.2, 129.0 (2C), 128.4, 127.3, 126.4 (2C), 126.3, 110.2, 108.8, 108.3 (2C), 101.8, 68.9, 60.8, 56.3 (2C), 50.6, 43.6, 41.8, 39.4, 36.8; IR νmax (KBr): 3317, 2939, 1778, 1542, 1419, 1334, 1234, 933, 729, 690 cm−1; HRMS (ESITOF) m/z calcd. for C36H34N2O9S, [M + H]+ 671.2058, found 671.2053.
N′-((2,3-Dihydro-1H-inden-5-yl)sulfonyl)-N-((5S,5aS,8aR,9R)-8-oxo-9-(3,4,5-trimethoxyphenyl)-5,5a,6,8,8a,9-hexahydrofuro[3′,4′:6,7]naphtho[2,3-d][1,3]dioxol-5-yl)-2-phenylacetimidamide (4o), white solid, 69 mg; yield: 97%; m.p.: 164–166 °C, [α]D25 = −67.8 (c 1.00, CH2Cl2); 1H NMR (400 MHz, CDCl3) δ = 7.72 (s, 1H), 7.68 (d, J = 8.0 Hz, 1H), 7.30 (dd, J = 9.1, 7.0 Hz, 4H), 7.21 (d, J = 7.1 Hz, 2H), 6.52 (s, 1H), 6.38 (s, 1H), 6.17 (s, 2H), 5.93 (d, J = 7.5 Hz, 2H), 5.56 (d, J = 6.9 Hz, 1H), 5.25–5.18 (m, 1H), 4.43–4.33 (m, 2H), 4.24 (d, J = 16.7 Hz, 1H), 4.09 (t, J = 8.3 Hz, 1H), 3.76 (s, 4H), 3.70 (s, 7H), 3.61 (t, J = 10.1 Hz, 1H), 2.95 (td, J = 7.6, 2.9 Hz, 4H), 2.79 (dddd, J = 15.2, 11.6, 7.2, 4.7 Hz, 1H), 2.52 (dd, J = 14.4, 5.1 Hz, 1H), 2.12 (p, J = 7.5 Hz, 2H); 13C NMR (100 MHz, CDCl3) δ = 174.0, 166.4, 152.7 (2C), 149.5, 148.7, 147.8, 145.3, 140.6, 137.4, 134.6, 133.2, 132.5, 129.6 (2C), 129.5 (2C), 128.3, 127.4, 124.8, 124.7, 122.4, 110.2, 108.8, 108.3 (2C), 101.8, 69.0, 60.8, 56.4 (2C), 50.5, 43.6, 41.9, 39.3, 36.9, 32.9, 32.8, 25.4; IR νmax (KBr): 3398, 2939, 2843, 1778, 1535, 1330, 1234, 1130, 933, 698 cm−1; HRMS (ESITOF) m/z calcd. for C39H38N2O9S, [M + H]+ 711.2371, found 711.2370.
N′-((4-Chlorophenyl)sulfonyl)-N-((5S,5aS,8aR,9R)-8-oxo-9-(3,4,5-trimethoxyphenyl)-5,5a,6,8,8a,9-hexahydrofuro[3′,4′:6,7]naphtho[2,3-d][1,3]dioxol-5-yl)-2-phenylacetimidamide (4p), white solid, 62 mg; yield: 87%; m.p.: 230–232 °C, [α]D25 = −77.0 (c 1.00, CH2Cl2); 1H NMR (400 MHz, CDCl3) δ = 7.82–7.75 (m, 2H), 7.48–7.40 (m, 2H), 7.31 (d, J = 7.1 Hz, 3H), 7.24–7.15 (m, 2H), 6.52 (s, 1H), 6.37 (s, 1H), 6.17 (s, 2H), 5.93 (d, J = 4.2 Hz, 2H), 5.87 (d, J = 7.1 Hz, 1H), 5.18 (dd, J = 7.1, 4.7 Hz, 1H), 4.41 (d, J = 5.0 Hz, 1H), 4.39–4.15 (m, 2H), 4.08 (dd, J = 9.1, 7.5 Hz, 1H), 3.74 (s, 3H), 3.69 (s, 6H), 3.63 (dd, J = 10.9, 9.2 Hz, 1H), 2.81 (dddd, J = 15.2, 11.5, 7.3, 4.6 Hz, 1H), 2.58 (dd, J = 14.4, 5.0 Hz, 1H); 13C NMR (100 MHz, CDCl3) δ = 173.9, 166.8, 152.7 (2C), 148.7, 147.8, 141.2, 138.7, 137.4, 134.5, 133.0, 132.5, 129.6 (2C), 129.5 (2C), 129.2 (2C), 128.4, 127.9 (2C), 127.1, 110.2, 108.7, 108.3 (2C), 101.8, 68.8, 60.8, 56.3 (2C), 50.6, 43.6, 41.8, 39.4, 36.8; IR νmax (KBr): 3390, 2920, 1778, 1535, 1392, 1330, 1234, 929, 756, 636 cm−1; HRMS (ESITOF) m/z calcd. for C36H33ClN2O9S, [M + H]+ 705.1668, found 705.1663.
N′-((4-Bromophenyl)sulfonyl)-N-((5S,5aS,8aR,9R)-8-oxo-9-(3,4,5-trimethoxyphenyl)-5,5a,6,8,8a,9-hexahydrofuro[3′,4′:6,7]naphtho[2,3-d][1,3]dioxol-5-yl)-2-phenylacetimidamide (4q), white solid, 65 mg; yield: 86%; m.p.: 232–234 °C, [α]D25 = −70.4 (c 1.00, CH2Cl2); 1H NMR (400 MHz, CDCl3) δ = 7.71 (d, J = 8.3 Hz, 2H), 7.60 (d, J = 8.2 Hz, 2H), 7.39–7.25 (m, 3H), 7.20 (d, J = 6.9 Hz, 2H), 6.52 (s, 1H), 6.37 (s, 1H), 6.17 (s, 2H), 5.93 (d, J = 3.7 Hz, 2H), 5.84 (d, J = 7.1 Hz, 1H), 5.26–5.10 (m, 1H), 4.41 (d, J = 5.1 Hz, 1H), 4.34 (d, J = 16.5 Hz, 1H), 4.21 (d, J = 16.5 Hz, 1H), 4.08 (t, J = 8.3 Hz, 1H), 3.74 (s, 3H), 3.69 (s, 6H), 3.62 (t, J = 10.1 Hz, 1H), 2.88–2.73 (m, 1H), 2.57 (dd, J = 14.4, 5.1 Hz, 1H); 13C NMR (100 MHz, CDCl3) δ = 173.9, 166.8, 152.7 (2C), 148.7, 147.8, 141.7, 137.4, 134.5, 133.0, 132.5, 132.2 (2C), 129.6 (2C), 129.5 (2C), 128.4, 128.0 (2C), 127.2, 127.1, 110.2, 108.7, 108.3 (2C), 101.8, 68.8, 60.8, 56.3 (2C), 50.6, 43.6, 41.8, 39.5, 36.8; IR νmax (KBr): 3437, 2935, 1778, 1535, 1485, 1330, 1234, 933, 748, 609 cm−1; HRMS (ESITOF) m/z calcd. for C36H33BrN2O9S, [M + H]+ 749.1163, found 749.1166.
