Chemistry and Pharmacology of Cyperaceae Stilbenoids: A Review
Abstract
1. Introduction
2. Cyperaceae Species
3. Traditional Uses of Cyperaceae Species
4. Constituents of Cyperaceae Species
5. Occurrence of Stilbenes in Cyperaceae Species
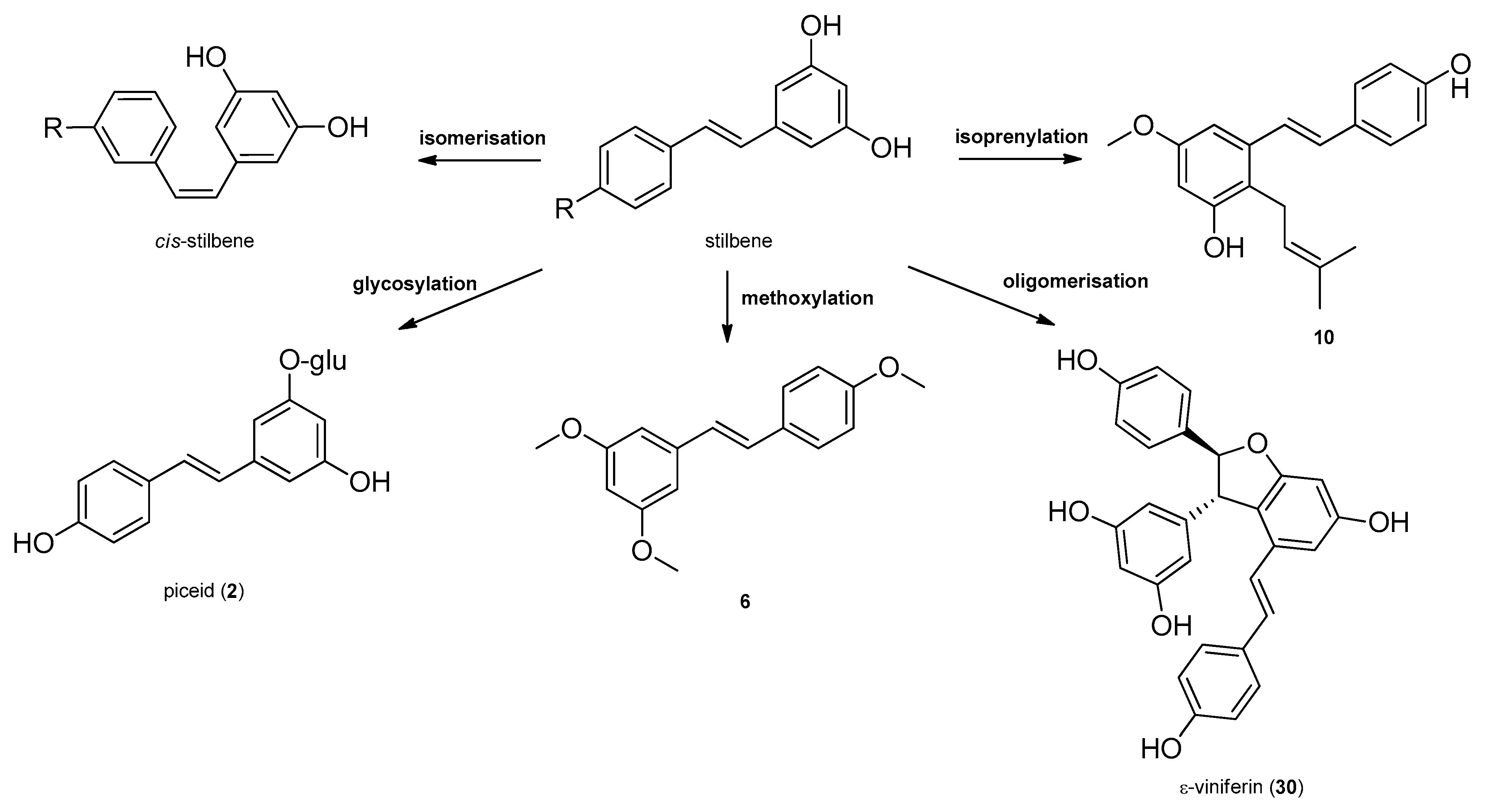
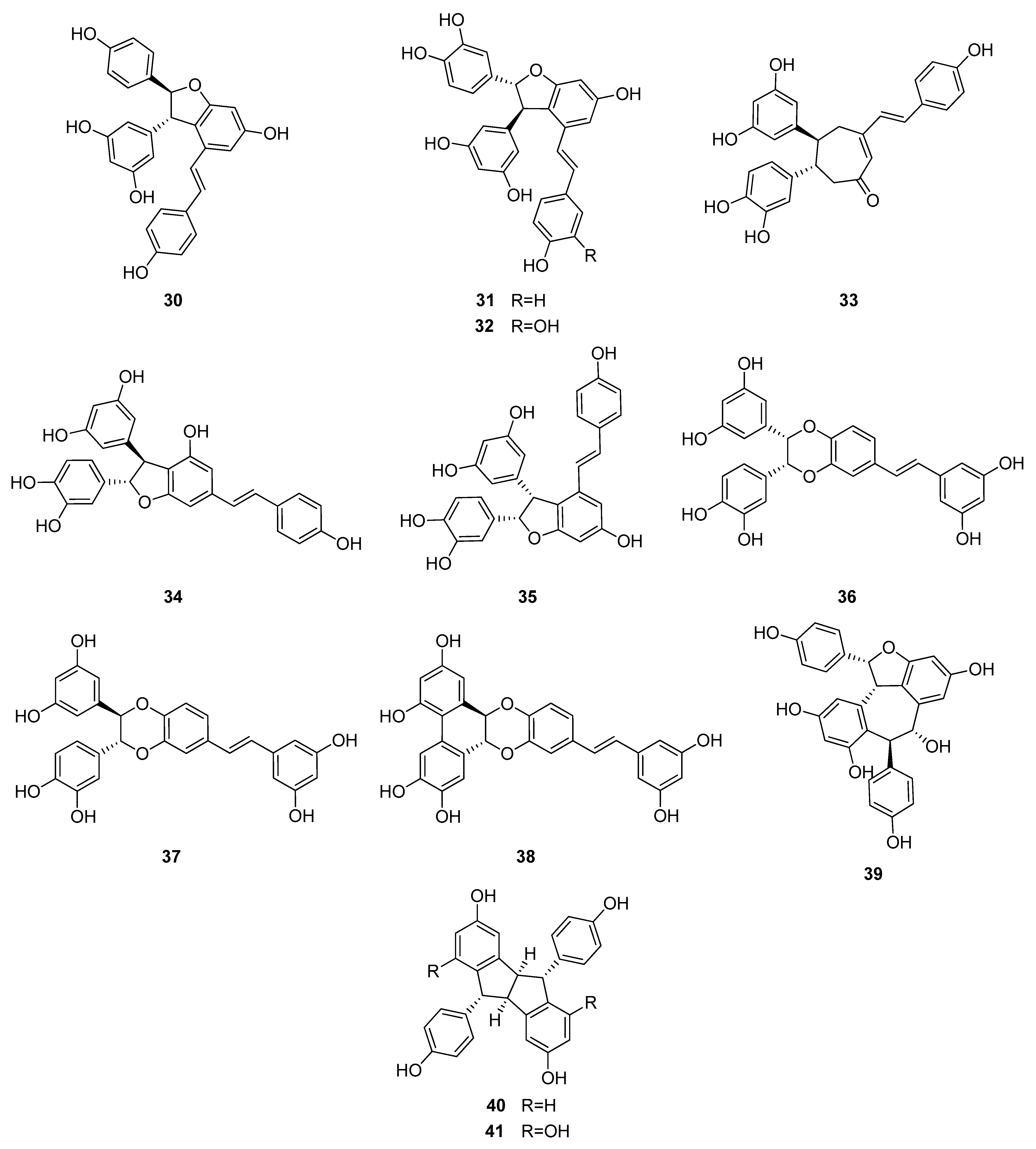
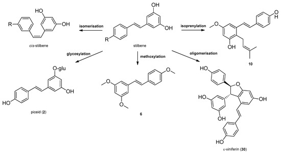
5.1. Structural Characteristics of Stilbenes
5.2. Biosynthesis of Stilbenes
5.3. Isolation Procedures of Stilbenes from Cyperaceae Species
5.4. Stilbenes Isolated from Cyperaceae Species
| Species | Compound | Ref. | 
|---|---|---|
| Carex appressa var. virgata | 3, piceatannol (5), ε-viniferin (30), virgatanol (39) | [25] | 
| Carex baccans | trans-resveratrol (1), α-viniferin (42) | [13,47,52] | 
| Carex buchananii | kobophenol A (62) | [34] | 
| Carex capillacea | longusol B (35), (E)-miyabenol A (64) | [34] | 
| Carex cuprina | carexinol A (61), kobophenol A (62) | [25,34] | 
| Carex dimorpholepis | trans-resveratrol (1) | [53] | 
| Carex distachya | 3, 4, carexane A (13), carexane M (14), carexane N (15), carexane B (16), carexane C (17), carexane D (18), carexane J (19), carexane E (20), carexane F (21), carexane G (22), carexane K (23), distachyasin (24), carexane H (25), carexane L (26), carexane I (27), carexane P (28), carexane O (29), pallidol (40), 41 | [29,33,41,42,43,54] | 
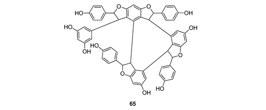
| Carex fedia var. miyabei | ε-viniferin (30), trans-miyabenol C (44), (E)-miyabenol A (64), miyabenol B (65) | [28] | 
| Carex folliculata | pallidol (40), kobophenol A (62) | [31,55] | 
| Carex glauca | pallidol (40), α-viniferin (42), cis-miyabenol C (43) | [34,54] | 
| Carex gynandra | pallidol (40), α-viniferin (42), trans-miyabenol C (44), kobophenol B (63) | [31] | 
| Carex hirta | 3, (E)-miyabenol A (64) | [34] | 
| Carex humilis | α-viniferin (42) | [46,56] | 
| Carex kobomugi | ε-viniferin (30), trans-miyabenol C (44), kobophenol A (62) | [48,49] | 
| Carex pendula | cis-miyabenol C (43), kobophenol B (63), (E)-miyabenol A (64) | [30] | 
| Carex pumila | trans-resveratrol (1), ε-viniferin (30), trans-miyabenol C (44), kobophenol B (63), (E)-miyabenol A (64) | [27,32,50] | 
| Carex vulpinoidea | vulpinoideol A (11) | [39] | 
| Carpha glomerata | carphaben (12) | [40] | 
| Cyperus eragrostis | scirpusin B (32), cyperusphenol B (55) | [25] | 
| Cyperus longus | trans-resveratrol (1), piceatannol (5), scirpusin A (31), scirpusin B (32), longusone A (33), longusol A (34), longusol B (35), longusol C (36), cassigarol E (37), cassigarol G (38), pallidol (40) | [26] | 
