Abstract
The review is devoted to modern trends in the chemistry of 2-amino and 2-mercapto substituted benzothiazoles covering the literature since 2015. The reviewed heterocycles belong to biologically active and industrially demanded compounds. Newly developed synthesis methods can be divided into conventional multistep processes and one-pot, atom economy procedures, realized using green chemistry principles and simple reagents. The easy functionalization of the 2-NH2 and 2-SH groups and the benzene ring of the benzothiazole moiety allows considering them as highly reactive building blocks for organic and organoelement synthesis, including the synthesis of pharmacologically active heterocycles. The review provides a summary of findings, which may be useful for developing new drugs and materials and new synthetic approaches and patterns of reactivity.
1. Introduction
Benzothiazoles, as a bicyclic heterocycles with fused benzene and thiazole rings containing electron-rich heteroatoms, nitrogen and sulfur, attract great interest from researchers for drug design due to their high biological and pharmacological activity [1,2,3,4,5]. The present review covers the literature from 2015. We consider modern trends in synthesizing biologically active and industrially demanded compounds based on the C-2-substituted benzothiazole derivatives. The reactions of 2-amino- and 2-mercaptothiazole derivatives provide a powerful, modern tools for the design of a wide variety of aromatic azoles. Their synthesis methods can be divided into two main groups: “one-pot” synthesis and sequential multistep synthesis.
Along with conventional approaches, effective and ecologically friendly alternative reactions are being developed based on commercially available reagents and the principles of green chemistry. These avoid the use of toxic solvents and minimize the formation of side products. Many reactions are performed in water as the solvent, making the process much cheaper. Multistep one-pot reactions of the C-2-substituted benzothiazoles play a special role in the design of biologically active compounds. The advantages of these reactions are atom-economy, simple experimental implementation and high yields. The effectiveness and selectivity of multistep reactions can often be increased by using catalysts in the absence of solvents. In addition, the methods based on the combined use of microwave irradiation and multicomponent reaction in ecologically safe solvents or in the solvent-free mode are actively used nowadays.
2. Aminobenzothiazoles
2-Aminobenzothiazoles demonstrate high antiviral activity [6,7,8,9,10,11,12,13,14], which is especially important in this period of global COVID-19 pandemic. They also possess antimicrobial [14,15,16,17,18,19,20], antioxidant [20], anti-inflammatory [21,22,23,24], analgesic [24], antidepressant [25,26], anticonvulsant [27,28,29], anti-diabetic [21,30], antitumor [31,32,33,34,35], antituberculosis [14,36] activity. Their derivatives show also antimalarial [37,38], insecticide [39] and herbicide effect [40]. They are also used as key intermediates in fine organic synthesis and the resins’ components [41].
2.1. Synthesis
Several approaches to the thiazole ring formation are based on transition metal catalysis using a one-pot process, either solvent-free or in green solvents.
Thus, direct synthesis of the substituted 2-aminobenzothiazoles 1a–t via the RuCl3-catalyzed intramolecular oxidative coupling of N-arylthioureas in up to 91% yield was proposed (Scheme 1) [42]. The electron-rich substrates demonstrate higher reactivity than their electron-deficient analogs.
Scheme 1.
Ru(III)-catalyzed synthesis of substituted 2-aminobenzothiazoles from N-arylthioureas.
The Pd(OAc)2-catalyzed intramolecular oxidative cyclization of N-aryl-N′,N′-dialkylthioureas proceeds similarly, resulting in the formation of 2-(dialkylamino)benzothiazoles 2a–p in the same yields (Scheme 2) [43]. No products of the intermolecular coupling were formed. However, in view of preactivation, more expensive catalyst and its larger amount, the method is more costly.
Scheme 2.
Pd-catalyzed synthesis of 2-(dialkylamino)benzothiazoles from N-aryl-N’,N’-dialkylthioureas.
Very recently, Ni(II) salts were shown to be very good catalysts for the same reaction [44]. The method is more advantageous as it uses a cheaper and less toxic catalyst in a much lower concentration, and the reaction is carried out under mild conditions in a very short time resulting in up to 95% product yield (Scheme 3). The method can be applied to N-arylthioureas containing both electron-donating or electron-withdrawing substituents in the benzene ring and is scalable without any loss of the yield, which makes it promising for industrial application.
Scheme 3.
Ni(II)-catalyzed synthesis of 2-aminobenzothiazoles 3a–t from N-arylthioureas.
An alternative intermolecular approach to 2-aminobenzothiazoles 4a–m is based on the reaction of 2-haloanilines with dithiocarbamates (Scheme 4) [45]. The metal-free or transition-metal-catalyzed reaction proceeds in one pot in up to 93% yield of the products. Thus, the reaction of 2-iodoaniline with dithiocarbamate proceeds without a catalyst, whereas 2-bromoanilines react only in the presence of copper catalysts, among which CuO was found to be most effective. Due to the low reactivity of the CAr–Cl bond, 2-chloroanilines were even less reactive and required more strong catalyst Pd(PPh3)4. Note that such palladium catalysts as PdCl2, PdBr2 or Pd(OAc)2 showed poor catalytic activity, and the copper catalysts were ineffective. The reaction proceeds in two steps. In the first step, the base (t-BuOK) promotes the formation of arylthiourea, which is converted to the arylisothiourea. In the second step, either metal-free or transition-metal-catalyzed intramolecular cross-coupling occurs with the formation of the target 2-aminobenzothiazoles.
Scheme 4.
Synthesis of 2-aminobenzothiazoles 4a–m from 2-haloanilines and dithiocarbamates.
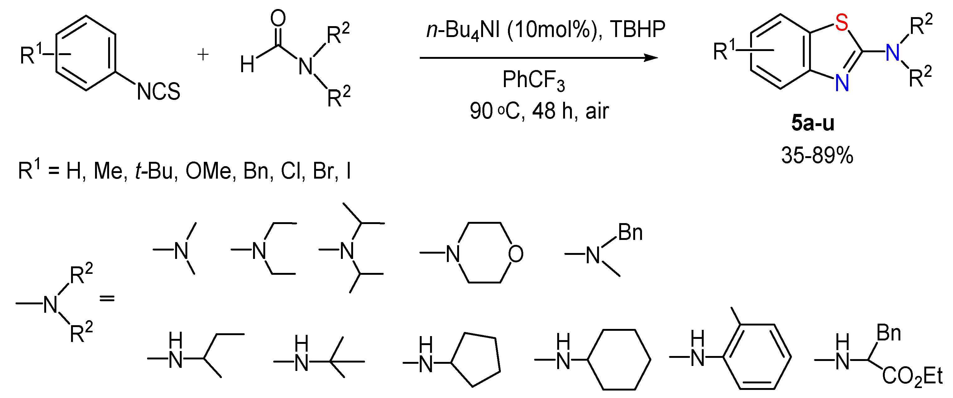
The metal-free reactions of sulfanylation of the C–H bond are most appealing and in line with the principles of green chemistry. Isothiocyanates are universal building blocks used to synthesize various heterocyclic ensembles, mostly triggered by nucleophilic addition. A convenient synthesis of 2-aminobenzothiazoles 5a–u from readily available arylisothiocyanates and various formamides was reported (Scheme 5) [46]. The reaction was assumed to proceed as decarbonylation of formamide under the action of n-Bu4NI and t-BuOOH (TBHP) and formation of the aminyl radical, its addition to the isothiocyanate and subsequent cyclization of the S-centered radical intermediates. The yield is strongly affected by the nature and the position of the substituent in the phenyl ring.
Scheme 5.
Synthesis of 2-aminobenzothiazoles 5a–u from arylisothiocyanates and formamides.
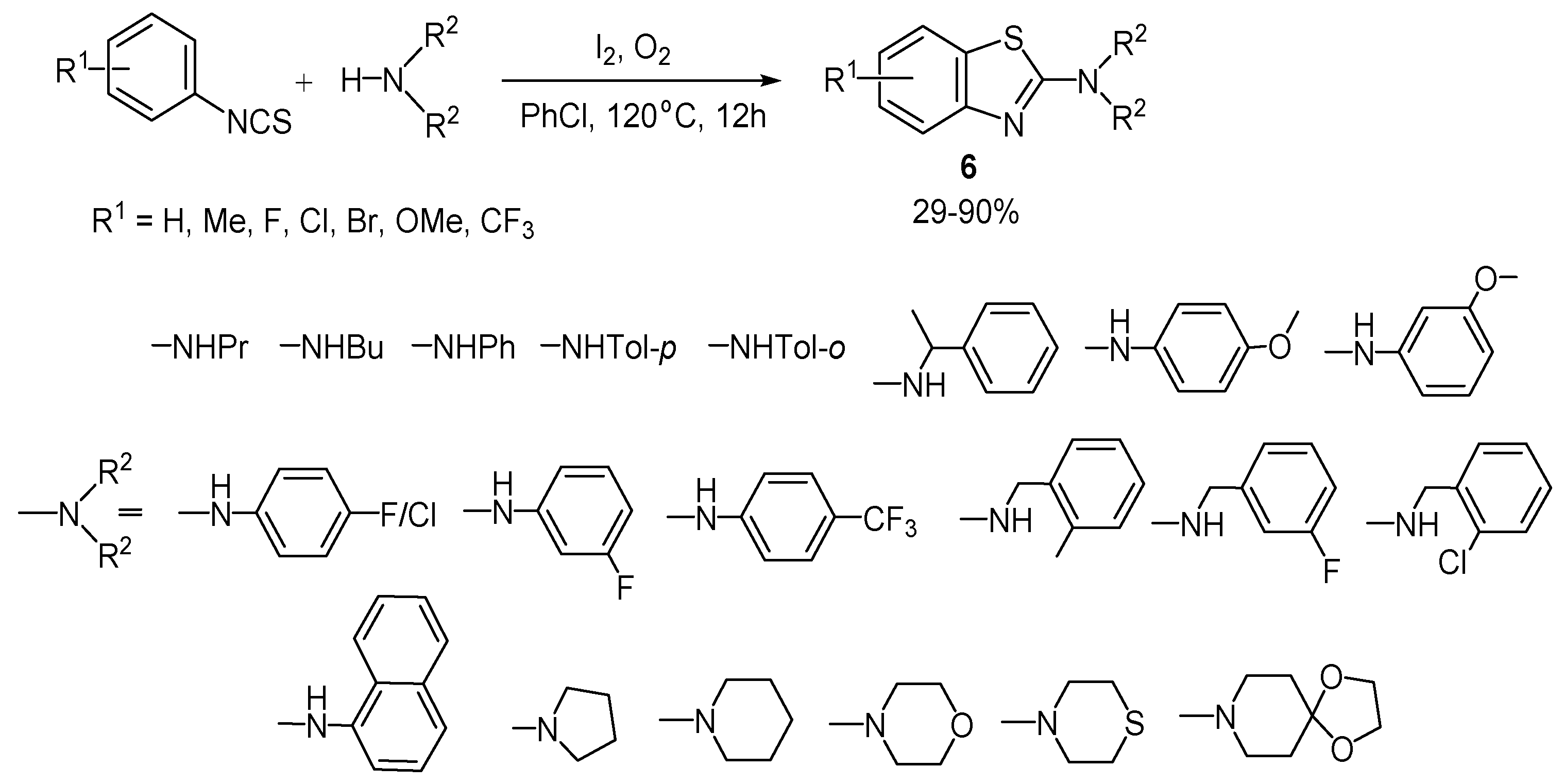
Arylisothiocyanates also enter the one-pot cascade reaction with amines in the presence of iodine as the catalyst and molecular oxygen as the oxidant (Scheme 6) [47]. The reaction proceeds via the in situ formation of benzothiourea with its subsequent intramolecular oxidative cyclization. Inexpensive and ecologically pure oxidant, commercially available reagents, non-toxic side product, and no necessity to introduce a halogen to the ortho-position—all these advantages meet the criteria of green chemistry. The yield of the products is higher for the compounds with the electron-donating groups in the benzene ring.
Scheme 6.
Synthesis of 2-aminobenzothiazoles from arylthioisocyanates and amines.
A simple and effective one-pot synthesis of 2-aminobenzothiazoles 7 from 2-iodoanilines and sodium dithiocarbamates by the Ullmann-type reaction (CAr–S bond formation via the intermediate copper thiolate) was developed with the yields of the products reaching 97% (Scheme 7) [48]. Cu(OAc)2/Cs2CO3/DMF/120 °C was found to be the best combination of the copper(II) catalyst, base, solvent, and temperature. The electron-donating or withdrawing properties of the substituents in the ring do not affect the products’ yield, reaching 97% for 2-iodo-4-fluoroaniline. The method employs readily available reagents, inexpensive ligand-free catalyst, provide good yields of potentially biologically active compounds and, therefore, is practically valuable.
Scheme 7.
Synthesis of 2-aminobenzothiazoles 7a–v from iodoanilines and sodium dithiocarbamates.
The formation of 2-aminobenzothiazoles 8a–d is possible also by one-pot condensation of aminothiophenols with thiocarbamoyl chloride in the presence of CuCl2 and K2CO3 proceeding under mild conditions in good yields (Scheme 8) [49].
Scheme 8.
Synthesis of 2-aminobenzothiazoles 8a–d from aminothiophenols and thiocarbamoyl chloride.
Thiocarbamoyl chloride also reacts effectively with 2-bromo or 2-iodoanilines in the presence of CuBr and t-BuOK to afford the corresponding 2-aminobenzothiazoles 9a–z in good yields (Scheme 9) [50]. Less reactive 2-chloroanilines do not enter this reaction. The reaction starts with the base-promoted formation of arylthioureas, which were further converted to arylisothioureas. In the next step, the target products are formed by the reaction of intramolecular cross-coupling. The method is characterized by mild reaction conditions, inexpensive catalyst, good yield and a wide scope of substrates. 2-Chloroanilines and thiocarbamoyl chloride afford 2-aminobenzothiazoles only in the presence of such a strong catalyst as bis(dibenzylideneacetone)palladium(0) Pd(dba)2 (Scheme 9) [51].