N-((5S,5aS,8aR,9R)-8-Oxo-9-(3,4,5-trimethoxyphenyl)-5,5a,6,8,8a,9-hexahydrofuro[3′,4′:6,7]naphtho[2,3-d][1,3]dioxol-5-yl)-2-phenyl-N′-((4-(trifluoromethyl)phenyl)sulfonyl)acetimidamide (4r), white solid, 69 mg; yield: 93%; m.p.: 245–247 °C, [α]D25 = −79.2 (c 1.00, CH2Cl2); 1H NMR (400 MHz, CDCl3) δ = 8.13 (s, 1H), 8.10 (d, J = 8.2 Hz, 2H), 7.87 (d, J = 8.1 Hz, 2H), 7.41 (d, J = 7.4 Hz, 2H), 7.28 (dt, J = 13.5, 7.1 Hz, 3H), 6.74 (s, 1H), 6.50 (s, 1H), 6.34 (s, 2H), 5.98 (d, J = 5.1 Hz, 2H), 5.48 (dd, J = 7.7, 3.4 Hz, 1H), 4.57–4.46 (m, 2H), 4.24 (d, J = 14.8 Hz, 1H), 4.13 (dd, J = 10.1, 5.3 Hz, 1H), 3.86–3.70 (m, 1H), 3.66 (s, 9H), 3.09 (d, J = 4.6 Hz, 2H); 13C NMR (100 MHz, CDCl3) δ = 174.5, 167.8, 153.6 (2C), 149.2, 148.7, 148.2, 138.3, 136.3, 135.9, 133.8, 133.4 (d, J = 32.3 Hz, 1C), 130.0 (2C), 129.5 (2C), 129.2, 128.0, 127.9 (2C), 126.8 (q, J = 3.8 Hz, 2C), 124.7 (q, J = 272.0 Hz, 1C), 110.6, 110.1, 109.5 (2C), 102.5, 69.2, 60.4, 56.4 (2C), 51.4, 44.6, 42.1, 39.7, 37.9; IR νmax (KBr): 3267, 2927, 1778, 1539, 1485, 1327, 1234, 1091, 929, 717 cm−1; HRMS (ESITOF) m/z calcd. for C37H33F3N2O9S, [M + H]+ 739.1932, found 739.1936.
N′-(Methylsulfonyl)-N-((5S,5aS,8aR,9R)-8-oxo-9-(3,4,5-trimethoxyphenyl)-5,5a,6,8,8a,9-hexahydrofuro[3′,4′:6,7]naphtho[2,3-d][1,3]dioxol-5-yl)-2-phenylacetimidamide (4s), white solid, 53 mg; yield: 83%; m.p.: 173–175 °C, [α]D25 = −55.0 (c 1.00, CH2Cl2); 1H NMR (400 MHz, CDCl3) δ = 7.39–7.22 (m, 5H), 6.58 (s, 1H), 6.42 (s, 1H), 6.22 (s, 2H), 5.95 (d, J = 5.9 Hz, 2H), 5.62 (d, J = 6.8 Hz, 1H), 5.22 (dd, J = 7.0, 4.5 Hz, 1H), 4.46 (d, J = 4.7 Hz, 1H), 4.39 (t, J = 8.2 Hz, 1H), 4.36–4.19 (m, 2H), 3.81 (d, J = 10.2 Hz, 1H), 3.76 (s, 3H), 3.71 (s, 6H), 3.01 (s, 3H), 2.92 (dtd, J = 17.8, 10.7, 8.8, 5.0 Hz, 1H), 2.59 (dd, J = 14.4, 4.9 Hz, 1H); 13C NMR (100 MHz, CDCl3) δ = 173.9, 166.8, 152.7 (2C), 148.7, 147.8, 137.4, 134.6, 133.1, 132.5, 129.6 (2C), 129.5 (2C), 128.4, 127.4, 110.2, 108.7, 108.3 (2C), 101.8, 68.9, 60.8, 56.3 (2C), 50.4, 43.6, 43.3, 41.9, 39.4, 37.0; IR νmax (KBr): 3452, 2931, 1778, 1585, 1485, 1330, 1234, 1126, 794, 570 cm−1; HRMS (ESITOF) m/z calcd. for C31H32N2O9S, [M + H]+ 609.1901, found 609.1893.
N′-(Ethylsulfonyl)-N-((5S,5aS,8aR,9R)-8-oxo-9-(3,4,5-trimethoxyphenyl)-5,5a,6,8,8a,9-hexahydrofuro[3′,4′:6,7]naphtho[2,3-d][1,3]dioxol-5-yl)-2-phenylacetimidamide (4t), white solid, 53 mg; yield: 85%; m.p.: 145–147 °C, [α]D25 = −60.9 (c 1.00, CH2Cl2); 1H NMR (400 MHz, CDCl3) δ = 7.39–7.27 (m, 5H), 6.57 (s, 1H), 6.43 (s, 1H), 6.22 (s, 2H), 5.95 (d, J = 7.1 Hz, 2H), 5.54 (q, J = 9.7, 8.4 Hz, 1H), 5.21 (dd, J = 7.2, 4.7 Hz, 1H), 4.46 (d, J = 5.0 Hz, 1H), 4.37 (t, J = 8.4 Hz, 1H), 4.33–4.24 (m, 2H), 3.83–3.77 (m, 1H), 3.76 (s, 3H), 3.72 (s, 6H), 3.10 (qd, J = 7.4, 2.6 Hz, 2H), 2.89 (dq, J = 10.6, 3.2 Hz, 1H), 2.60–2.50 (m, 1H), 1.43 (td, J = 7.4, 1.9 Hz, 3H); 13C NMR (100 MHz, CDCl3) δ = 173.9, 167.1, 152.7 (2C), 148.7, 147.8, 137.4, 134.6, 133.2, 132.5, 129.6 (2C), 129.5 (2C), 128.4, 127.4, 110.2, 108.7, 108.3 (2C), 101.8, 68.9, 60.8, 56.4 (2C), 50.3, 49.5, 43.6, 41.9, 39.7, 37.0, 8.5; IR νmax (KBr): 3402, 2939, 2839, 1778, 1585, 1485, 1388, 1234, 933, 802 cm−1; HRMS (ESITOF) m/z calcd. for C32H34N2O9S, [M + H]+ 623.2058, found 623.2053.
N′-(Isobutylsulfonyl)-N-((5S,5aS,8aR,9R)-8-oxo-9-(3,4,5-trimethoxyphenyl)-5,5a,6,8,8a,9-hexahydrofuro[3′,4′:6,7]naphtho[2,3-d][1,3]dioxol-5-yl)-2-phenylacetimidamide (4u), white solid, 50 mg; yield: 77%; m.p.: 138–140 °C, [α]D25 = −34.3 (c 1.00, CH2Cl2); 1H NMR (400 MHz, CDCl3) δ = 7.33 (m, 3H), 7.26–7.19 (m, 2H), 6.55 (d, J = 12.3 Hz, 1H), 6.42 (d, J = 12.4 Hz, 1H), 6.20 (d, J = 18.0 Hz, 2H), 5.95 (d, J = 5.2 Hz, 2H), 5.50–5.32 (m, 1H), 5.20 (dd, J = 7.1, 4.8 Hz, 1H), 4.46 (d, J = 5.1 Hz, 1H), 4.43–4.34 (m, 1H), 4.32 (d, J = 3.4 Hz, 1H), 3.81 (m, 1H), 3.76 (d, J = 7.0 Hz, 3H), 3.71 (d, J = 8.5 Hz, 6H), 3.06–2.95 (m, 2H), 2.89 (ddd, J = 15.6, 13.1, 9.5 Hz, 1H), 2.58–2.47 (m, 1H), 2.37 (dq, J = 13.4, 7.5, 6.6 Hz, 1H), 2.08 (ddt, J = 41.5, 13.0, 6.9 Hz, 1H), 1.32–1.08 (m, 6H); 13C NMR (100 MHz, CDCl3) δ = 173.9, 166.7, 152.8 (2C), 148.8, 147.9, 137.5, 134.6, 133.2, 132.5, 129.7 (2C), 128.4, 127.5, 124.7, 122.5, 110.3, 108.7, 108.4, 108.3, 101.8, 68.9, 62.9, 60.8, 56.4 (2C), 50.3, 43.6, 42.0, 39.7, 37.1, 24.8, 22.9, 22.8; IR νmax (KBr): 3448, 2931, 1778, 1585, 1535, 1388, 1234, 1126, 933, 725 cm−1; HRMS (ESITOF) m/z calcd. for C34H38N2O9S, [M + H]+ 651.2371, found 651.2374.