| Cyperus rotundus | piceid (2), scirpusin A (31), scirpusin B (32), cassigarol E (37), (+)-(E)-cyperusphenol A (48), (–)-(E)-cyperusphenol A (49), (E)-mesocyperusphenol A (50), (E)-cyperusphenol C (51), (+)-(Z)-cyperusphenol A (52), (–)-(Z)-cyperusphenol A (53), (Z)-mesocyperusphenol A (54), cyperusphenol B (55), cyperusphenol D (56) | [9,35] | 
| Cyperus stoloniferus | trans-resveratrol (1), piceatannol (5) | [57] | 
| Kobresia nepalensis | nepalensinol A (45), nepalensinol C (46), nepalensinol D (47), nepalensinol B (57), nepalensinol E (58), nepalensinol F (59), nepalensinol G (60) | [36,51] | 
| Scirpus californicus | piceatannol (5), scirpusin A (31), scirpusin B (32) | [45] | 
| Scirpus fluviatilis | trans-resveratrol (1), piceatannol (5), scirpusin A (31), scirpusin B (32) | [14] | 
| Scirpus holoschoenus | 6, 8 | [37] | 
| Scirpus maritimus | trans-resveratrol (1), ε-viniferin (30), scirpusin A (31), scirpusin B (32) | [15] | 
| Schoenus nigricans | 6, 7, 9, 10 | [38] | 
6. Pharmacological Activities of Cyperaceae Species and the Isolated Compounds
6.1. Promising Effects Regarding Human Health
6.1.1. Antitumor Activity
6.1.2. Antioxidant Activity
6.1.3. Anti-Inflammatory Activity
6.1.4. Antiallergic Activity
6.1.5. Antimicrobial Activity
6.1.6. Anthelmintic Activity
6.1.7. Antidiabetic Activity
6.1.8. Vasorelaxant Activity
6.2. Effects Useful for Agriculture
6.2.1. Effect on Plant Growth
6.2.2. Pest Control by Acting on the Regulation of Insect Growth
7. Side Effects of Stilbenes Occurring in Cyperaceae Species
8. Conclusions
Author Contributions
Funding
Institutional Review Board Statement
Informed Consent Statement
Conflicts of Interest
References
- Cronquist, A. An Integrated System of Classification of Flowering Plants; Columbia University Press: New York, NY, USA, 1981; p. 337. [Google Scholar]
- Chase, M.W.; Soltis, D.E.; Soltis, P.S.; Rudall, P.J.; Fay, M.F.; Hahn, W.H.; Sullivan, S.; Joseph, J.; Molvray, M.; Kores, P.J.; et al. Higher-level systematics of the Monocotyledons: An assessment of current knowledge and a new classification. In Monocots: Systematics and Evolution; Wilson, K.L., Morrison, D.A., Eds.; CSIRO Publishing: Collingwood, VIC, Australia, 2000; pp. 3–16. ISBN 9780643090149. [Google Scholar]
- Reznicek, A.A. Cyperaceae. Encyclopedia Britannica. Available online: https://www.britannica.com/plant/Cyperaceae (accessed on 30 March 2020).