Scheme 9.
Synthesis of 2-aminobenzothiazoles 9a–z from haloanilines and thiocarbamoyl chloride.
An alternative route to 2-aminobenzthiazoles is direct aluminum organic synthesis shown in Scheme 10 [52]. The intermediate organoaluminum compound formed by lithiation/alumination of benzothiazole reacts with O-benzoylhydroxylamines. The copper-catalyzed reaction proceeds in one pot under mild conditions in up to 93%.
Scheme 10.
Synthesis of 2-aminobenzothiazoles 10a–c from benzothiazole and O-benzoylhydroxylamines.
The three-component copper-catalyzed reaction of 2-iodophenylisocyanides, potassium sulfide and various amines was shown to give biologically interesting 2-aminobenzothiazoles in up to quantitative yield (Scheme 11, the optimal conditions obtained by screening of the alkali metal, catalyst, solvent, and temperature are given) [53].
Scheme 11.
Three-component synthesis of 2-aminobenzothiazoles 11a–v.
2.2. Alkylation and Acylation Reactions
Due to the presence of both exo and endo nitrogen atoms forming the amidine–N=C–NH2 motif, 2-aminobenzothiazoles can enter the reactions of alkylation and acylation of either the amino group or annulation with the whole amidine fragment being involved in giving various heterocycles with fused rings. Below, we will consider some of these reactions.
The ring-substituted 2-aminobenzothiazoles formed in situ from diaminodiaryl disulfides enter the three-component domino reaction, which includes diacylation of diaminodiaryl disulfide, oxidative S-cyanation by CuCN, cyclization via nucleophilic attack of the thiocyanate carbon atom and, finally, intermolecular acyl group migration to the exocyclic nitrogen atom (Scheme 12) [54].
Scheme 12.
Synthesis of the ring-substituted N-acylated 2-aminobenzothiazoles 12a–u.
Acylation of 6-substituted 2-aminobenzothiazoles by polysubstituted benzoic acids containing the uracil moiety affords benzamides 13a–i possessing herbicide activity (Scheme 13) [40].
Scheme 13.
Synthesis of the uracil-containing N-benzothiazolyl benzamides 13a–i with herbicide activity.
Alkylation of 2-aminobenzothiazoles is possible by highly reactive halogenides, such as, e.g., 7-chloro-4,6-dinitrobenzofuroxane having two strong activating nitro groups [19]. First, the primary amino group is alkylated to give the monoalkylated products 14a–f, which after tautomerization give the dialkylated products 15a–d (Scheme 14). Remarkably, for the substrates containing electron-withdrawing substituents (6-Cl, 6-NO2), the dialkylation products were not formed. It was noted that in time the monoalkylated product became the major one. The obtained compounds were shown to have antimicrobial activity and also can be used as luminescing biosensors.
Scheme 14.
Mono- and dialkylation of 2-aminobenzthiazoles by 7-chloro-4,6-dinitrobenzofuroxane.
Many researchers were engaged in the search for new families of biologically active 2,5(6)-substituted 2-aminobenzothiazoles. The starting 2-unsubstituted 2-aminobenzothiazoles were obtained from the easily available anilines, potassium thiocyanate and bromine, then acylated by chloroacetyl chloride and introduced in the reactions with various N-heterocycles [7,14,17,20,25,26,27,28,29,31,36,38,39]. Thus, a large benzothiazole-piperazine series of compounds 16a–v was synthesized in three steps (Scheme 15) [25,26]. The compounds demonstrated good antidepressant activity without accompanying negative effects on physical activity.
Scheme 15.
Synthesis of antidepressant heterocycles 16a–v.
Similarly prepared 4,5,6-trisubstituted 2-aminobenzothiazoles were acylated by 3-bromo-1-(3-chloropyridin-2-yl)-1H-pyrazole-5-carbonyl chloride to give N-1,3-benzothiazol-2-yl-3-bromo-1-(3-chloropyridin-2-yl)-1H-pyrazole-5-carboxamides 17a–t (Scheme 16), which showed insecticide activity [39].
Scheme 16.
Synthesis of benzothiazolyl-piperazine heterocycles 17a–t with insecticide activity.
6-Substituted 2-aminobenzothiazoles prepared in the same manner were treated first with ethyl chloroacetate and then with hydrazine hydrate to afford the corresponding acetohydrazides. The latter’s condensation with aldehydes led to benzylideneacetohydrazides, which after acylation with chloroacetyl chloride gave acetamides 18a–t (Scheme 17). The products were tested for the anticonvulsant effect, and those containing electron-withdrawing groups (Cl, F, NO2) in the benzothiazole ring and unsubstituted or chlorine-substituted in the benzene ring were found to be more active [28].
Scheme 17.
Synthesis of polyheterocyclic acetamides 18a–t.
Multistep synthesis of 2-aminobenzothiazole analogs of clathrodine (marine pyrroloiminoquinone alkaloid) 19a–f was reported (Scheme 18) [7]. N-Acylated 4-nitrobenzylamines were reduced to the corresponding anilines, which were cyclized by ammonium thiocyanate to the target products. However, the yields in the last step for the azole electrophiles were too low (0–10%) (Scheme 18). The alternative approach using N-protection of 4-aminobenzylamine by Fmoc as the first step (lower line in Scheme 18) allowed obtaining the products via the intermediate 6-aminomethyl-2-aminobenzothiazole in 36–54%. The antimicrobial, antiviral and antiproliferative activity of the products was estimated.
Scheme 18.
Multistep syntheses of 2-aminobenzothiazole analogs of clathrodine 19a–f.
6-Substituted 2-aminobenzotriazoles obtained by the same procedure (with NH4SCN and Br2) were successively subjected to hydrazinolysis and reacted with acetophenones to obtain the corresponding hydrazones. The latter was converted to the target products 20a–k in 65–85% by the Vilsmeier–Haack reaction (Scheme 19) [20]. The reaction proceeds smoothly for the electron releasing or withdrawing substituents in the o- and p-positions of the phenyl ring and 6-position of the benzothiazole ring.
Scheme 19.
Synthesis of 1-benzothiazolyl-3-aryl-4-formyl-1H-pyrazoles 20a–k.
The ammonium thiocyanate-based method was applied to synthesize a large series of 2-aminobenzothiazoles 21–23 containing the motif of sulfanilamide, which laid the foundation for a large family of sulfa antimicrobial drugs. The obtained aminobenzo[d]thiazole-6-sulfonamide was acylated with chloroacetyl chloride, which then reacted with thiols to give products 21, or with 5-amino-1H-pyrazole-4-carbonitrile to give benzothiazolo-pyrazole heterocycles 22, or with another molecule of sulfanilamide resulting in compound 23 with two pharmacophore sulfanilamide moieties (Scheme 20) [31]. All products showed high antitumor activity.
Scheme 20.
Synthesis of benzothiazole-containing sulfanilamide derivatives 21–23.
Acylation of 2-aminobenzothiazole with various α-halogenoketones in the presence of carbon disulfide or arylisothiocyanates led to functionalized bis-thiazolo derivatives 24a–d and 25a–e in high yields (Scheme 21) [55]. Their formation proceeds via the addition of carbon disulfide to 2-aminobenzothiazole, acylation, enolization of the formed intermediate and cyclization with dehydration.
Scheme 21.
Synthesis of functionalized bis-thiazolo derivatives 24a–d and 25a–e.
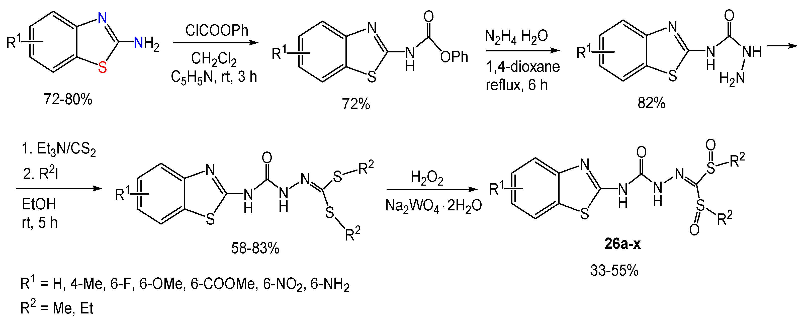
Very recently, starting with acylation of the ring-substituted 2-aminobenzothiazoles, and followed by hydrazinolysis, thioetherification with carbon disulfide and oxidation, a large family of bis-sulfoxide derivatives 26a–x containing the acylhydrazone and the benzothiazole groups have been synthesized (Scheme 22) [56] and shown to possess antibacterial activity.
Scheme 22.
Multistep synthesis of benzothiazole/semicarbazone/disulfoxide-containing products 26a–x with antibacterial properties.
A similar approach was earlier used to synthesize heterocyclic amines 27a–d and their Schiff bases 28a–k [17]. Acylation with chloroacetyl chloride followed by cyclization with thiourea to form the second 2-aminothiazole moiety and condensation of the amino group in amines 27a–d with aromatic aldehydes led to the target azomethines 28a–k in moderate yields (Scheme 23). The products were tested on the biological activity, and both amines 27a–d and the Schiff bases 28a–k showed high or even maximum antibacterial, antifungal and anthelminthic activity. Electron-donor groups (Me, OEt) in the 6-position of the benzothiazole ring enhance the anthelminthic effect. The NO2 group in the phenyl ring promotes antibacterial activity. Electron-acceptor F and Cl atoms both in the benzothiazole and the phenyl ring enhance antifungal activity.
Scheme 23.
Synthesis of bis-thiazolo-containing amines 27a–d and azomethines 28a–k.
The Schiff base 29 formations between the NH2 group of 2-amino-6-nitrobenzothiazole was performed by the MW-assisted reaction with a 3,5-diiodosalicylic aldehyde in 76–80% yield in 8–10 min (Scheme 24) [57]. For example, without MW irradiation, the yield was as low as 38% after 2 h.
Scheme 24.
Schiff base 29 from 2-amino-6-nitrobenzothiazole and 3,5-diiodosalicylic aldehyde.
The synthesis of the derivatives of 2-aminobenzothiazoles with N-functionalized groups in the benzene ring is possible from the corresponding nitro-derivatives by pre-protection of the 2-amino group followed by reduction of the nitro to the amino group and its functionalization. Using this approach compounds 30–32 with high anti-inflammatory activity were synthesized in three steps from 6-nitro-2-aminobenzothiazole, as shown in Scheme 25 [21]. Different functions have been introduced by the reactions of acylation, sulfonylation or addition to isocyanates of isothiocyanates.
Scheme 25.
Synthesis of 6-N-functionalized derivatives of 2-aminobenzothiazoles 30–32.
A similar ideology was employed to synthesize new benzothiazol-disulfonamide scaffolds 33a–n as a potent hepatitis C virus inhibitor (Scheme 26) [58]. The key intermediate product prepared by the reaction of 6-nitro-2-aminobenzothiazole with proline activated by N-(3-dimethylaminopropyl)-N′-ethylcarbodiimide (EDCl) with subsequent reduction of the nitro group (omitted in Scheme 26) is sulfonylated by arenesulfonyl chlorides at the free amino group. The obtained aminobenzothiazoles have a smaller molecular mass and hydrophobicity concerning the known antiviral agents, which provides better peroral bioavailability.
Scheme 26.
Synthesis of new benzothiazole-disulfonamide scaffolds 33a–n as viral inhibitors.
MW irradiation was also used in the synthesis of benzothiazole-imidazolidines 34a–h. The diazonium salt of 2-aminobenzothiazole reacted with a salicylic aldehyde in an alkaline solution to form the azoaldehyde derivative of benzothiazole [15]. The latter was cyclized by condensation with primary aromatic amines under MW-irradiation, and the formed imines were reacted with L-alanine under MW-irradiation in THF to give imidazolidines with benzothiazolyl fragment possessing antibacterial activity (Scheme 27).
Scheme 27.
Synthesis of benzothiazole-imidazolidines 34a–h.
