Synthesis of Isothiocyanates Using DMT/NMM/TsO− as a New Desulfurization Reagent
Abstract
1. Introduction
2. Results and Discussion
2.1. Optimizing the Synthesis of Aliphatic Isothiocyanates
2.2. Synthesis of Aliphatic Isothiocyanates 4a–j
2.3. Synthesis of Aromatic Isothiocyanates 7a–j
2.4. Synthesis of Isothiocyanate Derivatives of Natural 9a–j and Unnatural 11a–c Amino Acids
2.5. Determination of the Absolute Configuration Using Circular Dichroism
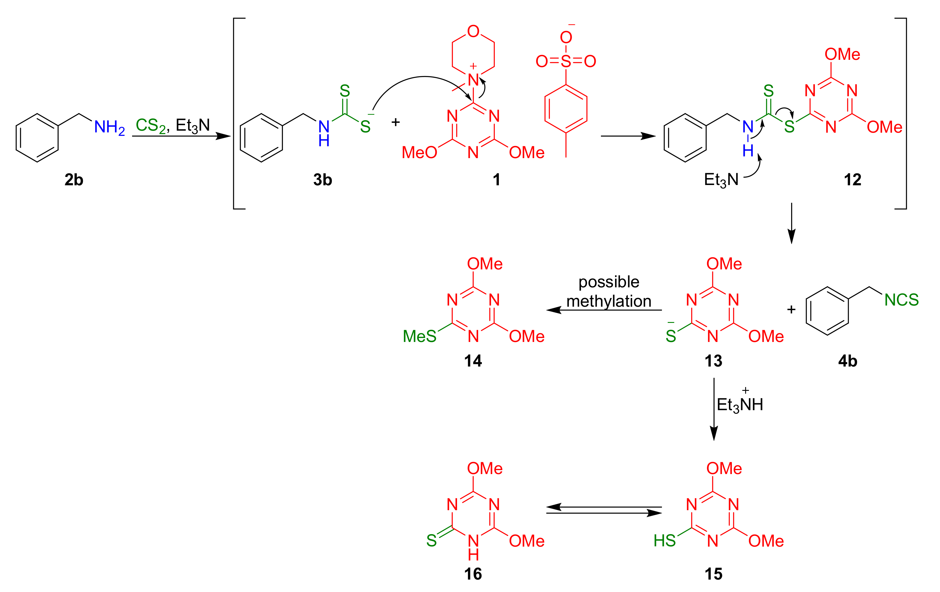
2.6. Proposed Mechanism of Synthesis of ITC Using DMT/NMM/TsO−
2.7. Comparison DMT/NMM/TsO− vs. Selected Desulfurating Agents
2.8. Antibacterial Activity
3. Materials and Methods
3.1. General Information
3.2. General Procedure and Characterization of Compounds 4a–ag
3.2.1. General Procedure for Compounds 4a–j—Method A
3.2.2. General Procedure for Compounds 4a, 4c, 4e, 4g and 4i—Method B
3.2.3. General Procedure for Compounds 7a–j
3.2.4. General Procedure for Compounds 9a–j
3.2.5. General Procedure for Compounds 11a–c
3.2.6. 2,4- dimethoxy-6-methylthio-1,3,5-triazine (14)
3.3. Study of Antimicrobial Activity
4. Conclusions
Supplementary Materials
Author Contributions
Funding
Institutional Review Board Statement
Informed Consent Statement
Data Availability Statement
Acknowledgments
Conflicts of Interest
Sample Availability
References
- Ishida, M.; Hara, M.; Fukino, N.; Kakizaki, T.; Morimitsu, Y. Glucosinolate metabolism, functionality and breeding for the improvement of Brassicaceae vegetables. Breed. Sci. 2014, 64, 48–59. [Google Scholar] [CrossRef]
- Fahey, J.W.; Zalcmann, A.T.; Talalay, P. The chemical diversity and distribution of glucosinolates and isothiocyanates among plants. Phytochemistry 2001, 56, 5–51. [Google Scholar] [CrossRef]
- Hanschen, F.S.; Lamy, E.; Schreiner, M.; Rohn, S. Reactivity and stability of glucosinolates and their breakdown products in foods. Angew. Chem. Int. Ed. 2014, 53, 11430–11450. [Google Scholar] [CrossRef] [PubMed]
- Bell, L.; Wagstaff, C. Glucosinolates, myrosinase hydrolysis products, and flavonols found in rocket (Eruca sativa and Diplotaxis tenuifolia). J. Agric. Food Chem. 2014, 62, 4481–4492. [Google Scholar] [CrossRef] [PubMed]
- Verhoeven, D.T.H.; Verhagen, H.; Goldbohm, R.A.; van den Brandt, P.A.; van Poppel, G. A review of mechanisms underlying anticarcinogenicity by brassica vegetables. Chem. Biol. Interact. 1997, 103, 79–129. [Google Scholar] [CrossRef]
- Bell, L.; Oloyede, O.O.; Lignou, S.; Wagstaff, C.; Methven, L. Taste and flavor perceptions of glucosinolates, isothiocyanates, and related compounds. Mol. Nutr. Food Res. 2018, 62, e1700990. [Google Scholar] [CrossRef] [PubMed]
- Brown, K.K.; Hampton, M.B. Biological targets of isothiocyanates. Biochim. Biophys. Acta 2011, 1810, 888–894. [Google Scholar] [CrossRef]
- Kissen, R.; Rossiter, J.T.; Bones, A.M. The “mustard oil bomb”: Not so easy to assemble?! Localization, expression and distribution of the components of the myrosinase enzyme system. Phytochem. Rev. 2009, 8, 69–86. [Google Scholar] [CrossRef]