- Gamal, M.A.; Hani, K.M.K.; Sameh, E.S.; Sabrin, I.R.M. A Review: Compounds isolated from Cyperus species (Part I): Phenolics and nitrogenous. Int. J. Pharm. Phytochem. Res. 2015, 7, 51–67. [Google Scholar]
- Elpel, T.J. Botany in A Day: The Patterns Method of Plant. Identification, 5th ed.; HOPS Press: Pony, MT, USA, 2004; p. 160. ISBN 9781892784155. [Google Scholar]
- Holm, L.G.; Plucknett, D.L.; Pancho, J.V.; Herberger, J.P. The World’s Worst Weeds: Distribution and Biology; University Press of Hawaii: Honolulu, HI, USA, 1977; ISBN 0824802950. [Google Scholar]
- Bryson, C.T.; Carter, R. The significance of Cyperaceae as weeds. In Sedges: Uses, Diversity and Systematics of the Cyperaceae; Naczi, F.C., Ford, B.A., Eds.; Missouri Botanical Garden Press: St. Louis, MO, USA, 2008; Volume 108, pp. 15–101. ISBN 9781930723726. [Google Scholar]
- Simpson, D.A.; Inglis, C.A. Cyperaceae of Economic, Ethnobotanical and Horticultural Importance: A Checklist. Kew Bull. 2001, 56, 257. [Google Scholar] [CrossRef]
- Ito, T.; Endo, H.; Shinohara, H.; Oyama, M.; Akao, Y.; Iinuma, M. Occurrence of stilbene oligomers in Cyperus rhizomes. Fitoterapia 2012, 83, 1420–1429. [Google Scholar] [CrossRef] [PubMed]
- Al-Snafi, A.E. A review on Cyperus rotundus A potential medicinal plant. IOSR J. Pharm. 2016, 6, 32–48. [Google Scholar] [CrossRef]
- Peerzada, A.M.; Ali, H.H.; Naeem, M.; Latif, M.; Bukhari, A.H.; Tanveer, A. Cyperus rotundus L.: Traditional uses, phytochemistry, and pharmacological activities. J. Ethnopharmacol. 2015, 174, 540–560. [Google Scholar] [CrossRef] [PubMed]
- Challam, M.; Roy, B.; Tandon, V. In vitro anthelmintic efficacy of Carex baccans (Cyperaceae): Ultrastructural, histochemical and biochemical alterations in the cestode, Raillietina echinobothrida. J. Parasit. Dis. 2012, 36, 81–86. [Google Scholar] [CrossRef] [PubMed]
- Giri, B.R.; Bharti, R.R.; Roy, B. In vivo anthelmintic activity of Carex baccans and its active principle resveratrol against Hymenolepis diminuta. Parasitol. Res. 2015, 114, 785–788. [Google Scholar] [CrossRef]
- Nakajima, K.; Taguchi, H.; Endo, T.; Yosioka, I. The constituents of Scirpus fluviatilis (Torr). A. Gray. I. The structures of two new hydroxystilbene dimers, scirpusin A and B. Chem. Pharm. Bull. 1978, 26, 3050–3057. [Google Scholar] [CrossRef]
- Powell, R.G.; Bajaj, R.; McLaughlin, J.L. Bioactive stilbenes of Scirpus maritimus. J. Nat. Prod. 1987, 50, 293–296. [Google Scholar] [CrossRef]
- Sivapalan, S.R. Medicinal uses and pharmacological activities of Cyperus rotundus Linn. A review. Int. J. Sci. Res. 2013, 3, 1–8. [Google Scholar]
- Kumar, K.H.; Tamatam, A.; Pal, A.; Khanum, F. Neuroprotective effects of Cyperus rotundus on SIN-1 induced nitric oxide generation and protein nitration: Ameliorative effect against apoptosis mediated neuronal cell damage. NeuroToxicology 2013, 34, 150–159. [Google Scholar] [CrossRef] [PubMed]
- Sharma, A.; Verma, R.; Ramteke, P. Cyperus rotundus: A potential novel source of therapeutic compound against urinary tract pathogens. J. Herb. Med. 2014, 4, 74–82. [Google Scholar] [CrossRef]
- Nima, Z.A.; Jabier, M.S.; Wagi, R.I.; Hussain, H.A. Extraction, identification and antibacterial activity of Cyperus oil from Iraqi Cyperus rotundus. J. Eng. Technol. 2008, 26, 1156–1163. [Google Scholar]
- Morales, M.; Ros Barcelo, A.; Pedreno, M.A. Plant stilbenes: Recent advances in their chemistry and biology. In Advances in Plant Physiology; Hemantaranjan, A., Ed.; Scientific Publishers: Jodhpur, India, 2000; Volume 3, pp. 39–70. ISBN 8172332335. [Google Scholar]
- Xiao, K.; Zhang, H.-J.; Xuan, L.-J.; Zhang, J.; Xu, Y.-M.; Bai, D.-L. Stilbenoids: Chemistry and bioactivities. Stud. Nat. Prod. Chem. 2008, 34, 453–646. [Google Scholar] [CrossRef]
- Shen, T.; Wang, X.-N.; Lou, H.-X. Natural stilbenes: An overview. Nat. Prod. Rep. 2009, 26, 916–935. [Google Scholar] [CrossRef] [PubMed]
- Chong, J.; Poutaraud, A.; Hugueney, P. Metabolism and roles of stilbenes in plants. Plant Sci. 2009, 177, 143–155. [Google Scholar] [CrossRef]
- Sotheeswaran, S.; Pasupathy, V. Distribution of resveratrol oligomers in plants. Phytochemistry 1993, 32, 1083–1092. [Google Scholar] [CrossRef]
- Arraki, K.; Totoson, P.; Decendit, A.; Badoc, A.; Zedet, A.; Jolibois, J.; Pudlo, M.; Demougeot, C.; Girard-Thernier, C. Cyperaceae species are potential sources of natural mammalian arginase inhibitors with positive effects on vascular function. J. Nat. Prod. 2017, 80, 2432–2438. [Google Scholar] [CrossRef]
- Morikawa, T.; Xu, F.; Matsuda, H.; Yoshikawa, M. Structures of novel norstilbene dimer, longusone A, and three new stilbene dimers, longusols A, B, and C, with antiallergic and radical scavenging activities from Egyptian natural medicine Cyperus longus. Chem. Pharm. Bull. 2010, 58, 1379–1385. [Google Scholar] [CrossRef]
- Kurihara, H.; Kawabata, J.; Ichikawa, S.; Mizutani, J. (−)-ε-Viniferin and related oligostilbenes from Carex pumila Thunb. (Gyperaceae). Agric. Biol. Chem. 1990, 54, 1097–1099. [Google Scholar] [CrossRef]
- Suzuki, K.; Shimizu, T.; Kawabata, J.; Mizutani, J. New 3,5,4′-trihydroxystilbene (resveratrol) oligomers from Carex fedia Nees var. miyabei (Franchet) T. Koyama (Cyperaceae). Agric. Biol. Chem. 1987, 51, 1003–1008. [Google Scholar] [CrossRef]
- Fiorentino, A.; D’Abrosca, B.; Pacifico, S.; Izzo, A.; Letizia, M.; Esposito, A.; Monaco, P. Potential allelopatic effects of stilbenoids and flavonoids from leaves of Carex distachya Desf. Biochem. Syst. Ecol. 2008, 36, 691–698. [Google Scholar] [CrossRef]
- Meng, Y.; Bourne, P.C.; Whiting, P.; Šik, V.; Dinan, L. Identification and ecdysteroid antagonist activity of three oligostilbenes from the seeds of Carex pendula (Cyperaceae). Phytochemistry 2001, 57, 393–400. [Google Scholar] [CrossRef]
- González-Sarrías, A.; Gromek, S.; Niesen, D.; Seeram, N.P.; Henry, G.E. Resveratrol oligomers isolated from Carex species inhibit growth of human colon tumorigenic cells mediated by cell cycle arrest. J. Agric. Food Chem. 2011, 59, 8632–8638. [Google Scholar] [CrossRef]
- Kawabata, J.; Mishima, M.; Kurihara, H.; Mizutani, J. Kobophenol B, A tetrastilbene from Carex pumila. Phytochemistry 1991, 30, 645–647. [Google Scholar] [CrossRef]