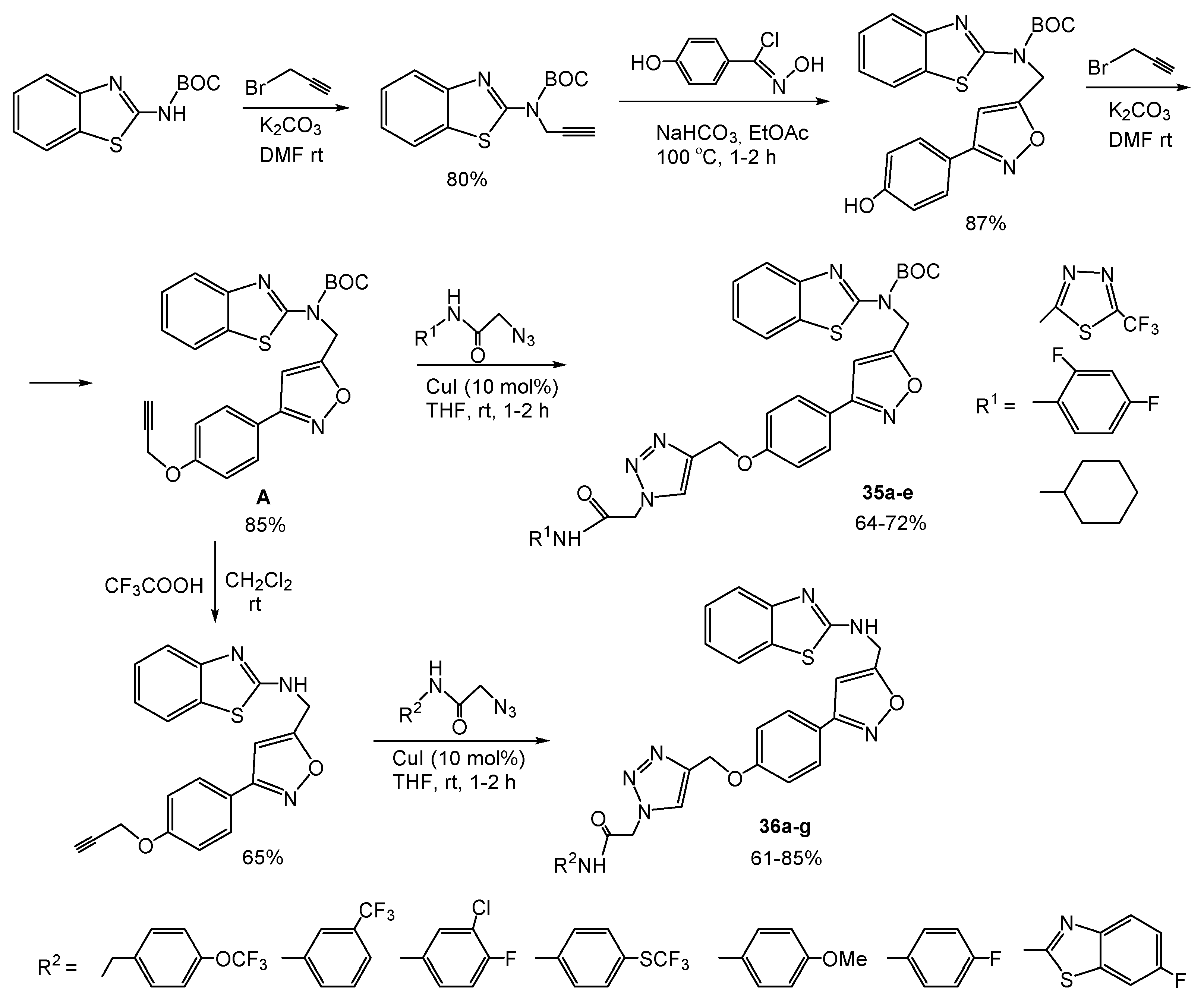
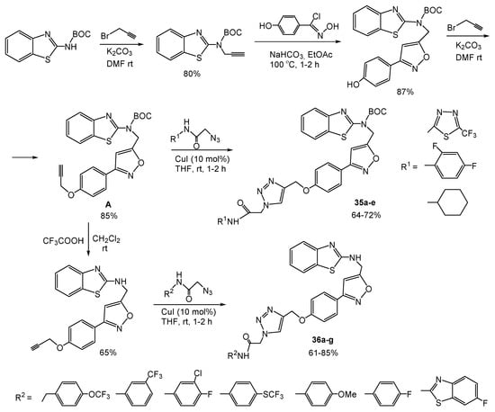
Triazole and isoxazole-tagged benzothiazole/benzoxazole derivatives 35a–c and 36a–g were synthesized as potent cytotoxic agents by multistep synthesis starting from N-propargylation of the Boc-protected 2-aminobenzothiazole, as shown in Scheme 28 [33]. The key intermediate A was converted to the target products, either directly or after deprotection with trifluoroacetic acid, using Cu-catalyzed Sharpless click chemistry concept by the reaction with different amide azides. The presence of various pharmacophores in the synthesized compounds not only enhances the antitumor effect in vivo but also promotes new mechanisms of action.
Scheme 28.
New potent cytotoxic hybrid azolyl derivatives of benzothiazole 35a–c and 36a–g.
2.3. Annulation Reactions
In a number of works, both nitrogen atoms of the amidine moiety in 2-aminobenzothiazole are involved in the reaction with electrophiles, resulting in the formation of complex heterocyclic systems with fused rings. Thus, CuI-catalyzed oxidative cyclization of 2-aminobenzothiazole and 2-phenoxyacetophenones led to 3-phenoxybenzo[d]imidazo [2,1-b]thiazoles 37a–e in high yield (Scheme 29) [59]. Atmospheric oxygen acted as an oxidant. The ketones with both electron-donor and electron-acceptor substituents readily entered the reaction. Of special interest for synthesizing drugs are C-3 oxo-substituted imidazoheterocycles.
Scheme 29.
Synthesis of 3-phenoxybenzo[d]imidazo[2,1-b]thiazoles 37a–e.
An example of green synthesis is Sc(OTf)3-catalyzed MW-assisted atom-economy three-component reaction of 2-aminobenzothiazole, aromatic aldehydes and 1,3-diketones, leading to annulated products 38 bearing pharmacophore motifs (Scheme 30) [60]. The reaction proceeds as the CO-activation, Knoevenagel condensation reaction, and nucleophilic addition of azole followed by intramolecular cyclization. The advantages of the reaction, such as high product yields, short time, easy isolation of the products and ecologically safe conditions, can be realized only by a combination of Sc(OTf)3 catalysis, MW-assistance, and solvent-free conditions.
Scheme 30.
Atom-economy green synthesis of benzothiazole-quinazolinones 38a–i.
Another example of an environmentally friendly process is the multicomponent reaction of 2-aminobenzothiazole or its 6-substituted derivatives, indole-3-carbaldehyde and arylisonitriles, in the presence of P2O5 on SiO2 as the acidic catalyst (Scheme 31) [61]. The formation of the products, 3-aminoimidazo[2,1-b](1,3)benzothiazoles 39a-l, is facilitated by fast removal of water due to strong dehydrating agent P2O5/SiO2. This catalyst is widely used nowadays in view of its effectiveness, ecological safety, stability, low toxicity and simple handling.
Scheme 31.
Three-component synthesis of polycyclic 3-aminoimidazo[2,1-b](1,3)-benzothiazoles 39a–l.
Recently, the use of the cellulose-based nanocatalyst Fe3O4@NCs/Sb(V) to synthesize 4H-pyrimido[2,1-b]benzothiazoles 40a–m was described [62]. The one-pot reaction proceeds without solvent at heating (Scheme 32). The yield and the rate of the process are strongly affected by the nature and position of the substituent, the reactivity and the yield being higher for aldehydes with electron-withdrawing groups. The role of the Lewis catalyst is to activate the carbonyl groups and, thus, accelerate the reaction. Up to five turnovers of the catalyst are possible without notable loss of the catalytic activity.
Scheme 32.
Three-component synthesis of 4H-pyrimido[2,1-b]benzothiazoles 40a–m.
A similar approach, but with p-TSA as a catalyst, was used to synthesize quinazoline derivatives of 2-aminobenzothiazole 41a–f [63]. The three-component reaction proceeds under mild conditions (aqueous acetone, room temperature) and includes a cascade of reactions (Scheme 33): Knoevenagel condensation reaction, Michael addition with subsequent intramolecular condensation of the imino group to the carbonyl group of the quinone fragment, and, finally, the intramolecular dehydration/aromatization of the intermediates and the keto-enol rearrangement. p-TSA is supposed to accelerate the reaction due to the increase of nucleophilicity of the nitrogen atom in 2-aminobenzothiazole. Mild reaction conditions, readily available catalysts, simple product isolation, good yield (79–85%) provide ecological safety and efficiency of the method.
Scheme 33.
Three-component synthesis of quinazoline derivatives of 2-aminobenzothiazole 41a–f.
A strategy for the design of spiroheterocycles annulated with biologically active fragments was developed on the example of the pseudo-four-component reaction of 2-amino-6-bromo-4-methylbenzothiazole, 4-anisaldehyde and 4-hydroxycoumarine in the presence of sulfamic acid [64]. The reaction proceeds in 93% yield in 10 min resulting in the target product 42 (Scheme 34). The proposed mechanism includes the acid-catalyzed sequence of reactions: the Knoevenagel reaction, condensation of the second aldehyde molecule with 2-aminobenzothiazole, the Diels–Alder heterocycloaddition of the intermediates. Spirocyclic structures are privileged in synthetic and medicinal chemistry due to their structural rigidity, which strongly affects biological and pharmacological activity. By the use of different cyclic β-diketones, 2-aminobenzothiazoles and aromatic aldehydes, three series (12 examples) of structurally diverse spiroheterocycles have been synthesized in the aqueous medium in high yields (88–93%).
Scheme 34.
Synthesis of spiroheterocycle 42 from 2-amino-6-bromo-4-methylbenzothiazole, 4-anisaldehydeгидa and 4-hydroxycoumarine.
Another route to the design of biologically active derivatives of 2-aminobenzothiazole is a successive multistep synthesis based on the commercially available substrates and reagents. Thus, a two-step synthesis of tricyclic derivatives of imidazo[2,1-b](1,3)benzothiazolones 43a–k was realized (Scheme 35) [6]. In the first step, 2-aminodihydrobenzothiazole-7-ones were obtained by the reaction of 1,3-diketones with bromine and thiourea in situ, which were then involved in alkylation with aromatic or heteroaromatic α-halogenoketones with subsequent intramolecular cyclization. The substituent in the imidazole ring is of principal importance for antiviral activity because it was shown that the replacement of the aryl group by a smaller thiophene substituent drastically increases the antiviral action.
Scheme 35.
Synthesis of tricyclic derivatives of imidazo[2,1-b](1,3)benzothiazolones 43a–k.
Catalyst-free MW-assisted method for preparation of annulated heterocyclic structures in aqueous medium was demonstrated by the synthesis of benzo[d]imidazo[2,1-b]thiazoles 44a–l (Scheme 36) [65]. As a polar protic “green” co-solvent capable of easy absorbing MW-radiation, isopropanol was used. The yields were excellent (90–95%) irrespective of the substituents in the benzene ring. The advantages of MW irradiation combined with the use of aqueous isopropanol include short time, the absence of side products, excellent yields, no toxic catalysts, and wide spectrum of the substrates, scalability, thus proving that the process is economic and environmentally friendly. The reaction proceeds successively via the in situ steps and includes quaternization of 2-aminobenzothiazole with bromomethyl aryl ketone, HBr evolution, and formation of the imine with subsequent intramolecular cyclization. The final step is water elimination and aromatization. As a rule, condensed heterocyclic systems possess various types of biological activity.
Scheme 36.
MW-assisted, catalyst-free synthesis of benzo[d]imidazo[2,1-b]thiazoles 44a–l.
2.4. 2-Hydrazinobenzothiazoles as Analogs of 2-Aminobenzothiazoles
Replacement of the amino group in 2-aminobenzothiazoles by the hydrazine residue opens the way to numerous hydrazones whose chemistry is thoroughly studied. An example of such an approach was demonstrated by the synthesis of 6-substituted 2-hydrazinobenzothiazoles by the reaction of the corresponding 2-aminobenzothiazoles with hydrazine hydrate followed by the reaction with various 2-(arylamino)nicotinealdehydes (Scheme 37) [34]. The products 45a–v possess antiproliferative activity. Both the benzothiazole and aniline pharmacophores can have both electron-donor and electron-acceptor substituents. The highest antitumor effect was observed for compounds having electron-donor 6-substituents in the benzothiazole fragment and electron-acceptor substituents in the aniline phenyl ring.
Scheme 37.
Synthesis of benzothiazole hydrazones with 2-anilinopyridyl groups 45a–v.
Another example is the synthesis of antimalarial drugs 46a–f from 2-hydrazinobenzothiazole (Scheme 38) [37]. The structure–activity relationship (SAR) investigation showed that it is the N,S-containing five-membered aromatic ring in the benzothiazole hydrazones, which may be responsible for the antimalarial activity.
Scheme 38.
Synthesis of antimalarial 2-benzothiazolyl hydrazones 46a–f.
To finalize this part and to transfer the bridge to the next section, let us consider several works in which the derivatives of 2-hydrazinobenzothiazole were obtained from 2-mercaptobenzothiazole, and the hydrazine residue was further functionalized. Thus, in [22,23], the target products were obtained by the reflux of mercapto benzothiazoles with hydrazine hydrate in ethanol (Scheme 39). Condensation of the formed 2-hydrazinobenzothiazoles with oxadiazoles in dry pyridine led to 1,2,4-triazoles 47a–n in good yield via the ring-opening/ring-closure reaction.
Scheme 39.
Synthesis of benzothiazole-triazole compounds 47a–n.
Conversion of the hydrazine moiety in 2-hydrazinobenzothiazole to the pyrazole ring and further functionalization of the latter was realized, as shown in Scheme 40 [66]. 2-Hydrazinobenzothiazole, prepared as in Scheme 39, reacted with ethyl acetoacetate to give benzothiazolo-5-pyrazolone (A). The latter was converted to the derivatives of 2-aminonicotine nitrile bearing the benzothiazole motif by a different two-step procedure: by a conventional method, ultrasound, and MW activation. The ultrasound activation was less effective (68% yield), whereas, for conventional or MW-assisted syntheses, the yields in the first step reached 83 and 85% of intermediate B, respectively. Further reaction of the intermediate B with malononitrile in the presence of ammonium acetate to give the 2-aminonicotine nitriles 48a–f in good yields. The decisive advantage of the MW irradiation was the short reaction time and higher yields.
Scheme 40.
Synthesis of 2-aminonicotine nitriles 48a–f having the benzothiazole fragment.
Therefore, 2-aminobenzothiazole and its derivatives are of great synthetic potential for synthesizing various heterocyclic systems, including fused and spirocyclic compounds. Recent research in this field achieved substantial progress in discovering new benzothiazolium compounds as good candidates for drugs with different biological activity. This activity may strongly depend on the nature and position of the substituents both in the benzene ring of the benzothiazole moiety and in the heterocycles formed by the functionalization of the amino group.
3. 2-Mercaptobenzothiazoles
Synthesis
As 2-aminobenzothiazoles, 2-mercaptobenzothiazoles attract the interest of researchers due to their various biological activities viz. antimicrobial [18,19,66,67,68,69], anti-inflammatory and antioxidant [69,70,71], antitumor [72,73,74]. Agrochemicals with 2-mercaptobenzothiazole moiety in the molecule are used as fungicides of a wide spectrum [75,76,77], herbicides [78], insecticides [39,78,79]. In industry, they are used as metal corrosion inhibitors in different media [80,81,82,83,84,85,86,87,88,89,90], additives to lubricants [89,90], sorbents of trace amounts of metals, including noble metals [91,92,93] and rubber vulcanization accelerators [94,95,96].