N′-((((1S,4R)-7,7-Dimethyl-2-oxobicyclo[2.2.1]heptan-1-yl)methyl)sulfonyl)-N-((5S,5aS,8aR,9R)-8-oxo-9-(3,4,5-trimethoxyphenyl)-5,5a,6,8,8a,9-hexahydrofuro[3′,4′:6,7]naphtho[2,3-d][1,3]dioxol-5-yl)-2-phenylacetimidamide (4v), white solid, 50 mg; yield: 67%; m.p.: 143–145 °C, [α]D25 = −40.7 (c 1.00, CH2Cl2); 1H NMR (400 MHz, CDCl3) δ = 7.38–7.32 (m, 2H), 7.29 (d, J = 6.9 Hz, 3H), 6.58 (s, 1H), 6.42 (d, J = 3.3 Hz, 1H), 6.22 (s, 2H), 5.95 (d, J = 3.6 Hz, 2H), 5.46 (m, 1H), 5.26 (dd, J = 7.3, 4.9 Hz, 1H), 4.51–4.43 (m, 2H), 4.37–4.29 (m, 2H), 3.81 (m, 1H), 3.77 (s, 3H), 3.73 (s, 6H), 3.70 (m, 1H), 3.06–2.88 (m, 2H), 2.76–2.61 (m, 1H), 2.58–2.45 (m, 1H), 2.43–2.32 (m, 1H), 2.18–2.01 (m, 2H), 1.91 (dd, J = 18.5, 3.1 Hz, 1H), 1.76 (m, 1H), 1.50–1.39 (m, 1H), 1.14 (d, J = 2.6 Hz, 3H), 0.90 (d, J = 2.6 Hz, 3H); 13C NMR (100 MHz, CDCl3) δ = 215.7, 174.0, 166.9, 152.7 (2C), 148.7, 147.8, 137.4, 134.5, 133.1, 132.5, 129.8 (2C), 129.7, 129.6, 128.4, 127.6, 110.2, 108.8, 108.3 (2C), 101.8, 69.1, 60.8, 58.5, 56.3 (2C), 51.6, 50.3, 48.3, 43.7, 42.9, 42.7, 42.0, 39.6, 37.0, 27.1, 24.7, 20.0, 19.9; IR νmax (KBr): 3441, 2962, 1778, 1743, 1585, 1419, 1234, 1126, 933, 725 cm−1; HRMS (ESITOF) m/z calcd. for C40H44N2O10S, [M + H]+ 745.2789, found 745.2791.
N-((5R,5aS,8aR,9R)-9-(4-Hydroxy-3,5-dimethoxyphenyl)-8-oxo-5,5a,6,8,8a,9-hexahydrofuro[3′,4′:6,7]naphtho[2,3-d][1,3]dioxol-5-yl)-2-phenyl-N′-tosylacetimidamide (5a), white solid, 58 mg; yield: 87%; m.p.: 231–233 °C, [α]D25 = −84.2 (c 1.00, CH2Cl2); 1H NMR (400 MHz, CDCl3) δ = 7.76 (d, J = 7.9 Hz, 2H), 7.33–7.24 (m, 5H), 7.24–7.16 (m, 2H), 6.51 (s, 1H), 6.35 (s, 1H), 6.17 (s, 2H), 5.90 (d, J = 10.7 Hz, 2H), 5.79 (d, J = 7.1 Hz, 1H), 5.48 (s, 1H), 5.21 (dd, J = 7.0, 4.7 Hz, 1H), 4.40–4.31 (m, 2H), 4.18 (d, J = 16.5 Hz, 1H), 4.05 (t, J = 8.3 Hz, 1H), 3.69 (s, 6H), 3.59 (t, J = 10.0 Hz, 1H), 2.78 (dddd, J = 15.2, 11.5, 7.5, 4.9 Hz, 1H), 2.55 (dd, J = 14.4, 5.0 Hz, 1H), 2.41 (s, 3H); 13C NMR (100 MHz, CDCl3) δ = 174.1, 166.5, 148.6, 147.6, 146.5 (2C), 143.0, 139.9, 134.2, 133.3, 132.7, 130.1, 129.5 (4C), 129.4 (2C), 128.2, 127.3, 126.4 (2C), 110.1, 108.7, 107.9 (2C), 101.7, 68.9, 56.5 (2C), 50.5, 43.4, 41.9, 39.2, 36.7, 21.6; IR νmax (KBr): 3502, 3394, 2931, 1778, 1519, 1330, 1230, 1145, 933, 694 cm−1; HRMS (ESITOF) m/z calcd for C36H34N2O9S, [M + H]+ 671.2058, found 671.2057.
N′-((4-Chlorophenyl)sulfonyl)-N-((5R,5aS,8aR,9R)-9-(4-hydroxy-3,5-dimethoxyphenyl)-8-oxo-5,5a,6,8,8a,9-hexahydrofuro[3′,4′:6,7]naphtho[2,3-d][1,3]dioxol-5-yl)-2-phenylacetimidamide (5b), white solid, 54 mg; yield: 78%; m.p.: 221–223 °C, [α]D25 = −87.2 (c 1.00, CH2Cl2); 1H NMR (400 MHz, (CD3)2CO) δ = 8.03–7.90 (m, 1H), 7.89 (dd, J = 8.5, 1.0 Hz, 2H), 7.58–7.51 (m, 2H), 7.41 (d, J = 7.4 Hz, 2H), 7.34–7.26 (m, 2H), 7.29–7.20 (m, 1H), 7.10 (d, J = 1.0 Hz, 1H), 6.70 (s, 1H), 6.48 (s, 1H), 6.32 (s, 2H), 5.99–5.92 (m, 2H), 5.43 (dd, J = 7.6, 3.2 Hz, 1H), 4.49 (d, J = 14.9 Hz, 2H), 4.22 (d, J = 14.8 Hz, 1H), 4.15–4.07 (m, 1H), 3.73 (td, J = 8.6, 4.0 Hz, 1H), 3.65 (d, J = 1.0 Hz, 6H), 3.05 (d, J = 5.3 Hz, 2H); 13C NMR (100 MHz, (CD3)2CO) δ = 174.6, 167.4, 149.1, 148.1, 147.9 (2C), 143.9, 138.0, 136.1, 136.0, 134.10, 131.12, 130.0 (2C), 129.7 (2C), 129.5 (2C), 129.2, 128.9 (2C), 127.9, 110.6, 110.0, 109.6 (2C), 102.5, 69.3, 56.6 (2C), 51.3, 44.3, 42.2, 39.5, 37.8; IR νmax (KBr): 3510, 3321, 2900, 1766, 1535, 1296, 1226, 933, 798, 759 cm−1; HRMS (ESITOF) m/z calcd. for C35H31ClN2O9S, [M + H]+ 691.1512, found 691.1509.
N-((5R,5aS,8aR,9R)-9-(4-Hydroxy-3,5-dimethoxyphenyl)-8-oxo-5,5a,6,8,8a,9-hexahydrofuro[3′,4′:6,7]naphtho[2,3-d][1,3]dioxol-5-yl)-2-phenyl-N′-((4-(trifluoromethyl)phenyl)sulfonyl)acetimidamide (5c), white solid, 60 mg; yield: 82%; m.p.: 169–171 °C, [α]D25 = −77.9 (c 1.00, CH2Cl2); 1H NMR (400 MHz, (CD3)2CO) δ = 8.10 (d, J = 8.2 Hz, 2H), 8.07 (s, 1H), 7.86 (d, J = 8.2 Hz, 2H), 7.40 (d, J = 7.1 Hz, 2H), 7.33–7.19 (m, 3H), 7.12 (s, 1H), 6.72 (s, 1H), 6.48 (s, 1H), 6.33 (s, 2H), 5.99–5.93 (m, 2H), 5.47 (dd, J = 7.6, 3.2 Hz, 1H), 4.57–4.44 (m, 2H), 4.24 (d, J = 14.8 Hz, 1H), 4.18–4.06 (m, 1H), 3.76 (td, J = 8.7, 3.9 Hz, 1H), 3.65 (s, 6H), 3.07 (q, J = 4.7, 3.5 Hz, 2H); 13C NMR (100 MHz, (CD3)2CO) δ = 174.6, 167.8, 149.1, 148.6, 148.1, 147.9 (2C), 136.0, 135.9, 134.1, 133.4 (q, J = 32.5 Hz, 1C), 131.1, 130.0 (2C), 129.5 (2C), 129.1, 128.0, 127.9 (2C), 126.76 (q, J = 3.8 Hz, 2C), 124.7 (d, J = 271.9 Hz, 1C), 110.6, 110.0, 109.6 (2C), 102.5, 69.2, 56.6 (2C), 51.4, 44.3, 42.2, 39.6, 37.8; IR νmax (KBr): 3541, 3305, 2939, 1766, 1539, 1400, 1327, 1141, 937, 721 cm−1; HRMS (ESITOF) m/z calcd. for C36H31F3N2O9S, [M + H]+ 725.1775, found 725.1784.
4-(-2-(((5R,5aS,8aR,9R)-9-(4-Hydroxy-3,5-dimethoxy phenyl)-8-oxo-5,5a,6,8,8a,9-hexahydrofuro[3′,4′:6,7]naphtho[2,3-d][1,3]dioxol-5-yl)amino)-2-(tosylimino)ethyl)benzoic acid (5d), white solid, 40 mg; yield: 55%; m.p.: 245–247 °C, [α]D25 = −56.0 (c 1.00, CH2Cl2); 1H NMR (400 MHz, (CD3)2CO) δ = 7.99 (d, J = 7.5 Hz, 1H), 7.93 (d, J = 7.9 Hz, 2H), 7.79 (d, J = 7.9 Hz, 2H), 7.52 (d, J = 7.9 Hz, 2H), 7.33 (d, J = 8.0 Hz, 2H), 6.76 (s, 1H), 6.48 (s, 1H), 6.33 (s, 2H), 5.97 (d, J = 4.7 Hz, 2H), 5.44 (dd, J = 7.6, 3.3 Hz, 1H), 4.63 (d, J = 15.0 Hz, 1H), 4.48 (d, J = 3.9 Hz, 1H), 4.26 (d, J = 15.0 Hz, 1H), 4.12–4.03 (m, 1H), 3.79–3.67 (m, 2H), 3.66 (s, 6H), 3.13–2.98 (m, 2H), 2.39 (s, 3H); 13C NMR (100 MHz, (CD3)2CO) δ = 174.7, 167.5, 166.2, 149.1, 148.1, 147.9 (2C), 143.1, 142.2, 141.5, 136.1, 134.1, 131.2, 130.7 (2C), 130.3, 130.1 (2C), 130.0 (2C), 129.4, 127.2 (2C), 110.6, 110.0, 109.6 (2C), 102.5, 69.3, 56.6 (2C), 51.2, 44.4, 42.2, 39.4, 37.9, 21.4; IR νmax (KBr): 3541, 3437, 2900, 1766, 1697, 1539, 1427, 1226, 929, 690 cm−1; HRMS (ESITOF) m/z calcd. for C37H34N2O11S, [M + H]+ 715.1956, found 715.1955.
2-(4-(Dimethylamino)phenyl)-N-((5R,5aS,8aR,9R)-9-(4-hydroxy-3,5-dimethoxyphenyl)-8-oxo-5,5a,6,8,8a,9-hexahydrofuro[3′,4′:6,7]naphtho[2,3-d][1,3]dioxol-5-yl)-N′-tosylacetimidamide (5e), white solid, 48 mg; yield: 67%; m.p.: 244–146 °C, [α]D25 = −74.2 (c 1.00, CH2Cl2); 1H NMR (400 MHz, CDCl3) δ = 7.84 (d, J = 7.8 Hz, 2H), 7.36–7.23 (m, 2H), 7.00 (d, J = 8.1 Hz, 2H), 6.69–6.52 (m, 3H), 6.40 (s, 1H), 6.19 (s, 2H), 5.94 (d, J = 6.2 Hz, 2H), 5.57–5.37 (m, 2H), 5.24 (d, J = 6.0 Hz, 1H), 4.48–4.37 (m, 1H), 4.20 (s, 2H), 4.11 (t, J = 8.7 Hz, 1H), 3.73 (s, 6H), 3.61 (t, J = 10.3 Hz, 1H), 2.93 (s, 6H), 2.78 (d, J = 13.3 Hz, 1H), 2.45 (m, 1H), 2.42 (s, 3H); 13C NMR (100 MHz, CDCl3) δ = 174.0, 167.9, 150.3, 148.7, 147.7, 146.6 (2C), 143.0, 140.1, 134.3, 132.7, 130.6 (2C), 130.0, 129.6 (2C), 127.5, 126.6 (2C), 119.2, 113.2 (2C), 110.2, 108.8, 107.9 (2C), 101.7, 69.1, 56.6 (2C), 50.3, 43.5, 42.0, 40.4 (2C), 38.6, 36.8, 21.6; IR νmax (KBr): 3541, 3321, 2897, 1766, 1523, 1481, 1280, 1226, 937, 682 cm−1; HRMS (ESITOF) m/z calcd. for C38H39N3O9S, [M + H]+ 714.2480, found 714.2471.
N-((5R,5aS,8aR,9R)-9-(4-hydroxy-3,5-dimethoxyphenyl)-8-oxo-5,5a,6,8,8a,9-hexahydrofuro[3′,4′:6,7]naphtho[2,3-d][1,3]dioxol-5-yl)-2-(3-hydroxyphenyl)-N′-tosylacetimidamide (5f), white solid, 47 mg; yield: 68%; m.p.: 175–177 °C, [α]D25 = −76.6 (c 1.00, CH2Cl2); 1H NMR (400 MHz, (CD3)2CO) δ = 8.45 (s, 1H), 7.80 (d, J = 8.0 Hz, 2H), 7.70 (d, J = 7.5 Hz, 1H), 7.33 (d, J = 8.0 Hz, 2H), 7.15–7.05 (m, 2H), 6.91 (d, J = 2.4 Hz, 1H), 6.87–6.82 (m, 1H), 6.72 (dd, J = 8.1, 2.5 Hz, 1H), 6.67 (s, 1H), 6.45 (s, 1H), 6.32 (s, 2H), 5.94 (d, J = 1.0 Hz, 2H), 5.40 (dd, J = 7.6, 3.3 Hz, 1H), 4.46–4.38 (m, 2H), 4.12 (d, J = 14.9 Hz, 1H), 4.09–4.02 (m, 1H), 3.71 (dtd, J = 9.5, 5.5, 4.4, 1.7 Hz, 1H), 3.64 (d, J = 1.0 Hz, 6H), 3.03 (m, 2H), 2.38 (s, 3H); 13C NMR (100 MHz, (CD3)2CO) δ = 174.7, 167.2, 158.5, 149.0, 148.0, 147.9 (2C), 143.0, 142.3, 137.5, 135.9, 134.0, 131.2, 130.4, 130.1 (2C), 129.3, 127.1 (2C), 121.0, 117.1, 114.9, 110.5, 109.9, 109.5 (2C), 102.4, 69.4, 56.6 (2C), 51.0, 44.3, 42.2, 39.2, 37.8, 21.4; IR νmax (KBr): 3616, 3433, 2943, 1774, 1519, 1388, 1280, 1230, 933, 690 cm−1; HRMS (ESITOF) m/z calcd. for C36H34N2O10S, [M + H]+ 687.2007, found 687.2003.
2.3. Biological Assay
The A-549 cells and MRC-5 cells were obtained from the American Type Culture Collection and cultured in an environment of 5% CO2 at 37 °C in RPMI-1640 medium supplemented with 10% fetal bovine serum (FBS). Lung (A-549) human cancer cells were seeded in 96-well plates at a density of 3000 cells/well in normoxia for 12 h. Then, measures of 100 μL drug-containing medium, with a series of concentrations, were dispensed into the wells to attain the final concentration as 100, 80, 20, 10, 5, and 2 μM. After 48 h incubated under normoxia or hypoxia, 20 μL MTT solution (Beyotime Biotechnology, Nantong, China, 5 mg/mL MTT dissolved in PBS) was added. Then, following incubation for another 4 h, the medium was discarded, followed by the addition of 200 μL DMSO. The absorbance was measured at 570 nm with a microplate reader. Experiments were conducted in triplicate. The IC50 values are the average of at least three independent experiments.
2.4. Molecular Docking
The crystal structure of topoisomerase-II (PDB ID:4G0U) was downloaded from the PDB database. In the calculation process, the preliminary processing of the target (protein structure modification, deletion of invalid residues and original ligand) was completed by DS2019. CDOCKER software was used for docking, and the receptor was set as rigid, while the compound was set as flexible. Glu461, Gly462, Asp463, Arg487, and Gly488 were selected as docking sites for docking. Visualization and interaction force analysis were performed using pymol2.3 and ligplot2.2.
2.5. Molecular Dynamics
GROMACS 2019.4 ran on a high-performance Linux cluster to determine the behavior of the PSAH with topoisomerase-II within 100 ns. We used the Bio2byte Web server (https://www.bio2byte.be/ accessed on 12 July 2021) to generate topology files for the PSAH. From the docking study, the complex with the most drug-forming activity and the best docking status was selected as the input file of MD simulation. The force field uses amber99sb-ildn.ff. The complex of the TIP3P water model was surrounded by the dodecahedral-shaped water tank. In order to neutralize the net charge of the system, Na and Cl counter ions were replaced by water molecules. The steepest descent algorithm with a tolerance of 1000 kJ/mol/nm was used to minimize the energy of the system. The cutoff value of van der Waals was 12 Å, and periodic boundary conditions were specified in all directions. After convergence, the NVT ensemble MD simulation was within 100 ps, and then the system passed through NPT within 100 ps under periodic boundary conditions. Berendsen constant pressure and a thermostat were used to maintain the temperature and pressure at 300 K and 1 bar for coupling times of τ T = 0.1 ps and τ p = 2 ps. The particle grid Ewald (PME) method was used to calculate the long-range electrostatic interaction. The LINCS algorithm was used to limit the key length. For PSAH, the MD simulation run of 100 ns was repeated twice at a constant temperature and pressure, and the average value of the results was reported.
3. Results and Discussion
3.1. Chemistry
The key reaction in the synthesis of this class of compounds was the copper-catalyzed sulfonyl azide–alkyne cycloaddition/ring cleavage (CuAAC/ring-opening reaction) [44], which has been applied to synthesize numerous oxygen-containing and nitrogen-containing heterocyclic compounds [45]. As show in Scheme 2, podophyllotoxins 1a and 1b were easily prepared by the substrate podophyllotoxin nucleophilic substitution and reduction with NaN3. Initially, podophyllotoxin (1a or 1b) was dissolved in MeCN; then, corresponding terminal alkynes (2a–2m, see Supplemetary Materials Scheme S2) and sulfonyl azides (3a–3j, see Supplemetary Materials Scheme S3) were added with stirring. The reaction mixture was stirred for about 12 h to afford podophyllotoxin-N-sulfonyl amidine hybrids (4a–4v and 5a–5f) in good–excellent yields (Table 1). This reaction appears quite flexible and offers an easy capacity to generate a large scale PSAH with mild condition, operability, and highly atom economical. The chemical structures of all synthesized compounds were determined by 1H NMR, 13C NMR, IR, and HRMS.
Scheme 2.
Synthesis of target compounds 4a–4v and 5a–5f.
Table 1.
The in vitro anti-proliferative activities (IC50, μM) a of compounds 4a–4v and 5a–5f.
3.2. Interpretation of Spectral Data
For compound 4a (Figure 3), the 1H NMR chemical shifts of the characteristic functional groups are as follows: δ (C8-CH2) = 5.95 (d, J = 3.0 Hz, 2H); δ (C7′,C9′-OCH3) = 3.71 (s, 6H); δ (C8′-OCH3) = 3.77 (s, 3H); δ (C24-CH3 of Ts group) = 2.43 (s, 3H). The 13C NMR chemical shifts of the characteristic functional groups are as follows: δ (C13: C=O) = 173.9; δ (C14: C=N) = 166.5; δ (C3′+C5′: Aryl (C)-O) = 152.8 (2C); δ (C8: O-CH2-O) = 101.9; δ (C12: -CH2-O) = 69.0; δ (C8′: -O-CH3) = 60.9; δ (C7′+C9′: -O-CH3) = 56.4 (2C); δ (C24: CH3 of Ts group) = 21.7 (C24). The detailed explanation of spectral data for 4a is as follows: 1H NMR (400 MHz, CDCl3) δ = 7.82 (dd, J = 15.7, 7.9 Hz, 2H, C21, C21′-H), 7.33 (dd, J = 11.9, 7.4 Hz, 5H, C22, C22′, C18, C18′, C19-H), 7.21 (d, J = 7.2 Hz, 2H, C17, C17′-H), 6.52 (s, 1H, C6-H), 6.41 (s, 1H, C10-H), 6.17 (s, 2H, C2′, C6′-H), 5.95 (d, J = 3.0 Hz, 2H, C8-H), 5.27 (d, J = 6.9 Hz, 1H, C4-H), 5.19 (t, J = 5.7 Hz, 1H, C1-H), 4.42 (d, J = 5.1 Hz, 1H, C12-H), 4.41–4.27 (m, 2H, C15-H), 4.10 (t, J = 8.3 Hz, 1H, C12-H), 3.77 (s, 3H, C8′-H), 3.71 (s, 6H, C7′,C9′-H), 3.61 (t, J = 10.0 Hz, 1H, N-H), 2.86–2.68 (m, 1H, C2-H), 2.45 (m, 1H, C3-H), 2.43 (s, 3H, C24-H); 13C NMR (100 MHz, CDCl3) δ = 173.9 (C13), 166.5 (C14), 152.8 (2C, C3′+C5′), 148.8 (C7), 147.9 (C9), 143.2 (C23), 140.0 (C20), 137.5 (C4′), 134.5 (C16), 133.0 (C1′), 132.6 (C11), 129.9 (C5), 129.8 (2C, C22+C22′), 129.7 (2C, C18+C18′), 128.6 (C21), 127.3 (C21′), 126.6 (2C, C17+C17′), 126.5 (C19), 110.3 (C10), 108.7 (C6), 108.4 (2C, C2′+C6′), 101.9 (C8), 69.0 (C12), 60.9 (C8′), 56.4 (2C, C7′+C9′), 50.6 (C4), 43.7 (C2), 42.0 (C1), 39.5 (C3), 36.9 (C15), 21.7 (C24). The compound 4e, especially, contains two isomers. The reason for the formation is that the hydrogen atom of the hydroxyl group forms a hydrogen bond with the oxygen atom of the lactone ring carbonyl group, which are close to each other in space, resulting in rotational isomerism.