- Buommino, E.; D’Abrosca, B.; Donnarumma, G.; Parisi, A.; Scognamiglio, M.; Fiorentino, A.; De Luca, A. Evaluation of the antioxidant properties of carexanes in AGS cells transfected with the Helicobacter pylori’s protein HspB. Microb. Pathog. 2017, 108, 71–77. [Google Scholar] [CrossRef] [PubMed]
- Arraki, K.; Richard, T.; Badoc, A.; Pédrot, E.; Bisson, J.; Waffo-Téguo, P.; Mahjoub, A.; Mérillon, J.M.; Decendit, A. Isolation, characterization and quantification of stilbenes from some Carex species. Rec. Nat. Prod. 2013, 7, 281–291. [Google Scholar]
- Tran, H.H.T.; Nguyen, M.C.; Le, H.T.; Nguyen, T.L.; Pham, T.B.; Chau, V.M.; Nguyen, H.N.; Nguyen, T.D. Inhibitors of α-glucosidase and α-amylase from Cyperus rotundus. Pharm. Biol. 2014, 52, 74–77. [Google Scholar] [CrossRef]
- Yamada, M.; Hayashi, K.-I.; Hayashi, H.; Ikeda, S.; Hoshino, T.; Tsutsui, K.; Tsutsui, K.; Iinuma, M.; Nozaki, H. Stilbenoids of Kobresia nepalensis (Cyperaceae) exhibiting DNA topoisomerase II inhibition. Phytochemistry 2006, 67, 307–313. [Google Scholar] [CrossRef]
- Abdel-Mogib, M.; Basaif, S.A.; Sobahi, T.R. Stilbenes and a new acetophenone derivative from Scirpus holoschoenus. Molecules 2001, 6, 663–667. [Google Scholar] [CrossRef]
- Dawidar, A.; Jakupovic, J.; Abdel-Mogib, M.; Mashaly, I. Prenylstilbenes and prenylflavanones from Schoenus nigricans. Phytochemistry 1994, 36, 803–806. [Google Scholar] [CrossRef]
- Niesen, D.B.; Ma, H.; Yuan, T.; Bach, I.A.C.; Henry, G.E.; Seeram, N.P. Phenolic constituents of Carex vulpinoidea seeds and their tyrosinase inhibitory activities. Nat. Prod. Commun. 2015, 10, 491–493. [Google Scholar] [CrossRef]
- Cho, N.; Valenciano, A.L.; Du, Y.; Clement, J.; Cassera, M.B.; Goetz, M.; Kingston, D.G. Antiplasmodial flavanones and a stilbene from Carpha glomerata. Bioorganic Med. Chem. Lett. 2018, 28, 3368–3371. [Google Scholar] [CrossRef] [PubMed]
- Fiorentino, A.; D’Abrosca, B.; Pacifico, S.; Iacovino, R.; Izzo, A.; Uzzo, P.; Russo, A.; Di Blasio, B.; Monaco, P. Carexanes from Carex distachya Desf.: Revised stereochemistry and characterization of four novel polyhydroxylated prenylstilbenes. Tetrahedron 2008, 64, 7782–7786. [Google Scholar] [CrossRef]
- D’Abrosca, B.; Fiorentino, A.; Golino, A.; Monaco, P.; Oriano, P.; Pacifico, S. Carexanes: Prenyl stilbenoid derivatives from Carex distachya. Tetrahedron Lett. 2005, 46, 5269–5272. [Google Scholar] [CrossRef]
- Fiorentino, A.; D’Abrosca, B.; Pacifico, S.; Natale, A.; Monaco, P. Structures of bioactive carexanes from the roots of Carex distachya Desf. Phytochemistry 2006, 67, 971–977. [Google Scholar] [CrossRef]
- Fiorentino, A.; D’Abrosca, B.; Pacifico, S.; Iacovino, R.; Mastellone, C.; Di Blasio, B.; Monaco, P. Distachyasin: A new antioxidant metabolite from the leaves of Carex distachya. Bioorganic Med. Chem. Lett. 2006, 16, 6096–6101. [Google Scholar] [CrossRef]
- Schmeda-Hirschmann, G.; Gutierrez, M.I.; Loyola, J.I.; Zúñiga, J. Biological activity and xanthine oxidase inhibitors from Scirpus californicus (C. A. Mey.) Steud. Phytother. Res. 1996, 10, 683–685. [Google Scholar] [CrossRef]
- Lee, S.-H.; Shin, N.-H.; Kang, S.-H.; Park, J.; Chung, S.; Min, K.; Kim, Y. Viniferin: A prostaglandin H2 synthase inhibitor from root of Carex humilis. Planta Med. 1998, 64, 204–207. [Google Scholar] [CrossRef]
- Giri, B.R.; Roy, B. Resveratrol- and α-viniferin-induced alterations of acetylcholinesterase and nitric oxide synthase in Raillietina echinobothrida. Parasitol. Res. 2015, 114, 3775–3781. [Google Scholar] [CrossRef]
- Kawabata, J.; Ichikawa, S.; Kurihara, H.; Mizutani, J. Kobophenol A, a unique tetrastilbene from Ohwi (Cyperaceae). Tetrahedron Lett. 1989, 30, 3785–3788. [Google Scholar] [CrossRef]
- Kurihara, H.; Kawabata, J.; Ichikawa, S.; Mishima, M.; Mizutani, J. Oligostilbenes from Carex kobomugi. Phytochemistry 1991, 30, 649–653. [Google Scholar] [CrossRef]
- Cho, H.S.; Lee, J.-H.; Ryu, S.Y.; Joo, S.W.; Cho, M.H.; Lee, J. Inhibition of Pseudomonas aeruginosa and Escherichia coli O157:H7 biofilm formation by plant metabolite ε-viniferin. J. Agric. Food Chem. 2013, 61, 7120–7126. [Google Scholar] [CrossRef]
- Yamada, M.; Hayashi, K.-I.; Hayashi, H.; Tsuji, R.; Kakumoto, K.; Ikeda, S.; Hoshino, T.; Tsutsui, K.; Tsutsui, K.; Ito, T.; et al. Nepalensinols D-G, new resveratrol oligomers from Kobresia nepalensis (Cyperaceae) as potent inhibitors of DNA topoisomerase II. Chem. Pharm. Bull. 2006, 54, 354–358. [Google Scholar] [CrossRef]
- Kumar, D.; Gupta, N.; Ghosh, R.; Gaonkar, R.H.; Pal, B.C. α-Glucosidase and α-amylase inhibitory constituent of Carex baccans: Bio-assay guided isolation and quantification by validated RP-HPLC–DAD. J. Funct. Foods 2013, 5, 211–218. [Google Scholar] [CrossRef]
- Lee, J.-H.; Cho, H.S.; Joo, S.W.; Regmi, S.C.; Kim, J.-A.; Ryu, C.-M.; Ryu, S.Y.; Cho, M.H.; Lee, J. Diverse plant extracts and trans-resveratrol inhibit biofilm formation and swarming of Escherichia coli O157:H7. Biofouling 2013, 29, 1189–1203. [Google Scholar] [CrossRef]
- Fiorentino, A.; Ricci, A.; D’Abrosca, B.; Pacifico, S.; Golino, A.; Letizia, M.; Piccolella, S.; Monaco, P. Potential food additives from Carex distachya roots: Identification and in vitro antioxidant properties. J. Agric. Food Chem. 2008, 56, 8218–8225. [Google Scholar] [CrossRef] [PubMed]
- Li, L.; Henry, G.E.; Seeram, N.P. Identification and bioactivities of resveratrol oligomers and flavonoids from Carex folliculata seeds. J. Agric. Food Chem. 2009, 57, 7282–7287. [Google Scholar] [CrossRef] [PubMed]
- Seo, H.; Kim, M.; Kim, S.; Al Mahmud, H.; Islam, I.; Nam, K.-W.; Cho, M.-L.; Kwon, H.-S.; Song, H.-Y. In vitro activity of alpha-viniferin isolated from the roots of Carex humilis against Mycobacterium tuberculosis. Pulm. Pharm. 2017, 46, 41–47. [Google Scholar] [CrossRef] [PubMed]
- Chau, N.M.; Hanh, T.T.H.; Luyen, N.T.; Van Minh, C.; Dat, N.T. Flavanones and stilbenes from Cyperus stoloniferus Retz. Biochem. Syst. Ecol. 2013, 50, 220–222. [Google Scholar] [CrossRef]
- Leger, A.; Cochrane, A.; Moore, F. Factors associated with cardiac mortality in developed countries with particular reference to the consumption of wine. Lancet 1979, 313, 1017–1020. [Google Scholar] [CrossRef]