Not only organic derivatives of 2-mercaptobenzothiazole, but also its organosilicon analogs are valuable reagents and synthetic building blocks; they occupy an important place in the chemistry of polymers and materials [88,93,97]. The introduction of organosilicon groups containing biogenic elements in the molecule of 2-mercaptobenzothiazole can render new properties to the compounds. However, organosilicon thiol derivatives of azoles are still poorly studied.
A simple, efficient, catalyst-free method for synthesizing precursors of potentially biologically active derivatives of 2-mercaptobenzothiazole 49a,b in excellent yield was developed via cyclization of 2-aminothiophenols with tetramethyl thiuram disulfide in water by heating on an oil bath (Scheme 41) [98]. In an alternative modified procedure [99], sodium dithiocarbamate in DMF was used as a reagent and AlCl3 as the catalyst. Apparently, the reaction proceeds via the intermediate formation of thiourea A, which suffers intramolecular cyclization with the elimination of dimethylamine and the formation of the target products (Scheme 41).
Scheme 41.
2-Mercaptobenzothiazoles 49a,b from aminothiophenols and tetramethylthiuram disulfide or sodium dimethyl dithiocarbamate.
Green chemistry synthesis of 2-arylthiobenzothiazoles 50a–c was described in [100]. The ring-opening of the five-membered cycle of benzotriazole in aryl 1H-1,2,3-benzotriazole-1-carbodithioates and the subsequent cyclization was performed by the use of polymethylhydrosiloxane (PMHS) acting both as the solvent and the reagent in the presence of AIBN as an initiator (Scheme 42). Earlier, in this reaction, a highly toxic tributyltin hydride n-Bu3SnH was used. The use of PMHS, which is a byproduct in the synthesis of silicone, makes this approach green and practical, which can be considered as an industrial method to synthesize benzothiazoles.
Scheme 42.
Mercaptobenzothiazoles 50a–c from N-thioacylbenzotriazoles in the presence of PMHS.
Different 2-mercaptobenzothiazoles 51a–n can be readily prepared from the easily available 2-halogenoanilines and potassium xanthogenate (Scheme 43). Compounds 51a–c prepared in [101] were subjected to cross-coupling with aryl boronic acids in dichloroethane (DCE) in the presence of Cu(acac)2 (Scheme 43, upper reaction). The method is characterized by mild conditions, the absence of additional ligand, short reaction time and good yield. The reaction does not depend on the substituents in the reagents.
Scheme 43.
Synthesis of precursors of 2-mercaptobenzothiazoles 51a–n from 2-halogenoanilines and potassium xanthogenate and their further functionalization.
Later on [102], this method was applied to the synthesis of 2-mercaptobenzothiazoles 51d–n (Scheme 43). Their treatment with sulfuryl chloride gave 2-chlorobenzothiazoles 53d–n in excellent yield. Earlier, this simple procedure gave low yields and was poorly reproducible. In [102], the authors have found that the simple addition of water substantially increases the effectiveness of the reaction. This effect was assigned to the formation of acid by partial hydrolysis of sulfuryl chloride. The formed 2-chlorobenzothiazoles 53d–n act as precursors in the synthesis of 2-substituted benzothiazoles playing an important role in medicinal chemistry due to their pharmacological properties.
The tandem reaction for synthesizing aryl derivatives of 2-mercaptobenzothiazole 54a–g was reported (Scheme 44) [103]. The in situ inter- and intramolecular condensation of o-aminothiophenols with tetramethylthiuram disulfide gives rise to the corresponding 2-mercaptobenzothiazoles, which further underwent intermolecular coupling with iodobenzenes. Among the studied copper catalysts, CuBr used at 80 °C was found to be the most effective. Other metal catalysts, such as Fe, Co, or Ni, were ineffective as catalysts. The derivatives of 2-mercaptobenzothiazole with F, Cl, Br as substituents in the aryl ring were obtained in high yield (76–84%). Therefore, the use of inexpensive catalysts, simple ligand, water as the solvent, and moderate reaction temperature make the process practically valuable and useful in organic synthesis.
Scheme 44.
CuBr-catalyzed synthesis of 2-mercaptobenzothiazoles 54a–g from o-aminothiophenols, tetramethylthiuram disulfide and iodobenzenes.
The CuCl-catalyzed three-component reaction of o-iodoanilines, K2S and (tosylmethyl)isocyanide proceeds with the formation of two C–S and one C=S bond and gives rise to benzothiazolethiones 55a–y (Scheme 45) [104]. The reaction is influenced by the substituents in both the ring and at the nitrogen.
Scheme 45.
Benzothiazolethiones 55a–y from o-iodoanilines, K2S and (tosylmethyl)isocyanide.
The result of a one-pot, CuI-catalyzed reaction of benzothiazoles, sulfur and aryl boronic acids were shown to strongly depend on the nature of the oxidant (Scheme 46) [105]. No reaction or only trace amounts of the target products 56a–k were obtained with a number of oxidants examined. Among different silver salts, Ag2CO3 demonstrated the highest oxidative activity.
Scheme 46.
Oxidative synthesis of 2-arylthiobenzothiazoles from benzothiazoles, elemental sulfur and arylboronic acids.
The above methods of assembling the 2-mercaptobenzothiazoles via direct functionalization of the C2–H bond, although being atom-economic and ecologically pure, suffer from such drawbacks as the reaction temperatures up to 120–140 °C, the use of stoichiometric amounts of copper catalyst, a strong oxidant, and, in some cases, specific ligands.
The alternative approach is the photoinduced sulfanylation of the C2–H bond in benzothiazoles by aryl(hetaryl) electrophiles and elemental sulfur. The reaction shown in Scheme 47 occurs at room temperature in air in the presence of copper(I) thiophene-2-carboxylate (CuTc) [106] and can be applied to the synthesis of a wide series of alkyl(aryl) or hetaryl derivatives 57a–w. The photocatalysis proceeds via the in situ formation of diaryl disulfides as key intermediates.
Scheme 47.
Synthesis of 2-(arylthio)benzothiazoles 57a–w via photoinduced sulfanylation.
Direct sulfanylation of the C2–H bond in benzothiazole by disulfides using nanosized Fe3O4 particles was realized to prepare 2-(arylthio)benzothiazoles 58a–e (Scheme 48) [107]. Apparently, nanosized powdered catalyst Fe3O4 acts as the Lewis acid by activating the disulfide via the S–S bond splitting. The formed anion ([Fe3O4]SPh)– is oxidized by air oxygen to recover the initial disulfide and the nanosized catalyst so that half of the molar equivalent of disulfide is required. The advantages of the method are the atom-economy synthesis, non-inert atmosphere, small quantities of the highly efficient catalyst, and recycling.
Scheme 48.
Nano-Fe3O4 promoted synthesis of 2-(arylthio)benzothiazoles 58a–e.
An interesting example of C2–H-functionalization of thiazoles using phosphines was reported recently [108]. The intermediate triflate phosphonium salts (Scheme 49) were treated with thiols, which form the corresponding thiolates by treatment with sodium hydride. The reactions proceed under mild conditions; the starting triphenylphosphine can be recovered, the yield varied from low (21%) to quantitative (99%). Remarkably, electronic or steric factors do not have a notable effect on the efficiency of the reactions.
Scheme 49.
The synthesis of benzothiazol-2-yl sulfides 59 from benzothiazole, triphenylphosphine and S-nucleophiles.
Functionalization of the SH group is the key step in the synthesis of 2-mercaptobenzothiazole derivatives with pronounced biological activity. Thus, aerobic base-free and transition metal catalyst-free regioselective S-arylation of 2-mercaptobenzothiazole with diaryliodonium triflates in DMF at 130 °C with the formation of 2-(arylthio)benzothiazoles 60a–d in good yields was reported (Scheme 50) [109].
Scheme 50.
Base-free S-arylation of 2-mercaptobenzothiazole with diaryliodonium triflates.
The KI/K2S2O8-mediated C–H sulfanylation of ketones with 2-mercaptobenzothiazole easily occurs at room temperature, leading to various β-ketothio esters 61a–o (Scheme 51) [110]. The yields for aromatic ketones were 67–92%, with aliphatic ketone or aldehyde, they decreased to 41 and 47%.
Scheme 51.
KI/K2S2O8-promoted S-acylmethylation of 2-mercaptobenzothiazole with ketones.
The two-step protocol was proposed for synthesizing 2-benzothiazolyl sulfones 63a–n via intermediate thioethers 62a–n and their oxidation with m-CPBA (Scheme 52) [111]. Sulfones 63a–n were reduced with sodium borohydride to afford functionalized sulfonates—universal intermediates in organic, biopharmaceutical and polymer chemistry—in up to quantitative yield.
Scheme 52.
Sequence of reactions 2-mercaptobenzothiazole → thioethers 62a–n → sulfones 63a–n → sulfinate salts.
Alkylation of 2-mercaptobenzothiazole with benzyl halogenides and oxidation of the formed sulfides 64a–k by KMnO4 in the presence of FeCl3 catalyst to sulfones 65a–k was realized in two different ways: in two separate steps with isolation of intermediate sulfides 64a–k or in one-pot reaction (Scheme 53) [76,77]. The use of water as the solvent, inexpensive oxidant and higher yields in one-pot reaction make the process to green protocols. The antifungal activity of sulfones 65a–k is much higher than that of their non-oxidized precursors 64a–k, probably, due to the higher hydrophilicity of the former, increasing their ability to penetrate through biological membranes.
Scheme 53.
Different protocols for synthesizing biologically active sulfones 65a–k.
Using the same procedure as in the first step of the reaction of benzothiazole with a series of substituted benzyl chlorides in the presence of KI, a series of aryl sulfides of general formula 64 was synthesized and shown to have antiparasitic, anti-inflammatory and antioxidant activity [79].
A similar reaction of cyanomethylation of the SH group followed by hydroxyamination of the formed nitrile and further functionalization led to a series of mercaptothiazole-1,2,4-oxadiazole compounds 66a–h, which demonstrated better anti-inflammatory activity than ibuprofen (Scheme 54) [70]. Note that the method is equally successful for benzoic acids containing electron-withdrawing or electron releasing groups in the ring. Methyl benzoate (R = 4-COOMe) formed in the maximal yield was used to synthesize the amide analogs 67a–k (Scheme 54, T3P = propylphosphonic anhydride; HATU = hexafluorophosphate azabenzotriazole tetramethyl uronium) [70].
Scheme 54.
Multistep synthesis of anti-inflammatory mercaptobenzothiazole-1,2,4-oxadiazoles 66a–h and their benzamide analogs 67a–k.
From 2-mercaptobenzothiazole and propargyl bromide, 2-propargyl thiobenzothiazole was obtained, which reacted with sodium azide and benzyl bromides to give benzothiazole-1,2,3-triazoles 68a–s (Scheme 55 [71]. Benzyl bromides with both electron-donor and electron-acceptor substituents react in good yield.
Scheme 55.
Synthesis of benzothiazole-1,2,3-triazole compounds 68a–s.
Compound 68 with R = C6H4COOMe was hydrolyzed to the corresponding acid 69 (R = C6H4COOH) and amide 70 (R = C6H4CONH2), which both showed antitumor effect [71].
A series of compounds having anti-inflammatory, antimicrobial and antioxidant activity and possessing the benzothiazole and 1,3,4-oxadiazole heterocycles 71a–e was synthesized starting from 6-ethoxy-2-mercaptobenzothiazole by alkylation with ethyl chloroacetate, hydrazinolysis, cyclization with carbon disulfide and, finally, S-acylation (Scheme 56) [69].
Scheme 56.
Multistep synthesis of benzothiazole-1,3,4-oxadiazole heterocycles 71a–e having anti-inflammatory, antimicrobial and antioxidant activity.
The design, synthesis and biological activity study of β-lactames possessing benzoquiniline and 2-mercaptobenzothiazole heterocycles 73a–m was performed. First, the reaction of arylation gave the corresponding aldehyde an 80% yield, which reacted with anilines to give imines 72a–m. The [2+2]-cycloaddition reaction of the latter with ketenes generated from substituted acetic acids in the presence of triethylamine and tosyl chloride led exclusively to cis-β-lactames 73a–m in high yield (Scheme 57) [67]. β-Lactames 73a–m and their imine predecessors 72a–m showed high antibacterial activity with low toxicity.
Scheme 57.
Synthesis of lactames 73a–m and their precursors 72a–m from 2-mercaptobenzothiazole.
Acylhydrazides based on 5-substituted 2-mercaptobenzothiazoles react with p-hetaryl-substituted benzaldehydes to afford benzothiazolyl acyl hydrazones 74a–j having an antitumor activity (Scheme 58) [74].
Scheme 58.
Synthesis of benzothiazolyl acyl hydrazones 74a–j with antitumor activity.
New structural hybrids of benzofuroxan and benzothiazole derivatives were synthesized by nucleophilic aromatic substitution in 7-chloro-4,6-dinitro-2,1,3-benzoxadiazole 1-oxide or 4,6-dichloro-5-nitro-2,1,3-benzoxadiazole 1-oxide by 2-mercaptobenzothiazole [19]. Remarkably, with the former, the reaction proceeds as substitution of the chlorine atom activated by three nitro groups (two in the benzene ring and one in the 1,2,5-oxadiazole 2-oxide moiety) to give compound 75, while with the latter, either two thiol residues appear in the 4- and 5-positions (compound 76a), or chlorine atom replaces the 5-NO2 group, and the thiol residue goes to the 4-position (compound 76b, Scheme 59). The synthesized scaffolds 75 and 76 are considered pro-drugs that realize their biological activity via the intracell mediators [19].
Scheme 59.
Synthesis of scaffolds 75, 76 from 2-mercaptobenzothiazole and 4,6,7-substituted 2,1,3-benzoxadiazole 1-oxides.