- Hecht, S.S. Inhibition of carcinogenesis by isothiocyanates. Drug Metab. Rev. 2000, 32, 395–411. [Google Scholar] [CrossRef]
- Conaway, C.C.; Yang, Y.-M.; Chung, F.-L. Curr. Isothiocyanates as cancer chemopreventive agents: Their biological activities and metabolism in rodents and humans. Drug Metab. 2002, 3, 233–255. [Google Scholar] [CrossRef]
- Zhang, Y. The molecular basis that unifies the metabolism, cellular uptake and chemopreventive activities of dietary isothiocyanates. Carcinogenesis 2012, 33, 2–9. [Google Scholar] [CrossRef]
- Singh, S.V.; Singh, K. Cancer chemoprevention with dietary isothiocyanates mature for clinical translational research. Carcinogenesis 2012, 33, 1833–1842. [Google Scholar] [CrossRef] [PubMed]
- Milelli, A.; Fimognari, C.; Ticchi, N.; Neviani, P.; Minarini, A.; Tumiatti, V. Isothiocyanate synthetic analogs: Biological activities, structure-activity relationships and synthetic strategies. Mini Rev. Med. Chem. 2014, 14, 963–977. [Google Scholar] [CrossRef]
- Kumar, G.; Tuli, H.S.; Mittal, S.; Shandilya, J.K.; Tiwari, A.; Sandhu, S.S. Isothiocyanates: A class of bioactive metabolites with chemopreventive potential. Tumor Biol. 2015, 36, 4005–4016. [Google Scholar] [CrossRef]
- Gründemann, C.; Huber, R. Chemoprevention with isothiocyanates—From bench to bedside. Cancer Lett. 2018, 414, 26–33. [Google Scholar] [CrossRef] [PubMed]
- Zhang, Y.; Talalay, P.; Cho, C.G.; Posner, G.H. A major inducer of anticarcinogenic protective enzymes from broccoli: Isolation and elucidation of structure. Proc. Natl. Acad. Sci. USA 1992, 89, 2399–2403. [Google Scholar] [CrossRef] [PubMed]
- Juge, N.; Mithen, R.F.; Traka, M. Molecular basis for chemoprevention by sulforaphane: A comprehensive review. Cell. Mol. Life Sci. 2007, 64, 1105–1127. [Google Scholar] [CrossRef] [PubMed]
- Tomczyk, J.; Olejnik, A. Sulforaphane–a possible agent in prevention and therapy of cancer. Postepy Hig. Med. Dosw. 2010, 64, 590–603. [Google Scholar]
- Briones-Herrera, A.; Eugenio-Pérez, D.; Reyes-Ocampo, J.G.; Rivera-Mancia, S.; Pedraza-Chaverri, J. New highlights on the health-improving effects of sulforaphane. Food Funct. 2018, 9, 2589–2606. [Google Scholar] [CrossRef]
- Jiang, X.; Liu, Y.; Ma, L.; Ji, R.; Qu, Y.; Xin, Y.; Lv, G. Chemopreventive activity of sulforaphane. Drug Des. Devel. Ther. 2018, 12, 2905–2913. [Google Scholar] [CrossRef]
- Gupta, P.; Wright, S.E.; Kim, S.-H.; Srivastava, S.K. Phenethyl isothiocyanate: A comprehensive review of anti-cancer mechanisms. Biochim. Biophys. Acta 2014, 1846, 405–424. [Google Scholar] [CrossRef] [PubMed]
- Rao, C.V. Benzyl isothiocyanate: Double trouble for breast cancer cells. Cancer Prev. Res. 2013, 6, 760–763. [Google Scholar] [CrossRef]
- Janczewski, Ł.; Psurski, M.; Świtalska, M.; Gajda, A.; Goszczyński, T.M.; Oleksyszyn, J.; Wietrzyk, J.; Gajda, T. Design, synthesis, and evaluation of ω-(isothiocyanato)alkylphosphinates and phosphine oxides as antiproliferative agents. ChemMedChem 2018, 13, 105–115. [Google Scholar] [CrossRef] [PubMed]