- Catalgol, B.; Batirel, S.; Taga, Y.; Ozer, N.K. Resveratrol: French paradox revisited. Front. Pharm. 2012, 3, 141. [Google Scholar] [CrossRef] [PubMed]
- Baur, J.A.; Sinclair, D.A. Therapeutic potential of resveratrol: The in vivo evidence. Nat. Rev. Drug Discov. 2006, 5, 493–506. [Google Scholar] [CrossRef] [PubMed]
- Willenberg, I.; Michael, M.; Wonik, J.; Bartel, L.C.; Empl, M.T.; Schebb, N.H. Investigation of the absorption of resveratrol oligomers in the Caco-2 cellular model of intestinal absorption. Food Chem. 2015, 167, 245–250. [Google Scholar] [CrossRef]
- Kuhnlea, G.; Spencer, J.P.; Chowrimootooc, G.; Schroeterb, H.; Debnam, E.S.; Srai, S.S.; Rice-Evans, C.; Hahna, U. Resveratrol is absorbed in the small intestine as resveratrol glucuronide. Biochem. Biophys. Res. Commun. 2000, 272, 212–217. [Google Scholar] [CrossRef]
- Shaito, A.; Posadino, A.M.; Younes, N.; Hasan, H.; Halabi, S.; Alhababi, D.; Al-Mohannadi, A.; Abdel-Rahman, W.M.; Eid, A.H.; Nasrallah, G.K.; et al. Potential adverse effects of resveratrol: A literature review. Int. J. Mol. Sci. 2020, 21, 2084. [Google Scholar] [CrossRef]
- Rezende, J.D.P.; Hudson, E.A.; De Paula, H.M.C.; Meinel, R.S.; Da Silva, A.D.; Da Silva, L.H.M.; Pires, A.C.D.S. Human serum albumin-resveratrol complex formation: Effect of the phenolic chemical structure on the kinetic and thermodynamic parameters of the interactions. Food Chem. 2020, 307, 125514. [Google Scholar] [CrossRef]
- Pantusa, M.; Bartucci, R.; Rizzuti, B. Stability of trans-resveratrol associated with transport proteins. J. Agric. Food Chem. 2014, 62, 4384–4391. [Google Scholar] [CrossRef]
- Harikumar, K.B.; Aggarwal, B.B. Resveratrol: A multitargeted agent for age-associated chronic diseases. Cell Cycle 2008, 7, 1020–1035. [Google Scholar] [CrossRef]
- Keylor, M.H.; Matsuura, B.S.; Stephenson, C.R.J. Chemistry and biology of resveratrol-derived natural products. Chem. Rev. 2015, 115, 8976–9027. [Google Scholar] [CrossRef]
- Lin, M.; Yao, C.-S. Natural oligostilbenes. Stud. Nat. Prod. Chem. 2006, 33, 601–644. [Google Scholar] [CrossRef]
- Shen, T.; Xie, C.-F.; Wang, X.-N.; Lou, H.-X. Stilbenoids. In Natural Products; Springer Science and Business Media LLC: Berlin/Heidelberg, Germany, 2013; pp. 1901–1949. [Google Scholar]
- Niesen, D.B.; Hessler, C.; Seeram, N.P. Beyond resveratrol: A review of natural stilbenoids identified from 2009–2013. J. Berry Res. 2013, 3, 181–196. [Google Scholar] [CrossRef]
- Wang, X.-F.; Yao, C.-S. Naturally active oligostilbenes. J. Asian Nat. Prod. Res. 2015, 18, 376–407. [Google Scholar] [CrossRef] [PubMed]
- Shen, J.; Zhou, Q.; Li, P.; Wang, Z.; Liu, S.; He, C.; Zhang, C.; Xiao, P. Update on phytochemistry and pharmacology of naturally occurring resveratrol oligomers. Molecules 2017, 22, 2050. [Google Scholar] [CrossRef]
- Pecyna, P.; Wargula, J.; Murias, M.; Kucinska, M. More than resveratrol: New insights into stilbene-based compounds. Biomolecules 2020, 10, 1111. [Google Scholar] [CrossRef] [PubMed]
- Kilani, S.; Ledauphin, J.; Bouhlel, I.; Ben Sghaier, M.; Boubaker, J.; Skandrani, I.; Mosrati, R.; Ghedira, K.; Barillier, D.; Chekir-Ghedira, L. Comparative study of Cyperus rotundus essential oil by a modified GC/MS analysis method. Evaluation of its antioxidant, cytotoxic, and apoptotic effects. Chem. Biodivers. 2008, 5, 729–742. [Google Scholar] [CrossRef]
- Sundaram, M.S.; Sivakumar, T.; Balamurugan, G. Anti-inflammatory effect of Cyperus rotundus Linn. leaves on acute and subacute inflammation in experimental rat models. Biomedicine 2008, 28, 302–304. [Google Scholar]
- Kilani, S.; Ben Sghaier, M.; Limem, I.; Bouhlel, I.; Boubaker, J.; Bhouri, W.; Skandrani, I.; Neffatti, A.; Ben Ammar, R.; Dijoux-Franca, M.G.; et al. In vitro evaluation of antibacterial, antioxidant, cytotoxic and apoptotic activities of the tubers infusion and extracts of Cyperus rotundus. Bioresour. Technol. 2008, 99, 9004–9008. [Google Scholar] [CrossRef] [PubMed]
- Shivakumar, S.I.; Suresh, H.M.; Hallikeri, C.S.; Hatapakki, B.C.; Handiganur, J.S.; Sankh, K.; Shivakumar, B. Anticonvulsant effect of Cyperus rotundus Linn. rhizomes in rats. J. Nat. Remedies 2009, 9, 192–196. [Google Scholar] [CrossRef]
- Dang, G.K.; Parekar, R.R.; Kamat, S.K.; Scindia, A.M.; Rege, N.N. Antiinflammatory activity of Phyllanthus emblica, Plumbago zeylanica and Cyperus rotundus in acute models of inflammation. Phytother. Res. 2010, 25, 904–908. [Google Scholar] [CrossRef]
- Aggarwal, B.B.; Bhardwaj, A.; Aggarwal, R.S.; Seeram, N.P.; Shishodia, S.; Takada, Y. Role of resveratrol in prevention and therapy of cancer: Preclinical and clinical studies. Anticancer Res. 2004, 24, 2783–2840. [Google Scholar]
- Lee, Y.-J.; Kim, J. Resveratrol activates natural killer cells through Akt- and mTORC2-mediated c-Myb upregulation. Int. J. Mol. Sci. 2020, 21, 9575. [Google Scholar] [CrossRef]
- Verdura, S.; Cuyàs, E.; Cortada, E.; Brunet, J.; Lopez-Bonet, E.; Martin-Castillo, B.; Bosch-Barrera, J.; Encinar, J.A.; Menendez, J.A. Resveratrol targets PD-L1 glycosylation and dimerization to enhance antitumor T-cell immunity. Aging 2020, 12, 8–34. [Google Scholar] [CrossRef]
- Hussain, S.P.; Hofseth, L.J.; Harris, C.C. Radical causes of cancer. Nat. Rev. Cancer 2003, 3, 276–285. [Google Scholar] [CrossRef] [PubMed]
- Krizkova, L.; Durackova, Z.; Sandula, J.; Slamenova, D.; Sasinkova, V.; Sivonová, M.; Krajcovic, J. Fungal beta-(1-3)-d-glucan derivatives exhibit high antioxidative and antimutagenic activity in vitro. Anticancer Res. 2003, 23, 2751–2756. [Google Scholar]
- Zhu, T.; Fang, F.; Sun, D.; Yang, S.; Zhang, X.; Yu, X.; Yang, L. Piceatannol inhibits, P. acnes–induced keratinocyte proliferation and migration by downregulating oxidative stress and the inflammatory response. Inflammation 2019, 43, 347–357. [Google Scholar] [CrossRef]
- Neves, A.R.; Lucio, M.; Lima, J.L.; Reis, S. Resveratrol in medicinal chemistry: A critical review of its pharmacokinetics, drug-delivery, and membrane interactions. Curr. Med. Chem. 2012, 19, 1663–1681. [Google Scholar] [CrossRef] [PubMed]
