Abstract
Keto piperazines and aminocoumarins are privileged building blocks for the construction of geometrically constrained peptides and therefore valuable structures in drug discovery. Combining these two heterocycles provides unique rigid polycyclic peptidomimetics with drug-like properties including many points of diversity that could be modulated to interact with different biological receptors. This work describes an efficient multicomponent approach to condensed chromenopiperazines based on the novel enol-Ugi reaction. Importantly, this strategy involves the first reported post-condensation transformation of an enol-Ugi adduct.
1. Introduction
Peptidomimetics are molecules structurally related to peptides that can interact at the same receptors of their prototypes [1,2]. They have attracted an enormous medical interest as they present similar, or sometimes opposite, effects to the equivalent peptide, but display more favorable pharmacological properties. Geometrically constrained peptidomimetics are an important class of peptide analogues containing cyclic structures that result in reduced conformational flexibility and usually well-defined secondary structures [3]. This frequently results in enhanced affinities for biological receptors, leading to improved biological activities [4]. In fact, many biologically active natural products present rigid peptide-like motives able to strongly bind to their target biomolecules.
Heterocycles are valuable building blocks to introduce defined structural constrains in peptide sequences [3,4]. Among the most attractive rigid peptidic scaffolds for drug discovery are piperazines [5,6,7,8,9,10], which are present in many alkaloids and pharmaceuticals that can bind to a wide range of receptors [11]. Additionally, 3-aminocoumarins are considered privileged structures, present in various biologically active natural didepsipeptides, such as bacterial antibiotics novobiocin [12,13,14], coumermycines [15] and cacibiocins [16], and marine-derived fungal metabolites trichodermamides [17,18,19].
Conventional methods for the synthesis of these compounds commonly consist in multi-step procedures, including several protection and deprotection reactions. In recent years, more convenient multicomponent approaches have been developed to straightforwardly generate diversely substituted constrained peptidomimetics in one or a few reaction steps. Thus, piperazines and pyrazines have been synthesized by modified Ugi condensations [20] and post-condensation transformations of Ugi [7,21,22,23] or Ugi–Smiles products [24,25]. Different multicomponent strategies have also been used in the synthesis of polycyclic coumarins [26].
Both condensed polycyclic piperazines [27] and coumarins [28] (Figure 1) are unique in terms of structure and properties, reaching larger areas of the chemical space of biologically relevant compounds, as well as a wider diversity of target proteins. Pharmacologically relevant polycyclic pyrazines include praziquantel (1), used as the primary medication for human schistosomiasis [29], trabectedin (2), a marine-derived orphan drug that has been approved for the treatment of soft tissue sarcomas [30], and antidepressant mirtazapine (3) [31]. On the other hand, many polycyclic coumarins have distinct biological activities. Notable examples are phytoestrogen coumestrol (4) [32], antioxidant and anticancer ellagic acid (5) [33], antimalarial dioncolactone (6) [34], cannabinoid agonists cannabilactones (7) [35] and neo-tanshinlactone (8), a natural compound known for its specificity and selectivity towards the breast cancer cells [36]. Thus, combining the coumarin and pyrazino scaffolds in the same structure opens new opportunities to develop molecules with novel and selective biological activities [37].
Figure 1.
Some bioactive polycyclic pyrazines and coumarins.
Reports on chromenopyrazines are scarce, but some interesting examples have been described. Thus, chromeno[3,4-b]pyrazines (9) [38] and the structural related pyrazino[2,3-c]quinolin-5(6H)-ones (10) [39] are known to have antimicrobial and anticancer activities. Additionally, furochromenopyrazines (11) present similar photobiological activities than psoralens (Figure 2) [40]. Although some syntheses of pyrazino[2,3-c]quinolin-5(6H)-ones have been reported [41,42], literature review reveals a limited number of known synthesis of chromenopyrazines (Scheme 1) [43,44]. For example, Pal and co-workers used an AlCl3-induced C–C bond formation followed by transition metal mediated coupling-cyclization to synthesize chromeno[4,3-b]quinoxalines [43]. More recently, the group of Balci reported a synthesis of chromenopyrazinone derivatives in four reaction steps, starting from salicylaldehyde [44]. These syntheses require the use of environmentally noxious transition metals and permit a limited diversity of products. Consequently, the development of simple and efficient synthetic methods is indispensable to further explore the chromenopyrazine structure.