- Psurski, M.; Błażewska, K.; Gajda, A.; Gajda, T.; Wietrzyk, J.; Oleksyszyn, J. Synthesis and antiproliferative activity of novel α- and β-dialkoxyphosphoryl isothiocyanates. Bioorg. Med. Chem. Lett. 2011, 21, 4572–4576. [Google Scholar] [CrossRef]
- Kiełbasiński, P.; Łuczak, J.; Cierpiał, T.; Błaszczyk, J.; Sieroń, L.; Wiktorska, K.; Lubelska, K.; Milczarek, M.; Chilmończyk, Z. New enantiomeric fluorine-containing derivatives of sulforaphane: Synthesis, absolute configurations and biological activity. Eur. J. Med. Chem. 2014, 76, 332–342. [Google Scholar] [CrossRef] [PubMed]
- Cierpiał, T.; Kiełbasiński, P.; Kwiatkowska, M.; Łyżwa, P.; Lubelska, K.; Kuran, D.; Dąbrowska, A.; Kruszewska, H.; Mielczarek, L.; Chilmonczyk, Z.; et al. Fluoroaryl analogs of sulforaphane—A group of compounds of anticancer and antimicrobial activity. Bioorg. Chem. 2020, 94, 103454. [Google Scholar] [CrossRef]
- Dufour, V.; Stahl, M.; Baysse, C. The antibacterial properties of isothiocyanates. Microbiology 2015, 161, 229–243. [Google Scholar] [CrossRef]
- Romeo, L.; Iori, R.; Rollin, P.; Bramanti, P.; Mazzon, E. Isothiocyanates: An overview of their antimicrobial activity against human infections. Molecules 2018, 23, 624. [Google Scholar] [CrossRef]
- Ganin, H.; Rayo, J.; Amara, N.; Levy, N.; Krief, P.; Meijler, M.M. Sulforaphane and erucin, natural isothiocyanates from broccoli, inhibit bacterial quorum sensing. Med. Chem. Commun. 2013, 4, 175–179. [Google Scholar] [CrossRef]
- Janczewski, Ł.; Burchacka, E.; Psurski, M.; Ciekot, J.; Gajda, A.; Gajda, T. New diaryl ω-(isothiocyanato)alkylphosphonates and their mercapturic acids as potential antibacterial agents. Life Sci. 2019, 219, 264–271. [Google Scholar] [CrossRef]
- Kurepina, N.; Kreiswirth, B.N.; Mustaev, A. Growth-inhibitory activity of natural and synthetic isothiocyanates against representative human microbial pathogens. J. Appl. Microbiol. 2013, 115, 943–954. [Google Scholar] [CrossRef]
- Nyein, C.M.; Zhong, X.; Lu, J.; Luo, H.; Wang, J.; Rapposelli, S.; Li, M.; Ou-yang, Y.; Pi, R.; He, X. Synthesis and anti-glioblastoma effects of artemisinin-isothiocyanate derivatives. RSC Adv. 2018, 8, 40974–40983. [Google Scholar] [CrossRef]
- Fu, Y.; Mi, L.; Sanda, M.; Silverstein, S.; Aggarwal, M.; Wang, D.; Gupta, P.; Goldman, R.; Appella, D.H.; Chung, F.-L. A click chemistry approach to identify protein targets of cancer chemopreventive phenethyl isothiocyanate. RSC Adv. 2014, 4, 3920–3923. [Google Scholar] [CrossRef]
- Clulow, J.A.; Strock, E.M.; Lanyonn-Hogg, T.; Kalesh, K.A.; Jones, L.H.; Tate, E.W. Competition-based, quantitative chemical proteomics in breast cancer cells identifies new target profiles for sulforaphane. Chem. Commun. 2017, 53, 5182–5185. [Google Scholar] [CrossRef] [PubMed]
- Koutoulogenis, G.; Kaplaneris, N.; Kokotos, C.G. (Thio)urea-mediated synthesis of functionalized six-membered rings with multiple chiral centers. Beilstein J. Org. Chem. 2016, 12, 462–495. [Google Scholar] [CrossRef] [PubMed]