- Dvorakova, M.; Landa, P. Anti-inflammatory activity of natural stilbenoids: A review. Pharm. Res. 2017, 124, 126–145. [Google Scholar] [CrossRef]
- Khairullina, V.R.; Mukhametov, A.D.; Gerchikov, A.Y.; Tarasov, G.P.; Garifullina, G.G.; Tyurina, L.A.; Zarudii, F.S. Computer design of trans-stilbene derivatives with pronounced anti-inflammatory activity and low toxicity. Pharm. Chem. J. 2009, 43, 505–511. [Google Scholar] [CrossRef]
- Szaefer, H.; Cichocki, M.; Krajka-Kuźniak, V.; Stefański, T.; Sobiak, S.; Licznerska, B.; Baer-Dubowska, W. The effect of resveratrol and its methylthio-derivatives on NF-κB and AP-1 signaling pathways in HaCaT keratinocytes. Pharm. Rep. 2014, 66, 732–740. [Google Scholar] [CrossRef] [PubMed]
- Martín, A.R.; Villegas, I.; La Casa, C.; de la Lastra, C.A. Resveratrol, a polyphenol found in grapes, suppresses oxidative damage and stimulates apoptosis during early colonic inflammation in rats. Biochem. Pharm. 2004, 67, 1399–1410. [Google Scholar] [CrossRef]
- Choo, Q.-Y.; Yeo, S.C.M.; Ho, P.C.; Tanaka, Y.; Lin, H.-S. Pterostilbene surpassed resveratrol for anti-inflammatory application: Potency consideration and pharmacokinetics perspective. J. Funct. Foods 2014, 11, 352–362. [Google Scholar] [CrossRef]
- Wood, L.G.; Wark, P.A.; Garg, M.L. Antioxidant and anti-inflammatory effects of resveratrol in airway disease. Antioxid. Redox Signal. 2010, 13, 1535–1548. [Google Scholar] [CrossRef] [PubMed]
- Regulski, M.; Regulska, K.; Prukała, W.; Piotrowska, H.; Stanisz, B.; Murias, M. COX-2 inhibitors: A novel strategy in the management of breast cancer. Drug Discov. Today 2016, 21, 598–615. [Google Scholar] [CrossRef]
- Jeong, S.-O.; Son, Y.; Lee, J.H.; Cheong, Y.-K.; Park, S.H.; Chung, H.-T.; Pae, H.-O. Resveratrol analog piceatannol restores the palmitic acid-induced impairment of insulin signaling and production of endothelial nitric oxide via activation of anti-inflammatory and antioxidative heme oxygenase-1 in human endothelial cells. Mol. Med. Rep. 2015, 12, 937–944. [Google Scholar] [CrossRef] [PubMed]
- Chung, E.Y.; Roh, E.; Kwak, J.-A.; Lee, H.-S.; Lee, S.H.; Lee, C.-K.; Han, S.-B.; Kim, Y. α-Viniferin suppresses the signal transducer and activation of transcription-1 (STAT-1)–inducible inflammatory genes in Interferon-γ–stimulated macrophages. J. Pharm. Sci. 2010, 112, 405–414. [Google Scholar] [CrossRef]
- Dilshara, M.G.; Lee, K.-T.; Kim, H.J.; Lee, H.-J.; Choi, Y.H.; Lee, C.-M.; Kim, L.K.; Kim, G.-Y. Anti-inflammatory mechanism of α-viniferin regulates lipopolysaccharide-induced release of proinflammatory mediators in BV2 microglial cells. Cell. Immunol. 2014, 290, 21–29. [Google Scholar] [CrossRef] [PubMed]
- Palsamy, P.; Subramanian, S. Modulatory effects of resveratrol on attenuating the key enzymes activities of carbohydrate metabolism in streptozotocin–nicotinamide-induced diabetic rats. Chem. Interact. 2009, 179, 356–362. [Google Scholar] [CrossRef]
- Szkudelski, T.; Szkudelska, K. Anti-diabetic effects of resveratrol. Ann. N. Y. Acad. Sci. 2011, 1215, 34–39. [Google Scholar] [CrossRef] [PubMed]
- Penumathsa, S.V.; Thirunavukkarasu, M.; Zhan, L.; Maulik, G.; Menon, V.P.; Bagchi, D.; Maulik, N. Resveratrol enhances GLUT-4 translocation to the caveolar lipid raft fractions through AMPK/Akt/eNOS signalling pathway in diabetic myocardium. J. Cell. Mol. Med. 2008, 12, 2350–2361. [Google Scholar] [CrossRef]
- Minakawa, M.; Miura, Y.; Yagasaki, K. Piceatannol, a resveratrol derivative, promotes glucose uptake through glucose transporter 4 translocation to plasma membrane in L6 myocytes and suppresses blood glucose levels in type 2 diabetic model db/db mice. Biochem. Biophys. Res. Commun. 2012, 422, 469–475. [Google Scholar] [CrossRef]
- Attia, R.; Messaoud, C.; Arraki, K.; Zedet, A.; Demougeot, C.; Boussaïd, M.; Girard, C. Phytochemical screening and arginase inhibitory activity of extracts from several Tunisian medicinal plants. S. Afr. J. Bot. 2019, 120, 313–318. [Google Scholar] [CrossRef]
- Chen, B.; Xue, J.; Meng, X.; Slutzky, J.L.; Calvert, A.E.; Chicoine, L.G. Resveratrol prevents hypoxia-induced arginase II expression and proliferation of human pulmonary artery smooth muscle cells via Akt-dependent signaling. Am. J. Physiol. Cell. Mol. Physiol. 2014, 307, L317–L325. [Google Scholar] [CrossRef] [PubMed]
- Hammerschmidt, R. Phytoalexins: What have we learned after 60 years? Annu. Rev. Phytopathol. 1999, 37, 285–306. [Google Scholar] [CrossRef] [PubMed]
- Hart, J.H. Role of phytostilbenes in decay and disease resistance. Annu. Rev. Phytopathol. 1981, 19, 437–458. [Google Scholar] [CrossRef]
- Adler, J.H.; Grebenok, R.J. Occurrence, biosynthesis, and putative role of ecdysteroids in plants. Crit. Rev. Biochem. Mol. Biol. 1999, 34, 253–264. [Google Scholar] [CrossRef] [PubMed]
- Salehi, B.; Mishra, A.P.; Nigam, M.; Sener, B.; Kilic, M.; Sharifi-Rad, M.; Fokou, P.V.T.; Martins, N.; Sharifi-Rad, J. Resveratrol: A double-edged sword in health benefits. Biomedicines 2018, 6, 91. [Google Scholar] [CrossRef]
- Guha, P.; Dey, A.; Chatterjee, A.; Chattopadhyay, S.; Bandyopadhyay, S.K. Pro-ulcer effects of resveratrol in mice with indomethacin-induced gastric ulcers are reversed by l-arginine. Br. J. Pharm. 2010, 159, 726–734. [Google Scholar] [CrossRef]
- Juhasz, B.; Mukherjee, S.; Das, D.K. Hormetic response of resveratrol against cardioprotection. Exp. Clin. Cardiol. 2010, 15, e134–e138. [Google Scholar]
- Dey, A.; Guha, P.; Chattopadhyay, S.; Bandyopadhyay, S.K. Biphasic activity of resveratrol on indomethacin-induced gastric ulcers. Biochem. Biophys. Res. Commun. 2009, 381, 90–95. [Google Scholar] [CrossRef]
- Calabrese, E.J.; Mattson, M.P.; Calabrese, V. Resveratrol commonly displays hormesis: Occurrence and biomedical significance. Hum. Exp. Toxicol. 2010, 29, 980–1015. [Google Scholar] [CrossRef]
- Brown, V.A.; Patel, K.R.; Viskaduraki, M.; Crowell, J.A.; Perloff, M.; Booth, T.D.; Vasilinin, G.; Sen, A.; Schinas, A.M.; Piccirilli, G.; et al. Repeat dose study of the cancer chemopreventive agent resveratrol in healthy volunteers: Safety, pharmacokinetics, and effect on the insulin-like growth factor axis. Cancer Res. 2010, 70, 9003–9011. [Google Scholar] [CrossRef]
