Exploring the 2′-Hydroxy-Chalcone Framework for the Development of Dual Antioxidant and Soybean Lipoxygenase Inhibitory Agents
Abstract
1. Introduction
2. Results and Dicussion
2.1. Chemistry
2.2. In Silico Determination of Lipophilicity as ClogP
2.3. Bioactivity Assessment
2.3.1. Antioxidant Activity
2.3.2. Soybean LOX Inhibitory Activity
2.4. In Silico Studies
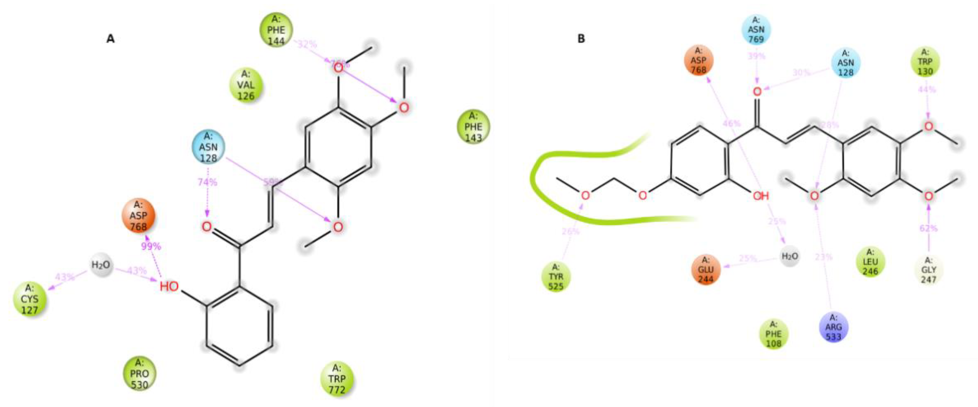
2.4.1. Molecular Docking Studies
2.4.2. Molecular Dynamics Simulations Studies
3. Materials and Methods
3.1. Synthesis and General Procedures
3.1.1. General Procedure for the Synthesis of Chalcones 3a–3l
- (1)
- Method A
- (2)
- Method B
3.1.2. General Procedure for the Synthesis of Chalcones 4a and 4b
3.1.3. Synthetic Procedure of 4-Methoxycarbonyl-2′-Hydroxy-Chalcone (5)
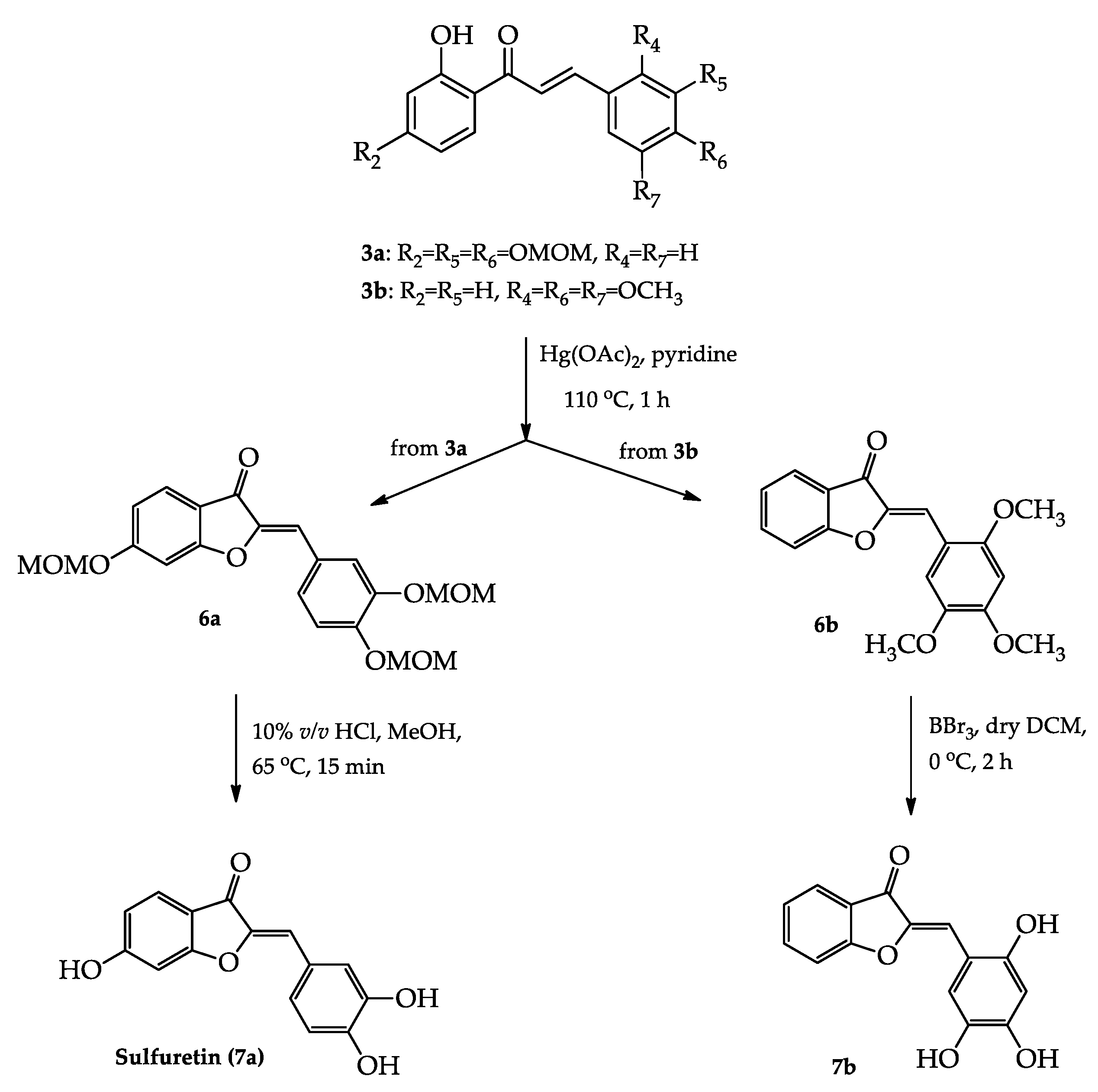
3.1.4. General Procedure for the Synthesis of Aurones 6a and 6b
3.1.5. Synthetic Procedure of 3′,4′,6-Trihydroxy-Aurone (Sulfuretin) (7a)
3.1.6. Synthetic Procedure of 2′,4′,5′-Trihydroxy-Aurone (7b)
3.2. Biological In Vitro Assays
3.2.1. Determination of the Reducing Activity of the Stable Radical 2,2-Diphenyl-1-Picrylhydrazyl (DPPH)
3.2.2. Inhibition of Linoleic Acid Lipid Peroxidation
3.2.3. Competition of the Tested Compounds with DMSO for Hydroxyl Radicals
3.2.4. ABTS+—Decolorization Assay for Antioxidant Activity
3.2.5. Soybean LOX Inhibition Study In Vitro
3.3. In Silico Studies
3.3.1. Molecular Docking Studies on Soybean Lipoxygenase Seed Isoform 1 (LOX-1)
3.3.2. Molecular Dynamics Simulations
4. Conclusions
Supplementary Materials
Author Contributions
Funding
Institutional Review Board Statement
Informed Consent Statement
Data Availability Statement
Acknowledgments
Conflicts of Interest
Sample Availability
References
- Rashid, H.; Xu, Y.; Ahmad, N.; Muhammad, Y.; Wang, L. Promising anti-inflammatory effects of chalcones via inhibition of cyclooxygenase, prostaglandin E2, inducible NO synthase and nuclear factor κb activities. Bioorg. Chem. 2019, 87, 335–365. [Google Scholar] [CrossRef]
- Leon-Gonzalez, A.; Acero, N.; Munoz-Mingarro, D.; Navarro, I.; Martin-Cordero, C. Chalcones as Promising Lead Compounds on Cancer Therapy. Curr. Med. Chem. 2015. [Google Scholar] [CrossRef]
- Xu, M.; Wu, P.; Shen, F.; Ji, J.; Rakesh, K.P. Chalcone derivatives and their antibacterial activities: Current development. Bioorg. Chem. 2019. [Google Scholar] [CrossRef] [PubMed]
- Yadav, N.; Dixit, S.K.; Bhattacharya, A.; Mishra, L.C.; Sharma, M.; Awasthi, S.K.; Bhasin, V.K. Antimalarial Activity of Newly Synthesized Chalcone Derivatives In Vitro. Chem. Biol. Drug Des. 2012. [Google Scholar] [CrossRef] [PubMed]
- Kostopoulou, I.; Detsi, A. Recent Developments on Tyrosinase Inhibitors based on the Chalcone and Aurone Scaffolds. Curr. Enzym. Inhib. 2018, 14, 3–17. [Google Scholar] [CrossRef]
