Abstract
Novel α-aminoamide derivatives containing different benzoheterocyclics moiety were synthesized and evaluated as voltage-gated sodium ion channels blocks the treatment of pain. Compounds 6a, 6e, and 6f containing the benzofuran group displayed more potent in vivo analgesic activity than ralfinamide in both the formalin test and the writhing assay. Interestingly, they also exhibited potent in vitro anti-Nav1.7 and anti-Nav1.8 activity in the patch-clamp electrophysiology assay. Therefore, compounds 6a, 6e, and 6f, which have inhibitory potency for two pain-related Nav targets, could serve as new leads for the development of analgesic medicines.
1. Introduction
Chronic pain syndrome, such as neuropathic pain, severely affects the quality of life of patients. However, specific analgesics for managing chronic pain are an unmet clinic need [1,2,3,4,5]. Voltage-gated sodium ion channels subtype 1.7 (Nav1.7) and 1.8 (Nav1.8) have been proven as promising targets for the discovery of new drugs to treat chronic pain and numerous small-molecule inhibitors targeting Nav1.7 and Nav1.8 that have been developed in preclinical or clinical studies in recent years [6,7,8,9,10,11,12].
In our previous study [13], we synthesized a series of novel α-aminoamide analogues containing an indole ring group based on modified ralfinamide, a Nav1.7-selective inhibitor for the treatment of neuropathic pain [14,15,16,17]. We found that the new compounds showed robust in vivo potency but lower Nav1.7 inhibitory activity in vitro compared to ralfinamide, indicating that further modifications and structure–activity relationship (SAR) investigations are necessary.
We hypothesized that the H-acceptor properties (virtually missing in indole) for H-bonding will likely be key to afford a lower Nav1.7 selectivity. Here, different benzoheterocyclic moiety including benzimidazole, benzofuran, and quinoline groups were introduced to replace the indolyl group, and novel compounds were synthesized and evaluated as sodium ion channel inhibitors. In addition, the in vivo potencies of the compounds as painkillers were assessed in an animal model. Interestingly, the novel compounds containing the benzofuran group exhibited potent activity in the formalin assay and state-dependent inhibition of both Nav1.7 and Nav1.8, suggesting that the novel compounds might possess dual channel activity. Their exact mechanisms of action needed to be further investigated.
2. Results and Discussion
2.1. Synthesis
The synthetic route is shown in Scheme 1. The target compounds were synthesized from isophthalaldehyde (1a) or terephthalaldehyde (1b), followed by the reduction of one formyl group with sodium borohydride to obtain 3-(hydroxymethyl)benzaldehyde (2a) and 4-(hydroxymethyl)benzaldehyde (2b), respectively. Then, compounds 2a and 2b were converted to the intermediates 3-(bromomethyl)benzaldehyde (3a) and 4-(bromomethyl)benzaldehyde (3b) by bromination, respectively. Compounds 3a and 3b were etherified with a different hydroxylbenzoaromatic ring (benzimidazole, benzofuran, or quinoline) by a Williamson reaction to obtain compounds 4a–h. Finally, compounds 4a–4h were converted to the target α-aminoamide derivatives 5a–d, 6a–f, and 7a–h with L-alaninamide hydrochloride by reductive amination.
Scheme 1.
Synthesis of compounds 5a–d, 6a–f, and 7a–h.
2.2. Analgesic Effect of Synthesized Compounds in the Formalin Test
The analgesic potency of the new compounds was first tested with the formalin assay, as described previously [18]. As shown in Table 1, generally, the tested compounds containing the benzofuran group displayed more potent in vivo analgesic potency in phase 2 than others containing the benzimidazole and quinoline ones. The percentage of analgesia of compounds 6a, 6e, and 6f was nearly 1.5–2 times higher than that of ralfinamide at a dosage of 10 mg/kg. The most potent compound 6a showed a percentage of analgesia of 84%, compared to 42.4% for ralfinamide. The linked positions of the benzofuran ring (A ring) and the benzene ring (B ring) affected the potency of the compounds. The presence of linkages at positions 4 and 6 of the benzofuranyl group seemed to increase the analgesic activity.
Table 1.
The analgesic activity of the synthesized compounds in the formalin test.
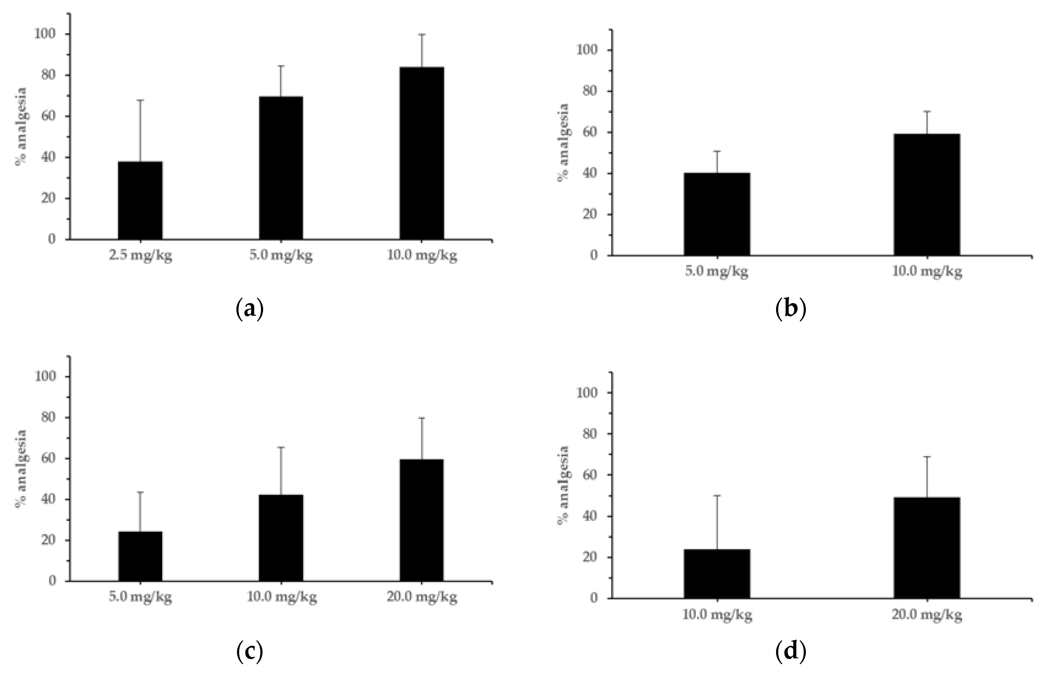
Further studies illustrated that compound 6a was more efficient than ralfinamide in both the dose-effect relationship assays and the oral administration assays (Figure 1). Compound 6a showed a dose-dependent activity at a dosage of 2.5 mg/kg, 5 mg/kg, and 10 mg/kg by intraperitoneal injection. The 5 mg/kg dose of compound 6a yielded a higher (69.6%) analgesic response than 20 mg/kg ralfinamide (59.7%). The results of intragastric administration of compound 6a by mouth also showed a higher analgesic activity than ralfinamide.
Figure 1.
The analgesic potency of compound 6a and ralfinamide (n = 8). (a). The results of the dose-effect relationship assay of compound 6a. (b). The results of the oral administration assay of compound 6a. (c). The results of the dose-effect relationship assay of ralfinamide. (d). The results of the oral administration assay of ralfinamide.