Figure 3.
1HNMR spectra of 4a.
3.3. Biological Study
All the newly synthesized PSAH derivatives were evaluated for their in vitro inhibitory activity toward A-549 cells using a MTT assay. The results expressed as half-maximal inhibitory concentration (IC50) values are presented in Table 1. The IC50 values are the average of at least three independent experiments. Agreeably, as shown in Table 1, most PSAH, whether they have an electron-donating or electron-withdrawing nature, have shown moderate–good anticancer activity in this investigation. When containing the -Me (4b), -OMe (4d), -Cl (4f, 4g), -Br (4h, 4q), -CO2H (4j, 5d), 1-Indole (4m), or 5-hydrindenyl (4o) functional groups, the PSAH product exhibited slight significant anticancer activity with high IC50 values exceeded 100 μM, while the -Me2N (4c, 5e), -OH (4e), 2-thienyl (4l), or aliphatic group and the substituted R2 (4s–4u) group gave positive apoptotic activity with IC50 values ranging from 12.7 to 92.0 μM. The compounds with the -CF3 (4r, 5c) or 10-camphor (4v) group have shown the most promising apoptotic activity among the other substituents (for 4r, 5.21 μM, 4v, 2.44 μM, and 5c, 1.65 μM), which exhibited more potent activity than standard drug etoposide (12 ± 0.12 μM against A-549 [46]). Relative to other functional groups, the strong electron-sucking effect of the -CF3 group may have increased the attraction between the protein and the PSAH [47]. On the whole, modifying R1 or R3 is more effective than R2. Besides, we tested the healthy cell line (MRC-5 cells) of the most active compounds—5c, 4v, and 4r—and found that all the IC50 values exceeded 80 μM, which shows their low toxicity to MRC-5 cells.
3.4. Molecular Docking
In order to check the affinity of topoisomerase-II and PSAH 5c, docking results are shown in Figure 1, where the docking score of both is −8.9 kcal/mol. From Figure 4A, we are able to see the binding mode and conformation of 5c at the target. The green residue (ASN-509) has hydrogen bond interaction with 5c. The detailed interaction force can be seen from Figure 4B. Asn-509 has hydrogen bond interaction with ligand with bond lengths of 3.23 and 2.87. Pro-439, ARG-487, PHE484, ASP463, and LYS-440 formed hydrophobic interactions. The positive control compound Etoposide (−8.3 kcal/mol), which forms hydrogen bond interactions with residue His-759, and forms hydrophobic interactions with Gln-461, Ser-464, and Ala-465. After comparison, it can be found that the binding effect of the selected compound 5c is better than that of the positive compound.
Figure 4.
Molecular docking of topoisomerase-II with PSAH 5c. (A) 3D action diagram. The turquoise stick represents 5c. (B) 2D action diagram. (C) 3D action diagram of Etoposide. The blue stick represents podophyllotoxin. (D) 2D action diagram of Etoposide.
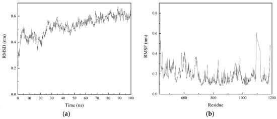
3.5. Molecular Dynamics
In order to test the stability of topoisomerase-II binding with PSAH 5c, a 100 ns molecular dynamics simulation was carried out, and its output was analyzed as follows. This simulation result is supplemented in the following material (Figure 4). In the 100 ns simulation, the complex converged to an equilibrium state at 27 ns and was able to remain stable until the end of the simulation. The RMSD value was 0.6 nm. The root mean square fluctuation (RMSF) of each residual basis in Figure 5 was analyzed in detail to determine residual fluctuation and flexibility during the whole simulation. The overall root mean square density of the compound was very low, between 0.1 nm and 0.6 nm. Finally, from RMSD and RMSF, the system is stable. N-sulfonyl amidine groups did not affect the molecular docking and stability, but enhanced the antiproliferative activity.
Figure 5.
Molecular dynamics of topoisomerase-II with PSAH 5c. (a) RMSD diagram of topoisomerase-II and (b) RMSF diagram of topoisomerase-II with 5c.
4. Conclusions
All the new podophyllotoxin-N-sulfonyl amidine hybrids (PSAH) were synthesized and evaluated for their antiproliferative activity against human lung (A-549) cancer cell lines. The experimental results indicated that most of the synthesized compounds showed moderate–potent antiproliferative activity, and compound 5c exhibited excellent antiproliferative activity against human lung (A-549) cancer cell lines of 1.65 μM. Molecular docking and molecular dynamics analyses revealed that the promising antibacterial efficacy of PSAH can be attributed to the substitution of chlorine on the benzene and the modification of the coumarin core. The combination effect of topoisomerase-II and 5c is tight. PSAH is closely associated with topoisomerase-II in a stable system. The results of the present work showed that podophyllotoxin-N-sulfonyl amidine hybrids have potential to be antineoplastic drugs and are worthy of further study.
Supplementary Materials
The following supporting information can be downloaded online, Scheme S1: Structures of the starting materials 1a, 1b, Scheme S2: Structures of the starting materials 2a–2m, Scheme S3: Structures of the starting materials 3a–3j, Figure S1–S56: 1H NMR and 13C NMR spectra of podophyllotoxin-N-sulfonyl amidine hybrids 4a–4v and 5a–5f.
Author Contributions
Conceptualization, methodology, and supervision H.L., L.L. and W.Y.; experiment, Z.Y., Z.Z., X.L. (Xiai Luo), and X.L. (Xiaoling Luo); spectroscopic characterization, Z.Y. and Z.Z.; writing—review and editing, H.L., L.L. and W.Y. All authors have read and agreed to the published version of the manuscript.
Funding
This research was funded by Applied Basic Research Fund Project of Guangdong Province of China (2019A1515110918); Science and Technology Planning Program of Zhanjiang (2021A05247); Medical Scientific Research Foundation of Guangdong Province (A2021037 and A2020202); Funds for Postdoc Researchers of Guangdong Medical University in 2021 (4SG21281G); the Science and Technology Planning Program of Zhanjiang (2021A05247); and Science and Technology Program of Guangdong Province (2019B090905011).
Institutional Review Board Statement
Not applicable.
Informed Consent Statement
Not applicable.
Data Availability Statement
The data is contained within the article.
Conflicts of Interest
The authors declare no conflict of interest.
Sample Availability
Samples of the compounds 4a–5f are available from the authors.
References
- Zhao, W.; Cong, Y.; Li, H.-M.; Li, S.; Shen, Y.; Qi, Q.; Zhang, Y.; Li, Y.-Z.; Tang, Y.-J. Challenges and potential for improving the druggability of podophyllotoxin-derived drugs in cancer chemotherapy. Nat. Prod. Rep. 2021, 38, 470–488. [Google Scholar] [CrossRef]
- Shah, Z.; Gohar, U.F.; Jamshed, I.; Mushtaq, A.; Mukhtar, H.; Zia-UI-Haq, M.; Toma, S.I.; Manea, R.; Moga, M.; Popovici, B. Podophyllotoxin: History, recent advances and future prospects. Biomolecules 2021, 11, 603. [Google Scholar] [CrossRef]
- Yu, X.; Che, Z.; Xu, H. Recent advances in the chemistry and biology of podophyllotoxins. Chem. Eur. J. 2017, 23, 4467–4526. [Google Scholar] [CrossRef]
- Xiao, J.; Gao, M.; Sun, Z.; Diao, Q.; Wang, P.; Gao, F. Recent advances of podophyllotoxin/epipodophyllotoxin hybrids in anticancer activity, mode of action, and structure-activity relationship: An update (2010–2020). Eur. J. Med. Chem. 2020, 15, 112830. [Google Scholar] [CrossRef]
- Zhang, X.; Rakesh, K.P.; Shantharam, C.S.; Manukumar, H.M.; Asiri, A.M.; Marwani, H.M.; Qin, H.-L. Podophyllotoxin derivatives as an excellent anticancer aspirant for future chemotherapy: A key current imminent needs. Bioorg. Med. Chem. 2018, 26, 340–355. [Google Scholar] [CrossRef]
- Wu, C.-C.; Li, T.-K.; Farh, L.; Lin, L.-Y.; Lin, T.-S.; Yu, Y.-J.; Yen, T.-J.; Chiang, C.-W.; Chan, N.-L. Structural basis of type II topoisomerase inhibition by the anticancer drug etoposide. Science 2011, 6041, 459–462. [Google Scholar] [CrossRef] [Green Version]
- Yan, J.; Sun, J.; Zeng, Z. Teniposide ameliorates bone cancer nociception in rats via the P2X7 receptor. Inflammopharmacology 2018, 26, 395–402. [Google Scholar] [CrossRef]
- Huang, T.-S.; Lee, C.-C.; Chao, Y.; Shu, C.-H.; Chen, L.-T.; Chen, L.-L.; Chen, M.-H.; Yuan, C.-C.; Whang-Peng, J. A novel podophyllotoxin-derived compound GL331 is more potent than its congener VP-16 in killing refractory cancer cells. Pharm. Res. 1999, 16, 997–1002. [Google Scholar] [CrossRef]
- Lee, C.-C.; Huang, T.-S. A novel topoisomerase GL331 preferentially induces DNA cleavage at (C/G)T sites and can cause telomere DNA damage. Pharm. Res. 2001, 18, 846–851. [Google Scholar] [CrossRef]
- Wang, Z.-Q.; Hu, H.; Chen, H.-X.; Cheng, Y.-C.; Lee, K.H. Antitumor agents. 124. new 4. β-substituted aniline derivatives of 6,7-O,O-demethylene-4′-O-demethylpodophyllotoxin and related compounds as potent inhibitors of human DNA topoisomerase II. J. Med. Chem. 1992, 35, 871–877. [Google Scholar] [CrossRef]
- Bérubé, G. An overview of molecular hybrids in drug discovery. Expet Opin. Drug Discov. 2016, 11, 281–305. [Google Scholar] [CrossRef]
- Sahil Mishra, S.; Singh, P. Hybrids molecules: The privileged scaffolds for various pharmaceuticals. Eur. J. Med. Chem. 2016, 124, 500–536. [Google Scholar]
- Kerru, N.; Singh, P.; Koorbanally, N.; Raj, R.; Kumar, V. Recent advances (2015–2016) in anticancer hybrids. Eur. J. Med. Chem. 2017, 142, 179–212. [Google Scholar] [CrossRef]
- Bromberg, L. Polyether-modified poly(acrylic acid): Synthesis and applications. Ind. Eng. Chem. Res. 1998, 37, 4267–4274. [Google Scholar] [CrossRef]
- Mehndiratta, S.; Sharma, S.; Kumar, S.; Nepai, K. Molecular hybrids with anticancer activity. Top. Anti-Cancer Res. 2015, 4, 383–454. [Google Scholar]
- Meunier, B. Hybrid molecules with a dual mode of action: Dream or reality? Acc. Chem. Res. 2008, 41, 69–77. [Google Scholar] [CrossRef]
- Wen, J.; Liu, F.; Tao, B.; Sun, S. GSH-responsive anti-mitotic cell penetrating peptide-linked podophyllotoxin conjugate for improving water solubility and targeted synergistic drug delivery. Bioorg. Med. Chem. Lett. 2019, 29, 1019–1022. [Google Scholar] [CrossRef]
- Dai, Y.-F.; Zhou, W.-W.; Meng, J.; Du, X.-L.; Sui, Y.-P.; Dai, L.; Wang, P.-Q.; Huo, H.-R.; Sui, F. The pharmacological activities and mechanisms of artemisinin and its derivatives: A systematic review. Med. Chem. Res. 2017, 26, 867–880. [Google Scholar] [CrossRef]
- Hou, W.; Zhang, G.; Luo, Z.; Su, L.; Xu, H. Click chemistry-based synthesis and cytotoxic activity evaluation of 4α-triazole acetate podophyllotoxin derivatives. Chem. Biol. Drug Des. 2019, 93, 473–483. [Google Scholar] [CrossRef]
- Maiti, S.; Paira, P. Biotin conjugated organic molecules and proteins for cancer therapy: A review. Eur. J. Med. Chem. 2018, 145, 206–223. [Google Scholar] [CrossRef]
- Hui, L.; Sang, C.; Wang, D.; Wang, X.; Wang, M.; Jia, Q.; Ma, M.; Chen, S. Newly synthesized podophyllotoxin derivative, LJ12, induces apoptosis and mitotic catastrophe in non-small cell lung cancer cells in vitro. Mol. Med. Rep. 2016, 13, 339–346. [Google Scholar] [CrossRef] [Green Version]
- Mahapatra, D.K.; Bharti, S.K.; Asati, V. Anti-cancer chalcones: Structural and molecular target perspectives. Eur. J. Med. Chem. 2015, 98, 69–114. [Google Scholar] [CrossRef]
- Yin, Y.; Lian, B.-P.; Xia, Y.-Z.; Shao, Y.-Y.; Kong, L.-Y. Design, synthesis and biological evaluation of resveratrol-cinnamoyl derivates as tubulin polymerization inhibitors targeting the colchicine binding site. Bioorg. Chem. 2019, 93, 103319. [Google Scholar] [CrossRef]
- Yang, C.; Xie, Q.; Zeng, X.; Tao, N.; Xu, Y.; Chen, Y.; Wang, J.; Zhang, L. Novel hybrids of podophyllotoxin and formononetin inhibit the growth, migration and invasion of lung cancer cells. Bioorg. Chem. 2019, 85, 445–454. [Google Scholar] [CrossRef]
- Wang, R.; Chen, H.; Yan, W.; Zheng, M.; Zhang, T.; Zhang, Y. Ferrocene-containing hybrids as potential anticancer agents: Current developments, mechanisms of action and structure-activity relationships. Eur. J. Med. Chem. 2020, 190, 112109. [Google Scholar] [CrossRef]
- Paidakula, S.; Nerella, S.; Vadde, R.; Kamal, A.; Kankala, S. Design and synthesis of 4β-acetamidobenzofuranone-podophyllotoxin hybrids and their anti-cancer evaluation. Bioorg. Med. Chem. Lett. 2019, 29, 2153–2156. [Google Scholar] [CrossRef]
