Impact of Partitioning in Short-Term Food Contact Applications Focused on Polymers in Support of Migration Modelling and Exposure Risk Assessment
Abstract
:1. Introduction
2. Results
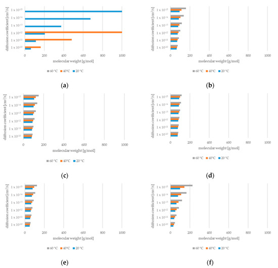
2.1. Generic Diffusion Coefficient Approach
- The migration rate of a substance in a polymer itself mainly depends on the diffusion rates of the migrant in the material. The diffusion rates depend on the material type (mainly mobility of the polymer at molecular level), migrant (mainly size of the migrant), and temperature (random movement induced by temperature). The diffusion rate is therefore represented by a diffusion coefficient. The diffusion coefficient can be considered to be a “material” constant for the combination of the polymer, substance, and temperature.
- The migrating fraction is related to the initial amount of a substance from a polymer to a contact medium and mainly depends on the partition coefficient of the migrant between the polymer and contact medium, e.g., food, simulating solvent, cosmetic or pharmaceutical formulation, drinking water, etc. The partitioning might be also temperature dependent. The partition coefficient is the constant for a polymer, substance, contact medium, and temperature.
- The migrating amount of the substance depends in addition on its initial concentration cP,0 in the polymer and the thickness of the material, i.e., the absolute amount in the system.
2.2. Material, Temperature and Migrant Specific Approach
3. Discussion
3.1. Impact of Repeated-Use Scenarios
3.2. Impact of Swelling
4. Materials and Methods
4.1. Migration Model
4.2. Numerical Methods
4.3. Estimation of Diffusion Coefficients
5. Conclusions
Supplementary Materials
Author Contributions
Funding
Institutional Review Board Statement
Informed Consent Statement
Data Availability Statement
Acknowledgments
Conflicts of Interest
Sample Availability
References
- Baner, A.L.; Brandsch, J.; Franz, R.; Piringer, O.G. The application of a predictive migration model for evaluation the compliance of plastic materials with European food regulations. Food Addit. Contam. 1996, 13, 587–601. [Google Scholar] [CrossRef]
- Limm, W.; Hollifield, H.C. Modelling of additive diffusion in polyolefins. Food Addit. Contam. 1996, 13, 949–967. [Google Scholar] [CrossRef]
- Lickly, T.D.; Rainey, M.L.; Burgert, L.C.; Breder, C.V.; Borodinsky, L. Using a simple diffusion model to predict residual monomer migration considerations and limitations. Food Addit. Contam. 1997, 14, 65–74. [Google Scholar] [CrossRef] [PubMed]
- Franz, R. Migration modelling from food-contact plastics into foodstuffs as a new tool for consumer exposure estimation. Food Addit. Contam. 2005, 22, 920–937. [Google Scholar] [CrossRef]
- Piringer, O. Mathematical modelling of chemical migration from food contact materials. In Chemical Migration and Food Contact Materials; Barnes, K.A., Sinclair, C.R., Watson, D.H., Eds.; Woodhead Publishing Ltd.: Cambridge, UK, 2006; pp. 181–202. [Google Scholar]
- Pocas, M.F.; Oliveira, J.C.; Oliveira, F.A.R.; Hogg, T. A critical survey of predictive mathematical models for migration from packaging. Crit. Rev. Food Sci. and Nutr. 2008, 48, 913–928. [Google Scholar] [CrossRef]
- Franz, R.; Welle, F. Mathematic modelling of migration of nanoparticles from food contact materials. In The Use of Nanomaterials in Food Contact Materials: Design, Application, Safety; Veraart, R., Ed.; DEStech Publications: Lancaster, UK, 2017; pp. 345–368. [Google Scholar]
- Mercea, P.V.; Losher, C.; Herburger, M.; Piringer, O.G.; Tosa, V.; Cassart, M.; Dawkins, G.; Faust, B. Repeated migration of additives from a polymeric article in food simulants. Polym. Test. 2020, 85, 106436. [Google Scholar] [CrossRef]
- Begley, T.; Castle, L.; Feigenbaum, A.; Franz, R.; Hinrichs, K.; Lickley, T.; Mercea, P.; Milana, M.-R.; O’Brien, A.; Rebre, S.; et al. Evaluation of migration models that might be used in support of regulations for food-contact plastics. Food Addit. Contam. 2005, 22, 73–90. [Google Scholar] [CrossRef] [PubMed] [Green Version]
- Welle, F. A new method for the prediction of diffusion coefficients in poly(ethylene terephthalate). J. Appl. Polym. Sci. 2013, 129, 1845–1851. [Google Scholar] [CrossRef]
- Piringer, O.-G.; Baner, A.L. Plastic Packaging Materials for Food: Barrier Function, Mass Transport, Quality Assurance and Legislation-Interactions with Food and Pharmaceuticals, 2nd ed.; WILEY-VCH: Weinheim, Germany, 2008. [Google Scholar]
- Seiler, A.; Bach, A.; Driffield, M.; Paseiro Losada, P.; Mercea, P.; Tosa, V.; Franz, R. Correlation of foodstuffs with ethanol-water mixtures with regard to the solubility of migrants from food contact materials. Food Addit. Contam. Part A 2014, 31, 498–511. [Google Scholar] [CrossRef]
- Brandsch, R. Probabilistic migration modelling focused on functional barrier efficiency and low migration concepts in support of risk assessment. Food Addit. Contam. Part A 2017, 34, 1743–1766. [Google Scholar] [CrossRef]
- Paseiro-Cerrato, R.; Tongchat, C.; Franz, R. Study of the partition coefficients Kp/f of seven model migrants from LDPE polymer in contact with food simulants. Food Addit. Contam. Part A 2016, 33, 885–892. [Google Scholar] [CrossRef]
- Commission Directive 2002/72/EC of 6 August 2002 relating to plastic materials and articles intended to come into contact with foodstuffs. O. J. Europ. Commun. L 2002, 220, 18–58. [CrossRef]
- Hoekstra, E.J.; Brandsch, R.; Dequatre, C.; Mercea, P.; Milana, M.R.; Störmer, A.; Trier, X.; Vitrac, O.; Schäfer, A.; Simoneau, C. Practical Guidelines on the Application of Migration Modelling for the Estimation of Specific Migration in Support of Regulation (EU) No 10/2011 on Plastic Food Contact Materials; Joint Research Centre JRC (Ispra) Technical Reports; EU Report 27529 EN; Publications Office of the European Union: Luxembourg, 2015; ISBN 978-92-79-52790-6. Available online: https://op.europa.eu/de/publication-detail/-/publication/1b79bc61-97f6-11e5-983e-01aa75ed71a1 (accessed on 16 November 2021).
- Franz, R.; Gmeiner, M.; Gruner, A.; Kemmer, D.; Welle, F. Diffusion behaviour of the acetaldehyde scavenger 2-aminobenzamide in polyethylene terephthalate for beverage bottles. Food Addit. Contam. Part A 2016, 33, 364–372. [Google Scholar] [CrossRef] [PubMed] [Green Version]
- Martinez-Lopez, B.; Gontard, N.; Peyron, S. Worst case prediction of additives migration from polystyrene for food safety purposes: A model update. Food Addit. Contam. Part A 2018, 35, 563–576. [Google Scholar] [CrossRef] [PubMed] [Green Version]
- Guazzotti, V.; Ebert, A.; Gruner, A.; Welle, F. Migration from acrylonitrile butadiene styrene (ABS) polymer: Swelling effect of food simulants compared to real foods. J. Consum. Prot. Food Saf. 2021, 16, 19–33. [Google Scholar] [CrossRef]
- Franz, R.; Welle, F. Migration measurement and modelling from poly(ethylene terephthalate) (PET) into soft drinks and fruit juices in comparison with food simulants. Food Addit. Contam. 2008, 25, 1033–1046. [Google Scholar] [CrossRef] [PubMed] [Green Version]
- Welle, F. Fraunhofer Institute for Process Engineering and Packaging (IVV), Freising, Germany. Unpublished work. 2021. [Google Scholar]