- Cheenpracha, S.; Karalai, C.; Ponglimanont, C.; Subhadhirasakul, S.; Tewtrakul, S. Anti-HIV-1 protease activity of compounds from Boesenbergia pandurata. Bioorganic Med. Chem. 2006. [Google Scholar] [CrossRef] [PubMed]
- De Mello, M.V.P.; de Abrahim-Vieira, B.A.; Domingos, T.F.S.; de Jesus, J.B.; de Sousa, A.C.C.; Rodrigues, C.R.; de Souza, A.M.T. A comprehensive review of chalcone derivatives as antileishmanial agents. Eur. J. Med. Chem. 2018. [Google Scholar] [CrossRef] [PubMed]
- Rampa, A.; Bartolini, M.; Pruccoli, L.; Naldi, M.; Iriepa, I.; Moraleda, I.; Belluti, F.; Gobbi, S.; Tarozzi, A.; Bisi, A. Exploiting the chalcone scaffold to develop multifunctional agents for Alzheimer’s disease. Molecules 2018, 23, 1902. [Google Scholar] [CrossRef]
- Singh, P.; Anand, A.; Kumar, V. Recent developments in biological activities of chalcones: A mini review. Eur. J. Med. Chem. 2014, 85, 758–777. [Google Scholar] [CrossRef]
- Rosa, G.P.; Seca, A.M.L.; Barreto, M.D.; Silva, A.M.S.; Pinto, D.C.G.A. Chalcones and Flavanones Bearing Hydroxyl and/or Methoxyl Groups: Synthesis and Biological Assessments. Appl. Sci. 2019, 9, 2846. [Google Scholar] [CrossRef]
- Huong, T.T.; Cuong, N.X.; Tram, L.H.; Quang, T.T.; Duong, L.; Van Nam, N.H.; Dat, N.T.; Huong, P.T.T.; Diep, C.N.; Van Kiem, P.; et al. A new prenylated aurone from Artocarpus altilis. J. Asian Nat. Prod. Res. 2012. [Google Scholar] [CrossRef] [PubMed]
- Davies, K.M.; Marshall, G.B.; Bradley, J.M.; Schwinn, K.E.; Bloor, S.J.; Winefield, C.S.; Martin, C.R. Characterisation of aurone biosynthesis in Antirrhinum majus. Physiol. Plant. 2006. [Google Scholar] [CrossRef]
- Güçlütürk, I.; Detsi, A.; Weiss, E.K.; Ioannou, E.; Roussis, V.; Kefalas, P. Evaluation of anti-oxidant activity and identification of major polyphenolics of the invasive weed Oxalis pes-caprae. Phytochem. Anal. 2012, 23, 642–646. [Google Scholar] [CrossRef] [PubMed]
- Geiger, H.; Markham, K.R. Campylopusaurone, an auronoflavanone biflavonoid from the mosses Campylopus clavatus and Campylopus holomitrium. Phytochemistry 1992. [Google Scholar] [CrossRef]
- Atta-Ur-Rahman, C.M.I.; Hayat, S.; Khan, A.M.; Ahmed, A. Two new aurones from marine brown alga Spatoglossum variabile. Chem. Pharm. Bull. 2001. [Google Scholar] [CrossRef] [PubMed]
- Roussaki, M.; Costa Lima, S.; Kypreou, A.-M.; Kefalas, P.; Cordeiro da Silva, A.; Detsi, A. Aurones: A Promising Heterocyclic Scaffold for the Development of Potent Antileishmanial Agents. Int. J. Med. Chem. 2012. [Google Scholar] [CrossRef]