Figure 2.
Some bioactive chromenopyrazines and quinolinopyrazines.
Scheme 1.
Representative syntheses of chromenopyrazines.
We have previously used multicomponent reactions of isocyanides for the synthesis of peptide and pseudopeptide derivatives [45,46,47,48]. As part of this research line, here we report the multicomponent synthesis of chromeno[3,4-b]pyrazin-5-ones as geometrically restricted peptidomimetics.
2. Results and Discussion
We have recently reported the effective multicomponent enol-Ugi condensation of enols (15), aldehydes (12), amines (13) and isocyanides (14) leading to polysubstituted heterocyclic enamines (17; Scheme 2) [49,50,51]. The enol-Ugi condensation of 4-hydroxy-3-nitro-coumarin (15) and cyclohexyl isocyanide (14a) with different amines (13a–d) and aldehydes (12a–e) or the corresponding preformed imines (16a–k) leads to aminoacylcoumarins (17a–k) in good to excellent yields (Table 1).
Scheme 2.
Enol-Ugi condensation of 4-hydroxycoumarin.
Table 1.
Synthesis of enol-Ugi adducts 17 and chromenopyrazines 19 a,b,d.
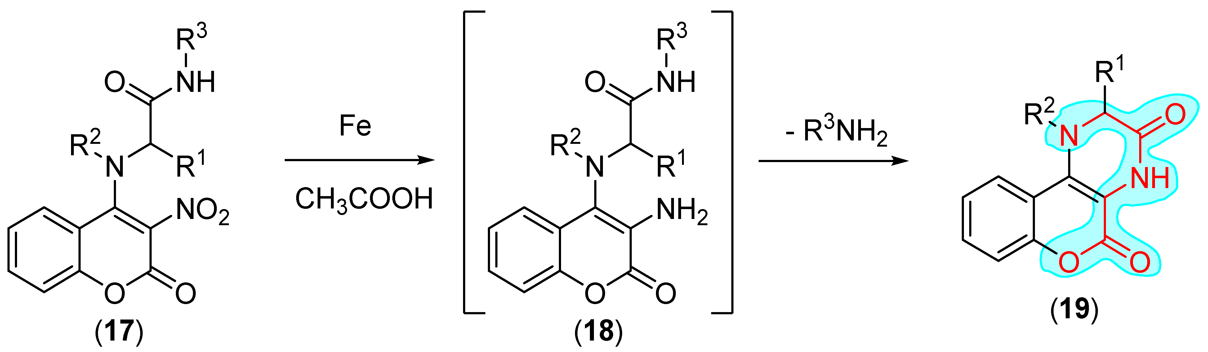
Reduction of the nitro group in the enol-Ugi adducts (17a–k) with iron in acetic acid takes place smoothly at room temperature to afford amino intermediates (18a–k) that are usually not isolated. In the case of enol-Ugi adducts derived from aliphatic amines (17a–i) the spontaneous intramolecular attack of the amine on the amide group generates a pyrazine ring (19a–i) with loss of cyclohexylamine (Scheme 3). Conversely, enol-Ugi adducts derived from aromatic amines (17j,k) give stable aminocoumarins (18j,k) that can be isolated. However, when the reduction/cyclization was carried out at 150 °C the corresponding chromenopyrazines (19j,k) were directly obtained (Table 1).
Scheme 3.
Postcondensation synthesis of chromenopyrazinones. Dipeptidic structure is shaded in light blue colour.
A rigid dipeptidic structure is comprised in the pyrazine and pyranone rings of chromenopyrazines (19; