Synthesis and Antibacterial Activity of New Azole, Diazole and Triazole Derivatives Based on p-Aminobenzoic Acid
Abstract
1. Introduction
2. Results
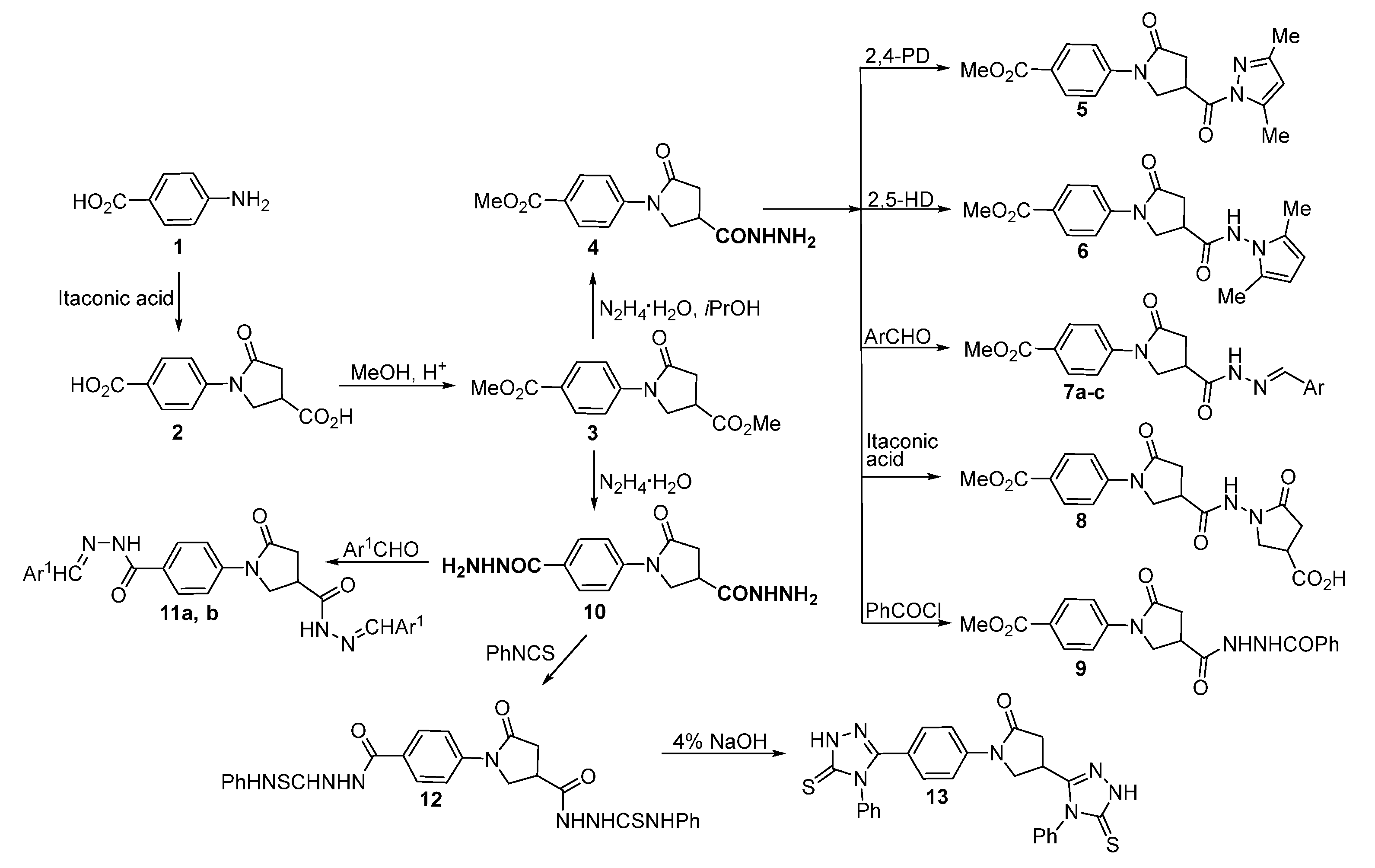
2.1. Synthesis
2.2. The Antimicrobial Activity of the Synthesized Compounds
3. Materials and Methods
3.1. Synthesis
3.2. Determination of Antimicrobial Activity
3.2.1. Preparation of Bacterial Inoculum
3.2.2. Preparation of the Test Compounds
3.2.3. Evaluation of Minimal Inhibitory Concentration
3.2.4. Determination of Minimal Bactericidal Concentration
4. Conclusions
Supplementary Materials
Author Contributions
Funding
Institutional Review Board Statement
Informed Consent Statement
Data Availability Statement
Conflicts of Interest
Sample Availability
References
- Wright, G.D. Bacterial resistance to antibiotics: Enzymatic degradation and modification. Adv. Drug Deliv. Rev. 2005, 57, 1451–1470. [Google Scholar] [CrossRef] [PubMed]
- Horcajada, J.P.; Montero, M.; Oliver, A.; Sorlí, L.; Luque, S.; Gómez-Zorrilla, S.; Benito, N.; Grau, S. Epidemiology and Treatment of Multidrug-Resistant and Extensively Drug-Resistant Pseudomonas aeruginosa Infections. Clin. Microbiol. Rev. 2019, 32, e00031-19. [Google Scholar] [CrossRef] [PubMed]
- Exner, M.; Bhattacharya, S.; Christiansen, B.; Christiansen, B.; Gebel, J.; Goroncy-Bermes, P.; Hartemann, P.; Heeg, P.; Ilschner, C.; Kramer, A.; et al. Antibiotic resistance: What is so special about multidrug-resistant Gram-negative bacteria? GMS Hyg. Infect. Control 2017, 12, Doc05. [Google Scholar] [PubMed]
- European Food Safety Authority; European Centre for Disease Prevention and Control. The European Union summary report on antimicrobial resistance in zoonotic and indicator bacteria from humans, animals and food in 2017. EFSA J. 2019, 17, e05598. [Google Scholar]
- Lee, C.R.; Lee, J.H.; Park, M.; Park, K.W.; Bae, I.K.; Kim, Y.B.; Cha, C.-J.; Jeong, B.C.; Lee, S.H. Biology of Acinetobacter baumannii: Pathogenesis, Antibiotic Resistance Mechanisms, and Prospective Treatment Options. Front. Cell. Infect. Microbiol. 2017, 7, 55. [Google Scholar] [CrossRef]
- Fodor, A.; Abate, B.A.; Deák, P.; Fodor, L.; Gyenge, E.; Klein, M.G.; Koncz, Z.; Muvevi, J.; Ötvös, L.; Székely, G.; et al. Multidrug Resistance (MDR) and Collateral Sensitivity in Bacteria, with Special Attention to Genetic and Evolutionary Aspects and to the Perspectives of Antimicrobial Peptides-A Review. Pathogens 2020, 9, 522. [Google Scholar] [CrossRef]
- Geisinger, E.; Isberg, R.R. Interplay between Antibiotic Resistance and Virulence During Disease Promoted by Multidrug-Resistant Bacteria. J. Infect. Dis. 2017, 215, S9–S17. [Google Scholar] [CrossRef]
- Toutain, P.L.; Bousquet-Mélou, A.; Damborg, P.; Ferran, A.A.; Mevius, D.; Pelligand, L.; Veldman, K.T.; Lees, P. En Route towards European Clinical Breakpoints for Veterinary Antimicrobial Susceptibility Testing: A Position Paper Explaining the VetCAST Approach. Front. Microbiol. 2017, 8, 2344–2357. [Google Scholar] [CrossRef]