2-Mercaptobenzothiazole reacts with aryl enyne ketones in the presence of DBU at room temperature via cyclization to give benzothiazolyl furfuryl sulfides 77a–d [112]. Cyclization to furans proceeds, apparently, via the intermediate ions (Scheme 60). Ketones with electron-acceptor substituents in the aryl ring give higher yields of the products. Compounds 77 are potential fungicides.
Scheme 60.
Benzothiazolyl furfuryl sulfides 77a–d via cyclization of 2-mercaptobenzothiazole with aryl enyne ketones.
In a series of our works, the reactions of 2-mercaptobenzothiazole with iodomethylsilanes were examined. As distinct from the reactions described above, 2-mercaptobenzothiazole, when treated with (iodomethyl)(dimethyl)phenyl silane (a) or (iodomethyl)-1-methylsilolane (b), having the exocyclic or endocyclic silicon atom in the molecule, afford new iminium salts 78a,b and 79a,b with the iodide or triiodide counter-ions (Scheme 61) [113]. The reaction proceeds at room temperature in the absence of bases or phase-transfer catalysts. When carrying out the reaction in the presence of equimolar amounts of iodine required for the formation of triiodide anion, the yield of compounds 79a,b is increased by three times. New ionic liquids having stable organosilicon disulfonium cations and iodide and triiodide counter-ions 80a,b were obtained by the reaction with di(2-benzothiazolyl)disulfide. Compounds 80 are promising electrophiles for synthesizing organoelement derivatives by the reaction with C-nucleophiles. The increased interest in the salts of heterocyclic compounds is due to wide application in different fields [114,115,116,117,118,119].
Scheme 61.
Organosilicon salts 78, 79 and disulfonium dications 80 from 2-mercaptobenzothiazole.
The three-component reaction of 2-mercaptobenzothiazole, silane (a, see Scheme 61) and molecular iodine, in addition to product 79a, leads to the annulated N,S,Si-heterocycle 81 [120]. The formation of this interesting tricyclic structure occurs due to partial splitting of the Si-Csp2 in the product of S-alkylation 79a induced by the in situ formed HI and elemental iodine. The intermediate labile silane A readily enters the reaction of intramolecular cycloquaternization resulting in the formation of B, which suffers the intramolecular rearrangement with the migration of the methylene group in the N–Si–CH2–S в N–CH2–Si–S in the heterocycle to give salt 81 (Scheme 62). To the best of our knowledge, this is the first example of the annulation of 2-mercaptothiazolyl derivative resulting in the so-far unknown 2,3-dihydro[1,4,2]thiazasilolo[5,4-b][1,3]benzothiazol-4-ium heterocyclic system.
Scheme 62.
Annulation with rearrangement of salt 79a to salt 81.
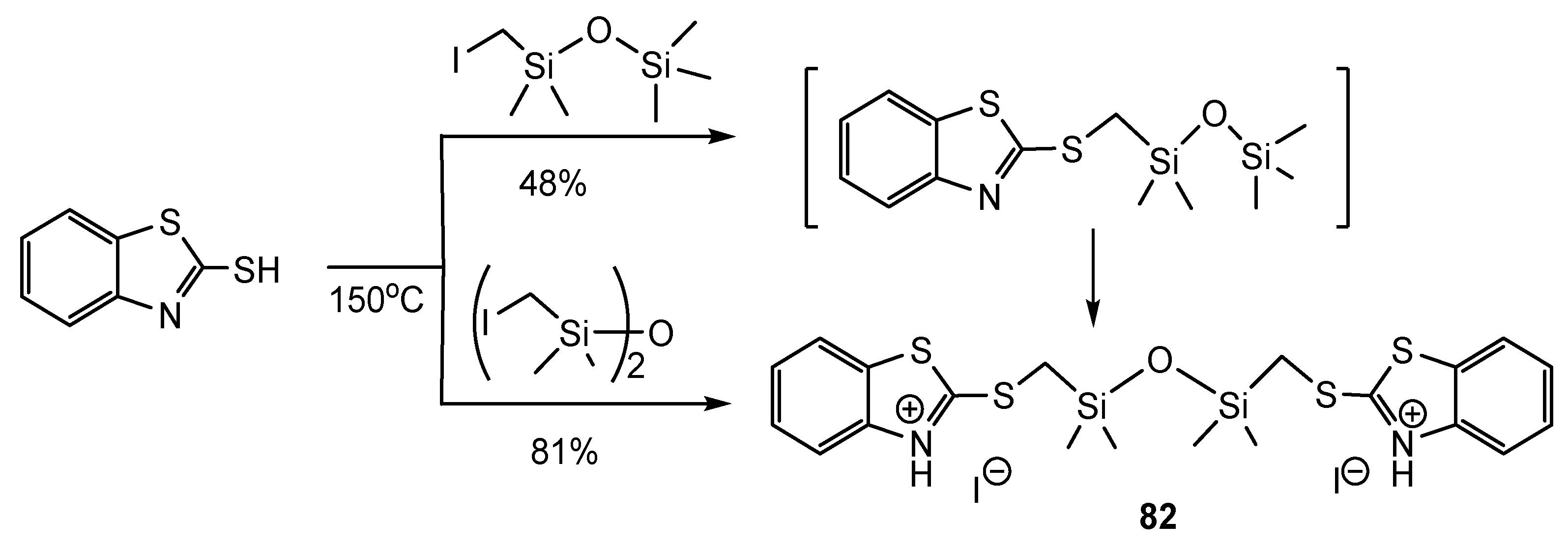
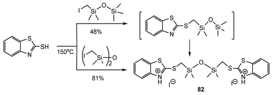
2-Mercaptobenzothiazole was S-alkylated with mono- and bifunctional iodomethylsiloxanes at high temperatures in the solvent-free and base-free manner to give bis-iminium salt 82 (Scheme 63) [121]. The formation of product 82 from 1-(iodomethyl)-1,1,3,3,3-pentamethyldisiloxane occurs via the splitting of the siloxane bonds in the product of S-alkylation induced by the in situ formed HI. Subsequent intermolecular condensation of the intermediate labile products affords diiodide 82.
Scheme 63.
Synthesis of bis-iminium salt 82 from 2-mercaptobenzothiazole and iodomethylsiloxanes.
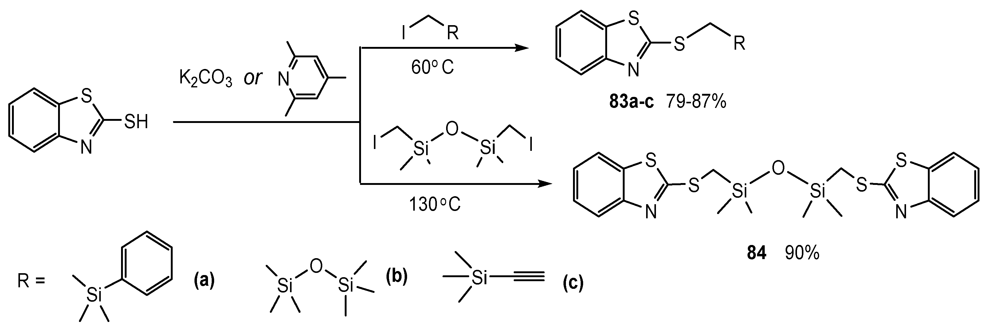
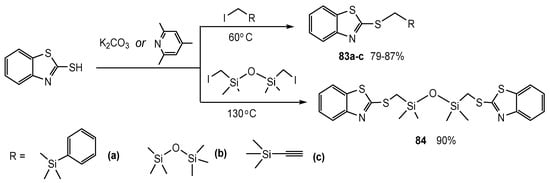
The reactions of 2-mercaptobenzothiazole with different organosilicon alkylated reagents were also carried out under the conventional conditions, excluding the formation of hydrogen iodide in the reaction mixture and, hence, the bond splitting [121,122]. The reaction is performed in the presence of an inorganic (K2CO3) or organic non-nucleophilic base (2,4,6-collidine). In this case, non-salt forms of silicon-aromatic, silicon-acetylenic, or siloxane derivatives of 2-mercaptobenzothiazole 83a–c, 84 were obtained (Scheme 64). From the virtual screening using the PASS program, compounds 83a,c in high probability may possess biological activity, displaying antisclerotic and antioxidant activity.
Scheme 64.
Synthesis of non-salt forms of silicon-aromatic, silicon-acetylenic, and siloxane derivatives of 2-mercaptobenzothiazole 83a–c, 84.
Noteworthy is the presence of tetramethylsiloxane groups in molecules 82, 83a, 84 imparting the materials on their basis elasticity, strength, chemical inertness and biocompatibility.
New compounds 85–88 (Scheme 65) were obtained by the reaction of 2,2′-(organyldithio)dibenzothiazoles with iodoacetone in the presence of elemental iodine [123]. The presence of I2 is necessary for the formation of triiodide counter-ions, which were shown by us to stabilize the formation and accumulation of disulfonium cations.
Scheme 65.
Acylalkylation and annulation reactions of 2-mercaptobenzothiazole derivatives with iodoacetone.
The course of the reaction is affected by the nature of the spacer introduced in the disulfide link. In the case of polymethylene spacer, the reaction proceeds exclusively on the exocyclic sulfur atoms, whereas the carbonyl group in the spacer initiates the reaction on the nitrogen atoms in the heterocycle.
Silylpropyl derivatives of 2-mercaptobenzothiazole have also been described [124]. They have been obtained by nucleophilic substitution of chlorine in (chloropropyl)trimethoxysilane in the presence of sodium methoxide and crown-ether in DMF on heating and gave product 89 in 77% yield. The latter was converted to hydrolytically unstable trifluorosilyl derivative 90 by the reaction of 89 with trifluoroboron etherate (Scheme 66).
Scheme 66.
Synthesis of trimethoxysilyl and trifluorosilyl derivatives of 2-mercaptobenzothiazole.
The sol–gel technique, which is a promising method in material science, was used for the preparation of a silane-based coating 91 using (3-glycidoxypropyl) trimethoxysilane, tetraethyl orthosilicate, and Al(OPr-i)3 as a chemical modifier, and benzotriazole or 2-mercaptobenzothiazoleas as corrosion inhibitors (Scheme 67) [88].
Scheme 67.
Sol–gel synthesis of anticorrosion coating 91 based on 2-mercaptobenzothiazole.
Also, note the use of 2-mercaptobenzothiazole for the preparation of nanocomposite 92 from magnetic graphene oxide (GO/Fe3O4) and (3-chloropropyl)trimethoxysilane (Scheme 68) [94]. Nanosorbent 92 is successfully used in different matrices for the extraction of trace amounts of cadmium copper and lead.
Scheme 68.
Preparation of nanosorbent 92 based on magnetic GO and 2-mercaptobenzothiazole.
Consequently, 2-mercaptobenzothiazole and its derivatives, as 2-aminobenzothiazole, have great potential in synthetic organic chemistry, the chemistry of drugs and material chemistry. The results of the last five years have unequivocally proven that investigation in this field allows discovering new reactions and approaches to valuable products of considerable interest as biologically active compounds, new synthons and materials. Functionalization of the amino or mercapto groups in the 2-position allows not only preparing new products but also assembling new types of annulated heterocycles.
4. Conclusions
In summary, based on the analysis of the recent literature (since 2015) on the synthesis and chemical transformations of the 2-amino and 2-mercapto-substituted derivatives of benzothiazole in the present review, we conclude that practically all products clearly demonstrate various practically valuable properties. Easy functionalization of the amino and mercapto groups and the benzene ring in 2-amino- or 2-mercaptobenzothiazole allows considering them as highly reactive synthons for the design and preparation of biologically active and industrially demanded products and materials. Note that, in addition to conventional multistep methods of their syntheses, large efforts are being made to develop environmentally friendly atom economy one-pot methods having high synthetic potential and representing the basis of modern organic synthesis.
Author Contributions
Conceptualization, L.V.Z. and N.O.Y.; validation, L.V.Z. and B.A.S.; writing—original draft preparation, L.V.Z. and N.O.Y.; writing—review and editing, B.A.S.; supervision, B.A.S. All authors have read and agreed to the published version of the manuscript.
Funding
This research received no external funding.
Conflicts of Interest
The authors declare no conflict of interest.