- Detsi, A.; Majdalani, M.; Kontogiorgis, C.A.; Hadjipavlou-Litina, D.; Kefalas, P. Natural and synthetic 2′-hydroxy-chalcones and aurones: Synthesis, characterization and evaluation of the antioxidant and soybean lipoxygenase inhibitory activity. Bioorganic Med. Chem. 2009. [Google Scholar] [CrossRef]
- Nakayama, T.; Sato, T.; Fukui, Y.; Yonekura-Sakakibara, K.; Hayashi, H.; Tanaka, Y.; Kusumi, T.; Nishino, T. Specificity analysis and mechanism of aurone synthesis catalyzed by aureusidin synthase, a polyphenol oxidase homolog responsible for flower coloration. FEBS Lett. 2001. [Google Scholar] [CrossRef]
- Júnior, G.M.V.; Sousa, C.M.D.M.; Cavalheiro, A.J.; Lago, J.H.G.; Chaves, M.H. Phenolic derivatives from fruits of Dipteryx lacunifera ducke and evaluation of their antiradical activities. Helv. Chim. Acta 2008. [Google Scholar] [CrossRef]
- Mohan, P.; Joshi, T. Two anthochlor pigments from heartwood of Pterocarpus marsupium. Phytochemistry 1989. [Google Scholar] [CrossRef]
- Ferreira, E.O.; Salvador, M.J.; Pral, E.M.F.; Alfieri, S.C.; Ito, I.Y.; Dias, D.A. A New Heptasubstituted (E)-Aurone Glucoside and Other Aromatic Compounds of Gomphrena agrestis with Biological Activity. Z. Naturforsch. C 2004, 59, 499–505. [Google Scholar] [CrossRef]
- Ma, Q.G.; Wei, R.R.; Yang, M.; Huang, X.Y.; Wang, F.; Sang, Z.P.; Liu, W.M.; Yu, Q. Molecular Characterization and Bioactivity of Coumarin Derivatives from the Fruits of Cucumis bisexualis. J. Agric. Food Chem. 2018. [Google Scholar] [CrossRef] [PubMed]
- Sutton, C.L.; Taylor, Z.E.; Farone, M.B.; Handy, S.T. Antifungal activity of substituted aurones. Bioorganic Med. Chem. Lett. 2017. [Google Scholar] [CrossRef]
- Demirayak, S.; Yurttas, L.; Gundogdu-Karaburun, N.; Karaburun, A.C.; Kayagil, I. Synthesis and anti-cancer activity evaluation of new aurone derivatives. J. Enzym. Inhib. Med. Chem. 2015. [Google Scholar] [CrossRef]
- Olleik, H.; Yahiaoui, S.; Roulier, B.; Courvoisier-Dezord, E.; Perrier, J.; Pérès, B.; Hijazi, A.; Baydoun, E.; Raymond, J.; Boumendjel, A.; et al. Aurone derivatives as promising antibacterial agents against resistant Gram-positive pathogens. Eur. J. Med. Chem. 2019. [Google Scholar] [CrossRef]
- Carrasco, M.P.; Newton, A.S.; Gonçalves, L.; Góis, A.; Machado, M.; Gut, J.; Nogueira, F.; Hänscheid, T.; Guedes, R.C.; Dos Santos, D.J.V.A.; et al. Probing the aurone scaffold against Plasmodium falciparum: Design, synthesis and antimalarial activity. Eur. J. Med. Chem. 2014. [Google Scholar] [CrossRef]
- Bandgar, B.P.; Patil, S.A.; Korbad, B.L.; Biradar, S.C.; Nile, S.N.; Khobragade, C.N. Synthesis and biological evaluation of a novel series of 2,2-bisaminomethylated aurone analogues as anti-inflammatory and antimicrobial agents. Eur. J. Med. Chem. 2010. [Google Scholar] [CrossRef]