- Frosini, S.M.; Bond, R.; McCarthy, A.J.; Feudi, C.; Schwarz, S.; Lindsay, J.A.; Loeffler, A. Genes on the Move: In Vitro Transduction of Antimicrobial Resistance Genes between Human and Canine Staphylococcal Pathogens. Microorganisms 2020, 8, 2031. [Google Scholar] [CrossRef]
- Partridge, S.R.; Kwong, S.M.; Firth, N.; Jensen, S.O. Mobile Genetic Elements Associated with Antimicrobial Resistance. Clin. Microbiol. Rev. 2018, 31, e00088-17–e00088-78. [Google Scholar] [CrossRef]
- Pagano, M.; Martins, A.F.; Barth, A.L. Mobile genetic elements related to carbapenem resistance in Acinetobacter baumannii. Braz. J. Microbiol. 2016, 47, 785–792. [Google Scholar] [CrossRef] [PubMed]
- Bansal, G.; Allen-McFarlane, R.; Eribo, B. Antibiotic Susceptibility, Clonality, and Molecular Characterization of Carbapenem-Resistant Clinical Isolates of Acinetobacter baumannii from Washington DC. Int. J. Microbiol. 2020, 2020, 2120159–2120170. [Google Scholar] [CrossRef] [PubMed]
- Mulani, M.S.; Kamble, E.E.; Kumkar, S.N.; Tawre, M.S.; Pardesi, K.R. Emerging Strategies to Combat ESKAPE Pathogens in the Era of Antimicrobial Resistance: A Review. Front. Microbiol. 2019, 10, 00539–00563. [Google Scholar] [CrossRef] [PubMed]
- Pendleton, J.N.; Gorman, S.P.; Gilmore, B.F. Clinical relevance of the ESKAPE pathogens. Expert. Rev. Anti Infect. Ther. 2013, 11, 297–308. [Google Scholar] [CrossRef] [PubMed]
- De Oliveira, D.M.P.; Forde, B.M.; Kidd, T.J.; Harris, P.N.A.; Schembri, M.A.; Beatson, S.A.; Paterson, D.L.; Walker, M.J. Antimicrobial Resistance in ESKAPE Pathogens. Clin. Microbiol. Rev. 2020, 33, e00181-19. [Google Scholar] [CrossRef] [PubMed]
- Kluczyk, A.; Popek, T.; Kiyota, T.; de Macedo, P.; Stefanowicz, P.; Lazar, C.; Yasuo Konishi, Y. Drug evolution: P-aminobenzoic acid as a building block. Curr. Med. Chem. 2002, 9, 1871–1892. [Google Scholar] [CrossRef]
- Pan, X.; Zheng, Y.; Chen, R.; Qiu, S.; Chen, Z.; Rao, W.; Chen, S.; You, Y.; Lü, J.; Xu, L.; et al. Cocrystal of Sulfamethazine and p-Aminobenzoic Acid: Structural Establishment and Enhanced Antibacterial Properties. Cryst. Growth Des. 2019, 19, 2455–2460. [Google Scholar] [CrossRef]
- Veeravarapu, H.; Tirumalasetty, M.; Kurati, S.P.; Wunnava, U.; Muthyala, M.K.K. Design, synthesis, antimycobacterial activity and molecular docking studies of novel 3- (N-substituted glycinamido) benzoic acid analogues as antitubercular agents. Bioorg. Med. Chem. Lett. 2020, 30, 127603. [Google Scholar] [CrossRef]
- Vasilieva, S. Para-aminobenzoic acid inhibits a set of SOS functions in Escherichia coli K12. Mutat. Res. Genet. Toxicol. Environ. Mutagen. 2001, 496, 89–95. [Google Scholar] [CrossRef]
- Markitantova, Y.V.; Akberova, S.I.; Ryabtseva, A.A.; Stroeva, O.G. The Effect of para-Aminobenzoic Acid on Apoptosis Processes in the Adult Rat Conjunctiva and Corneal Epithelium in vivo after Hypobaric Hypoxia. Biol. Bull. Russ. Acad. Sci. 2018, 45, 226–234. [Google Scholar] [CrossRef]
- Sowinska, M.; Morawiak, M.; Bochyńska-Czyż, M.; Lipkowski, A.W.; Ziemińska, E.; Zabłocka, B.; Urbanczyk-Lipkowska, Z. Molecular Antioxidant Properties and In Vitro Cell Toxicity of the p-Aminobenzoic Acid (PABA) Functionalized Peptide Dendrimers. Biomolecules 2019, 9, 89. [Google Scholar] [CrossRef]