2.3. Analgesic Effect of Synthesized Compounds in the Acetic Acid-Induced Writhing Test
The analgesic effect of the novel compounds containing the benzofuran group was further evaluated in a mouse writhing assay, which is a method used to assess pain induced by a chemical, such as acetic acid. As shown in Table 2, compounds 6a, 6b, 6e, and 6f displayed higher activities than ralfinamide, while compounds 6c and 6d showed a lower potency. These compounds exhibited very similar analgesic effects in the two assays.
Table 2.
The analgesic activity of the synthesized compounds in the acetic acid-induced writhing test.
2.4. Inhibitory Activity of the Compounds and Their Effects on Tetrodotoxin (TTX)–Sensitive Inactivated Nav1.7 Current
The compounds were also evaluated as sodium channel inhibitors. Their effects on TTX-sensitive activated (TP−1) and inactivated (TP−2) states of Nav1.7 current were screened at a single dosage (10 μM), based on the IC50 value (7.10 ± 1.41 μM) of ralfinamide (Table 3). The compounds with the benzimidazole group showed no activity against Nav1.7, while compounds containing the quinoline group showed modest state-dependent inhibitory potency on Nav1.7, which is consistent with the result of indole compounds described in the previous study [13]. The compounds containing the benzofuran group exhibited potent inhibitory activities against Nav1.7. Compounds 6e and 6f had IC50 values close to that of ralfinamide, while compound 6a was the most effective inhibitor with an IC50 value three times lower than that of ralfinamide (Table 4). This is consistent with the in vivo effects in the mouse formalin and writhing assays.
Table 3.
Inhibitory activity of the compounds against Nav1.7.
Table 4.
In vitro inhibitory activity of novel compounds.
2.5. Inhibitory Activity of the Compounds against Nav1.8 and Nav1.5
For the active compounds 6a, 6e, and 6f, further evaluation of their inhibitory effects on Nav1.8 and Nav1.5 was conducted. Much higher inhibition for Nav1.8 inactivated state Na+ currents was observed for these compounds, when compared to ralfinamide. Compound 6a showed nearly nine-fold more potent against Nav1.8 than ralfinamide (Table 5). These findings suggest that the benzofuran moiety could play a critical role in the inhibitory activity. Meanwhile, 6a, 6e, and 6f displayed moderate inhibitory activity against Nav1.5, similarly to ralfinamide, indicating a low selectivity over the cardiac sodium channel (Table 6).
Table 5.
Inhibitory activity of the compounds against Nav1.8.
Table 6.
Inhibitory activity of the compounds against Nav1.5.
2.6. Discussion
The voltage-gated sodium channel isoforms Nav1.7 and Nav1.8 are attractive drug targets for novel analgesics. However, achieving selectivity for specific subtypes with small-molecule inhibitors has been challenging [19,20]. α-Aminoamide derivatives such as ralfinamide were previously developed as potential drug candidates for the specific treatment of neuropathic pain [21,22]. Studying the relationship between target selectivity and potency for novel α-aminoamide derivatives is critically needed. Thus, we synthesized a set of novel α-aminoamide derivatives to further investigate the SARs in our previous work [13]. We confirmed that the chemical moiety of the A ring affected the selectivity to Nav channels and the structure needed to be further modified. Novel α-aminoamide derivatives containing different benzo-heterocyclics moiety were synthesized in this work and evaluated as voltage-gated sodium ion channels block the treatment of pain.
Our previous studies have demonstrated that some novel compounds exhibit very high in vivo potency in the mouse formalin assay compared to ralfinamide, but lower or little in vitro inhibitory activity against Nav1.7. Therefore, in the present study, we first assayed the activities of the novel compounds in vivo to confirm their potency as analgesics. The results of the formalin test and writhing assay revealed the most potent compounds 6a, 6e, and 6f containing the benzofuran group. Consistent with our previous study, these compounds showed no analgesic effect in a mouse hotplate assay and a tail flick assay, even at a high dose of 100 mg/kg (data not shown).
Next, we assayed the anti-Nav1.7 in vitro activity of the new compounds by whole-cell patch-clamp electrophysiology experiments. Compounds 6a, 6e, and 6f also showed a highly potent inhibitory activity against TTX-sensitive inactivated Nav1.7 current, which differs from the result of the previous compounds containing an indole group, demonstrating that the benzofuran moiety is a key effective functional group for Nav1.7 inhibition. Moreover, compounds 6a, 6e, and 6f also exhibited potent anti-Nav1.8 activity, which is another valid drug target for treating pain. To date, no drug candidates targeting only Nav1.7 or Nav1.8 are licensed in the market. Therefore, inhibitors with a broader selectivity for both Nav1.7 and Nav1.8 ion channels might be potential drug candidates for the treatment of pain.
Replacing the benzofuran group of compounds 6a, 6e, and 6f with benzimidazole or a quinoline ring decreased the in vivo potency in the formalin assay, and the in vitro inhibitory activity against Nav1.7. The SAR results suggested that the benzofuran group was an essential factor for maintaining the analgesic effect in vivo as well as making it a dual target inhibitor of Nav1.7 and Nav1.8 channels in vitro.
The novel compounds 6a, 6e, and 6f could serve as new leads for the further development of candidates for treating pain. Further work evaluating the potency of new compounds for treating neuropathic pain, and the inhibitory activity against other Nav isoforms concerned with pain including Nav1.3, Nav1.6, and Nav1.9, is underway in our laboratory.
3. Materials and Methods
3.1. General Information
Commercially available reagents from Labter Pharmatech (Beijing, China), Innochem (Beijing, China), Energy (Shanghai, China), Ark Pharm (Arlington Heights, IL, USA), Fluorochem (Hadfield, UK), and Acros Organics (Geel, Belgium) were used without further purification. Nuclear magnetic resonance (NMR) spectra (1H-NMR, 400 MHz) were recorded on a JNM-ECA−400 spectrometer (JEOL Co. Ltd., Tokyo, Japan). Infrared spectra (IR) data were recorded using a Nicolet 6700 spectrophotometer (Thermo Fisher Scientific Co., Ltd., Waltham, MA, USA). Mass spectra were obtained on an API−150 mass spectrometer (ABI Inc., Foster City, CA, USA). Thin-layer chromatography (TLC) plates and silica gel (200–300 mesh) were purchased from Qingdao Haiyang Chemical Co. Ltd., (Shandong, China). Sample purification was conducted using Combiflash Companion Preparative Chromatography (Teledyne Isco Inc., Lincoln, NE, USA).
3.2. Chemistry
3.2.1. Synthesis of 2a and 2b
Synthesis of 3-(hydroxymethyl)benzaldehyde (2a) and 4-(hydroxymethyl)benzaldehyde (2b): Isophthalaldehyde (1a) or terephthalaldehyde (1b) (4.0 equivalent 10 g, 74.55 mmol) was dissolved in a mixture of ethanol (50 mL) and tetrahydrofuran (80 mL). After cooling in an ice bath, sodium borohydride (1 equivalent 0.85 g, 18.60 mmol) was added to the solution. The reaction mixture was stirred at 0 °C for at least 6 h until the disappearance of 1a or 1b. Then the reaction was quenched with 3 M HCl (to pH 4–5). The solution was filtered and evaporated to dryness under a vacuum. The residue was mixed with water and extracted with EtOAc (2 × 50 mL). The combined organic layers were washed with brine and dried over anhydrous sodium sulfate. After filtration, the solvent was evaporated to obtain a crude product. The crude product was purified by flash column chromatography (petroleum ether: EtOAc = 3:1) to afford 3-(hydroxymethyl)benzaldehyde (2a) or 4-(hydroxymethyl)benzaldehyde (2b) as a colorless and transparent liquid.