- Li, Y.; Qiang, X.; Luo, L.; Li, Y.; Xiao, G.; Tan, Z.; Deng, Y. Synthesis and evaluation of 4-hydroxyl aurone derivatives as multifunctional agents for the treatment of Alzheimer’s disease. Bioorganic Med. Chem. 2016. [Google Scholar] [CrossRef] [PubMed]
- Semwal, R.B.; Semwal, D.K.; Combrinck, S.; Viljoen, A. Butein: From ancient traditional remedy to modern nutraceutical. Phytochem. Lett. 2015, 11, 188–201. [Google Scholar] [CrossRef]
- Seo, Y.H. Butein disrupts hsp90’s molecular chaperoning function and exhibits anti-proliferative effects against drug-resistant cancer cells. Bull. Korean Chem. Soc. 2013. [Google Scholar] [CrossRef][Green Version]
- Hou, Y.-X.; Sun, S.-W.; Liu, Y.; Li, Y.; Liu, X.-H.; Wang, W.; Zhang, S.; Wang, W. An Improved Method for the Synthesis of Butein Using SOCl2/EtOH as Catalyst and Deciphering Its Inhibition Mechanism on Xanthine Oxidase. Molecules 2019, 24, 1948. [Google Scholar] [CrossRef] [PubMed]
- Ma, L.; Yang, Z.; Li, C.; Zhu, Z.; Shen, X.; Hu, L. Design, synthesis and SAR study of hydroxychalcone inhibitors of human β-secretase (BACE1). J. Enzyme Inhib. Med. Chem. 2011. [Google Scholar] [CrossRef]
- Lee, Y.R.; Hwang, J.K.; Koh, H.W.; Jang, K.Y.; Lee, J.H.; Park, J.W.; Park, B.H. Sulfuretin, a major flavonoid isolated from Rhus verniciflua, ameliorates experimental arthritis in mice. Life Sci. 2012. [Google Scholar] [CrossRef] [PubMed]
- Hausen, B.M. The sensitizing capacity of sulfuretin. Contact Dermat. 1987. [Google Scholar] [CrossRef]
- Shu, C.; Liu, R.; Liu, S.; Li, J.Q.; Yu, Y.F.; He, Q.; Lu, X.; Ye, L.W. Practical, modular, and general synthesis of 3-coumaranones through gold-catalyzed intermolecular alkyne oxidation strategy. Chem. An. Asian J. 2015. [Google Scholar] [CrossRef]
- Xue, Y.; Liu, Y.; Zhang, L.; Wang, H.; Luo, Q.; Chen, R.; Liu, Y.; Li, Y. Antioxidant and spectral properties of chalcones and analogous aurones: Theoretical insights. Int. J. Quantum Chem. 2019. [Google Scholar] [CrossRef]
- Chen, W.J.; Song, J.R.; Guo, P.; Wen, Z.Y. Butein, a more effective antioxidant than α-tocopherol. J. Mol. Struct. Theochem 2006. [Google Scholar] [CrossRef]
- Mathew, B.; Adeniyi, A.A.; Joy, M.; Mathew, G.E.; Singh-Pillay, A.; Sudarsanakumar, C.; Soliman, M.E.S.; Suresh, J. Anti-oxidant behavior of functionalized chalcone-a combined quantum chemical and crystallographic structural investigation. J. Mol. Struct. 2017. [Google Scholar] [CrossRef]
- Iqbal, H.; Prabhakar, V.; Sangith, A.; Chandrika, B.; Balasubramanian, R. Synthesis, anti-inflammatory and antioxidant activity of ring-a-monosubstituted chalcone derivatives. Med. Chem. Res. 2014. [Google Scholar] [CrossRef]
- Bandgar, B.P.; Gawande, S.S.; Bodade, R.G.; Totre, J.V.; Khobragade, C.N. Synthesis and biological evaluation of simple methoxylated chalcones as anticancer, anti-inflammatory and antioxidant agents. Bioorganic Med. Chem. 2010. [Google Scholar] [CrossRef]