- Varun, B.V.; Sood, A.; Prabhu, K.R. A metal-free and a solvent-free synthesis of thio-amides and amides: An efficient Friedel–Crafts arylation of isothiocyanates and isocyanates. RSC Adv. 2014, 4, 60798–60807. [Google Scholar] [CrossRef]
- Mukerjee, A.K.; Ashare, R. Isothiocyanates in the chemistry of heterocycles. Chem. Rev. 1991, 91, 1–24. [Google Scholar] [CrossRef]
- Vincent-Rocan, J.-F.; Beauchemin, A.M. N-isocyanates, N-isothiocyanates and their masked/blocked derivatives: Synthesis and reactivity. Synthesis 2016, 48, 3625–3645. [Google Scholar]
- Liao, Y.-Y.; Deng, J.-C.; Ke, Y.-P.; Zhong, X.-L.; Xu, L.; Tang, R.-Y.; Zheng, W. Isothiocyanation of amines using the Langlois reagent. Chem. Commun. 2017, 53, 6073–6076. [Google Scholar] [CrossRef]
- Yu, J.; Lin, J.-H.; Xiao, J.-C. Reaction of thiocarbonyl fluoride generated from difluorocarbene with amines. Angew. Chem. Int. Ed. 2017, 56, 16669–16673. [Google Scholar] [CrossRef]
- Scattolin, T.; Klein, A.; Schoenebeck, F. Synthesis of isothiocyanates and unsymmetrical thioureas with the bench-stable solid reagent (Me4N)SCF3. Org. Lett. 2017, 19, 1831–1833. [Google Scholar] [CrossRef]
- Zhen, L.; Fan, H.; Wang, X.; Jiang, L. Synthesis of thiocarbamoyl fluorides and isothiocyanates using CF3SiMe3 and elemental sulfur or AgSCF3 and KBr with amines. Org. Lett. 2019, 21, 2106–2110. [Google Scholar] [CrossRef] [PubMed]
- Feng, W.; Zhang, X.-G. Organophosphine-free copper-catalyzed isothiocyanation of amines with sodium bromodifluoroacetate and sulfur. Chem. Commun. 2019, 55, 1144–1147. [Google Scholar] [CrossRef] [PubMed]
- Santhosh, L.; Durgamma, S.; Shekharappa; Sureshbabu, V.V. Staudinger/aza-Wittig reaction to access Nβ-protected amino alkyl isothiocyanates. Org. Biomol. Chem. 2018, 16, 4874–4880. [Google Scholar] [CrossRef] [PubMed]
- Psurski, M.; Janczewski, Ł.; Świtalska, M.; Gajda, A.; Goszczyński, T.M.; Oleksyszyn, J.; Wietrzyk, J.; Gajda, T. Novel phosphonate analogs of sulforaphane: Synthesis, in vitro and in vivo anticancer activity. Eur. J. Med. Chem. 2017, 132, 63–80. [Google Scholar] [CrossRef]
- Elhalem, E.; Recio, R.; Werner, S.; Lieder, F.; Calderón-Montaño, J.M.; López-Lázaro, M.; Fernández, I.; Khiar, N. Sulforaphane homologues: Enantiodivergent synthesis of both enantiomers, activation of the Nrf2 transcription factor and selective cytotoxic activity. Eur. J. Med. Chem. 2014, 87, 552–563. [Google Scholar] [CrossRef]
- Noshita, T.; Kidachi, Y.; Funayama, H.; Kiyota, K.; Yamaguchi, H.; Ryoyama, K. Anti-nitric oxide production activity of isothiocyanates correlates with their polar surface area rather than their lipophilicity. Eur. J. Med. Chem. 2009, 44, 4931–4936. [Google Scholar] [CrossRef]
- Vermeulen, M.; Zwanenburg, B.; Chittenden, G.J.F.; Verhagen, H. Synthesis of isothiocyanate-derived mercapturic acids. Eur. J. Med. Chem. 2003, 38, 729–737. [Google Scholar] [CrossRef]
- Mays, J.R.; Roska, R.L.W.; Sarfaraz, S.; Mukhtar, H.; Rajski, S.R. Identification, synthesis, and enzymology of non-natural glucosinolatechemopreventive candidates. ChemBioChem 2008, 9, 729–747. [Google Scholar] [CrossRef] [PubMed]