- Akberova, S.I. New biological properties of p-aminobenzoic acid. Biolog. Bull. Russ. Acad. Sci. 2002, 29, 390–393. [Google Scholar] [CrossRef]
- Roden, D. Antiarrhythmic drugs: From mechanisms to clinical practice. Heart 2000, 84, 339–346. [Google Scholar] [CrossRef] [PubMed]
- Pierrel, F.; Hamelin, O.; Douki, T.; Kieffer-Jaquinod, S.; Muhlenhoff, U.; Ozeir, M.; Lill, R.M.; Fontecave, M. Involvement of mitochondrial ferredoxin and para-aminobenzoic acid in yeast coenzyme Q biosynthesis. Chem. Biol. 2010, 17, 449–459. [Google Scholar] [CrossRef]
- Marbois, B.; Xie, L.X.; Choi, S.; Hirano, K.; Hyman, K.; Clarke, C.F. para-Aminobenzoic acid is a precursor in coenzyme Q6 biosynthesis in Saccharomyces cerevisiae. J. Biol. Chem. 2010, 285, 27827–27838. [Google Scholar] [CrossRef] [PubMed]
- Lu, Z.; Kong, X.; Lu, Z.; Xiao, M.; Chen, M.; Zhu, L.; Shen, Y.; Hu, X.; Song, S. Para-Aminobenzoic Acid (PABA) Synthase Enhances Thermotolerance of Mushroom Agaricus bisporus. PLoS ONE 2014, 9, e91298. [Google Scholar] [CrossRef] [PubMed]
- Song, G.C.; Choi, H.K.; Ryu, C.-M. The folate precursor para-aminobenzoic acid elicits induced resistance against Cucumber mosaic virus and Xanthomonas axonopodis. Ann. Bot. 2013, 111, 925–934. [Google Scholar] [CrossRef] [PubMed]
- Martinez, F.; Tolentino, L.E.; Campos, M.E. Design of Compounds Derivatives from P-Amino Benzoic Acid as Inhibitor Cyclophilin a Theoretical Study. Free Radic. Biol. Med. 2013, 65, S40. [Google Scholar] [CrossRef]
- Okey, N.C.; Obasi, N.L.; Ejikeme, P.M.; Ndinteh, D.T.; Ramasami, P.; Sherif, E.-S.M.; Akpan, E.D.; Ebenso, E.E. Evaluation of some amino benzoic acid and 4-aminoantipyrine derived Schiff bases as corrosion inhibitors for mild steel in acidic medium: Synthesis, experimental and computational studies. J. Mol. Liq. 2020, 315, 113773. [Google Scholar] [CrossRef]
- Naushad, M.; Alqadami, A.A.; Al-Kahtani, A.A.; Ahamad, T.; Awual, M.R.; Tatarchuk, T. Adsorption of textile dye using para-aminobenzoic acid modified activated carbon: Kinetic and equilibrium studies. J. Mol. Liq. 2019, 296, 112075. [Google Scholar] [CrossRef]
- Liu, J.; Zhang, H.-R.; Lin, X.-R.; Yan, S.-J.; Lin, J. Catalyst-free cascade reaction of heterocyclic ketene aminals with N-substituted maleimide to synthesise bicyclic pyrrolidinone derivatives. RSC Adv. 2014, 4, 27582–27590. [Google Scholar] [CrossRef]
- Tumosienė, I.; Kantminienė, K.; Jonuškienė, I.; Peleckis, A.; Belyakov, S.; Mickevičius, V. Synthesis of 1-(5-Chloro-2-hydroxyphenyl)-5-oxopyrrolidine-3-carboxylic Acid Derivatives and their antioxidant activity. Molecules 2019, 24, 971. [Google Scholar] [CrossRef] [PubMed]
- Yoshie, O.; Matsushima, K. CCR4 and its ligands: From bench to bedside. Int. Immunol. 2015, 27, 11–20. [Google Scholar] [CrossRef]
- He, X.; Alian, A.; Stroud, R.; Ortiz de Montellano, P.R. Pyrrolidine carboxamides as a novel class of inhibitors of enoyl acyl carrier protein reductase from Mycobacterium tuberculosis. J. Med. Chem. 2006, 49, 6308–6323. [Google Scholar] [CrossRef]
- Gein, V.L.; Armisheva, M.N.; Rassudikhina, N.A.; Vakhrin, M.I.; Voronina, E.V. Synthesis and antimicrobial activity of 1-(4-hydroxyphenyl)-4-acyl-5-aryl-3-hydroxy-3-pyrrolin-2-ones. Pharm. Chem. J. 2011, 45, 162–164. [Google Scholar] [CrossRef]