- Zwick, V.; Chatzivasileiou, A.O.; Deschamps, N.; Roussaki, M.; Simões-Pires, C.A.; Nurisso, A.; Denis, I.; Blanquart, C.; Martinet, N.; Carrupt, P.A.; et al. Aurones as histone deacetylase inhibitors: Identification of key features. Bioorganic Med. Chem. Lett. 2014. [Google Scholar] [CrossRef] [PubMed]
- Griffiths, K.; Aggarwal, B.; Singh, R.; Buttar, H.; Wilson, D.; De Meester, F. Food Antioxidants and Their Anti-Inflammatory Properties: A Potential Role in Cardiovascular Diseases and Cancer Prevention. Diseases 2016, 4, 28. [Google Scholar] [CrossRef]
- Lesjak, M.; Beara, I.; Simin, N.; Pintać, D.; Majkić, T.; Bekvalac, K.; Orčić, D.; Mimica-Dukić, N. Antioxidant and anti-inflammatory activities of quercetin and its derivatives. J. Funct. Foods 2018. [Google Scholar] [CrossRef]
- Roussaki, M.; Kontogiorgis, C.A.; Hadjipavlou-Litina, D.; Hamilakis, S.; Detsi, A. A novel synthesis of 3-aryl coumarins and evaluation of their antioxidant and lipoxygenase inhibitory activity. Bioorganic Med. Chem. Lett. 2010. [Google Scholar] [CrossRef]
- Tzani, A.; Vaitsis, C.; Kritsi, E.; Smiljkovic, M.; Sokovic, M.; Zoumpoulakis, P.; Detsi, A. Green synthesis of bis-(β-dicarbonyl)-methane derivatives and biological evaluation as putative anticandidial agents. J. Mol. Struct. 2020. [Google Scholar] [CrossRef]
- Shih, T.L.; Chou, C.E.; Liao, W.Y.; Hsiao, C.A. Copper-mediated trimethylsilyl azide in amination of bromoflavonoids to synthesize unique aminoflavonoids. Tetrahedron 2014. [Google Scholar] [CrossRef]
- Moorthy, N.S.H.N.; Singh, R.J.; Singh, H.P.; Gupta, S.D. Synthesis, biological evaluation and in silico metabolic and toxicity prediction of some flavanone derivatives. Chem. Pharm. Bull. 2006. [Google Scholar] [CrossRef] [PubMed]
- Serifi, O.; Tsopelas, F.; Kypreou, A.M.; Ochsenkühn-Petropoulou, M.; Kefalas, P.; Detsi, A. Antioxidant behaviour of 2′-hydroxy-chalcones: A study of their electrochemical properties. J. Phys. Org. Chem. 2013. [Google Scholar] [CrossRef]
- Sogawa, S.; Nihro, Y.; Ueda, H.; Izumi, A.; Miki, T.; Matsumoto, H.; Satoh, T. 3,4-Dihydroxychalcones as Potent 5-Lipoxygenase and Cyclooxygenase Inhibitors. J. Med. Chem. 1993. [Google Scholar] [CrossRef] [PubMed]
- Huang, X.; Chen, Q.; Sun, Y.; Wang, C.; Liu, Z.; Liu, J.W.Z. Synthesis and Preliminary Antitumor Activities of Aurone Derivatives. Chin. J. Org. Chem. 2013, 33, 2565–2571. [Google Scholar] [CrossRef]
- Velu, S.E.; Wu, H.; Zhang, Q.; Nijampatnam, B. Streptococcus Mutans Glucosyl Transferase Inhibitors for Dental Caries Therapy. U.S. Patent Application No 17/044,483, 2021. [Google Scholar]
- Available online: http://www.biobyte.com/ (accessed on 1 April 2021).