3.2.2. Synthesis of 3a and 3b
Synthesis of 3-(bromomethyl)benzaldehyde (3a) or 4-(bromomethyl)benzaldehyde (3b): Compound 2a or 2b (2.50 g, 18.36 mmol) was dissolved in CH2Cl2 (40 mL), and n-bromosuccinimide (4.90 g, 27.53 mmol) was added to the solution. After cooling in an ice bath, PPh3 (9.63 g, 36.72 mmol) was added to the solution. The mixture was stirred at room temperature for at least 3 h. The reaction mixture was filtered, and water (40 mL) was added to the filtrate. The solution was extracted with CH2Cl2 (2 × 20 mL). The organic layers were dried over anhydrous sodium sulfate, and the solvent was evaporated under a reduced pressure to obtain a residue. The residue was purified by silica gel column chromatography (petroleum ether: EtOAc = 10:1) to afford 3-(bromomethyl)benzaldehyde (3a) or 4-(bromomethyl)benzaldehyde (3b) as a white porous solid.
3.2.3. Synthesis of 4a–h
A mixture of 4-hydroxybenzenfuran, 5-hydroxybenzenfuran, or 6-hydroxybenzenfuran or other hydroxylbenzoaromatics (0.52 g, 3.88 mmol) and Cs2CO3 (1.31 g, 4.03 mmol) in ethanol (30 mL) was stirred at room temperature for 1 h. Then, compound 3a or 3b (0.92 g, 4.66 mmol) and kalium iodidum (0.10 g, 0.58 mmol) were added to the solution, and the mixture was refluxed for at least 4 h, until the reaction was completed. The mixture was evaporated under a reduced pressure to obtain a pale yellow solid. Then it was mixed with water and extracted with EtOAc (2 × 15 mL). The organic layers were washed with water and brine and dried over anhydrous sodium sulfate. The solvent was evaporated under a reduced pressure. The residue was purified by flash column chromatography (petroleum ether:EtOAc = 10:1) to obtain compound 4a–h as a pale yellow oil.
3.2.4. Synthesis of 5a–d, 6a−6f, 7a−7h
A mixture of L-alaninamide hydrochloride (0.53 g, 4.28 mmol) and Et3N (0.87 g, 8.57 mmol) in absolute methanol (30 mL) was stirred at room temperature for 1 h. To the solution, compound 4a–h (0.72 g, 2.86 mmol) was added. After stirring for another 2 h, potassium borohydride (0.92 g, 17.14 mmol) was added to the solution, and the solution was refluxed for 3 h. The solvent was evaporated under a reduced pressure to obtain a pale yellow solid. The residue was purified by silica gel column chromatography (MeOH/CH2Cl2, 0‒5%) to afford compound 5a–d, 6a–f, 7a–h as a white solid.
(S)-2-((3-(((1H-Benzo[d]imidazol-4-yl)oxy)methyl)benzyl)amino)propanamide (5a)
Yield: 74%. IR (KBr, cm−1) ν 3369, 3143, 2953, 2806, 2580, 1687 (C=O), 1622 (C=N), 1552, 1514. 1H-NMR (400 MHz, DMSO-d6, ppm) δH 12.75 (s, 1H, NH, imidazole), 8.11 (s, 1H, HAr), 7.50 (br s, 1H, CONH2), 7.30–7.38 (m, 4H, HAr), 7.04–7.17 (m, 3H, HAr, CONH2), 6.81 (br s, 1H, HAr), 5.30 (s, 2H, OCH2), 3.71 (d, J = 13.6 Hz, 1H, Ar-CH2), 3.58 (d, J = 13.6 Hz, 1H, Ar-CH2), 3.04 (q, J = 7.0 Hz, 1H, CH-CH3), 1.14 (d, J = 7.0 Hz, 3H, CH3). 13C-NMR (100 MHz, DMSO-d6, ppm) δC 170.3 (C=O), 146.3, 139.8, 136.7, 132.5, 132.0, 129.8, 129.2, 128.7, 127.8, 127.0, 121.5, 107.7, and 106.7 (13C, Ar-C), 69.7 (CH2), 54.6 (CH), 48.3 (CH2), 16.0 (CH3). HR-ESI MS m/z 325.1659 [M + H]+.
(S)-2-((4-(((1H-Benzo[d]imidazol-4-yl)oxy)methyl)benzyl)amino)propanamide (5b)
Yield: 88%. IR (KBr, cm−1) ν 3402, 3115, 3086, 2973, 2774, 2566, 1721 (C=O), 1621 (C=N), 1512, 1496. 1H-NMR (400 MHz, DMSO-d6, ppm) δH 12.74 (s, 1H, NH, imidazole), 8.10 (s, 1H, HAr), 7.46 (m, 2H, HAr, CONH2), 7.35‒7.37 (m, 3H, HAr), 7.04–7.16 (m, 3H, HAr, CONH2), 6.79 (br s, 1H, HAr), 5.29 (s, 2H, OCH2), 3.70 (d, J = 13.5 Hz, 1H, Ar-CH2), 3.56 (d, J = 13.5 Hz, 1H, Ar-CH2), 3.02 (q, J = 7.0 Hz, 1H, CH-CH3), 1.13 (d, J = 7.0 Hz, 3H, CH3). 13C-NMR (100 MHz, DMSO-d6, ppm) δC 170.4 (C=O), 146.3, 139.9, 136.9, 132.4, 131.5, 130.4, 127.7, 127.0, 121.5, 107.7, and 106.7 (13C, Ar-C), 69.6 (CH2), 54.6 (CH), 48.1 (CH2), 16.0 (CH3). HR-ESI MS m/z 325.1659 [M + H]+.
(S)-2-((3-(((1H-Benzo[d]imidazol-5-yl)oxy)methyl)benzyl)amino)propanamide (5c)
Yield: 54%. IR (KBr, cm−1) ν 3385, 3254, 3084, 2997, 2771, 2552, 1688 (C=O), 1635 (C=N), 1530, 1448. 1H-NMR (400 MHz, DMSO-d6, ppm) δH 12.30 (br s, 1H, NH, imidazole), 8.09 (s, 1H, HAr), 7.05–7.45 (m, 8H, HAr, CONH2), 6.89 (d, J = 8.4 Hz, 1H, HAr), 5.11 (s, 2H, OCH2), 3.71 (d, J = 13.5 Hz, 1H, Ar-CH2), 3.57 (d, J = 13.5 Hz, 1H, Ar-CH2), 3.04 (q, J = 7.0 Hz, 1H, CH-CH3), 1.14 (d, J = 7.0 Hz, 3H, CH3). 13C-NMR (100 MHz, DMSO-d6, ppm) δC 170.4 (C=O), 156.9, 139.6, 137.0, 132.2, 131.6, 129.9, 129.6, 128.9, 128.3, 125.1, 116.7, 115.4, and 97.7 (13C, Ar-C), 69.8 (CH2), 54.6 (CH), 48.4 (CH2), 16.0 (CH3). HR-ESI MS m/z 325.1659 [M + H]+.