- Welle, F. Diffusion coefficients and activation energies of diffusion of organic molecules in polystyrene below and above glass transition temperature. Polymers 2021, 13, 1317. [Google Scholar] [CrossRef] [PubMed]
- Figge, K. Migration of additives from plastics films into edible oils and fat simulants. Food Cosm. Tox. 1972, 10, 815–828. [Google Scholar] [CrossRef]
- Aouachria, K.; Belhaneche-Bensemra, N. Miscibility of PVC/PMMA blends by vicat softening temperature, viscometry, DSC and FTIR analysis. Polymer Testing 2006, 25, 1101–1108. [Google Scholar] [CrossRef]
- Begley, T.; Biles, J.E.; Cunningham, C.; Piringer, O.-G. Migration of a UV stabilizer from polyethylene terephthalate (PET) into food simulants. Food Addit. Contam. 2004, 21, 1007–1014. [Google Scholar]
- Wypych, G. Handbok of Polymers; ChemTec Publishing: Toronto, ON, Canada, 2012; ISBN 978-1-895198-47-8. [Google Scholar]
- Rodiut, B.; Borgeat, C.H.; Cavin, S.; Fragniere, C.; Dudler, V. Application of Finite Element Analysis (FEA) for the simulation of release of additives from multilayer polymeric packaging structures. Food Addit. Contam. 2005, 22, 945–955. [Google Scholar] [CrossRef] [PubMed]
- Brandsch, R.; Schuster, D. Repeated use food contact materials: A categorisation approach in support of risk assessment. Food Addit. Contam. Part A 2020, 37, 2184–2203. [Google Scholar] [CrossRef] [PubMed]
- Kanzow, C. Numerik Linearer Gleichungssysteme—Direkte und Iterative Verfahren; Springer: Heidelberg, Germany, 2005; ISBN 3-540-20654-X. [Google Scholar]















| Polymer | Tg [°C] | Refrigerated Temperatures | Ambient Temperatures | Increased Temperatures | High Temperatures | ||||
|---|---|---|---|---|---|---|---|---|---|
| T (°C) | Mw (g/mol) | T (°C) | Mw (g/mol) | T (°C) | Mw (g/mol) | T (°C) | Mw (g/mol) | ||
| PET | 70 | <40 | >100 | 40–70 | >250 | 70–100 | >500 | ||
| ABS | 100 | <40 | >50 | 40–70 | >100 | 70–100 | >200 | ||
| PA6 | 55 | <20 | >400 | 20–40 | >1000 | ||||
| PP | −20 | <20 | >1000 | ||||||
Publisher’s Note: MDPI stays neutral with regard to jurisdictional claims in published maps and institutional affiliations. |
© 2021 by the authors. Licensee MDPI, Basel, Switzerland. This article is an open access article distributed under the terms and conditions of the Creative Commons Attribution (CC BY) license (https://creativecommons.org/licenses/by/4.0/).
Share and Cite
Brandsch, R.; Pemberton, M.; Schuster, D.; Welle, F. Impact of Partitioning in Short-Term Food Contact Applications Focused on Polymers in Support of Migration Modelling and Exposure Risk Assessment. Molecules 2022, 27, 121. https://doi.org/10.3390/molecules27010121
Brandsch R, Pemberton M, Schuster D, Welle F. Impact of Partitioning in Short-Term Food Contact Applications Focused on Polymers in Support of Migration Modelling and Exposure Risk Assessment. Molecules. 2022; 27(1):121. https://doi.org/10.3390/molecules27010121
Chicago/Turabian StyleBrandsch, Rainer, Mark Pemberton, Dieter Schuster, and Frank Welle. 2022. "Impact of Partitioning in Short-Term Food Contact Applications Focused on Polymers in Support of Migration Modelling and Exposure Risk Assessment" Molecules 27, no. 1: 121. https://doi.org/10.3390/molecules27010121
APA StyleBrandsch, R., Pemberton, M., Schuster, D., & Welle, F. (2022). Impact of Partitioning in Short-Term Food Contact Applications Focused on Polymers in Support of Migration Modelling and Exposure Risk Assessment. Molecules, 27(1), 121. https://doi.org/10.3390/molecules27010121