- Nimse, S.B.; Pal, D. Free radicals, natural antioxidants, and their reaction mechanisms. RSC Adv. 2015. [Google Scholar] [CrossRef]
- Poprac, P.; Jomova, K.; Simunkova, M.; Kollar, V.; Rhodes, C.J.; Valko, M. Targeting Free Radicals in Oxidative Stress-Related Human Diseases. Trends Pharmacol. Sci. 2017, 38, 592–607. [Google Scholar] [CrossRef] [PubMed]
- Andrianova, N.V.; Zorov, D.B.; Plotnikov, E.Y. Targeting Inflammation and Oxidative Stress as a Therapy for Ischemic Kidney Injury. Biochemistry 2020, 85, 1591–1602. [Google Scholar] [CrossRef]
- Deligiannidou, G.E.; Papadopoulos, R.E.; Kontogiorgis, C.; Detsi, A.; Bezirtzoglou, E.; Constantinides, T. Unraveling natural products’ role in osteoarthritis management—an overview. Antioxidants 2020, 9, 348. [Google Scholar] [CrossRef]
- Ramos-Tovar, E.; Muriel, P. Molecular Mechanisms That Link Oxidative Stress, Inflammation, and Fibrosis in the Liver. Antioxidants 2020, 9, 1271. [Google Scholar] [CrossRef] [PubMed]
- Arulselvan, P.; Fard, M.T.; Tan, W.S.; Gothai, S.; Fakurazi, S.; Norhaizan, M.E.; Kumar, S.S. Role of Antioxidants and Natural Products in Inflammation. Oxid. Med. Cell. Longev. 2016, 1–15. [Google Scholar] [CrossRef]
- Flohe, L.; Beckmann, R.; Giertz, H.; Loschen, G. 17-Oxygen-centered free radicals as mediators of inflammation. Oxidative Stress 1985, 403–436. [Google Scholar] [CrossRef]
- Kulisic, T.; Radonic, A.; Katalinic, V.; Milos, M. Use of different methods for testing antioxidative activity of oregano essential oil. Food Chem. 2004. [Google Scholar] [CrossRef]
- Hadjipavlou-Litina, D.; Garnelis, T.; Athanassopoulos, C.M.; Papaioannou, D. Kukoamine A analogs with lipoxygenase inhibitory activity. J. Enzyme Inhib. Med. Chem. 2009, 24, 1188–1193. [Google Scholar] [CrossRef]
- Minor, W.; Bolin, J.T.; Steczko, J.; Axelrod, B.; Otwinowski, Z. Crystallographic Determination of the Active Site Iron and Its Ligands in Soybean Lipoxygenase L-1. Biochemistry 1993. [Google Scholar] [CrossRef]
- Skrzypczak-Jankun, E.; Amzel, L.M.; Kroa, B.A.; Funk, M.O. Structure of soybean lipoxygenase L3 and a comparison with its L1 isoenzyme. Proteins Struct. Funct. Genet. 1997. [Google Scholar] [CrossRef]
- Taraporewala, I.B.; Kauffman, J.M. Synthesis and structure–activity relationships of anti-inflammatory 9, 10-dihydro-9-oxo-2-acridine-alkanoic acids and 4-(2-carboxyphenyl) aminobenzenealkanoic acids. J. Pharm. Sci. 1990, 79, 173–178. [Google Scholar] [CrossRef]
- Pontiki, E.; Hadjipavlou-Litina, D. Multi-target cinnamic acids for oxidative stress and inflammation: Design, synthesis, biological evaluation and modeling studies. Molecules 2019, 24, 12. [Google Scholar] [CrossRef] [PubMed]
- Kontogiorgis, C.; Hadjipavlou-Litina, D. Biological evaluation of several coumarin derivatives designed as possible anti-inflammatory/antioxidant agents. J. Enzyme Inhib. Med. Chem. 2003, 18, 63–69. [Google Scholar] [CrossRef]
- Kostopoulou, I.; Diassakou, A.; Kavetsou, E.; Kritsi, E.; Zoumpoulakis, P.; Pontiki, E.; Hadjipavlou-Litina, D.; Detsi, A. Novel quinolinone–pyrazoline hybrids: Synthesis and evaluation of antioxidant and lipoxygenase inhibitory activity. Mol. Divers. 2020. [Google Scholar] [CrossRef] [PubMed]
- Schrödinger Release 2017-2: SiteMap; Schrödinger, LLC: New York, NY, USA, 2017.
- Halgren, T.A. Identifying and characterizing binding sites and assessing druggability. J. Chem. Inf. Model. 2009. [Google Scholar] [CrossRef]
- Halgren, T. New method for fast and accurate binding-site identification and analysis. Chem. Biol. Drug Des. 2007. [Google Scholar] [CrossRef] [PubMed]
- Newcomer, M.E.; Brash, A.R. The structural basis for specificity in lipoxygenase catalysis. Protein Sci. 2015, 24, 298–309. [Google Scholar] [CrossRef]
- Mavridis, E.; Bermperoglou, E.; Pontiki, E.; Hadjipavlou-Litina, D. 5-(4H)-oxazolones and their benzamides as potential bioactive small molecules. Molecules 2020, 24, 3173. [Google Scholar] [CrossRef]
- Roh, K.; Lee, J.H.; Kang, H.; Park, K.W.; Song, Y.; Lee, S.; Ku, J.M. Synthesis and evaluation of butein derivatives for in vitro and in vivo inflammatory response suppression in lymphedema. Eur. J. Med. Chem. 2020. [Google Scholar] [CrossRef]
- Rahim, M.A.; Bhuiayan, M.M.H.; Matin, M.M. Microwave Assisted Efficient Synthesis of Some Flavones for Antimicrobial and ADMET Studies. J. Sci. Res. 2020. [Google Scholar] [CrossRef]
- Pontiki, E.; Hadjipavlou-Litina, D.; Litinas, K.; Nicolotti, O.; Carotti, A. Design, synthesis and pharmacobiological evaluation of novel acrylic acid derivatives acting as lipoxygenase and cyclooxygenase-1 inhibitors with antioxidant and anti-inflammatory activities. Eur. J. Med. Chem. 2011. [Google Scholar] [CrossRef] [PubMed]
- Schrödinger Release 2017-2: LigPrep; Schrödinger, LLC: New York, NY, USA, 2017.