- Posner, G.H.; Cho, C.-G.; Green, J.V.; Zhang, Y.; Talalay, P. Design and synthesis of bifunctional isothiocyanate analogs of sulforaphane: Correlation between structure and potency as inducers of anticarcinogenic detoxication enzymes. J. Med. Chem. 1994, 37, 170–176. [Google Scholar] [CrossRef]
- Gondela, A.; Tomczyk, M.D.; Przypis, Ł.; Walczak, K.Z. Versatile synthesis of 2′-amino-2′-deoxyuridine derivatives with a 2′-amino group carrying linkers possessing a reactive terminal functionality. Tetrahedron 2016, 72, 5626–5632. [Google Scholar] [CrossRef]
- Kim, S.; Yi, K.Y. Di-2-Pyridyl thionocarbonate. A new reagent for the preparation of isothiocyanates and carbodiimides. Tetrahedron Lett. 1985, 26, 1661–1664. [Google Scholar] [CrossRef]
- Larsen, C.; Harpp, D.N. Thiocarbonyl transfer reagent chemistry. 3. Selective displacements with formaldehyde hydrazones and other nucleophiles. J. Org. Chem. 1981, 46, 2465–2466. [Google Scholar] [CrossRef]
- Kim, S.; Yi, K.Y. 1,1’-Thiocarbonyldi-2,2’-pyridone. A new useful reagent for functional group conversions under essentially neutral conditions. J. Org. Chem. 1986, 56, 2613–2615. [Google Scholar] [CrossRef]
- Wong, R.; Dolman, S.J. Isothiocyanates from tosyl chloride mediated decomposition of in situ generated dithiocarbamic acid salts. J. Org. Chem. 2007, 72, 3969–3971. [Google Scholar] [CrossRef]
- Fu, Z.; Yuan, W.; Chen, N.; Yang, Z.; Xu, J. Na2S2O8-mediated efficient synthesis of isothiocyanates from primary amines in water. Green Chem. 2018, 20, 4484–4491. [Google Scholar] [CrossRef]
- Nath, J.; Ghosh, H.; Yella, R.; Patel, B.K. Molecular iodine mediated preparation of isothiocyanates from dithiocarbamic acid salts. Eur. J. Org. Chem. 2009, 1849–1851. [Google Scholar] [CrossRef]
- Chen, X.; Li, Z.; Sun, X.; Ma, H.; Chen, X.; Ren, J.; Hu, K. New method for the synthesis of sulforaphane and related isothiocyanates. Synthesis 2011, 24, 3991–3996. [Google Scholar] [CrossRef]
- Hodgkins, J.E.; Reeves, W.P. The modified kaluza synthesis. III. The synthesis of some aromatic isothiocyanates. J. Org. Chem. 1964, 29, 3098–3099. [Google Scholar] [CrossRef]
- Munch, H.; Hansen, J.S.; Pittelkow, M.; Christensen, J.B.; Boas, U. A new efficient synthesis of isothiocyanates from amines using di-tert-butyl dicarbonate. Tetrahedron Lett. 2008, 49, 3117–3119. [Google Scholar] [CrossRef]
- Sun, N.; Li, B.; Shao, J.; Mo, W.; Hu, B.; Shen, Z.; Hu, X. A general and facile one-pot process of isothiocyanates from amines under aqueous conditions. Beilstein J. Org. Chem. 2012, 8, 61–70. [Google Scholar] [CrossRef]
- Eschliman, K.; Bossmann, S.H. Synthesis of isothiocyanates: An update. Synthesis 2019, 51, 1746–1752. [Google Scholar] [CrossRef]
- Janczewski, Ł.; Gajda, A.; Gajda, T. Direct, microwave-assisted synthesis of isothiocyanates. Eur. J. Org. Chem. 2019, 2528–2532. [Google Scholar] [CrossRef]
- Boas, U.; Gertz, H.; Christensen, J.B.; Heegaard, P.M.H. Facile synthesis of aliphatic isothiocyanates and thioureas on solid phase using peptide coupling reagents. Tetrahedron Lett. 2004, 45, 269–272. [Google Scholar] [CrossRef]