- Wang, W.; Zhang, L.; Wang, S.; Shi, S.; Jiang, Y.; Li, N.; Tu, P. 8-C N-ethyl-2-pyrrolidinone substituted flavan-3-ols as the marker compounds of Chinese dark teas formed in the post-fermentation process provide significant antioxidative activity. Food Chem. 2014, 152, 539–545. [Google Scholar] [CrossRef] [PubMed]
- Geng, Y.; Wang, X.; Yang, L.; Sun, H.; Wang, Y.; Zhao, Y.; She, R.; Wang, M.-X.; Wang, D.-X.; Tang, J. Antitumor Activity of a 5-Hydroxy-1H-Pyrrol-2-(5H)-One-Based Synthetic Small Molecule In Vitro and In Vivo. PLoS ONE 2015, 10, e0128928. [Google Scholar] [CrossRef]
- Moutevelis-Minakakis, P.; Papavassilopoulou, E.; Michas, G.; Georgikopoulou, K.; Ragoussi, M.-E.; Neophytou, N.; Zoumpoulakis, P.; Mavromoustakos, T.; Hadjipavlou-Litina, D. Synthesis, in silico docking experiments of new 2-pyrrolidinone derivatives and study of their anti-inflammatory activity. Bioorg. Med. Chem. 2011, 19, 2888–2902. [Google Scholar] [CrossRef]
- Vaškevičienė, I.; Paketurytė, V.; Pajanok, N.; Žukauskas, Š.; Sapijanskaitė, B.; Kantminienė, K.; Mickevičius, V.; Zubrienė, A.; Matulis, D. Pyrrolidinone-bearing methylated and halogenated benzenesulfonamides as inhibitors of carbonic anhydrases. Bioorg. Med. Chem. 2019, 27, 322–337. [Google Scholar] [CrossRef]
- Balandis, B.; Ivanauskaitė, G.; Smirnovienė, J.; Kantminienė, K.; Matulis, D.; Mickevičius, V.; Zubrienė, A. Synthesis and structure-affinity relationship of chlorinated pyrrolidinone-bearing benzenesulfonamides as human carbonic anhydrase inhibitors. Bioorg. Chem. 2020, 97, 103658. [Google Scholar] [CrossRef]
- Gaba, M.; Singh, S.; Mohan, C. Benzimidazole: An emerging scaffold for analgesic and anti-inflammatory agents. Eur. J. Med. Chem. 2014, 76, 494–505. [Google Scholar] [CrossRef] [PubMed]
- Shin, J.M.; Sache, G.; Cho, Y.M.; Garst, M. 1-Arylsulfonyl-2-(Pyridylmethylsulfinyl) Benzimidazoles as New Proton Pump Inhibitor Prodrugs. Molecules 2009, 14, 5247–5280. [Google Scholar] [CrossRef] [PubMed]
- Shinde, V.S.; Lawande, P.P.; Sontakke, V.A.; Khan, A. Synthesis of benzimidazole nucleosides and their anticancer activity, Carbohydr. Res. 2020, 498, 108178. [Google Scholar]
- Beltran-Hortelano, I.; Alcolea, V.; Font, M.; Pérez-Silanes, S. The role of imidazole and benzimidazole heterocycles in Chagas disease: A review. Eur. J. Med. Chem. 2020, 206, 112692. [Google Scholar] [CrossRef] [PubMed]
- Li, Y.; Zhou, X.; Wu, H.; Yu, Z.; Li, H.; Yang, S. Nanospheric heterogeneous acid-enabled direct upgrading of biomass feedstocks to novel benzimidazoles with potent antibacterial activities. Ind. Crops Prod. 2020, 150, 112406. [Google Scholar] [CrossRef]
- Tumosienė, I.; Peleckis, A.; Jonuškienė, I.; Vaickelionienė, R.; Kantminienė, K.; Šiugždaitė, J.; Beresnevičius, Z.J.; Mickevičius, V. Synthesis of novel 1,2- and 2-substituted benzimidazoles with high antibacterial and antioxidant activity. Monatsh. Chem. 2018, 149, 577–594. [Google Scholar] [CrossRef]