References
- Agarwal, S.; Gandhi, D.; Kalal, P. Benzothiazole: A Versatile and Multitargeted Pharmacophore in the Field of Medicinal Chemistry. Lett. Org. Chem. 2017, 14, 729–742. [Google Scholar] [CrossRef]
- Keri, R.S.; Patil, M.R.; Patil, S.A.; Budagumpi, S. A Comprehensive Review in Current Developments of Benzothiazole-Based Molecules in Medicinal Chemistry. Eur. J. Med. Chem. 2015, 89, 207–251. [Google Scholar] [CrossRef] [PubMed]
- Rouf, A.; Tanyeli, C. Bioactive thiazole and benzothiazole derivatives. Eur. J. Med. Chem. 2015, 97, 911–927. [Google Scholar] [CrossRef] [PubMed]
- Asiri, Y.I.; Alsayari, A.; Muhsinah, A.B.; Mabkhot, Y.N.; Hassan, M.Z. Benzothiazoles as potential antiviral agents. J. Pharm. Pharmacol. 2020, 1459–1480. [Google Scholar] [CrossRef] [PubMed]
- Liu, X.; Dong, Z.-B. A Review on Domino Condensation/Cyclization Reactions for the Synthesis of 2-Substituted 1,3-Benzothiazole Derivatives. Eur. J. Org. Chem. 2020, 4, 408–419. [Google Scholar] [CrossRef]
- Galochkina, A.V.; Bollikanda, R.K.; Zarubaev, V.V.; Tentler, D.G.; Lavrenteva, I.N.; Slita, A.V.; Chirra, N.; Kantevari, S. Synthesis of novel derivatives of 7,8-dihydro-6H-imidazo[2,1-b] [1,3] benzothiazol-5-one and their virus-inhibiting activity against influenza A virus. Arch. Pharm. Chem. Life Sci. 2019, 352, e1800225. [Google Scholar] [CrossRef] [PubMed]
- Montalvão, S.; Leino, T.O.; Kiuru, P.S.; Lillsunde, K.-E.; Yli-Kauhaluoma, J.; Tammela, P. Synthesis and biological evaluation of 2-amino-benzothiazole and benzimidazole analogs based on the clathrodin structure. Arch. Pharm. Chem. Life Sci. 2016, 349, 137–149. [Google Scholar] [CrossRef]
- Takamatsu, Y.; Aoki, M.; Bulut, H.; Das, D.; Amano, M.; Sheri, V.R.; Kovari, L.C.; Hayashi, H.; Delino, N.S.; Ghosh, A.K.; et al. Novel Protease Inhibitors Containing C-5-Modified bis-Tetrahydrofuranylurethane and Aminobenzothiazole as P2 and P2′ Ligands That Exert Potent Antiviral Activity against Highly Multidrug-Resistant HIV-1 with a High Genetic Barrier against the Emergence of Drug Resistance. Antimicrob. Agents Chemother. 2019, 63, e00372. [Google Scholar] [CrossRef]
- Wu, H.; Bock, S.; Snitko, M.; Berger, T.; Weidner, T.; Holloway, S.; Kanitz, M.; Diederich, W.E.; Steuber, H.; Walter, C.; et al. Novel Dengue Virus NS2B/NS3 Protease Inhibitors. J. Antimicrob. Agent. Chemother. 2015, 59, 1100–1109. [Google Scholar] [CrossRef]
- Ghosh, A.K.; Nyalapatla, P.R.; Kovela, S.; Rao, K.V.; Brindisi, M.; Osswald, H.L.; Amano, M.; Aoki, M.; Agniswamy, J.; Wang, Y.-F.; et al. Design and Synthesis of Highly Potent HIV-1 Protease Inhibitors Containing Tricyclic Fused Ring Systems as Novel P2 Ligands: Structure–Activity Studies, Biological and X-ray Structural Analysis. J. Med. Chem. 2018, 61, 4561–4577. [Google Scholar] [CrossRef]
- Ghosh, A.K.; Rao, K.V.; Nyalapatla, P.R.; Osswald, H.L.; Martyr, C.D.; Aoki, M.; Hayashi, H.; Agniswamy, J.; Wang, Y.-F.; Bulut, H.; et al. Design and Development of Highly Potent HIV-1 Protease Inhibitors with a Crown-Like Oxotricyclic Core as the P2-Ligand to Combat Multidrug-Resistant HIV Variants. J. Med. Chem. 2017, 60, 4267–4278. [Google Scholar] [CrossRef]
- Elamin, M.B.; Elaziz, A.A.E.S.A.; Abdallah, E.M. Benzothiazole moieties and their derivatives as antimicrobial and antiviral agents: A mini-review. Int. J. Res. Pharm. Sci. 2020, 11, 3309–3315. [Google Scholar] [CrossRef]
- Probst, P.; Grigg, J.B.; Wang, M.; Muñoz, E.; Loo, Y.-M.; Ireton, R.C.; Gale, M., Jr.; Iadonato, S.P.; Bedard, K.M. A small-molecule IRF3 agonist functions as an influenza vaccine adjuvant by modulating the antiviral immune response. Vaccine 2017, 35, 1964–1971. [Google Scholar] [CrossRef] [PubMed]
- Shaikh, F.M.; Patel, N.B.; Sanna, G.; Busonera, B.; Colla, P.L.; Rajani, D.P. Synthesis of some new 2-amino-6-thiocyanato benzothiazole derivatives bearing 2,4-thiazolidinediones and screening of their in vitro antimicrobial, antitubercular and antiviral activities. Med. Chem. Res. 2015, 24, 3129–3142. [Google Scholar] [CrossRef]
- Abood, Z.H.; Qabel, H.A.; Ali, H.R. Microwave Synthesis of 2,3-Disubstituted-5-methyl-1,3-imidazolidines-4-one Bearing Benzothiazole Moiety and Elementarily Assessment of Their Antibacterial Action. J. Phys. Conf. Ser. 2018, 1032, 012058. [Google Scholar] [CrossRef]
- Yurttaş, L.; Özkay, Y.; Duran, M.; Turan-Zitouni, G.; Özdemir, A.; Cantürkd, Z.; Küçükoglu, K.; Kaplancıklı, Z.A. Synthesis and Antimicrobial Activity Evaluation of New Dithiocarbamate Derivatives Bearing Thiazole/Benzothiazole Rings. Phosphorus Sulfur Silicon 2016, 191, 1166–1173. [Google Scholar] [CrossRef]
- Amnerkar, N.D.; Bhongade, B.A.; Bhusari, K.P. Synthesis and biological evaluation of some 4-(6-substituted-1,3-benzothiazol-2-yl)amino-1,3-thiazole-2-amines and their Schiff bases. Arab. J. Chem. 2015, 8, 545–552. [Google Scholar] [CrossRef]
- Defrenza, I.; Catalano, A.; Carocci, A.; Carrieri, A.; Muraglia, M.; Rosato, A.; Corbo, F.; Franchini, C. 1,3-Benzothiazoles as Antimicrobial Agents. J. Heterocycl. Chem. 2015, 52, 1705–1712. [Google Scholar] [CrossRef]
- Chugunova, E.; Boga, C.; Sazykin, I.; Cino, S.; Micheletti, G.; Mazzanti, A.; Sazykina, M.; Burilov, A.; Khmelevtsova, L.; Kostina, N. Synthesis and antimicrobial activity of novel structural hybrids of benzofuroxan and benzothiazole derivatives. Eur. J. Med. Chem. 2015, 93, 349–359. [Google Scholar] [CrossRef]
- Bala, R.; Kumari, P.; Sood, S.; Kumar, V.; Singh, N.; Singh, K. Phthaloyl Dichloride–DMF Mediated Synthesis of Benzothiazole-based 4-Formylpyrazole Derivatives: Studies on Their Antimicrobial and Antioxidant Activities. J. Heterocycl. Chem. 2018, 55, 2507–2516. [Google Scholar] [CrossRef]
- Sadhasivam, G.; Kulanthai, K. Synthesis, characterization, and evaluation of anti-inflammatory and anti-diabetic activity of new benzothiazole derivatives. J. Chem. Pharm. Res. 2015, 7, 425–431. [Google Scholar]
- Tariq, S.; Alam, O.; Amir, M. Synthesis, p38α MAP kinase inhibition, anti-inflammatory activity, and molecular docking studies of 1,2,4-triazole-based benzothiazole-2-amines. Arch. Pharm. Chem. Life Sci. 2018, 351, e1700304. [Google Scholar] [CrossRef] [PubMed]
- Tariq, S.; Kamboj, P.; Alam, O.; Amir, M. 1,2,4-Triazole-based benzothiazole/benzoxazole derivatives: Design, synthesis, p38α MAP kinase inhibition, anti-inflammatory activity and molecular docking studies. Bioorg. Chem. 2018, 81, 630–641. [Google Scholar] [CrossRef] [PubMed]
- Ugwu, D.I.; Okoro, U.C.; Ukoha, P.O.; Gupta, A.; Sunday, N. Novel anti-inflammatory and analgesic agents: Synthesis, molecular docking and in vivo studies. J. Enzyme Inhibit. Med. Chem. 2018, 33, 405–415. [Google Scholar] [CrossRef]
- Özkay, Ü.D.; Kaya, C.; Çevik, U.A.; Can, Ö.D. Synthesis and Antidepressant Activity Profile of Some Novel Benzothiazole Derivatives. Molecules 2017, 22, 1490. [Google Scholar] [CrossRef]
- Özkay, Ü.D.; Can, Ö.D.; Saglik, B.N.; Çevik, U.A.; Levent, S.; Özkay, Y.; Ilgın, S.; Atlı, Ö. Design, synthesis, and AChE inhibitory activity of new benzothiazole-piperazines. Bioorg. Med. Chem. Lett. 2016, 26, 5387–5394. [Google Scholar] [CrossRef]
- Liu, D.C.; Zhang, H.J.; Jin, C.M.; Quan, Z.S. Synthesis and Biological Evaluation of Novel Benzothiazole Derivatives as Potential Anticonvulsant Agents. Molecules 2016, 21, 164. [Google Scholar] [CrossRef]
- Ali, R.; Siddiqui, N. New Benzo[d]thiazol-2-yl-aminoacetamides as Potential Anticonvulsants: Synthesis, Activity and Prediction of Molecular Properties. Arch. Pharm. Chem. Life Sci. 2015, 348, 254–265. [Google Scholar] [CrossRef]
- Murtuja, S.; Shaquiquzzaman, M.; Amir, M. Design, Synthesis, and Screening of Hybrid Benzothiazolyl-Oxadiazoles as Anticonvulsant Agents. Lett. Drug Design Dis. 2018, 15, 398–405. [Google Scholar] [CrossRef]
- Harrouche, K.; Renard, J.-F.; Bouider, N.; Tullio, P.; Goffin, E.; Lebrun, P.; Faury, G.; Pirotte, B.; Khelili, S. Synthesis, characterization and biological evaluation of benzothiazoles and tetrahydrobenzothiazoles bearing urea or thiourea moieties as vasorelaxants and inhibitors of the insulin releasing process. Eur. J. Med. Chem. 2016, 115, 352–360. [Google Scholar] [CrossRef]
- Ibrahim, D.A.; Lasheen, D.S.; Zaky, M.Y. Design and synthesis of benzothiazole-6-sulfonamides acting as highly potent inhibitors of carbonic anhydrase isoforms I, II, IX and XII. Bioorg. Med. Chem. 2015, 23, 4989–4999. [Google Scholar] [CrossRef] [PubMed]
- Ibrahim, N.M.; Yosef, A.A.H.; Ewies, F.E.; Mahran Mohamed, R.H.; Ali Mamdouh, M.; Mahmoud Abeer, E. Synthesis and Antitumor Evaluation of New Heterocycles Derived from 3- Methyl-2- benzothiazolinone Hydrazone. J. Braz. Chem. Soc. 2015, 26, 1086–1097. [Google Scholar] [CrossRef]
- Dadmal, T.L.; Appalanaidu, K.; Kumbhare, R.M.; Mondal, T.; Ramaiah, M.J.; Bhadra, M.P. Synthesis and biological evaluation of triazole and isoxazole-tagged benzothiazole/benzoxazole derivatives as potent cytotoxic agents. New J. Chem. 2018, 42, 15546–15551. [Google Scholar] [CrossRef]
- Sultana, F.; Saifi, M.A.; Syed, R.; Mani, G.S.; Shaik, S.P.; Osas, E.G.; Godugu, C.; Shahjahanb, S.; Kamal, A. Synthesis of 2-anilinopyridyl linked benzothiazole hydrazones as apoptosis inducing cytotoxic agents. New J. Chem. 2019, 43, 7150–7161. [Google Scholar] [CrossRef]
- Pathak, N.; Rathi, E.; Kumar, N.; Kini, S.G.; Rao, C.M. A Review on Anticancer Potentials of Benzothiazole Derivatives. Mini-Rev. Med. Chem. 2020, 20, 12–23. [Google Scholar] [CrossRef]
- Chikhale, R.; Menghani, S.; Babu, R.; Bansode, R.; Bhargavi, G.; Karodia, N.; Rajasekharan, M.V.; Paradkar, A.; Khedekar, P. Development of selective DprE1 inhibitors: Design, synthesis, crystal structure and antitubercular activity of benzothiazolylpyrimidine-5-carboxamides. Eur. J. Med. Chem. 2015, 96, 30–46. [Google Scholar] [CrossRef] [PubMed]
- Sarkar, S.; Siddiqui, A.A.; Saha, S.J.; De, R.; Mazumder, S.; Banerjee, C.; Iqbal, M.S.; Nag, S.; Adhikari, S.; Bandyopadhyaya, U. Antimalarial Activity of Small-Molecule Benzothiazole Hydrazones. Antimicrob. Agents Chemother. 2016, 60, 4217–4228. [Google Scholar] [CrossRef] [PubMed]
- Sever, B.; Altıntop, M.D.; Özdemir, A.; Tabanca, N.; Estep, A.S.; Becnel, J.J.; Bloomquist, J.R. Biological evaluation of a series of benzothiazole derivatives as mosquitocidal agents. Open Chem. 2019, 17, 288–294. [Google Scholar] [CrossRef]
- Mao, M.-Z.; Wanga, H.-Y.; Wang, W.; Ninga, B.-K.; Lib, Y.-X.; Xiong, L.-X.; Lib, Z.-M. Synthesis and biological evaluation of novel N-pyridylpyrazolecarboxamides containing benzothiazole. Phosphorus Sulfur Silicon 2017, 192, 42–46. [Google Scholar] [CrossRef]