- Liu, S.; Tang, C.; Ho, B.; Ankersen, M.; Stidsen, C.E.; Crider, A.M. Nonpeptide somatostatin agonists with sst4 selectivity: synthesis and structure−activity relationships of thioureas. J. Med. Chem. 1998, 41, 4693–4705. [Google Scholar] [CrossRef] [PubMed]
- Janczewski, Ł.; Gajda, A.; Frankowski, S.; Goszczyński, T.M.; Gajda, T. T3P®–A benign desulfurating reagent in the synthesis of isothiocyanates. Synthesis 2018, 50, 1141–1151. [Google Scholar]
- Fraczyk, J.; Kaminski, Z.J.; Katarzynska, J.; Kolesinska, B. 4-(4,6-Dimethoxy-1,3,5-triazin-2-yl)-4-methylmorpholinium Toluene-4-sulfonate (DMT/NMM/TsO−) universal coupling reagent for synthesis in solution. Helv. Chim. Acta 2018, 101, e1700187. [Google Scholar] [CrossRef]
- Kolesinska, B.; Rozniakowski, K.K.; Fraczyk, J.; Relich, I.; Papini, A.M.; Kaminski, Z.J. The effect of counterion and tertiary amine on the efficiency of N-triazinylammonium sulfonates in solution and solid-phase peptide synthesis. Eur. J. Org. Chem. 2015, 401–408. [Google Scholar] [CrossRef]
- Swiontek, M.; Wasko, J.; Fraczyk, J.; Galecki, K.; Kaminski, Z.J.; Kolesinska, B. Insulin hot-spot analogs formed with N-methylated amino acid residues inhibit aggregation of native hormone. Molecules 2019, 24, 3706. [Google Scholar] [CrossRef] [PubMed]
- Ferrer, P.; Roberts, I.; Sydenham, E.; Blackhall, K.; Shakur, H. Anti-fibrinolytic agents in post-partum haemorrhage: A systematic review. BMC Pregnancy Childbirth 2009, 9, 29. [Google Scholar] [CrossRef] [PubMed]
- Verstraete, M. Clinical application of inhibitors of fibrinolysis. Drugs 1985, 29, 236–261. [Google Scholar] [CrossRef]
- Camarasa, M.A.; Ollé, G.; Serra-Prat, M.; Martín, A.; Sánchez, M.; Ricós, P.; Pérez, A.; Opisso, L. Efficacy of aminocaproic, tranexamic acids in the control of bleeding during total knee replacement: A randomized clinical trial. Br. J. Anaesth. 2006, 96, 576–582. [Google Scholar] [CrossRef] [PubMed]
- McCormack, P.L. Tranexamic acid. A review of its use in the treatment of hyperfibrinolysis. Drug 2012, 72, 585–617. [Google Scholar] [CrossRef] [PubMed]
- Ker, K.; Edwards, P.; Perel, P.; Shakur, H.; Roberts, I. Effect of tranexamic acid on surgical bleeding: Systematic review and cumulative meta-analysis. BMJ 2012, 344, e3054. [Google Scholar] [CrossRef] [PubMed]
- Michalski, O.; Cież, D. Chiral isothiocyanates–an approach to determination of the absolute configuration using circular dichroism measurement. J. Mol. Struct. 2013, 1037, 225–235. [Google Scholar] [CrossRef]
- Gawroński, J.; Kwit, M.; Skowronek, P. Thiourea and isothiocyanate–two useful chromophores for stereochemical studies. A comparison of experiment and computation. Org. Biomol. Chem. 2009, 7, 1562–1572. [Google Scholar] [CrossRef]
- Li, G.; Tajima, H.; Ohtani, T. An improved procedure for the preparation of isothiocyanates from primary amines by using hydrogen peroxide as the dehydrosulfurization reagent. J. Org. Chem. 1997, 62, 4539–4540. [Google Scholar] [CrossRef]