- Crowell, J.A.; Korytko, P.J.; Morrissey, R.L.; Booth, T.D.; Levine, B.S. Resveratrol-associated renal toxicity. Toxicol. Sci. 2004, 82, 614–619. [Google Scholar] [CrossRef]
- Liu, S.; Zhao, M.; Zhou, Y.; Wang, C.; Yuan, Y.; Li, L.; Bresette, W.; Chen, Y.; Cheng, J.; Lu, Y.; et al. Resveratrol exerts dose-dependent anti-fibrotic or pro-fibrotic effects in kidneys: A potential risk to individuals with impaired kidney function. Phytomedicine 2019, 57, 223–235. [Google Scholar] [CrossRef]
- Mankowski, R.; You, L.; Buford, T.; Leeuwenburgh, C.; Manini, T.; Schneider, S.; Qiu, P.; Anton, S. Higher dose of resveratrol elevated cardiovascular disease risk biomarker levels in overweight older adults—A pilot study. Exp. Gerontol. 2020, 131, 16. [Google Scholar] [CrossRef]
- Detampel, P.; Beck, M.; Krähenbühl, S.; Huwyler, J. Drug interaction potential of resveratrol. Drug Metab. Rev. 2012, 44, 253–265. [Google Scholar] [CrossRef]
- Deng, R.; Xu, C.; Chen, X.; Chen, P.; Wang, Y.; Zhou, X.; Jin, J.; Niu, L.; Ying, M.; Huang, M.; et al. Resveratrol suppresses the inducible expression of CYP3A4 through the pregnane X receptor. J. Pharm. Sci. 2014, 126, 146–154. [Google Scholar] [CrossRef]
- Choi, J.-S.; Choi, B.-C.; Kang, K.W. Effect of resveratrol on the pharmacokinetics of oral and intravenous nicardipine in rats: Possible role of P-glycoprotein inhibition by resveratrol. Die Pharm. 2009, 64, 49–52. [Google Scholar]
- Jia, Y.; Liu, Z.; Wang, C.; Meng, Q.; Huo, X.; Liu, Q.; Sun, H.; Sun, P.; Yang, X.; Ma, X.; et al. P-gp, MRP2 and OAT1/OAT3 mediate the drug-drug interaction between resveratrol and methotrexate. Toxicol. Appl. Pharm. 2016, 306, 27–35. [Google Scholar] [CrossRef] [PubMed]
- Bedada, S.K.; Yellu, N.R.; Neerati, P. Effect of resveratrol on the pharmacokinetics of fexofenadine in rats: Involvement of P-glycoprotein inhibition. Pharm. Rep. 2016, 68, 338–343. [Google Scholar] [CrossRef]
- Symington, B.; Mapanga, R.F.; Norton, G.R.; Essop, M.F. Resveratrol co-treatment attenuates the effects of HIV protease inhibitors on rat body weight and enhances cardiac mitochondrial respiration. PLoS ONE 2017, 12, e0170344. [Google Scholar] [CrossRef] [PubMed]
- Villanueva, J.A.; Sokalska, A.; Cress, A.B.; Ortega, I.; Bruner-Tran, K.L.; Osteen, K.G.; Duleba, A.J. Resveratrol potentiates effect of simvastatin on inhibition of mevalonate pathway in human endometrial stromal cells. J. Clin. Endocrinol. Metab. 2013, 98, E455–E462. [Google Scholar] [CrossRef]
- Chai, R.; Chen, Y.; Yuan, H.; Wang, X.; Guo, S.; Qi, J.; Zhang, H.; Zhan, Y.; An, H. Identification of resveratrol, an herbal compound, as an activator of the calcium-activated chloride channel, TMEM16A. J. Membr. Biol. 2017, 250, 483–492. [Google Scholar] [CrossRef] [PubMed]
- Giuliani, C.; Iezzi, M.; Ciolli, L.; Hysi, A.; Bucci, I.; Di Santo, S.; Rossi, C.; Zucchelli, M.; Napolitano, G. Resveratrol has anti-thyroid effects both in vitro and in vivo. Food Chem. Toxicol. 2017, 107, 237–247. [Google Scholar] [CrossRef] [PubMed]







| Species | Extract/Compound | Method | Effect | Ref. | 
|---|---|---|---|---|
| Antiproliferative activity | ||||
| C. gynandra, C. folliculata | 1, 40, 42, 44, 62, 63 | Cell lines: HT-29, HCT-116 and Caco-2 (human colon tumor cell lines) and CCD-18Co (normal colon cell line) Positive control: resveratrol (1) | antiproliferative, α-viniferin (IC50 6.6 μM on HCT-116 cells) | [31] | 
| C. rotundus | racemates of 48+49, 50, 55, 56 | human T-cell leukemia Jurkat cells | antiproliferative, IC50 values 27.4 µM (48 + 49), 40.5 µM (50), 26.4 µM (55) and 26.3 µM (56) | [9] | 
| K. nepalensis | 45–47, 57–60 | human DNA topoisomerase II Positive controls: etoposide, daunorubicin | topoisomerase II inhibitory activity IC50 values 0.30 µM (45), 0.02 µM (57), 7.0 µM (46), 14.8 µM (47), 11.7 µM (58), 5.5 µM (59), respectively. Etoposide (IC50 = 70 µM), daunorubicin (IC50 = 9.1 µM) | [36,51] | 
| Antioxidant activity | ||||
| C. longus | methanol extract | DPPH | scavenging activity, SC50 = 22 µg/mL | [26] | 
| 1, 5, 31–38, 40 | DPPH Positive control: ascorbic acid | SC50 = 2.8 µM (32), 8.2 µM (31), 2.8 µM (32) 4.6 µM (33), 9.3 µM (34), 4.3 µM (35), 5.0 µM (36), 3.2 µM (37), and 4.5 µM (38), 24 µM (1), 11 µM (5), 29 µM (40). | [26] | |
| 31, 48+49, 50, 55, 56 | DPPH Positive control: ascorbic acid | free radical scavenging activity, 65% at 5 µg/mL (55) 58% (50), 49% (48+49), 47% (56) and 37% (31), ascorbic acid (46%). | [9] | |
| C. dystachya | methanol extract (root) | DPPH Positive controls: of ascorbic acid, α-tocopherol and butylated hydroxytoluene (BHT) | IC50 value 4.2 µg/mL (extract), 4.3 µg/mL (ascorbic acid), 5.1 µg/mL (α-tocopherol), 3.9 µg/mL BHT. | [54] | 
| 3, 4, 24, 41 | superoxide radical, H2O2, NO, TBARS Positive control: ascorbic acid | NO radical scavenging activity: >80% for 3 and 4, 58.5% for ascorbic acid and α-tocopherol, 62.2% for BHT. Radical scavenging activity of 24 against superoxide radical 60% at 0.5 mg/mL, 32% and 39% at 0.1 and 0.2 mg/mL (hydrogen peroxide), 10.7% at 0.5 mg/mL (NO radical), >59.0% at 0.5 mg/mL TBARS | [43,54] | |
| S. californicus | 5, 31, 32 | xanthine oxidase | IC50 values 3.9 µM (5), 3.6 µM (31) and 6.0 µM (32) | [45] | 
| Anti-inflammatory activity | ||||
| C. humilis | 42 | COX inhibition of PGH2 synthase Positive controls: indomethacin, resveratrol (1) | IC50 ~7 µM (42), ~5 µM (indomethacin), 25 µM (1) | [46] | 
| C. dystachya | 16, 22, 27 | HspB-transfected human gastric epithelial (AGS) cells | Enhancement of the antioxidant response of AGS cells. Reduction of Keap-1 gene expression, and induction of NQO1 gene expression in AGS cells. Decrease of COX-2 gene expression in HspB-transfected AGS cells. | [42] | 
| Antiallergic activity | ||||
| C. longus | methanol extract 1, 5, 36–38 | in vivo; ear passive cutaneous anaphylaxis (PCA) rat basophilic leukaemia (RBL-2H3) cells; β-hexosaminidase release inhibition Positive controls: tranilast, ketotifen fumarate | 75% inhibition of PCA reactions at 500 mg/kg per os Inhibition of the release of β-hexosaminidase (IC50 values 17 µM (1), 24 µM (5), 96 µM (36), 84 µM (37), and 84 µM (38) in rat basophilic leukaemia (RBL-2H3) cells. IC50 values were 112 µM for tranilast, and 176 µM for ketotifen fumarate. | [26] | 