- Che, J.-Y.; Meng, X.-S.; Xu, X.-Y.; Jiang, S.; Gu, Y.-C.; Shia, D.-Q. Synthesis and Herbicidal Evaluation of Novel Uracil Derivatives Containing Benzothiazol-2-yl Moiety. J. Heterocycl. Chem. 2016, 53, 1494–1498. [Google Scholar] [CrossRef]
- Jian, R.; Wang, P.; Duan, W.; Wang, J.; Zheng, X.; Weng, J. Synthesis of a Novel P/N/S-Containing Flame Retardant and Its Application in Epoxy Resin: Thermal Property, Flame Retardance, and Pyrolysis Behavior. J. Ind. Eng. Chem. Res. 2016, 55, 11520–11527. [Google Scholar] [CrossRef]
- Sharma, S.; Pathare, R.S.; Maurya, A.K.; Gopal, K.; Roy, T.K.; Sawant, D.M.; Pardasani, R.T. Ruthenium Catalyzed Intramolecular C-S Coupling Reactions: Synthetic Scope and Mechanistic Insight. Org. Lett. 2016, 18, 356–360. [Google Scholar] [CrossRef]
- Zeng, M.T.; Xu, W.; Liu, M.; Liu, X.; Chang, C.Z.; Zhu, H.; Dong, Z.B.; Kashiyama, E. Iodobenzene-Promoted Pd-Catalysed ortho-irected C-H Activation: The Synthesis of Benzothiazoles via Intramolecular Coupling. SynOpen 2017, 1, 1–7. [Google Scholar] [CrossRef][Green Version]
- Gao, M.-Y.; Li, J.-H.; Zhang, S.-B.; Chen, L.-J.; Li, Y.-S.; Dong, Z.-B. A Mild Synthesis of 2-Substituted Benzothiazoles via Nickel-Catalyzed Intramolecular Oxidative C−H Functionalization. J. Org. Chem. 2020, 85, 493–500. [Google Scholar] [CrossRef]
- Xu, W.; Zeng, M.T.; Liu, M.; Liu, X.; Chang, C.Z.; Zhu, H.; Dong, Z.B. Metal-Free or Transition-Metal-Catalyzed One-Pot Synthesis of 2-Aminobenzothiazoles. J. Sulfur Chem. 2017, 38, 644–654. [Google Scholar] [CrossRef]
- He, Y.; Li, J.; Luo, S.; Huang, J.; Zhu, Q. A Metal-Free Synthesis of 2-Aminobenzothiazoles through Aminyl Radical Addition to Aryl isothiocyanates. Chem. Commun. 2016, 52, 8444–8447. [Google Scholar] [CrossRef] [PubMed]
- Xu, Y.; Li, B.; Zhang, X.; Fan, X. Metal-Free Synthesis of 2-Aminobenzothiazoles via Iodine-Catalyzed and Oxygen-Promoted Cascade Reactions of Isothiocyanatobenzenes with Amines. J. Org. Chem. 2017, 82, 9637–9646. [Google Scholar] [CrossRef]
- Zhu, H.; Zhang, S.B.; Liu, X.; Cheng, Y.; Peng, H.Y.; Dong, Z.B. Copper (II)-Promoted Cascade Synthesis of 2-Aminobenzothiazoles Starting from 2-Iodoanilines and Sodium Dithiocarbamates. Eur. J. Org. Chem. 2018, 2018, 5711–5716. [Google Scholar] [CrossRef]
- Xu, W.; Zeng, M.T.; Liu, S.S.; Li, Y.S.; Dong, Z.B. Copper Catalyzed Synthesis of Benzoxazoles and Benzothiazoles via Tandem Manner. Tetrahedron Lett. 2017, 58, 4289–4292. [Google Scholar] [CrossRef]
- Chang, C.-Z.; Xu, W.; Zeng, M.-T.; Liu, M.; Liu, X.; Zhu, H.; Dong, Z.-B. Copper-Catalyzed Tandem Reaction of 2-Haloanilines with Thiocarbamoyl Chloride: Synthesis of 2-Aminobenzothiazoles. Synth. Commun. 2017, 47, 262–1267. [Google Scholar] [CrossRef]
- Xu, W.; Zeng, M.T.; Liu, M.; Liu, X.; Chang, C.Z.; Zhu, H.; Li, Y.S.; Dong, Z.B. Palladium-catalyzed Tandem Synthesis of 2-Aminobenzothiazoles Starting from Unreactive 2-Chloroanilines. Chem. Lett. 2017, 46, 641–643. [Google Scholar] [CrossRef]
- Yoon, H.; Lee, Y. Copper-Catalyzed Electrophilic Amination of Heteroarenes via C−H Alumination. J. Org. Chem. 2015, 80, 10244–10251. [Google Scholar] [CrossRef]
- Min, H.; Xiao, G.; Liu, W.; Liang, Y. Copper-catalyzed synthesis of 2-aminobenzothiazoles from 2-iodophenyl isocyanides, potassium sulfide and amines. Org. Biomol. Chem. 2016, 14, 11088–11091. [Google Scholar] [CrossRef]
- Castanheiro, T.; Suffert, J.; Gulea, M.; Donnard, M. Aerobic Copper-Mediated Domino Three-Component Approach to 2-Aminobenzothiazole Derivatives. Org. Lett. 2016, 18, 2588–2591. [Google Scholar] [CrossRef]
- Arab-Salmanabadi, S. Synthesis and Spectral Characterization of Novel Bis-thiazole Derivatives via Ring Closure of Benzo[d]thiazol-2-amine, Various α-Haloketones, and S-Nucleophiles. J. Heterocycl. Chem. 2017, 54, 3600–3606. [Google Scholar] [CrossRef]
- Zhang, J.; Wei, C.; Li, S.; Hu, D.; Song, B. Discovery of novel bis-sulfoxide derivatives bearing acylhydrazone and benzothiazole moieties as potential antibacterial agents. Pestic. Biochem. Physiol. 2020, 167, 104605. [Google Scholar] [CrossRef]
- Shrivastava, G.; Shrivastava, M. Microwave assisted synthesis and characterization of schiff base of 2-amino-6-nitrobenzothiazole. Int. Res. J. Pharm. 2018, 9, 81–84. [Google Scholar] [CrossRef]
- Liu, N.; Zhu, S.; Zhang, X.; Yin, X.; Dong, G.; Yao, J.; Miao, Z.; Zhang, W.; Zhang, X.; Sheng, C. The discovery and characterization of a novel scaffold as a potent hepatitis C virus inhibitor. Chem. Commun. 2016, 52, 3340–3343. [Google Scholar] [CrossRef] [PubMed]
- Zhang, J.; Lu, X.; Li, T.; Wang, S.; Zhong, G. Copper-Catalyzed Oxidative Cyclization of 2-Amino-azaarenes withLignin Models: Synthesis of 3-Phenoxy Imidazo Heterocycles. J. Org. Chem. 2017, 82, 5222–5229. [Google Scholar] [CrossRef] [PubMed]
- Gajaganti, S.; Kumari, S.; Kumar, D.; Allam, B.K.; Srivastava, V.; Singh, S. An Efficient, Green, and Solvent-free Multi-component Synthesis of Benzimidazolo/Benzothiazolo Quinazolinone Derivatives Using Sc (OTf)3 Catalyst Under Controlled Microwave Irradiation. J. Heterocycl. Chem. 2018, 55, 2578–2584. [Google Scholar] [CrossRef]
- Khan, T.; Yadav, R. Silica-Supported P2O5 as an Efficient Heterogeneous Catalyst for the One Pot Synthesis of 3-Amino-imidazo[2,1-b](1,3)benzothiazole under Green Conditions. J. Heterocycl. Chem. 2019, 56, 11–17. [Google Scholar] [CrossRef]
- Hosseinikhah, S.S.; Mirjalili, B.B.F. Fe3O4@NCs/Sb(V): As a Cellulose Based Nano-Catalystfor the Synthesis of 4H-Pyrimido[2,1-b]benzothiazoles. Polycyclic Aromat. Compd. 2020, 1764985. [Google Scholar] [CrossRef]
- Nouri, A.; Marjani, A.P.; Khalafy, J. An Efficient Synthesis of Benzo[g]thiazolo[2,3-b]quinazolin-4-ium and Benzo[g]benzo[4,5]thiazolo[2,3-b]quinazolin-14-ium Hydroxides by a One-pot, Three-component Reaction under Green Conditions. J. Heterocycl. Chem. 2019, 56, 2912–2921. [Google Scholar] [CrossRef]
- Kumar, M.; Arya, A.K.; George, J.; Arya, K.; Pardasani, R.T. DFT Studied Hetero-Diels–Alder Cycloaddition for the Domino Synthesis of Spiroheterocycles Fused to Benzothiazole and Chromene/Pyrimidine Rings in Aqueous Media. J. Heterocycl. Chem. 2017, 54, 3418–3426. [Google Scholar] [CrossRef]
- Mukku, N.; Maiti, B. On water catalyst-free synthesis of benzo[d]imidazo[2,1-b]thiazoles and novel N-alkylated 2-aminobenzo[d]oxazoles under microwave irradiation. RSC Adv. 2020, 10, 770–778. [Google Scholar] [CrossRef]
- Mahdi, M.F.; Al-Smaism, R.F.; Ibrachim, N.W. Synthesis, characterization and antibacterial evalution of novel 2-mercaptobenzothiazole derivatives bearing 2-aminonicotinonitrile moiety. Eur. J. Chem. 2016, 7, 8–13. [Google Scholar] [CrossRef]
- Borazjani, N.; Jarrahpour, A.; Rad, J.A.; Mohkam, M.; Behzadi, M.; Ghasemi, Y.; Mirzaeinia, S.; Karbalaei-Heidari, H.R.; Ghanbari, M.M.; Batta, G.; et al. Design, synthesis and biological evaluation of some novel diastereoselective β-lactams bearing 2-mercaptobenzothiazole and benzoquinoline. Med. Chem. Res. 2019, 28, 329. [Google Scholar] [CrossRef]
- Kuznetsova, A.; Domingues, P.M.; Silva, T.; Almeida, A.; Zheludkevich, M.L.; Tedim, J.; Ferreira, M.G.S.; Cunha, A. Antimicrobial activity of 2-mercaptobenzothiazole released from environmentally friendly nanostructured layered double hydroxides. J. Appl. Microbiol. 2017, 122, 1207–1218. [Google Scholar] [CrossRef]
- Asrondkar, A.; Patil, V.; Mishra, N.; Bobade, A.S.; Chowdhary, A.S. Synthesis of some mercapto benzothiazole derivative with their characterization and biological evaluation. J. Pharm. Res. 2015, 4, 618–626. [Google Scholar]
- Yatam, S.; Gundla, R.; Jadav, S.S.; Pedavenkatagari, N.R.; Chimakurthy, J.; Rani, N.; Kedam, T. Focused library design and synthesis of 2-mercapto benzothiazole linked 1,2,4-oxadiazoles as COX-2/5-LOX inhibitors. J. Molec. Struct. 2018, 1159, 193–204. [Google Scholar] [CrossRef]
- Yatam, S.; Jadav, S.S.; Gundla, K.P.; Paidikondala, K.; Ankireddy, A.R.; Babu, B.N.; Ahsan, M.J.; Gundla, R. 2-Mercapto Benzthiazole Coupled Benzyl Triazoles as NewCOX-2 Inhibitors: Design, Synthesis, Biological Testing and Molecular Modeling Studies. Chem. Select. 2019, 4, 11081–11092. [Google Scholar] [CrossRef]
- He, J.; Cai, L.; Chen, Y.; He, Y.; Wang, M.; Tang, J.; Guan, H.; Wanga, J.; Peng, X. Antitumor and radiosensitizing effects of SKLB-163, a novelbenzothiazole-2-thiol derivative, on nasopharyngeal carcinoma by affecting the RhoGDI/JNK-1 signaling pathway. Radiother. Oncol. 2018, 129, 30–37. [Google Scholar] [CrossRef]
- Hu, X.; Li, S.; He, Y.; Ai, P.; Wu, S.; Su, Y.; Li, X.; Cai, L.; Peng, X. Antitumor and antimetastatic activities of a novel benzothiazole- 2-thiol derivative in a murine model of breast cancer. Oncotarget 2017, 8, 11887–11895. [Google Scholar] [CrossRef]
- Osmaniy, D.; Levent, S.; Karaduman, A.B.; Ilgın, S.; Özkay, Y.; Kaplancıklı, Z.A. Synthesis of New Benzothiazole Acylhydrazones as Anticancer Agents. Molecules 2018, 23, 1054. [Google Scholar] [CrossRef] [PubMed]
- Cano, N.H.; Ballari, M.S.; López, A.G.; Santiago, A.N. New Synthesis and Biological Evaluation of Benzothiazole Derivates as Antifungal Agents. J. Agric. Food Chem. 2015, 63, 3681–3686. [Google Scholar] [CrossRef]
- Ballari, M.S.; Herrera Cano, N.; Lopez, A.G.; Wunderlin, D.A.; Feresin, G.E.; Santiago, A.N. Green synthesis of potential antifungal agents: 2-benzyl substituted thiobenzoazoles. J. Agric. Food Chem. 2017, 65, 10325–10331. [Google Scholar] [CrossRef]
- Ballari, M.S.; Cano, N.H.; Wunderlin, D.A.; Feresin, G.E.; Santiago, A.N. One-pot sequential synthesis and antifungal activity of 2-benzylsulfonyl)benzothiazole derivatives. RSC Adv. 2019, 9, 29405–29413. [Google Scholar] [CrossRef]
- Zuo, Y.; Wu, Q.; Su, S.-W.; Niu, C.-W.; Xi, Z.; Yang, G.-F. Synthesis, Herbicidal Activity, and QSAR of Novel N-Benzothiazolyl-pyrimidine-2,4-diones as Protoporphyrinogen Oxidase Inhibitors. Agric. Food Chem. 2016, 64, 552–562. [Google Scholar] [CrossRef]
- Avila-Sorrosa, A.; Tapia-Alvarado, J.D.; Nogueda-Torres, B.; Chacón-Vargas, K.F.; Díaz-Cedillo, F.; Vargas-Díaz, M.E.; Morales-Morales, D. Facile Synthesis of a Series of Non-Symmetric Thioethers Including a Benzothiazole Moiety and Their Use as Efficient In Vitro anti-Trypanosoma cruzi Agents. Molecules 2019, 24, 3077. [Google Scholar] [CrossRef]
- Gezerman, A.O.; Ģorbacıoğlu, B.D. 2-Mercaptobenzimidazole, 2-Mercapto-benzothiazole, and Thioglycolic Acid as Additives for Electrolytic Ni Plating. Iran. J. Sci Technol. Trans. Sci 2018, 42, 465–475. [Google Scholar] [CrossRef]