- Liu, W.; Liang, Y.; Si, X. Hydroxamic acid hybrids as the potential anticancer agents: An overview. Eur. J. Med. Chem. 2020, 205, 112679. [Google Scholar] [CrossRef]
- Zhao, W.; He, L.; Xiang, T.-L.; Tang, Y.-J. Discover 4β-NH-(6-aminoindole)-4-desoxy-podophyllotoxin with nanomolar-potency antitumor activity by improving the tubulin binding affinity on the basis of a potential binding site nearby colchicine domain. Eur. J. Med. Chem. 2019, 170, 73–86. [Google Scholar] [CrossRef]
- Tang, Z.-B.; Chen, Y.-Z.; Zhao, J.; Guan, X.-W.; Bo, Y.-X.; Chen, S.-W.; Hui, L. Conjugates of podophyllotoxin and norcantharidin as dual inhibitors of topoisomerase II and protein phosphatase 2A. Eur. J. Med. Chem. 2016, 123, 568–576. [Google Scholar] [CrossRef]
- Taglieri, L.; Saccoliti, F.; Nicolai, A.; Peruzzi, G.; Madia, V.N.; Tudino, V.; Messore, A.; Santo, R.D.; Artico, M.; Taurone, S.; et al. Discovery of a pyrimidine compound endowed with antitumor activity. Investig. New Drugs 2020, 38, 39–49. [Google Scholar] [CrossRef]
- Zhang, L.; Wang, J.; Liu, L.; Zheng, C.; Wang, Y.; Chen, Y.; Wei, G. Podophyllotoxin-pterostilbene fused conjugates as potential multifunctional antineoplastic agents against human uveal melanoma cells. RSC Adv. 2017, 7, 10601–10608. [Google Scholar] [CrossRef] [Green Version]
- Zhang, L.; Wang, J.; Liu, L.; Zheng, C.; Wang, Y. Synthesis and antiproliferative activity of novel all-trans-retinoic acid-podophyllotoxin conjugate towards human gastric cancer cells. Molecules 2017, 22, 628. [Google Scholar] [CrossRef] [Green Version]
- Zi, C.-T.; Yang, L.; Kong, Q.-H.; Li, H.-M.; Yang, X.-Z.; Ding, Z.-T.; Jiang, Z.-H.; Hu, J.-M.; Zhou, J. Glucoside derivatives of podophyllotoxin: Synthesis, physicochemical properties, and cytotoxicity. Drug Des. Dev. Ther. 2019, 13, 3683–3692. [Google Scholar] [CrossRef] [Green Version]
- Ghosh, A.K.; Brindisi, M. Urea derivatives in modern drug discovery and medicinal chemistry. J. Med. Chem. 2020, 63, 2751–2788. [Google Scholar] [CrossRef]
- Lin, H.-Y.; Li, Z.-K.; Han, H.-W.; Qiu, H.-Y.; Gu, H.-W.; Yang, Y.-H.; Wang, X.-M. Synthesis of novel aryl dithian valeryl podophyllotoxin ester derivatives as potential antitubulin agents. RSC Adv. 2015, 5, 47511–47521. [Google Scholar] [CrossRef]
- Gobis, K.; Foks, H.; Sławiński, J.; Sikorski, A.; Trzybiński, D.; Augustynowicz-Kopeć, E.; Napiórkowska, A.; Bojanowski, K. Synthesis, structure, and biological activity of novel heterocyclic sulfonyl-carboximidamides. Monatsh. Chem. 2013, 144, 647–658. [Google Scholar] [CrossRef] [Green Version]
- Iwakawa, T.; Tamura, H.; Masuko, M.; Murabayashi, A.; Hayase, Y. Synthesis and rice-blast control activity of sulfonylamidines. J. Pesticide Sci. 1992, 17, 131–135. [Google Scholar] [CrossRef] [Green Version]
- Chang, S.-Y.; Bae, S.J.; Lee, M.Y.; Baek, S.-H.; Chang, S.; Kim, S.H. Chemical affinity matrix-based identification of prohibitin as a binding protein to anti-resorptive sulfonyl amidine compounds. Bioorg. Med. Chem. Lett. 2011, 21, 727–729. [Google Scholar] [CrossRef]
- Vitellozzi, L.; Mcallister, G.D.; Genski, T.; Taylor, R.J.K. Organometallic routes to novel steroids containing heterocyclic C-17 side-chains. Synthesis 2016, 48, 48–56. [Google Scholar]
- Suja, T.D.; Divya, K.V.L.; Naik, L.V.; Kumar, A.R.; Kamal, A. Copper-catalyzed three-component synthesis of aminonaphthoquinone sulfonylamidine conjugates and in vitro evaluation of their antiproliferative activity. Bioorg. Med. Chem. Lett. 2016, 26, 2072–2076. [Google Scholar] [CrossRef]
- Zhang, Z.-J.; Tian, J.; Wang, L.-T.; Wang, M.-J.; Nan, X.; Yang, L.; Liu, Y.-Q.; Morris-Natschke, S.L.; Lee, K.-H. Design, synthesis and cytotoxic activity of novel sulfonylurea derivatives of podophyllotoxin. Bioorg. Med. Chem. 2014, 22, 204–210. [Google Scholar] [CrossRef] [Green Version]
- Reddy, V.G.; Bonam, S.R.; Reddy, T.S.; Akunuri, R.; Naidu, V.G.M.; Nayak, V.L.; Bhargava, S.K.; Kumar, H.M.S.; Srihari, P.; Kamal, A. 4β-Amidotriazole linked podophyllotoxin congeners: DNA topoisomerase-IIα inhibition and potential anticancer agents for prostate cancer. Eur. J. Med. Chem. 2018, 144, 595–611. [Google Scholar] [CrossRef]
- Das, D.; Samanta, R. Iridium(III)-catalyzed regiocontrolled direct amidation of isoquinolones and pyridines. Adv. Synth. Catal. 2018, 360, 379–384. [Google Scholar] [CrossRef]
- Kim, S.H.; Park, S.H.; Choi, J.H.; Chang, S. Sulfonyl and phosphoryl azides: Going further the click realm of alkyl and aryl azides. Chem. Asian J. 2011, 6, 2618–2634. [Google Scholar] [CrossRef]
- Bahadorikhalili, S.; Divar, M.; Damghani, T.; Damghani, T.; Moeini, F.; Ghassamipour, S.; Iraji, A.; Miller, M.A.; Larijani, B.; Mahdavi, M. N-sulfonyl ketenimine as a versatile intermediate for the synthesis of heteroatom containing compounds. J. Organomet. Chem. 2021, 939, 121773. [Google Scholar] [CrossRef]
- Nerella, S.; Kankala, S.; Paidakula, S.; Gavaji, B. Synthesis of D-ring modified acid hydrazide derivatives of podophyllotoxin and their anticancer studies as Tubulin inhibiting agents. Bioorg. Chem. 2020, 94, 103384. [Google Scholar] [CrossRef]
- Abula, A.; Xu, Z.; Zhu, Z.; Peng, C.; Chen, Z.; Zhu, W.; Aisa, H.A. Substitution effect of the trifluoromethyl group on the bioactivity in medicinal chemistry: Statistical analysis and energy calculations. J. Chem. Inf. Model. 2020, 60, 6242–6250. [Google Scholar] [CrossRef]
Publisher’s Note: MDPI stays neutral with regard to jurisdictional claims in published maps and institutional affiliations. |
© 2021 by the authors. Licensee MDPI, Basel, Switzerland. This article is an open access article distributed under the terms and conditions of the Creative Commons Attribution (CC BY) license (https://creativecommons.org/licenses/by/4.0/).