- Sherman, W.; Day, T.; Jacobson, M.P.; Friesner, R.A.; Farid, R. Novel procedure for modeling ligand/receptor induced fit effects. J. Med. Chem. 2006, 49, 534–553. [Google Scholar] [CrossRef] [PubMed]
- Schrödinger Release 2017-2: Protein Preparation Wizard; Epik; Schrödinger, LLC: New York, NY, USA; Impact, Schrödinger, LLC: New York, NY, USA; Prime, Schrödinger, LLC: New York, NY, USA, 2016.
- Madhavi Sastry, G.; Adzhigirey, M.; Day, T.; Annabhimoju, R.; Sherman, W. Protein and ligand preparation: Parameters, protocols, and influence on virtual screening enrichments. J. Comput. Aided. Mol. Des. 2013. [Google Scholar] [CrossRef] [PubMed]
- Schrödinger Release 2020-3: Desmond Molecular Dynamics System; D.E. Shaw Research, Maestro-Desmond Interoperability Tools; Schrödinger: New York, NY, USA, 2020.






![]() Generic Chalcone Structure | |||||||
| Compound | R1 | R2 | R3 | R4 | R5 | R6 | R7 |
| 3a | H | OMOM | H | H | OMOM | OMOM | H |
| 3b | H | H | H | OCH3 | H | OCH3 | OCH3 |
| 3c | H | OMOM | H | OCH3 | H | OCH3 | OCH3 |
| 3d | H | H | Cl | H | OCH3 | OCH3 | H |
| 3e | H | H | Cl | OCH3 | OCH3 | H | H |
| 3f | H | H | Br | H | OCH3 | OCH3 | H |
| 3g | Br | H | Br | H | OCH3 | OCH3 | H |
| 3h | H | H | Br | H | OMOM | OMOM | H |
| 3i | Br | H | Br | H | OMOM | OMOM | H |
| 3j | H | H | H | H | H | COOH | H |
| 3k | H | H | Cl | H | H | COOH | H |
| 3l | H | H | H | H | H | H | H |
| 4a | H | OH | H | H | OH | OH | H |
| 4b | H | H | Br | H | OH | OH | H |
| 5 | H | H | H | H | H | COOCH3 | H |
![]() Generic Aurone Structure | |||||||
| Compound | R1 | R2 | R3 | R4 | R5 | R6 | R7 |
| 6a | H | H | OMOM | H | OMOM | OMOM | H |
| 6b | H | H | H | OCH3 | H | OCH3 | OCH3 |
| 7a | H | H | OH | H | OH | OH | H |
| 7b | H | H | H | OH | H | OH | OH |
| Compound | Interaction with the Free Radical DPPH (%) | Inhibition of Lipid Peroxidation of Linoleic Acid Induced by AAPH Radical (%) 100 μM | HO· (%) 100 µM | ABTS+·% 100 µM | |
|---|---|---|---|---|---|
| 100 μM 20 min | 100 μM 60 min | ||||
| 3a | 18.9 | 21.6 | 11.4 | 40 | 93 |
| 3b | no | no | 67.3 | no | 4 |
| 3c | no | 2.3 | 39.4 | * | * |
| 3d | no | no | no | * | * |
| 3e | no | no | 20.0 | * | * |
| 3f | no | no | no | * | * |
| 3g | no | no | 31.0 | * | * |
| 3h | 5.3 | 6.0 | 65.6 | * | * |
| 3i | no | no | 93.0 | * | * |
| 3j | no | no | no | * | * |
| 3k | no | no | no | * | * |
| 3l | no | no | 87.6 | * | * |
| 4a | 95.7 | 95.3 | 24.4 | 68 | 86 |
| 4b | 82.4 | 82.0 | 82.3 | 100 | no |
| 5 | no | no | 100 | * | * |
| 6a | no | no | 18.5 | 43 | 86 |
| 6b | no | no | 29.4 | no | 64 |
| 7a | 89.0 | 91.2 | 53.2 | no | 71 |
| 7b | 100 | 100 | 13.4 | 77 | no |
| NDGA | 87.0 | 93.0 | * | * | * |
| Trolox | 93.0 | 93.6 | 92.0 | 82 | 93 |
| Compound | Interaction with the Free Radical DPPH (%) | |||
|---|---|---|---|---|
| 0 min | 3 min | 6 min | 9 min | |
| 4a | 95.4 | 95.4 | 94.9 | 95.4 |
| 4b | 100 | 100 | 100 | 100 |
| 7a | 92.3 | 94.4 | 94.9 | 94.9 |