- Amiri, S.; Rahimi, A. Synthesis and characterization of supramolecular corrosion inhibitor nanocontainers for anticorrosion hybrid nanocomposite coatings. J. Polym. Res. 2015, 22, 66–75. [Google Scholar] [CrossRef]
- Rahimi, A.; Amiri, S. Anticorrosion hybrid nanocomposite coatings with encapsulated organic corrosion inhibitors. J. Coat. Technol. Res. 2015, 12, 587–593. [Google Scholar] [CrossRef]
- Edraki, M.; Zaarei, D. Azole derivatives embedded in ontmorillonite clay nanocarriers as corrosion inhibitors of mild steel. Int. J. Miner. Metall. Mater. 2019, 26, 86–97. [Google Scholar] [CrossRef]
- Balaskas, A.C.; Curioni, M.; Thompson, G.E. Effectiveness of 2-mercaptobenzothiazole, 8-hydroxyquinoline and benzotriazole as corrosion inhibitors on AA 2024-T3 assessed by electrochemical methods. Surf. Interface Anal. 2015, 47, 1029–1039. [Google Scholar] [CrossRef]
- Galvão, T.L.P.; Kuznetsova, A.; Gomes, J.R.B.; Zheludkevich, M.L.; Tedim, J.; Ferreira, M.G.S. A computational UV–Vis spectroscopic study of the chemical speciation of 2-mercaptobenzothiazole corrosion inhibitor in aqueous solution. Theor. Chem. Acc. 2016, 135, 78–88. [Google Scholar] [CrossRef]
- Dong, C.; Zhang, M.; Xiang, T.; Yang, L.; Chan, W.; Li, C. Novel self-healing anticorrosion coating based on L-valine and MBT-loaded halloysite nanotubes. J. Mater. Sci. 2018, 53, 7793–7808. [Google Scholar] [CrossRef]
- Altaf, F.; Qureshi, R.; Yaqub, A.; Ahmed, S. Electrochemistry of corrosion mitigation of brasses by azoles in basic medium. Chem. Pap. 2019, 73, 1221–1235. [Google Scholar] [CrossRef]
- More, A.P.; Mhaske, S.T. Chemical Modification of Silane-Based Coating with Inhibitor for Anticorrosive Application. Arab. J. Sci. Eng. 2016, 41, 2239–2248. [Google Scholar] [CrossRef]
- Li, Y.; Zhang, S.W.; Ding, Q.; Feng, D.P.; Qin, B.F.; Hu, L.T. The corrosion and lubrication properties of 2-Mercaptobenzothiazole functionalized ionic liquids for bronze. Tribol. Int. 2017, 114, 121–131. [Google Scholar] [CrossRef]
- Zheng, D.; Wang, X.; Zhang, M.; Ju, C. Synergistic Effects Between the Two Choline-Based Ionic Liquids as Lubricant Additives in Glycerol Aqueous Solution. Tribol. Lett. 2019, 67, 47–59. [Google Scholar] [CrossRef]
- Chen, X.; Ji, L.; Zhou, Y.; Wu, K. Synergetic enhancement of gold nanoparticles and 2-mercaptobenzothiazole as highly-sensitive sensing strategy for tetrabromobisphenol A. Sci. Rep. 2016, 6, 26044–26058. [Google Scholar] [CrossRef]
- Neyestani, M.R.; Shemirani, F.; Mozaffari, S.; Alvand, M. A magnetized graphene oxide modified with 2-mercaptobenzothiazole as a selective nanosorbent for magnetic solid phase extraction of gold (III), palladium (II) and silver (I). Microchim. Acta 2017, 184, 2871–2879. [Google Scholar] [CrossRef]
- Dahaghin, Z.; Mousavi, H.Z.; Sajjadi, S.M. Trace amounts of Cd (II), Cu (II) and Pb (II) ions monitoring using Fe3O4@ graphene oxide nanocomposite modified via 2-mercaptobenzothiazole as a novel and efficient nanosorbent. J. Mol. Liq. 2017, 231, 386–395. [Google Scholar] [CrossRef]
- Mansurova, I.A.; Isupova, O.Y.; Burkov, A.A.; Alalykin, A.A.; Kondrashov, S.V.; Shilov, I.B.; Kraeva, E.Y. Functionalization of 1D Carbon Nanostructures by Components of Curing System and Their Influence on the Propertiesof the Vulcanizates. Nanotechnol. Russ. 2016, 11, 603–609. [Google Scholar] [CrossRef]
- Ahsan, O.; Mohamad, N.; Soh, T.C. Effects of accelerators on the cure characteristics and mechanical properties of natural rubber compounds. Int. J. Automot. Mech. Eng. 2015, 12, 2954–2966. [Google Scholar] [CrossRef]
- Gogin, L.L.; Zhizhina, E.G.; Pai, Z.P. Processes of Altax Production. Catal. Ind. 2019, 11, 271–277. [Google Scholar] [CrossRef]
- Brook, M.A. Silicon in Organic, Organometallic, and Polymer Chemistry; J. Wiley and Sons: New York, NY, USA, 2000; 704p. [Google Scholar]
- Liu, X.; Liu, M.; Xu, W.; Zeng, M.-T.; Zhu, H.; Chang, C.-Z.; Dong, Z.-B. An environmentally benign and efficient synthesis of substituted benzothiazole-2-thiols, benzoxazole-2-thiols, and benzimidazoline-2-thiones in water. Green Chem. 2017, 19, 5591–5598. [Google Scholar] [CrossRef]
- Liu, X.; Zhang, S.-B.; Dong, Z.-B. AlCl3-Promoted Synthesis of 2-Mercapto Benzoheterocycles by Using Sodium Dimethyldithiocarbamate as Thiocarbonyl Surrogate. Eur. J. Org. Chem. 2018, 2018, 5406–5411. [Google Scholar] [CrossRef]
- Yadav, M.S.; Singh, A.S.; Agrahari, A.K.; Mishra, N.; Tiwari, V.K. Silicon Industry Waste Polymethylhydrosiloxane-Mediated Benzotriazole Ring Cleavage: A Practical and Green Synthesis of Diverse Benzothiazoles. ACS Omega 2019, 4, 6681–6689. [Google Scholar] [CrossRef]
- Shanmugapriya, J.; Rajaguru, K.; Muthusubramanian, S.; Bhuvanesh, N. Copper (II)-Catalyzed C–S Cross-Coupling with Thiazolidine-2-thiones and Boronic Acids: Synthesis of Azole Sulfides. Eur. J. Org. Chem. 2016, 2016, 1963–1967. [Google Scholar] [CrossRef]
- Wimmer, L.; Parmentier, M.; Riss, B.; Kapferer, T.; Ye, C.; Li, L.; Kim, H.; Li, J. Water-Promoted Chlorination of 2-Mercaptobenzothiazoles. Synthesis 2018, 50, 2027–2032. [Google Scholar] [CrossRef]
- Liu, X.; Zhang, S.-B.; Zhu, H.; Dong, Z.-B. Copper (I)-Catalyzed Tandem One-Pot Synthesis of 2-Arylthiobenzothiazoles and 2-Arylthiobenzoxazoles in Water. J. Org. Chem. 2018, 83, 11703–11711. [Google Scholar] [CrossRef]
- Dang, P.; Zeng, W.; Liang, Y. Copper-Catalyzed Three-Component Synthesis of Benzothiazolethiones from o-Iodoanilines, Isocyanide, and Potassium Sulfide. Org. Lett. 2015, 17, 34–37. [Google Scholar] [CrossRef] [PubMed]
- Guo, T.; Wei, X.-N.; Zhu, Y.-L.; Chen, H.; Han, S.-L.; Ma, Y.-C. Copper-Catalyzed One-Pot Synthesis of Chalcogen-Benzothiazoles/Imidazo[1,2-a] pyridines with ulfur/Selenium Powder and Aryl Boronic Acids. Synlett 2018, 29, 1530–1536. [Google Scholar] [CrossRef]
- Gandeepan, P.; Mo, J.; Ackermann, L. Photo-induced copper-catalyzed C–H chalcogenation of azoles at room temperature. Chem. Commun. 2017, 53, 5906–5909. [Google Scholar] [CrossRef] [PubMed]
- Rafique, J.; Saba, S.; Frizon, T.E.A.; Braga, A.L. Fe3O4 Nanoparticles: A Robust and Magnetically Recoverable Catalyst for Direct C–H Bond Selenylation and Sulfenylation of Benzothiazoles. Chem. Select. 2018, 3, 328–334. [Google Scholar] [CrossRef]
- Zi, Y.; Wagner, K.; Schömberg, F.; Vilotijevic, I. Selective C–H chalcogenation of thiazoles via thiazol-2-yl-phosphonium salts. Org. Biomol. Chem. 2020, 18, 5183–5191. [Google Scholar] [CrossRef] [PubMed]
- Zhang, B.; Kang, Y.; Yang, L.; Chen, X. A S-Arylation of 2-Mercaptoazoles with Diaryliodonium Triflates under Metal-Free and Base-Free Conditions. Chem. Select. 2016, 1, 1529–1532. [Google Scholar] [CrossRef]
- Yang, Z.; Li, J.; Hua, J.; Yang, T.; Yi, J.; Zhou, C. KI/K2S2O8-Mediated α-C–H Sulfenylation of Carbonyl Compounds with (Hetero)Aryl Thiols. Synlett 2017, 28, 2325–2329. [Google Scholar] [CrossRef]
- Tran, C.; Flamme, B.; Chagnesa, A.; Haddad, M.; Phansavath, P.; Ratovelomanana-Vidal, V. A Practical Access to Functionalized Alkyl Sulfinates. Synlett 2018, 29, 1622–1626. [Google Scholar] [CrossRef]
- Golovanov, A.A.; Bekin, V.V.; Zlotskii, S.S.; Kunavin, Y.A.; Vologzhanina, A.V.; Gusev, D.M.; Bunev, A.S. A new example of cyclization of (e)-1,5-diarylpent-2-en-4-yn-1-ones to functionalized furan derivatives. Chem. Heterocycl. Compd. 2015, 51, 929–932. [Google Scholar] [CrossRef]
- Yarosh, N.O.; Zhilitskaya, L.V.; Shagun, L.G.; Dorofeev, I.A.; Larina, L.I. Synthesis of S- and S-S-Organosilicon Derivatives of 1,3-Benzothiazole-2-thiol. Russ. J. Org. Chem. 2019, 55, 1071–1076. [Google Scholar] [CrossRef]
- Sivaev, I.B. Nitrogen heterocyclic salts of polyhedral borane anions: From ionic liquids to energetic materials. Chem. Heterocycl. Compd. 2017, 53, 638–658. [Google Scholar] [CrossRef]
- Zeng, W.; Jiang, I. Synthesis and Crystal Structure of a New Hydrated Benzimidazolium Salt Containing Spiro Structure. Crystals 2017, 7, 303. [Google Scholar] [CrossRef]
- Pang, W.-Q.; Zhao, F.-Q.; Xue, Y.-N.; Xu, H.-X.; Fan, X.-Z.; Xie, W.-X.; Zhang, W.; Lv, J.; Deluca, L.T. Synthesis and Characterization of a High Energy Combustion Agent (BHN) and Its Effects on the Combustion Properties of Fuel Rich Solid Rocket Propellants. Centr. Eur. J. Energ. Mater. 2015, 12, 537–552. [Google Scholar]
- Xue, Y.-N.; Wang, W.-Q.; Li, J.-Y.; Lu, J.-Y.; Lu, J. Synthesis, Structure Characterization and Thermal Properties of Novel Cationic Polynitrogen Heterocyclium Decahydrodecaborates. Chin. J. Energ. Mater. 2016, 24, 274–278. [Google Scholar] [CrossRef]
- Jenne, C.; Kirsch, C. Alkoxy substituted halogenated closododecaborates as anions for ionic liquids. Dalton Trans. 2015, 44, 13119–13124. [Google Scholar] [CrossRef]
- Rao, M.H.; Muralidharan, K. Closo-Dodecaborate (B12H12)2 salts with nitrogen based cations and their energetic properties. Polyhedron 2016, 115, 105–110. [Google Scholar] [CrossRef]
- Yarosh, N.O.; Zhilitskaya, L.V.; Shagun, L.G.; Dorofeev, I.A. Unusual Reaction of 1,3-Benzothiazole-2-thiol with Iodomethyl(dimethyl)phenylsilane in the Presence of Iodine. Russ. J. Org. Chem. 2018, 54, 1427–1429. [Google Scholar] [CrossRef]
- Zhilitskaya, L.V.; Yarosh, N.O.; Shagun, L.G.; Dorofeev, I.A.; Larina, L.I. Siloxane derivatives of 2-mercaptobenzothiazole. Mendeleev Commun. 2017, 27, 352–354. [Google Scholar] [CrossRef]
- Yarosh, N.O.; Zhilitskaya, L.V.; Shagun, L.G.; Dorofeev, I.A. Synthesis of Novel Carbofunctional Organosilicon Sulfanyl Derivatives of Benzazoles and Triazoles. Russ. J. Org. Chem. 2020, 56, 833–839. [Google Scholar] [CrossRef]
- Dorofeev, I.A.; Shagun, L.G.; Zhilitskaya, L.V.; Yarosh, N.O. S- and N-Alkylation of 2,2′-(Alkane-α,ω-diyldisulfanediyl)-bis(1,3-benzothiazoles) with 1-Iodopropan-2-one in the Presence of Iodine. Russ. J. Org. Chem. 2017, 53, 628–631. [Google Scholar] [CrossRef]
- Grebneva, E.A.; Bolgova, Y.I.; Trofimova, O.M.; Albanov, A.I.; Borodina, T.N. Synthesis and structure of new Si-substituted silylpropyl derivatives 2-mercaptobenzoxazole and 2-mercaptobenzothiazole. Chem. Heterocycl. Compd. 2019, 55, 762–767. [Google Scholar] [CrossRef]
Publisher’s Note: MDPI stays neutral with regard to jurisdictional claims in published maps and institutional affiliations. |
© 2021 by the authors. Licensee MDPI, Basel, Switzerland. This article is an open access article distributed under the terms and conditions of the Creative Commons Attribution (CC BY) license (https://creativecommons.org/licenses/by/4.0/).



































