- Freitas, E.; Aires, A.; Augusto de Santos Rosa, E.; Saavedra, J. Antibacterial activity and synergistic effect between watercress extracts, 2-phenylethyl isothiocyanate and antibiotics against 11 isolates of Escherichia coli from clinical and animal source. Lett. Appl. Microbiol. 2013, 57, 266–273. [Google Scholar] [CrossRef]
- Ko, M.-O.; Kim, M.-B.; Lim, S.-B. Relationship between chemical structure and antimicrobial activities of isothiocyanates from cruciferous vegetables against oral pathogens. J. Microbiol. Biotechnol. 2016, 26, 2036–2042. [Google Scholar] [CrossRef]
- Li, Z.-Y.; Ma, H.-Z.; Han, C.; Xi, H.-T.; Meng, Q.; Chen, X.; Sun, X.-Q. Synthesis of isothiocyanates by reaction of amines with phenyl chlorothionoformate via one-pot or two-step process. Synthesis 2013, 45, 1667–1674. [Google Scholar] [CrossRef]
- Minegishi, H.; Futamura, Y.; Fukashiro, S.; Muroi, M.; Kawatani, M.; Osada, H.; Nakamura, H. Methyl 3-((6-Methoxy-1,4-dihydroindeno[1,2-c]pyrazol-3-yl)amino)benzoate (GN39482) as a tubulin polymerization inhibitor identified by morphoBase and ChemProteoBase profiling methods. J. Med. Chem. 2015, 58, 4230–4241. [Google Scholar] [CrossRef] [PubMed]
- Ulatowski, F.; Jurczak, J. Chiral recognition of carboxylates by a static library of thiourea receptors with amino acid arms. J. Org. Chem. 2015, 80, 4235–4243. [Google Scholar] [CrossRef] [PubMed]
- Silvi, M.; Renzi, P.; Rosato, D.; Margarita, C.; Vecchioni, A.; Bordacchini, I.; Morra, D.; Nicolosi, A.; Cari, R.; Sciubba, F.; et al. Enantioselective aza-michael addition of imides by using an integrated strategy involving the synthesis of a family of multifunctional catalysts, usage of multiple catalysis, and rational design of experiment. Chem. Eur. J. 2013, 19, 9973–9978. [Google Scholar] [CrossRef] [PubMed]
- Metzger, A.; Melzig, L.; Despotopoulou, C.; Knochel, P. Pd-Catalyzed cross-coupling of functionalized organozinc reagents with thiomethyl-substituted heterocycles. Org. Lett. 2009, 11, 4228–4231. [Google Scholar] [CrossRef] [PubMed]









![]() | ||||||
|---|---|---|---|---|---|---|
| Entry | MW Conditions | Base (Equiv.) | Solvent | DMT/NMM/TsO− (Equiv.) | Yield (%) b | |
| Time (min) | Temp (°C) | |||||
| 1 c | 3 | 90 | Et3N (4) | DCM | 1.0 | 90 |
| 2 | 3 | 90 | NMM (4) | DCM | 1.0 | 78 |
| 3 | 3 | 90 | DBU (4) | DCM | 1.0 | 69 |
| 4 | 3 | 90 | - | DCM | 1.0 | 51 |
| 5 | 3 | 90 | Et3N (3) | DCM | 1.0 | 92 |
| 6 d | 3 | 90 | Et3N (3) | DCM | 1.3 | 92 |
| 7 | 3 | 90 | Et3N (3) | DCM | 0.7 | 86 |
| 8 | 3 | 90 | Et3N (3) | DCM | 0 | 55 |
| 9 | 3 | 90 | Et3N (3) | H2O | 1.0 | 73 |
| 10 e | 3 | 90 | Et3N (3) | H2O | 1.3 | 89 |
| 11 f,g,h | 30 | rt | Et3N (3) | DCM | 1.0 | 82 |
![]() | |||||
|---|---|---|---|---|---|
| Entry | MW Conditions | Base (Equiv.) | Solvent | DMT/NMM/TsO− (Equiv.) | Yield (%) b |
| Time (min) | |||||
| 1 | 3 | Et3N (3) | DCM | 1.0 | 30 |
| 2 | 3 | DBU (3) | DCM | 1.0 | 71 |
| 3 | 3 | DBU (4) | DCM | 1.0 | 67 |
| 4 | 3 | DBU (4) | DCM | 1.3 | 70 |
| 5 | 10 | DBU (3) | DCM | 1.0 | 67 |
| 6 | 3 | DBU (3) | H2O | 1.3 | 21 |