(S)-2-((4-(((1H-Benzo[d]imidazol-5-yl)oxy)methyl)benzyl)amino)propanamide (5d)
Yield: 58%. IR (KBr, cm−1) ν 3326, 3258, 3145, 2929, 2763, 2659, 2557, 1706 (C=O), 1636 (C=N), 1513, 1493. 1H-NMR (400 MHz, DMSO-d6, ppm) δH 12.25 (irregular d, 1H, NH, imidazole), 8.06 (irregular d, 1H, HAr), 7.24–7.53 (m, 7H), 6.86–7.07 (m, 2H, HAr, CONH2), 5.10 (s, 2H, OCH2), 3.68 (d, J = 13.6 Hz, 1H, Ar-CH2), 3.54 (d, J = 13.6 Hz, 1H, Ar-CH2), 3.00 (q, J = 7.0 Hz, 1H, CH-CH3), 1.13 (d, J = 7.0 Hz, 3H, CH3). 13C-NMR (100 MHz, DMSO-d6, ppm) δC 170.4 (C=O), 156.9, 139.7, 137.4, 131.6, 131.5, 130.4, 127.9, 125.1, 116.7, 115.4 and 97.7 (13C, Ar-C), 69.5 (CH2), 54.4 (CH), 48.1 (CH2), 16.0 (CH3). HR-ESI MS m/z 325.1658 [M + H]+.
(S)-2-((3-((Benzofuran-4-yloxy)methyl)benzyl)amino)propanamide (6a)
Yield: 91%. IR (KBr, cm−1) ν 3314, 3175, 2973, 2754, 1697 (C=O), 1631, 1604, 1545, 1493, 1436, 1368. 1H-NMR (400 MHz, DMSO-d6, ppm) δH 7.91 (d, J = 2.0 Hz, 1H, HAr), 7.48 (br s, 1H, CONH2), 7.30–7.42 (m, 4H, HAr), 7.19–7.26 (m, 2H, HAr), 7.03 (br s, 1H, CONH2), 6.98 (dd, J = 2.2, 0.8 Hz, 1H, HAr), 6.89 (dd, J = 7.3, 1.1 Hz, 1H, HAr), 5.24 (s, 2H, OCH2), 3.72 (d, J = 13.5 Hz, 1H, Ar-CH2), 3.58 (d, J = 13.5 Hz, 1H, Ar-CH2), 3.03 (q, J = 6.7 Hz, 1H, CH-CH3), 1.14 (d, J = 6.7 Hz, 3H, CH3). 13C-NMR (100 MHz, DMSO-d6, ppm) δC 170.5 (C=O), 155.7, 152.2, 144.7, 137.4, 132.2, 129.8, 129.3, 128.8, 128.1, 125.3, 117.4, 105.2, 104.7 and 104.1 (14C, Ar-C), 69.3 (CH2), 54.7 (CH), 48.4 (CH2), 16.0 (CH3). HR-ESI MS m/z 325.1547 [M + H]+.
(S)-2-((4-((Benzofuran-4-yloxy)methyl)benzyl)amino)propanamide (6b)
Yield: 56%. IR (KBr, cm−1) ν 3315, 3184, 2971, 2797, 1693 (C=O), 1606, 1544, 1494. 1H-NMR (400 MHz, DMSO-d6, ppm) δH 7.90 (d, J = 2.2 Hz, 1H, HAr), 7.35–7.46 (m, 5H, HAr, CONH2), 7.19–7.25 (m, 2H, HAr), 7.04 (br s, 1H, CONH2), 6.96 (dd, J = 2.2, 0.8 Hz, 1H, HAr), 6.88 (dd, J = 7.3, 1.3 Hz, 1H, HAr), 5.23 (s, 2H, OCH2), 3.70 (d, J = 13.2 Hz, 1H, Ar-CH2), 3.57 (d, J = 13.2 Hz, 1H, Ar-CH2), 3.03 (m, 1H, CH-CH3), 1.14 (d, J = 7.0 Hz, 3H, CH3). 13C-NMR (100 MHz, DMSO-d6, ppm) δC 170.4 (C=O), 155.7, 152.1, 144.8, 137.8, 131.4, 130.4, 127.7, 125.2, 117.4, 105.2, 104.7, and 104.0 (14C, Ar-C), 69.1 (CH2), 54.5 (CH), 48.2 (CH2), 16.0 (CH3). HR-ESI MS m/z 325.1546 [M + H]+.
(S)-2-((3-((Benzofuran-5-yloxy)methyl)benzyl)amino)propanamide (6c)
Yield: 87%. IR (KBr, cm−1) ν 3364, 3313, 3150, 2973, 2746, 1697 (C=O), 1613, 1570, 1462. 1H-NMR (400 MHz, DMSO-d6, ppm) δH 7.95 (d, J = 2.2 Hz, 1H, HAr), 7.50 (d, J = 9.2 Hz, 1H, HAr), 7.44 (br s, 1H, CONH2), 7.29–7.35 (m, 4H, HAr), 7.25 (d, J = 2.5 Hz, 1H, HAr), 7.02 (br s, 1H, CONH2), 6.98 (dd, J = 9.0, 2.5 Hz, 1H, HAr), 6.88 (dd, J = 2.2, 0.8 Hz, 1H, HAr), 5.10 (s, 2H, OCH2), 3.70 (d, J = 13.6 Hz, 1H, Ar-CH2), 3.56 (d, J = 13.6 Hz, 1H, Ar-CH2), 3.03 (q, J = 6.8 Hz, 1H, CH-CH3), 1.14 (d, J = 6.8 Hz, 3H, CH3). 13C-NMR (100 MHz, DMSO-d6, ppm) δC 170.4 (C=O), 154.6, 149.4, 146.8, 137.7, 132.1, 129.6, 129.4, 128.7, 128.2, 127.9, 113.6, 111.8, 106.9, and 105.1 (14C, Ar-C), 69.7 (CH2), 54.6 (CH), 48.4 (CH2), 16.0 (CH3). HR-ESI MS m/z 325.1547 [M + H]+.
(S)-2-((4-((Benzofuran-5-yloxy)methyl)benzyl)amino)propanamide (6d)
Yield: 70%. IR (KBr, cm−1) ν 3307, 3265, 3167, 2967, 2798, 1690 (C=O), 1614, 1546, 1473. 1H-NMR (400 MHz, DMSO-d6, ppm) δH 7.94 (d, J = 2.2 Hz, 1H, HAr), 7.49 (d, J = 9.0 Hz, 1H, HAr), 7.33–7.42 (m, 5H, HAr, CONH2), 7.24 (d, J = 2.5 Hz, 1H, HAr), 7.01 (br s, 1H, CONH2), 6.97 (dd, J = 9.0, 2.5 Hz, 1H, HAr), 6.88 (dd, J = 2.2, 0.9 Hz, 1H, HAr), 5.10 (s, 2H, OCH2), 3.69 (d, J = 13.4 Hz, 1H, Ar-CH2), 3.55 (d, J = 13.4 Hz, 1H, Ar-CH2), 3.01 (q, J = 7.0 Hz, 1H, CH-CH3), 1.13 (d, J = 7.0 Hz, 3H, CH3). 13C-NMR (100 MHz, DMSO-d6, ppm) δC 170.4 (C=O), 154.5, 149.3, 146.8, 138.1, 131.2, 130.3, 127.8, 127.7, 113.6, 111.8, 106.9, and 105.0 (14C, Ar-C), 69.4 (CH2), 54.5 (CH), 48.1 (CH2), 16.0 (CH3). HR-ESI MS m/z 325.1547 [M + H]+.
(S)-2-((3-((Benzofuran-6-yloxy)methyl)benzyl)amino)propanamide (6e)
Yield: 79%. IR (KBr, cm−1) ν 3316, 3150, 2952, 2746, 1686 (C=O), 1621, 1565, 1489. 1H-NMR (400 MHz, DMSO-d6, ppm) δH 7.87 (d, J = 2.0 Hz, 1H, HAr), 7.52 (d, J = 9.0 Hz, 1H, HAr), 7.45 (br s, 1H, CONH2), 7.30–7.34 (m, 5H, HAr), 7.01 (br s, 1H, CONH2), 6.96 (dd, J = 8.7, 2.2 Hz, 1H, HAr), 6.87 (dd, J = 2.2, 0.8 Hz, 1H, HAr), 5.13 (s, 2H, OCH2), 3.70 (d, J = 13.6 Hz, 1H, Ar-CH2), 3.56 (d, J = 13.6 Hz, 1H, Ar-CH2), 3.02 (q, J = 7.0 Hz, 1H, CH-CH3), 1.13 (d, J = 7.0 Hz, 3H, CH3). 13C-NMR (100 MHz, DMSO-d6, ppm) δC 170.4 (C=O), 156.5, 155.2, 145.1, 137.4, 132.1, 129.7, 129.4, 128.7, 128.3, 121.4, 120.6, 112.5, 106.5, and 97.2 (14C, Ar-C), 69.6 (CH2), 54.7 (CH), 48.4 (CH2), 16.0 (CH3). HR-ESI MS m/z 325.1546 [M + H]+.
(S)-2-((4-((Benzofuran-6-yloxy)methyl)benzyl)amino)propanamide (6f)
Yield: 82%. IR (KBr, cm−1) ν 3388, 3262, 3167, 2967, 2770, 1693 (C=O), 1621, 1544, 1489. 1H-NMR (400 MHz, DMSO-d6, ppm) δH 7.86 (d, J = 2.2 Hz, 1H, HAr), 7.52 (d, J = 8.4 Hz, 1H, HAr), 7.34–7.42 (m, 5H, HAr, CONH2), 7.29 (d, J = 1.7 Hz, 1H, HAr), 7.01 (br s, 1H, CONH2), 6.94 (dd, J = 8.7, 2.2 Hz, 1H, HAr), 6.86 (dd, J = 2.2, 0.8 Hz, 1H, HAr), 5.12 (s, 2H, OCH2), 3.69 (d, J = 13.6 Hz, 1H, Ar-CH2), 3.54 (d, J = 13.6 Hz, 1H, Ar-CH2), 3.00 (q, J = 6.7 Hz, 1H, CH-CH3), 1.13 (d, J = 6.7 Hz, 3H, CH3). 13C-NMR (100 MHz, DMSO-d6, ppm) δC 170.4 (C=O), 156.4, 155.2, 145.0, 137.8, 131.3, 130.3, 127.8, 121.4, 120.6, 112.6, 106.5, and 97.2 (14C, Ar-C), 69.2 (CH2), 54.5 (CH), 48.1 (CH2), 15.9 (CH3). HR-ESI MS m/z 325.1546 [M + H]+.
(S)-2-((3-((Quinolin-5-yloxy)methyl)benzyl)amino)propanamide (7a)
Yield: 80%. IR (KBr, cm−1) ν 3320, 3157, 2659, 2050, 1690 (C=O), 1639 (C=N), 1595, 1558. 1H-NMR (400 MHz, DMSO-d6, ppm) δH 8.91 (dd, J = 4.1, 1.6 Hz, 1H, HAr), 8.58 (d, J = 8.4 Hz, 1H, HAr), 7.68 (m, 1H, HAr), 7.62 (d, J = 8.4 Hz, 1H, HAr), 7.51–7.54 (m, 2H, HAr, CONH2), 7.32–7.44 (m, 4H, HAr), 7.18 (d, J = 7.6 Hz, 1H, HAr), 7.04 (s, 1H, CONH2), 5.32 (s, 2H, OCH2), 3.74 (d, J = 13.6 Hz, 1H, Ar-CH2), 3.59 (d, J = 13.6 Hz, 1H, Ar-CH2), 3.04 (q, J = 7.0 Hz, 1H, CH-CH3), 1.14 (d, J = 7.0 Hz, 3H, CH3). 13C-NMR (100 MHz, DMSO-d6, ppm) δC 170.4 (C=O), 154.1, 145.5, 140.2, 139.4, 136.4, 135.1, 132.3, 130.1, 129.4, 128.8, 128.1, 121.3, 121.1, 113.3, and 109.0 (15C, Ar-C), 70.2 (CH2), 54.6 (CH), 48.4 (CH2), 16.0 (CH3). HR-ESI MS 336.1707 [M + H]+.
(S)-2-((4-((Quinolin-5-yloxy)methyl)benzyl)amino)propanamide (7b)
Yield: 66%. IR (KBr, cm−1) ν 3384, 3156, 2659, 2058, 1689 (C=O), 1639 (C=N), 1595, 1558. 1H-NMR (400 MHz, DMSO-d6, ppm) δH 8.90 (dd, J = 3.9, 1.4 Hz, 1H, HAr), 8.56 (d, J = 8.4 Hz, 1H, HAr), 7.67 (m, 1H, HAr), 7.60 (d, J = 8.4 Hz, 1H, HAr), 7.49–7.53 (m, 3H, HAr, CONH2), 7.34–7.39 (m, 3H, HAr), 7.17 (d, J = 7.6 Hz, 1H, HAr), 7.02 (br s, 1H, CONH2), 5.31 (s, 2H, OCH2), 3.70 (d, J = 13.6 Hz, 1H, Ar-CH2), 3.56 (d, J = 13.6 Hz, 1H, Ar-CH2), 3.02 (q, J = 7.0 Hz, 1H, CH-CH3), 1.14 (d, J = 7.0 Hz, 3H, CH3). 13C-NMR (100 MHz, DMSO-d6, ppm) δC 170.4 (C=O), 154.0, 145.8, 139.9, 139.4, 136.8, 134.8, 131.8, 130.5, 127.9, 121.3, 121.1, 113.6, and 108.9 (15C, Ar-C), 70.0 (CH2), 54.6 (CH), 48.1 (CH2), 16.0 (CH3). HR-ESI MS m/z 336.1707 [M + H]+.