- Strelciunaite, V.; Anusevicius, K.; Tumosiene, I.; Siugzdaite, J.; Jonuskiene, I.; Ramanauskaite, I.; Mickevicius, V. Synthesis of novel benzimidazoles 2-functionalized with pyrrolidinone and γ-amino acid with a high antibacterial activity. Heterocycles 2016, 92, 235–251. [Google Scholar] [CrossRef]
- Bhrigu, B.; Siddiqui, N.; Pathak, D.; Alam, S.M.; Ali, R.; Azad, B. Anticonvulsant evaluation of some newer benzimidazole derivatives: Design and synthesis. Acta Pol. Pharm. 2012, 69, 53–62. [Google Scholar]
- Karadayi, F.Z.; Yaman, M.; Kisla, M.M.; Keskus, A.G.; Konu, O.; Ates-Alagoz, Z. Design, synthesis and anticancer/antiestrogenic activities of novel indole-benzimidazoles. Bioorg. Chem. 2020, 100, 103929. [Google Scholar] [CrossRef] [PubMed]
- Singla, R.; Gupta, K.B.; Upadhyay, S.; Dhiman, M. Design, synthesis and biological evaluation of novel indole-benzimidazole hybrids targeting estrogen receptor alpha (ER-α). Eur. J. Med. Chem. 2018, 146, 206–219. [Google Scholar] [CrossRef] [PubMed]
- Wu, Z.; Xia, M.-B.; Bertsetseg, D.; Wang, Y.-H.; Bao, X.-L.; Zhu, W.-B.; Tao, X.; Chen, P.-R.; Tang, H.-S.; Yan, Y.-J.; et al. Design, synthesis and biological evaluation of novel fluoro-substituted benzimidazole derivatives with anti-hypertension activities. Bioorg. Chem. 2020, 101, 104042. [Google Scholar] [CrossRef] [PubMed]
- Sallam, M.A.E.; Salem, D.M.S.A.; Labib, G.M.H.; Youssef, T.N.M.A.; Matsuo, K. Studies on saccharide benzimidazoles: 2-(β-d-gulofuranosyl)benzimidazole and 2-(β-d-glucofuranosyl)benzimidazole C-nucleoside analogs; synthesis, anomeric configuration and antifouling potency. Carbohydr. Res. 2020, 496, 108073. [Google Scholar] [CrossRef] [PubMed]
- Chahkandi, M.; Bhatti, M.H.; Yunus, U.; Nadeem, M.; Rehman, N.; Tahir, M.N. Crystalline network study of new N-phthaloyl-β-Alanine with benzimidazole, cocrystal: Computational consideration & free radical scavenging activity. J. Mol. Struct. 2019, 1191, 225–236. [Google Scholar]
- De la Torre, S.M.-D.; Vázquez, C.; González-Chávez, Z.; Yépez-Mulia, L.; Nieto-Meneses, R.; Jasso-Chávez, R.; Saavedra, E. Synthesis and biological evaluation of 2-methyl-1H-benzimidazole-5-carbohydrazides derivatives as modifiers of redox homeostasis of Trypanosoma cruzi. Bioorg. Med. Chem. Lett. 2017, 27, 3403–3407. [Google Scholar] [CrossRef] [PubMed]
- Ozadali-Sari, K.; Küçükkılınç, T.T.; Ayazgok, B.; Balkan, A.; Unsal-Tan, O. Novel multi-targeted agents for Alzheimer’s disease: Synthesis, biological evaluation, and molecular modeling of novel 2-[4-(4-substitutedpiperazin-1-yl) phenyl] benzimidazoles. Bioorg. Chem. 2017, 72, 208–214. [Google Scholar] [CrossRef] [PubMed]
- Wang, Y.-T.; Qin, Y.-J.; Yang, N.; Zhang, Y.-L.; Liu, C.-H.; Zhu, H.-L. Synthesis, biological evaluation, and molecular docking studies of novel 1-benzene acyl-2-(1-methylindol-3-yl)-benzimidazole derivatives as potential tubulin polymerization inhibitors. Eur. J. Med. Chem. 2015, 99, 125–137. [Google Scholar] [CrossRef]
- Hauel, N.H.; Nar, H.; Priepke, H.; Ries, U.; Stassen, J.M.; Wienen, W. Structure-based design of novel potent nonpeptide thrombin inhibitors. J. Med. Chem. 2002, 45, 1757–1766. [Google Scholar] [CrossRef] [PubMed]