| 7b | 98.2 | 99.3 | 99.5 | 99.8 |
| Compound | Inhibition of Lipid Peroxidation of Linoleic Acid Induced by AAPH Radical (%) | |||
|---|---|---|---|---|
| 0 min | 3 min | 6 min | 9 min | |
| 3i | 95.6 | 98.6 | 96.9 | 99.2 |
| 3l | 87.6 | 93.2 | 95.7 | 94.3 |
| 4b | 81.8 | 82.6 | 82.5 | 81.5 |
| 5 | 95.4 | 96.9 | 92.5 | 98.9 |
| Compound | Inhibition of Soybean Lipoxygenase 100 μM (%) or IC50 μM | ClogP $ |
|---|---|---|
| 3a | (40.2% at 100 μΜ) # | 2.30 |
| 3b | IC50 = 75 μM | 3.48 |
| 3c | IC50 = 45 μM | 3.08 |
| 3d | (32.0% at 100 μΜ) # | 4.49 |
| 3e | IC50 = 100 μM | 4.69 |
| 3f | (28.0% at 100 μΜ) # | 4.64 |
| 3g | IC50 = 68.5 μM | 5.33 |
| 3h | IC50 = 55.0 μM | 3.86 |
| 3i | IC50 = 67.5 μM | 4.54 |
| 3j | IC50 = 100 μM | 3.77 |
| 3k | IC50 = 67.5 μM | 4.00 |
| 3l | IC50 = 100 μM | 3.42 |
| 4a | (39.3% at 100 μΜ) # | 1.65 |
| 4b | IC50 = 70.0 μM | 3.14 |
| 5 | IC50 = 100 μM | 3.39 |
| 6a | (24.4% at 100 μΜ) # | 1.72 |
| 6b | (13.0% at 100 μΜ) # | 2.96 |
| 7a | (24.5% at 100 μΜ) # | 1.97 |
| 7b | no | 1.31 |
| NDGA | IC50 = 0.45 μΜ | 3.92 |
Publisher’s Note: MDPI stays neutral with regard to jurisdictional claims in published maps and institutional affiliations. |
© 2021 by the authors. Licensee MDPI, Basel, Switzerland. This article is an open access article distributed under the terms and conditions of the Creative Commons Attribution (CC BY) license (https://creativecommons.org/licenses/by/4.0/).
Share and Cite
Kostopoulou, I.; Tzani, A.; Polyzos, N.-I.; Karadendrou, M.-A.; Kritsi, E.; Pontiki, E.; Liargkova, T.; Hadjipavlou-Litina, D.; Zoumpoulakis, P.; Detsi, A. Exploring the 2′-Hydroxy-Chalcone Framework for the Development of Dual Antioxidant and Soybean Lipoxygenase Inhibitory Agents. Molecules 2021, 26, 2777. https://doi.org/10.3390/molecules26092777
Kostopoulou I, Tzani A, Polyzos N-I, Karadendrou M-A, Kritsi E, Pontiki E, Liargkova T, Hadjipavlou-Litina D, Zoumpoulakis P, Detsi A. Exploring the 2′-Hydroxy-Chalcone Framework for the Development of Dual Antioxidant and Soybean Lipoxygenase Inhibitory Agents. Molecules. 2021; 26(9):2777. https://doi.org/10.3390/molecules26092777
Chicago/Turabian StyleKostopoulou, Ioanna, Andromachi Tzani, Nestor-Ioannis Polyzos, Maria-Anna Karadendrou, Eftichia Kritsi, Eleni Pontiki, Thalia Liargkova, Dimitra Hadjipavlou-Litina, Panagiotis Zoumpoulakis, and Anastasia Detsi. 2021. "Exploring the 2′-Hydroxy-Chalcone Framework for the Development of Dual Antioxidant and Soybean Lipoxygenase Inhibitory Agents" Molecules 26, no. 9: 2777. https://doi.org/10.3390/molecules26092777
APA StyleKostopoulou, I., Tzani, A., Polyzos, N.-I., Karadendrou, M.-A., Kritsi, E., Pontiki, E., Liargkova, T., Hadjipavlou-Litina, D., Zoumpoulakis, P., & Detsi, A. (2021). Exploring the 2′-Hydroxy-Chalcone Framework for the Development of Dual Antioxidant and Soybean Lipoxygenase Inhibitory Agents. Molecules, 26(9), 2777. https://doi.org/10.3390/molecules26092777