| Antibacterial activity | ||||
| C. fedia var. miyabei | 30, 44, 64, 65 | disc diffusion: 10, 50, 250 μg/disc (diameter 8 mm) Test bacteria: Staphylococcus aureus, Bacillus subtilis, Escherichia coli, Cladosporium herbarum, Mucor mucedo, Aspergillus niger, Fusarium solani, Saccharomyces cerevisiae | 64 showed antimicrobial activities against S. aureus and B. subtilis at a level of less than 10 µg/8 mm diameter paper disc. | [28] | 
| C. humilis | 42 | drug-susceptible and -resistant strains of Mycobacterium tuberculosis (H37Rv), methicillin-susceptible Staphylococcus aureus (MSSA), methicillin-resistant S. aureus (MRSA) and methicillin-resistant S. epidermidis (MRSE) Combination: streptomycin, ethambutol | MIC values 4.6 µM for both strains in culture broth medium and 2.3‒4.6 µM inside macrophages and pneumocytes. An additive effect and partial synergy against M. tuberculosis, applying in combination with streptomycin and ethambutol. 42 did not show cytotoxicity in any of the cell lines tested up to a concentration of 147 µM (selectivity index >32). Inhibition of the proliferation of MSSA, MRSA and MRSE (MIC values 9.2–18.4 µM). | [56] | 
| C. dimorpholepis | methanol extract 1 | enterohemorrhagic Escherichia coli (EHEC) | Inhibition of biofilm formation of Escherichia coli O157:H7 0.1 mg/mL >90% (extract) after 24 and 48 h The extract decreased the adhesion of EHEC cells to human colonic epithelial (HT-29) cells without affecting the viability of these cells Resveratrol (1) possessed anti-biofilm activity against EHEC at 10 µg/mL. | [53] | 
| C. pumila | methanol extract 1, 30 | P. aeruginosa PA14 and enterohemorrhagic Escherichia coli O157:H7 (EHEC) | Inhibition of biofilm formation of Pseudomonas aeruginosa PA14 and Escherichia coli O157:H7 at 0.1 mg/mL by 89% (extract) and at 10 µg/mL by 98% (30) without affecting planktonic growth. | [50] | 
| Anthelminthic activity | ||||
| Carex baccans | root tuber extract 1 | in vivo; rats Hymenolepis diminuta Positive control: praziquantel C. baccans extract: 10, 25 and 50 mg/kg b.w. Resveratrol: 1141; 2282 és 4564 mg/kg b.w. 5 mg/ttkg prazikvantel EPG (egg per gram) value before and 1 week after treatment, and after 39 days | The root tuber extract at 50 mg/kg b.w., and its stilbene constituent 1, at 4.56 mg/kg b.w. reduced EPG count (56.0% and 46.1%) of Hymenolepis diminuta, and decreased worm burden by 44.3% and 31.0%. | [13] | 
| 1, 42 | Raillietina echinobothrida Positive control: praziquantel AChE, NO synthase Positive controls: Nω-nitro-l-arginine, pyridostigmine | Parasites ceased movement at 9.4, 11.4, and 0.2 h, followed by death at 23.7, 34.2, and 1.9 h, respectively. Significant decrease in the activity of acetylcholinesterase (46.1 and 65.9%) and nitric oxide synthase (61.2% and 55.0%) were detected in comparison with the controls Nω-nitro-l-arginine (29.6%) and pyridostigmine (63.6%). The anthelmintic effect of these compounds is mediated through inhibition of two vital enzymes. | [47] | |
| Antidiabetic activity | ||||
| C. baccans | Ethyl acetate extract 42 | α-glucosidase, α-amylase | The ethyl acetate extract of C. baccans and compound 42 inhibited α-glucosidase [IC50 values 31.8 µg/mL (extract), and 6.8 µg/mL (42)] and α-amylase [IC50 values 421.1 µg/mL (extract), and 282.9 µg/mL (42)] enzymes. | [52] | 
| Vasorelaxant activity | ||||
| C. appressa var. virgata C. cuprina C. eragrostis | 5, 30, 32, 55, 61 | in vivo; arginase enzyme ex vivo; rat aorta ring | Compounds 5, 30, 32, 55, and 61 inhibited significantly arginase enzyme with IC50 values 12.6, 27.8, 22.6, 12.2 and 25.3 µM, respectively. Increased NO bioavailability vasorelaxant effect | [25] | 
| Allelopathic activity | ||||
| C. dystachya | 13, 16–27, 40 | Phleum subulatum, Dactylis hispanica and Petrorhagia velutina seeds | Compounds 23 and 27 significantly stimulated the root growth of D. hispanica, P. velutina and P. subulatum at a concentration 10−4 M. 24 and 40 were the most toxic on P. subulatum. All compounds inhibited or slightly stimulated the seedling growth with exception of P. velutina that was stimulated over 50% by 25. | [29] | 
| C. dystachya | 16, 18–21, 23, 25–27 | phytotoxicity Lactuca sativa seeds | All compounds induced a weak decrease of germination (20%) of Lactuca sativa seeds. All compounds showed a stimulating effect on seedling growth, especially on shoot elongation. 18 stimulated shoot elongation at a lower concentration. 21 increased shoot elongation in all tested concentrations. | [43] | 
| Ecdysteroid antagonistic activity | ||||
| C. pendula | 43, 63, 64 | in vitro; Drosophila melanogaster BII cell bioassay | Compounds 43, 63, and 64 antagonized the action of 20-hydroxy-ecdysone in Drosophila melanogaster with EC50 values 19, 37, and 31 µM, respectively. | [30] | 
| Publisher’s Note: MDPI stays neutral with regard to jurisdictional claims in published maps and institutional affiliations. | 
© 2021 by the authors. Licensee MDPI, Basel, Switzerland. This article is an open access article distributed under the terms and conditions of the Creative Commons Attribution (CC BY) license (https://creativecommons.org/licenses/by/4.0/).
Share and Cite
Dávid, C.Z.; Hohmann, J.; Vasas, A. Chemistry and Pharmacology of Cyperaceae Stilbenoids: A Review. Molecules 2021, 26, 2794. https://doi.org/10.3390/molecules26092794
Dávid CZ, Hohmann J, Vasas A. Chemistry and Pharmacology of Cyperaceae Stilbenoids: A Review. Molecules. 2021; 26(9):2794. https://doi.org/10.3390/molecules26092794
Chicago/Turabian StyleDávid, Csilla Zsuzsanna, Judit Hohmann, and Andrea Vasas. 2021. "Chemistry and Pharmacology of Cyperaceae Stilbenoids: A Review" Molecules 26, no. 9: 2794. https://doi.org/10.3390/molecules26092794
APA StyleDávid, C. Z., Hohmann, J., & Vasas, A. (2021). Chemistry and Pharmacology of Cyperaceae Stilbenoids: A Review. Molecules, 26(9), 2794. https://doi.org/10.3390/molecules26092794
 
         
                                                

 
       