- Menteşe, E.; Bektaş, H.; Sokmen, B.B.; Emirik, M.; Çakır, D.; Kahveci, B. Synthesis and molecular docking study of some 5,6-dichloro-2-cyclopropyl-1H-benzimidazole derivatives bearing triazole, oxadiazole, and imine functionalities as potent inhibitors of urease. Bioorg. Med. Chem. Lett. 2017, 13, 3014–3018. [Google Scholar] [CrossRef]
- Toro, P.; Klahn, A.H.; Pradines, B.; Lahoz, F.; Pascual, A.; Biot, C.; Arancibia, R. Organometallic benzimidazoles: Synthesis, characterization and antimalarial activity. Inorg. Chem. Commun. 2013, 35, 126–129. [Google Scholar] [CrossRef]
- Rao, A.; Chimirri, A.; Clercq, E.D.; Monforte, A.M.; Monforte, P.; Pannecouque, C.; Zappala, M. Synthesis and anti-HIV activity of 1-(2,6-difluorophenyl)-1H,3H-thiazolo[3,4-a]benzimidazole structurally-related 1,2-substituted benzimidazoles. IL Farm. 2002, 57, 819–823. [Google Scholar] [CrossRef]
- Liao, L.; Jiang, C.; Chen, J.; Shi, J.; Li, X.; Wang, Y.; Wen, J.; Zhou, S.; Liang, J.; Lao, Y.; et al. Synthesis and biological evaluation of 1,2,4-triazole derivatives as potential neuroprotectant against ischemic brain injury. Eur. J. Med. Chem. 2020, 190, 112114. [Google Scholar] [CrossRef] [PubMed]
- Groll, A.H.; Walsh, T.J. Antifungal chemotherapy: Advances and perspectives. Swiss Med. Wkl. 2002, 132, 303–311. [Google Scholar]
- Xu, Z.; Zhao, S.-J.; Liu, Y. 1,2,3-Triazole-containing hybrids as potential anticancer agents: Current developments, action mechanisms and structure-activity relationships. Eur. J. Med. Chem. 2019, 183, 111700–111713. [Google Scholar] [CrossRef]
- Agisho, H.A.; Esatu, H.; Hairat, S.; Zaki, M. TBHP/TBAI–Mediated simple and efficient synthesis of 3,5-disubstituted and 1,3,5-trisubstituted 1H-1,2,4-triazoles via oxidative decarbonylation of aromatic aldehydes and testing for antibacterial activities. Tetrahedron Lett. 2020, 61, 151989. [Google Scholar] [CrossRef]
- Mazur, I.; Belenichev, I.; Kucherenko, L.; Bukhtiyarova, N.; Khromylova, O.; Bidnenko, O.; Gorchakova, N. Antihypertensive and cardioprotective effects of new compound 1-(β-phenylethyl)-4-amino-1,2,4-triazolium bromide (Hypertril). Eur. J. Pharm. 2019, 853, 336–344. [Google Scholar] [CrossRef] [PubMed]
- Cao, X.; Wang, W.; Wang, S.; Bao, L. Asymmetric synthesis of novel triazole derivatives and their in vitro antiviral activity and mechanism of action. Eur. J. Med. Chem. 2017, 139, 718–725. [Google Scholar] [CrossRef]
- Kaproń, B.; Łuszczki, J.J.; Płazińska, A.; Siwek, A.; Karcz, T.; Gryboś, A.; Nowak, G.; Makuch-Kocka, A.; Walczak, K.; Langner, E.; et al. Development of the 1,2,4-triazole-based anticonvulsant drug candidates acting on the voltage-gated sodium channels. Insights from in-vivo, in-vitro, and in-silico studies. Eur. J. Pharm. Sci. 2019, 129, 42–57. [Google Scholar] [CrossRef]
- Zhou, C.-H.; Wang, Y. Recent researches in triazole compounds as medicinal drugs. Curr. Med. Chem. 2012, 19, 239–280. [Google Scholar] [CrossRef]
- Peyton, L.R.; Gallagher, S.; Hashemzadeh, M. Triazole antifungals: A review. Drugs Today 2015, 51, 705–718. [Google Scholar]