(S)-2-((3-((Quinolin-6-yloxy)methyl)benzyl)amino)propanamide (7c)
Yield: 85%. IR (KBr, cm−1) ν 3290, 3158, 2913, 2660, 2062, 1964, 1696 (C=O), 1617 (C=N), 1617, 1600. 1H-NMR (400 MHz, DMSO-d6, ppm) δH 8.75 (dd, J = 4.2, 1.7 Hz, 1H, HAr), 8.25 (m, 1H, HAr), 7.94 (dd, J = 9.5, 0.8 Hz, 1H, HAr), 7.47–7.50 (m, 4H, HAr, CONH2), 7.31–7.40 (m, 4H, HAr), 7.02 (br s, 1H, CONH2), 5.23 (s, 2H, OCH2), 3.72 (d, J = 13.6 Hz, 1H, Ar-CH2), 3.58 (d, J = 13.6 Hz, 1H, Ar-CH2), 3.03 (q, J = 7.0 Hz, 1H, CH-CH3), 1.14 (d, J = 7.0 Hz, 3H, CH3). 13C-NMR (100 MHz, DMSO-d6, ppm) δC 170.4 (C=O), 157.9, 143.7, 142.4, 136.3, 134.6, 132.2, 130.3, 130.1, 130.0, 128.9, 128.5, 126.9, 123.1, 122.4, and 107.9 (15C, Ar-C), 69.9 (CH2), 54.6 (CH), 48.3 (CH2), 16.0 (CH3). HR-ESI MS m/z 336.1708 [M + H]+.
(S)-2-((4-((Quinolin-6-yloxy)methyl)benzyl)amino)propanamide (7d)
Yield: 82%. IR (KBr, cm−1) ν 3357, 3175, 3076, 2969, 2661, 1689 (C=O), 1616 (C=N), 1600, 1493. 1H-NMR (400 MHz, DMSO-d6, ppm) δH 8.74 (dd, J = 4.2, 1.7 Hz, 1H, HAr), 8.24 (dd, J = 8.4, 1.1 Hz, 1H, HAr), 7.93 (d, J = 8.9 Hz, 1H, HAr), 7.45–7.49 (m, 5H, HAr, CONH2), 7.36–7.38 (m, 3H, HAr), 7.01 (br s, 1H, CONH2), 5.21 (s, 2H, OCH2), 3.70 (d, J = 13.6 Hz, 1H, Ar-CH2), 3.55 (d, J = 13.6 Hz, 1H, Ar-CH2), 3.01 (q, J = 7.0 Hz, 1H, CH-CH3), 1.13 (d, J = 7.0 Hz, 3H, CH3). 13C-NMR (100 MHz, DMSO-d6, ppm) δC 170.6 (C=O), 158.2, 143.8, 143.2, 137.2, 135.1, 131.7, 130.7, 130.5, 128.6, 127.2, 123.8, 122.7, 108.1 (15C, Ar-C), 69.9 (CH2), 54.7 (CH), 48.3 (CH2), 16.1 (CH3). HR-ESI MS m/z 336.1708 [M + H]+.
(S)-2-((3-((Quinolin-7-yloxy)methyl)benzyl)amino)propanamide (7e)
Yield: 81%. IR (KBr, cm−1) ν 3300, 3137, 2743, 1694 (C=O), 1643 (C=N), 1643, 1609. 1H-NMR (400 MHz, DMSO-d6, ppm) δH 8.81 (dd, J = 4.5, 2.0 Hz, 1H, HAr), 8.28 (dd, J = 8.1, 1.7 Hz, 1H, HAr), 7.90 (d, J = 9.0 Hz, 1H, HAr), 7.48–7.50 (m, 2H, HAr, CONH2), 7.30–7.39 (m, 6H, HAr), 7.02 (br s, 1H, CONH2), 5.27 (s, 2H, OCH2), 3.71 (d, J = 13.6 Hz, 1H, Ar-CH2), 3.57 (d, J = 13.6 Hz, 1H, Ar-CH2), 3.03 (q, J = 7.0 Hz, 1H, CH-CH3), 1.14 (d, J = 7.0 Hz, 3H, CH3). 13C-NMR (100 MHz, DMSO-d6, ppm) δC 170.4 (C=O), 162.2, 145.0, 144.5, 140.7, 135.8, 132.2, 130.9, 130.3, 130.0, 129.0, 128.7, 124.3, 122.4, 119.6, and 101.3 (15C, Ar-C), 70.1 (CH2), 54.6 (CH), 48.3 (CH2), 16.0 (CH3). HR-ESI MS m/z 336.1705 [M + H]+.
(S)-2-((4-((Quinolin-7-yloxy)methyl)benzyl)amino)propanamide (7f)
Yield: 78%. IR (KBr, cm−1) ν 3365, 3177, 3020, 2719, 2661, 2396, 2085, 1689 (C=O), 1637 (C = N), 1604. 1H-NMR (400 MHz, DMSO-d6, ppm) δH 8.81 (dd, J = 4.2, 1.7 Hz, 1H, HAr), 8.28 (dd, J = 8.2, 1.4 Hz, 1H, HAr), 7.90 (d, J = 9.0 Hz, 1H, HAr), 7.45–7.48 (m, 3H, HAr, CONH2), 7.31–7.39 (m, 5H, HAr), 7.00 (br s, 1H, CONH2), 5.26 (s, 2H, OCH2), 3.69 (d, J = 13.6 Hz, 1H, Ar-CH2), 3.55 (d, J = 13.6 Hz, 1H, Ar-CH2), 3.00 (q, J = 7.0 Hz, 1H, CH-CH3), 1.13 (d, J = 7.0 Hz, 3H, CH3). 13C-NMR (100 MHz, DMSO-d6, ppm) δC 170.8 (C=O), 163.0, 145.9, 145.1, 140.9, 137.0, 132.0, 131.5, 130.9, 128.9, 124.8, 123.0, 120.1, and 101.5 (15C, Ar-C), 70.4 (CH2), 54.9 (CH), 48.6 (CH2), 16.2 (CH3). HR-ESI MS m/z 336.1706 [M + H]+.
(S)-2-((3-((Quinolin-8-yloxy)methyl)benzyl)amino)propanamide (7g)
Yield: 96%. IR (KBr, cm−1) ν 3338, 3177, 2971, 2788, 1689 (C=O), 1631 (C=N), 1595, 1546. 1H-NMR (400 MHz, DMSO-d6, ppm) δH 8.86 (dd, J = 4.2, 1.7 Hz, 1H, HAr), 8.32 (dd, J = 8.1, 1.7 Hz, 1H, HAr), 7.49–7.57 (m, 4H, HAr, CONH2), 7.28–7.43 (m, 5H, HAr), 7.01 (br s, 1H, CONH2), 5.29 (s, 2H, OCH2), 3.72 (d, J = 13.6 Hz, 1H, Ar-CH2), 3.58 (d, J = 13.6 Hz, 1H, Ar-CH2), 3.03 (q, J = 7.0 Hz, 1H, CH-CH3), 1.13 (d, J = 7.0 Hz, 3H, CH3). 13C-NMR (100 MHz, DMSO-d6, ppm) δC 170.3 (C=O), 149.3, 145.9, 144.9, 136.2, 132.0, 130.0, 129.8, 129.6, 129.6, 128.7, 128.2, 122.8, 120.5, 115.5, and 113.8 (15C, Ar-C), 70.5 (CH2), 54.6 (CH), 48.4 (CH2), 16.0 (CH3). HR-ESI MS m/z 336.1708 [M + H]+.