| Entry | Compound | Absolute Configuration | [α]D (Concentration) |
|---|---|---|---|
| 1 | 4c | R | −18.1 (1.0 CHCl3) |
| 2 | 4d | S | +17.5 (1.0 CHCl3) |
| 3 | 9a | S | +24.1 (0.32 CHCl3) |
| 4 | 9b | R | −23.3 (0.32 CHCl3) |
| 5 | 9c | S | +32.1 (0.31 CHCl3) |
| 6 | 9d | S | +21.4 (0.34 CHCl3) |
| 7 | 9e | S | +16.3 (1.0 EtOH) |
| 8 | 9f | S | −21.7 (0.32 CHCl3) |
| 9 | 9g | S | +23.5 (1.0 EtOH) |
| 10 | 9h | S | −60.0 (1.0 toluene) |
| 11 | 9i | S | −18.2 (0.5 CHCl3) |
![]() | ||
|---|---|---|
| Entry | DesulfuratingAgents | Yields (%) |
| 1 b | DMT/NMM/TsO− | 92 |
| 2 | TCT | 87 |
| 3 | I2 | 86 |
| 4 | Boc2O, DMAPcat. | 84 |
| 5 | T3P® | 83 |
| 6 | TsCl | 81 |
| 7 | Ethyl chloroformate | 78 |
| 8 | H2O2 30% | 75 |
| Entry | Compound (Concentration) | Structure | Growth Inhibition of E. coli (Mean ± DS) | Growth Inhibition of S. aureus (Mean ± DS) |
|---|---|---|---|---|
| 1 | 9a (4 mg/mL, 27 μM) | ![]() | 15.3 ± 0.3 | 16.1 ± 0.4 |
| 2 | 9b (4 mg/mL, 27 μM) | ![]() | 22.0 ± 0.4 | 22.7 ± 0.3 |
| 3 | 9c (4 mg/mL, 18 μM) | ![]() | 22.1 ± 0.1 | 18.4 ± 0.6 |
| 4 | 9d (4 mg/mL, 21 μM) | ![]() | 36.0 ± 0.7 | 25.1 ± 0.3 |
| 5 | 9e (4 mg/mL, 23 μM) | ![]() | 36.2 ± 0.2 | 32.3 ± 0.1 |
| 6 | 9f (4 mg/mL, 21 μM) | ![]() | 18.3 ± 0.3 | 25.2 ± 0.3 |
| 7 | 9g (4 mg/mL, 21 μM) | ![]() | 20.2 ± 0.2 | 17.5 ± 0.3 |
| 8 | 9h (4 mg/mL, 18 μM) | ![]() | 20.1 ± 0.3 | 24.5 ± 0.6 |
| 9 | 9i (4 mg/mL, 16 μM) | ![]() | 29.3 ± 0.1 | 28.3 ± 0.2 |
| 10 | 9j (4 mg/mL, 27 μM) | ![]() | 30.0 ± 0.4 | 32.1 ± 0.1 |
| 11 | 11a (4 mg/mL, 20 μM) | ![]() | 20.1 ± 0.3 | 32.3 ± 0.3 |
| 12 | 11b (4 mg/mL, 18 μM) | ![]() | 24.4 ± 0.6 | 16.3 ± 0.4 |
| 13 | 11c (4 mg/mL, 17 μM) | ![]() | 20.8 ± 0.2 | 15.5 ± 0.2 |
| 15 | Negative control | sterile water | NO | NO |
| 14 | Positive control (20 μg/mL, 0.062 μM) | Chloramphenicol | 36.2 ± 0.2 | 38.8 ± 0.3 |
Publisher’s Note: MDPI stays neutral with regard to jurisdictional claims in published maps and institutional affiliations. |
© 2021 by the authors. Licensee MDPI, Basel, Switzerland. This article is an open access article distributed under the terms and conditions of the Creative Commons Attribution (CC BY) license (https://creativecommons.org/licenses/by/4.0/).
Share and Cite
Janczewski, Ł.; Kręgiel, D.; Kolesińska, B. Synthesis of Isothiocyanates Using DMT/NMM/TsO− as a New Desulfurization Reagent. Molecules 2021, 26, 2740. https://doi.org/10.3390/molecules26092740
Janczewski Ł, Kręgiel D, Kolesińska B. Synthesis of Isothiocyanates Using DMT/NMM/TsO− as a New Desulfurization Reagent. Molecules. 2021; 26(9):2740. https://doi.org/10.3390/molecules26092740
Chicago/Turabian StyleJanczewski, Łukasz, Dorota Kręgiel, and Beata Kolesińska. 2021. "Synthesis of Isothiocyanates Using DMT/NMM/TsO− as a New Desulfurization Reagent" Molecules 26, no. 9: 2740. https://doi.org/10.3390/molecules26092740
APA StyleJanczewski, Ł., Kręgiel, D., & Kolesińska, B. (2021). Synthesis of Isothiocyanates Using DMT/NMM/TsO− as a New Desulfurization Reagent. Molecules, 26(9), 2740. https://doi.org/10.3390/molecules26092740

