- Timur, İ.; Kocyigit, Ü.M.; Dastan, T.; Sandal, S.; Ceribası, A.O.; Taslimi, P.; Gulcin, İ.; Koparir, M.; Karatepe, M.; Çiftçi, M.J. In vitro cytotoxic and in vivo antitumoral activities of some aminomethyl derivatives of 2,4-dihydro-3H-1,2,4-triazole-3-thiones—Evaluation of their acetylcholinesterase and carbonic anhydrase enzymes inhibition profiles. Biochem. Mol. Toxicol. 2019, 33, 22239–22250. [Google Scholar] [CrossRef]
- Acharya, P.T.; Bhavsar, Z.A.; Jethava, D.J.; Patel, D.B.; Patel, H.D. A review on development of bio-active thiosemicarbazide derivatives: Recent advances. J. Mol. Struct. 2021, 1226, 129268. [Google Scholar] [CrossRef]
- Paytash, P.L.; Sparrow, E.; Gathe, J.C. The reaction of itaconic acid with primary amines. J. Am. Chem. Soc. 1950, 72, 1415–1416. [Google Scholar] [CrossRef]
- Brokaite, K.; Mickevicius, V.; Mikulskiene, G. Synthesis and structural investigation of some 1,4-disubstituted-2-pyrrolidinones. ARKIVOC 2006, 2, 61–67. [Google Scholar] [CrossRef]
- Menteşe, E.; Sökmen, B.B. Synthesis and in vitro urease inhibition of some novel benzimidazole-based hydrazones. J. Heterocycl. Chem. 2019, 56, 2442–2448. [Google Scholar] [CrossRef]
- Balouiri, M.; Sadiki, M.; Ibnsouda, S.K. Methods for in vitro evaluating antimicrobial activity: A review. J. Pharm. Anal. 2016, 6, 71–79. [Google Scholar] [CrossRef] [PubMed]
- Parvekar, P.; Palaskar, J.; Metgud, S.; Maria, R.; Dutta, S. The minimum inhibitory concentration (MIC) and minimum bactericidal concentration (MBC) of silver nanoparticles against Staphylococcus aureus. Biomater. Investig. Dent. 2020, 7, 105–109. [Google Scholar] [CrossRef]



| Entry | Reagent | Solvent/ Catalyst | Temperature, °C | Time, h | Yield, % |
|---|---|---|---|---|---|
| 1 | Benzene-1,2- diamine | - | 170; 230 | 2; 0.5 | 51 |
| 2 | 15% HCl | Reflux | 96 | 8 | |
| 3 | - | MW, 140 W | 0.25 | 40 | |
| 4 | 2-PrOH/NH4Cl | Reflux | 25 | 12 | |
| 5 | PPA | 120 | 6 | 97 (14); 91 (15) |
| Compound | Gram-Positive Bacteria | Gram-Negative Bacteria | ||||||||||
|---|---|---|---|---|---|---|---|---|---|---|---|---|
| S. aureus ATCC 9144 | B. cereus ATCC 11778 | L. monocytogenes ATCC 7644 | S. enteritidis ATCC 13076 | E. coli ATCC 8739 | P. aeruginosa NCTC 6750 | |||||||
| MIC | MBC | MIC | MBC | MIC | MBC | MIC | MBC | MIC | MBC | MIC | MBC | |
| µg/mL | ||||||||||||
| 3 | 250 | 250 | 31.25 | 31.25 | 125 | 125 | 250 | 250 | 250 | 250 | 250 | 250 |
| 4 | 125 | 125 | 125 | 250 | 250 | 250 | 250 | 250 | 250 | 250 | 250 | 250 |
| 5 | 250 | 250 | 31.25 | 31.25 | 125 | 125 | 125 | 125 | 125 | 125 | 125 | 125 |
| 6 | 250 | 250 | 125 | 125 | 250 | 250 | 125 | 125 | 125 | 125 | 125 | 125 |
| 7a | 250 | 250 | 250 | 250 | 125 | 125 | 125 | 125 | 250 | 250 | 125 | 125 |
| 7b | 250 | 250 | 250 | 250 | 250 | 250 | 125 | 125 | 250 | 250 | 125 | 125 |
| 7c | 250 | 250 | 250 | 250 | 125 | 125 | 125 | 125 | 250 | 250 | 125 | 125 |
| 8 | 250 | 250 | 125 | 125 | 125 | 125 | 62.5 | 125 | 125 | 125 | 62.5 | 125 |
| 9 | 125 | 250 | 250 | 250 | 250 | 250 | 125 | 125 | 250 | 250 | 125 | 125 |
| 10 | 125 | 125 | 125 | 125 | 125 | 125 | 125 | 125 | 125 | 125 | 125 | 125 |
| 11a | >250 | >250 | >250 | >250 | >250 | >250 | >250 | >250 | >250 | >250 | >250 | >250 |
| 11b | 250 | 250 | >250 | >250 | >250 | >250 | >250 | >250 | >250 | >250 | >250 | >250 |
| 12 | 125 | 250 | 125 | 250 | 125 | 250 | 125 | 250 | 125 | 250 | 125 | 250 |
| 13 | 125 | 125 | 125 | 250 | 62.5 | 62.5 | 125 | 125 | 125 | 250 | 62.5 | 62.5 |
| 14 | 62.5 | 62.5 | 62.5 | 62.5 | 15.62 | 15.62 | 62.5 | 62.5 | 62.5 | 62.5 | 62.5 | 62.5 |
| 15 | 62.5 | 125 | 62.5 | 125 | 15.62 | 31.25 | 62.5 | 62.5 | 62.5 | 125 | 62.5 | 62.5 |
| 16 | 31.25 | 31.25 | 31.25 | 31.25 | 31.25 | 31.25 | 31.25 | 31.25 | 31.25 | 31.25 | 31.25 | 31.25 |
| 17 | 31.25 | 62.5 | 62.5 | 62.5 | 62.5 | 62.5 | 62.5 | 62.5 | 62.5 | 62.5 | 62.5 | 62.5 |
| 19 | 31.25 | 31.25 | 62.5 | 62.5 | 62.5 | 62.5 | 31.25 | 62.5 | 62.5 | 62.5 | 62.5 | 62.5 |
| 20 | 62.5 | 62.5 | 31.25 | 31.25 | 62.5 | 62.5 | 62.5 | 62.5 | 62.5 | 62.5 | 62.5 | 62.5 |
| 21 | 125 | 125 | 62.5 | 62.5 | 62.5 | 62.5 | 62.5 | 62.5 | 62.5 | 62.5 | 125 | 125 |
| 22 | 62.5 | 62.5 | 62.5 | 62.5 | 62.5 | 62.5 | 31.25 | 31.25 | 62.5 | 62.5 | 62.5 | 62.5 |
| 24a | 125 | 125 | 125 | 125 | 125 | 125 | 125 | 125 | 125 | 125 | 62.5 | 125 |
| 24b | 62.5 | 62.5 | 62.5 | 62.5 | 62.5 | 62.5 | 62.5 | 62.5 | 31.25 | 31.25 | 31.25 | 31.25 |
| 24c | 125 | 125 | 125 | 125 | 125 | 125 | 62.5 | 62.5 | 125 | 125 | 125 | 62.5 |
| 24d | 125 | 125 | 125 | 125 | 62.5 | 62.5 | 125 | 125 | 125 | 125 | 125 | 125 |
| 24e | 62.5 | 125 | 62.5 | 62.5 | 62.5 | 62.5 | 62.5 | 62.5 | 62.5 | 125 | 62.5 | 62.5 |
| Ampicillin 62.5 | ||||||||||||
Publisher’s Note: MDPI stays neutral with regard to jurisdictional claims in published maps and institutional affiliations. |
© 2021 by the authors. Licensee MDPI, Basel, Switzerland. This article is an open access article distributed under the terms and conditions of the Creative Commons Attribution (CC BY) license (https://creativecommons.org/licenses/by/4.0/).
Share and Cite
Sapijanskaitė-Banevič, B.; Palskys, V.; Vaickelionienė, R.; Šiugždaitė, J.; Kavaliauskas, P.; Grybaitė, B.; Mickevičius, V. Synthesis and Antibacterial Activity of New Azole, Diazole and Triazole Derivatives Based on p-Aminobenzoic Acid. Molecules 2021, 26, 2597. https://doi.org/10.3390/molecules26092597
Sapijanskaitė-Banevič B, Palskys V, Vaickelionienė R, Šiugždaitė J, Kavaliauskas P, Grybaitė B, Mickevičius V. Synthesis and Antibacterial Activity of New Azole, Diazole and Triazole Derivatives Based on p-Aminobenzoic Acid. Molecules. 2021; 26(9):2597. https://doi.org/10.3390/molecules26092597
Chicago/Turabian StyleSapijanskaitė-Banevič, Birutė, Vykintas Palskys, Rita Vaickelionienė, Jūratė Šiugždaitė, Povilas Kavaliauskas, Birutė Grybaitė, and Vytautas Mickevičius. 2021. "Synthesis and Antibacterial Activity of New Azole, Diazole and Triazole Derivatives Based on p-Aminobenzoic Acid" Molecules 26, no. 9: 2597. https://doi.org/10.3390/molecules26092597
APA StyleSapijanskaitė-Banevič, B., Palskys, V., Vaickelionienė, R., Šiugždaitė, J., Kavaliauskas, P., Grybaitė, B., & Mickevičius, V. (2021). Synthesis and Antibacterial Activity of New Azole, Diazole and Triazole Derivatives Based on p-Aminobenzoic Acid. Molecules, 26(9), 2597. https://doi.org/10.3390/molecules26092597