(S)-2-((4-((Quinolin-8-yloxy)methyl)benzyl)amino)propanamide (7h)
Yield: 85%. IR (KBr, cm−1) ν 3323, 2958, 2746, 1689 (C=O), 1629 (C=N) 1597, 1547. 1H-NMR (400 MHz, DMSO-d6, ppm) δH 8.85 (dd, J = 4.0, 1.7 Hz, 1H, HAr), 8.32 (dd, J = 8.4, 1.7 Hz, 1H, HAr), 7.51 (dd, J = 8.4, 4.0 Hz, 1H, HAr), 7.44–7.48 (m, 4H, HAr, CONH2), 7.36–7.38 (m, 3H, HAr), 7.26–7.31 (m, 1H, HAr), 7.01 (br s, 1H, CONH2), 5.28 (s, 2H, OCH2), 3.71 (d, J = 13.6 Hz, 1H, Ar-CH2), 3.55 (d, J = 13.6 Hz, 1H, Ar-CH2), 3.02 (q, J = 7.0 Hz, 1H, CH-CH3), 1.13 (d, J = 7.0 Hz, 3H, CH3). 13C-NMR (100 MHz, DMSO-d6, ppm) δC 170.4 (C=O), 148.9, 145.6, 145.4, 136.5, 131.7, 130.4, 129.7, 129.6 128.1, 122.8, 120.4, 115.5, and 114.0 (15C, Ar-C), 70.2 (CH2), 54.5 (CH), 48.1 (CH2), 16.0 (CH3). HR-ESI MS m/z 336.1707 [M + H]+.
Due to the influence of the surrounding groups, the hydrogen atom of the -NH- group in these compounds was unobserved in the 1H-NMR spectra.
3.3. Formalin Test
The formalin test was carried out using the method described previously [19]. During the formalin test, Institute of Cancer Research (ICR; CD−1) male mice (weight: 22–25 g) were acclimated to the environment for two days before the experiment with food and water available freely. The mice were housed under a 12 h/12 h light/dark cycle. The temperature and humidity of the room were kept at 25 ± 2 °C and 50–60%, respectively. The mice were divided into a vehicle group, a ralfinamide group, and test compound groups randomly, with eight mice in each group. All compounds were dissolved in saline and administered by intraperitoneal injection (n = 8) or intragastric administration by mouth (n = 8) at 10 mg/kg. The vehicle group was given the same volume of saline.
After administration, the mice were placed into polyvinyl chloride (PVC) observation chambers. Thirty minutes later, the mice were injected subcutaneously with 20 μL of 2.7% formalin solution into the surface of their right hind paw and were returned to their PVC chambers immediately to observe their behavior. The cumulative time each mouse licked its right hind paw during phase II (15–30 min) was recorded as its painful time in phase II. The analgesic effects of the compounds were presented as the mean ± standard deviation. The data were analyzed by SPSS using one-way analysis of variance followed by Dunnett’s test. The analgesic activity of the test compounds was calculated according to the following formula.
3.4. Acetic Acid-Induced Writhing Test
The writhing test was performed according to a previously reported method [20]. The ICR (CD-1) male mice (weight: 22–25 g) were treated as for the formalin test in the same environment. The mice were divided into a vehicle group, a ralfinamide group, and test compound groups randomly, with six mice in each group. All compounds were dissolved in saline and administered by intraperitoneal injection at 10 mg/kg. The vehicle group was given the same volume of saline. After administration, the mice were placed into PVC chambers. Thirty minutes later, the mice were injected with 1% acetic acid solution at 10 mL/kg by intraperitoneal injection and placed into the observation chambers immediately to record the number of writhes each mouse had in 20 min. The results were presented as the mean ± standard deviation. The analytical method was the same as that for the formalin test, and the analgesic activity of each compound was calculated by the following formula.
3.5. Assay for hNav1.7 Inhibition
The compounds were tested as hNav1.7 peak current inhibitors at room temperature using human embryonic kidney 293 cells stably expressing hNav1.7. The holding voltage was depolarized to 0 mV from −120 mV for 20 ms and restored to −75 mV for 8 s. After that, the membrane potential was recovered to −120 mV for 20 ms and then depolarized to 0 mV for another 20 ms. Finally, the voltage was renewed to −120 mV for 30 ms. The potential was applied every 20 s. The compounds were administered when the voltage of hNav1.7 recorded by the whole-cell patch clamp was stable. Every compound concentration was tested for 5 min, and all compounds were tested at several concentrations and with multiple cells.
3.6. Assay for hNav1.8 Inhibition
The whole-cell patch clamp assay assessing the hNav1.8 current was carried out at room temperature with Chinese hamster ovary cells stably expressing hNav1.8. The holding voltage of the membrane was transferred to 0 mV from −120 mV for 50 ms and then restored to −50 mV for 8 s. After that, the membrane potential was renewed to −120 mV for 20 ms, which was followed by a depolarization to 0 mV for 50 ms. Finally, the potential was recovered to the holding voltage of −120 mV for 30 ms. This process was performed every 20 s. The compounds were administered when the voltage of hNav1.8 was stable. Every compound concentration was tested for 5 min, and all compounds were tested at several concentrations and with multiple cells.
3.7. Assay for hNav1.5 Inhibition
The inhibition of the compounds to hNav1.5 peak current was performed at room temperature using HEK293 cells that could express hNav1.5 stably. The holding voltage of the membrane was transferred to 0 mV from −120 mV for 50 ms and then restored to −50 mV for 8 s. After that, the membrane potential was renewed to −120 mV for 20 ms, followed by a depolarization to 0 mV for 50 ms. At last, the potential was recovered to the holding voltage −120 mV for 30 ms. This progress was performed every 20 s. The compounds were administrated when the voltage of hNav1.5 was stable. Every concentration was tested for 5 min and all compounds were tested at several concentrations and with multiple cells.
4. Conclusions
In conclusion, novel α-aminoamide derivatives containing benzo-aromatic heterocyclic groups were synthesized and evaluated as sodium channel isoform blocks for treating pain. Compounds 6a, 6e, and 6f displayed a greater in vivo analgesic potency than ralfinamide in both the formalin test and the writhing assay. Interestingly, they exhibited potent both anti-Nav1.7 and anti-Nav1.8 activity in the patch-clamp electrophysiology assay. The new compounds could serve as new leads for the development of analgesic drugs.
Author Contributions
W.S. and Y.Z.: study design, director of the study, revision and final approval of the version to be published. K.T. and R.Z.: compounds synthesis, biological activity assay, data collection, data analysis, and manuscript writing. K.T. and F.R. (Fengxia Ren): data analysis, data interpretation. T.Z., J.H., J.C., and Z.Y.: director of the compounds’ synthesis and data analysis. J.H., F.R. (Fengzhi Ren), and W.S.: manuscript revision. All authors have read and agreed to the published version of the manuscript.
Funding
This research received no external funding.
Institutional Review Board Statement
All the procedures adopted were approved and agreed upon by the Institutional Animal Ethical Committee of Beijing Institute of Pharmacology & Toxicology. The research was conducted in accordance with the ethical standards. All care and use guidelines for laboratory animals were followed.
Informed Consent Statement
Not applicable.
Data Availability Statement
The data presented in this study are available in this article.
Conflicts of Interest
The authors declare no conflict of interest. The founding sponsors had no role in the design of the study, in the collection, analyses, or interpretation of data, in the writing of the manuscript, or in the decision to publish the results. The authors agreed to submit the manuscript to the journal unanimously.
Sample Availability
Samples of the compounds are available from the authors.
References
- Jang, J.Y.; Lee, S.H.; Kim, M.Y.; Ryu, J.S. Characteristics of neuropathic pain in patients with spinal cord injury. Ann. Rehabil. Med. 2014, 38, 327–334. [Google Scholar] [CrossRef] [PubMed]
- Colloca, L.; Ludman, T.; Bouhassira, D.; Baron, R.; Dickenson, A.H.; Yarnitsky, D.; Freeman, R.; Truini, A.; Attal, N.; Finnerup, N.B.; et al. Neuropathic pain. Nat. Rev. Dis. Primers. 2017, 3, 17002. [Google Scholar] [CrossRef] [PubMed]
- Snedecor, S.J.; Sudharshan, L.; Cappelleri, J.C.; Sadosky, A.; Desai, P.; Jalundhwala, Y.J.; Botteman, M. Systematic review and comparison of pharmacologic therapies for neuropathic pain associated with spinal cord injury. J. Pain Res. 2013, 6, 539–547. [Google Scholar] [CrossRef] [PubMed]
- Van Hecke, O.; Austin, S.K.; Khan, R.A.; Smith, B.H.; Torrance, N. Neuropathic pain in the general population: A systematic review of epidemiological studies. Pain 2014, 155, 654–662. [Google Scholar] [CrossRef] [PubMed]
- Kiguchi, N.; Kobayashi, D.; Saika, F.; Matsuzaki, S.; Kishioka, S. Pharmacological regulation of neuropathic pain driven by inflammatory macrophages. Int. J. Mol. Sci. 2017, 18, 2296. [Google Scholar] [CrossRef] [PubMed]
- Mulcahy, J.V.; Pajouhesh, H.; Beckley, J.T.; Delwig, A.; Du Bois, J.; Hunter, J.C. Challenges and opportunities for therapeutics targeting the voltage-gated sodium channel isoform Nav1.7. J. Med. Chem. 2019, 62, 8695–8710. [Google Scholar] [CrossRef] [PubMed]
- Wulff, H.; Christophersen, P.; Colussi, P.L.; Chandy, K.G.; Yarov-Yarovoy, V. Antibodies and venom peptides: New modalities for ion channels. Nat. Rev. Drug Discov. 2019, 18, 339–357. [Google Scholar] [CrossRef]
- Dib-Hajj, S.D.; Waxman, S.G. Sodium channels in human pain disorders: Genetics and pharmacogenomics. Annu. Rev. Neurosci. 2019, 42, 87–106. [Google Scholar] [CrossRef] [PubMed]
- Catterall, W.A.; Lenaeus, M.J.; Gamal El-Din, T.M. Structure and pharmacology of voltage-gated sodium and calcium channels. Annu. Rev. Pharmacol. Toxicol. 2020, 60, 133–154. [Google Scholar] [CrossRef] [PubMed]
- Chew, L.A.; Bellampalli, S.S.; Dustrude, E.T.; Khanna, R. Mining the Nav 1.7 interactome: Opportunities for chronic pain therapeutics. Biochem. Pharmacol. 2019, 163, 9–20. [Google Scholar] [CrossRef] [PubMed]
- Verma, P.; Kienle, A.; Flockerzi, D.; Ramkrishna, D. Using bifurcation theory for exploring pain. Ind. Eng. Chem. Res. 2020, 59, 2524–2535. [Google Scholar] [CrossRef]
- Zhou, Y.; Cai, S.; Moutal, A.; Yu, J.; Gomez, K.; Madura, C.L.; Shan, Z.; Pham, N.Y.N.; Serafini, M.J.; Dorame, A.; et al. The Natural Flavonoid Naringenin Elicits Analgesia through Inhibition of NaV1.8 Voltage-Gated Sodium Channels. ACS Chem. Neurosci. 2019, 10, 4834–4846. [Google Scholar] [CrossRef]
- Li, H.; Fan, S.; Cheng, J.; Zhang, P.; Zhong, B.; Shi, W. Synthesis and evaluation of novel α-aminoamides containing an indole moiety for the treatment of neuropathic pain. Molecules 2016, 21, 793. [Google Scholar] [CrossRef] [PubMed]
- Yamane, H.; de Groat, W.C.; Sculptoreanu, A. Effects of ralfinamide, a Na+ channel blocker, on firing properties of nociceptive dorsal root ganglion neurons of adult rats. Exp. Neurol. 2007, 208, 63–72. [Google Scholar] [CrossRef] [PubMed]
- Di Stefano, A.F.D.; Radicioni, M.M.; Rusca, A. Pressor response to oral tyramine and monoamine oxidase inhibition during treatment with ralfinamide (NW-1029). Neurotox. Res. 2013, 23, 315–326. [Google Scholar] [CrossRef] [PubMed]
- Wang, Y.Y.; Wilson, S.M.; Brittain, J.M.; Ripsch, M.S.; Salomé, C.; Park, K.D.; White, F.A.; Khanna, R.; Kohn, H. Merging structural motifs of functionalized amino acids and α-aminoamides results in novel anticonvulsant compounds with significant effects on slow and fast inactivation of voltage-gated sodium channels and in the treatment of neuropathic pain. ACS Chem. Neurosci. 2011, 2, 317–332. [Google Scholar] [CrossRef]
- Liang, X.; Yu, G.; Su, R. Effects of ralfinamide in models of nerve injury and chemotherapy-induced neuropathic pain. Eur. J. Pharmacol. 2018, 823, 27–34. [Google Scholar] [CrossRef]
- Ma, M.; Sun, J.; Li, M.; Yu, Z.; Cheng, J.; Zhong, B.; Shi, W. Synthesis and evaluation of novel biased μ-opioid-receptor (μOR) agonists. Molecules 2019, 24, 259. [Google Scholar] [CrossRef] [PubMed]
- Ma, R.S.Y.; Kayani, K.; Whyte-Oshodi, D.; Whyte-Oshodi, A.; Nachiappan, N.; Gnanarajah, S.; Mohammed, R. Voltage gated sodium channels as therapeutic targets for chronic pain. J. Pain Res. 2019, 12, 2709–2722. [Google Scholar] [CrossRef]
- Kushnarev, M.; Pirvulescu, L.P.; Candido, K.D.; Knezevic, N.N. Neuropathic pain: Preclinical and early clinical progress with voltage-gated sodium channel blockers. Expert Opin. Inv. Drug 2020, 29, 259–271. [Google Scholar] [CrossRef]
- Zhang, S.H.; Blech-Hermoni, Y.; Faravelli, L.; Seltzer, Z. Ralfinamide administered orally before hindpaw neurectomy or postoperatively provided long-lasting suppression of spontaneous neuropathic pain-related behavior in the rat. Pain 2009, 139, 293–305. [Google Scholar] [CrossRef] [PubMed]
- Bauer, M.; Bliesath, H.; Leuratti, C.; Lackner, E.; Dieterle, W.; Müller, M.; Brunner, M. Disposition and metabolism of ralfinamide, a novel Na-channel blocker, in healthy male volunteers. Pharmacology 2010, 86, 297–305. [Google Scholar] [CrossRef] [PubMed]
Publisher’s Note: MDPI stays neutral with regard to jurisdictional claims in published maps and institutional affiliations. |
© 2021 by the authors. Licensee MDPI, Basel, Switzerland. This article is an open access article distributed under the terms and conditions of the Creative Commons Attribution (CC BY) license (http://creativecommons.org/licenses/by/4.0/).



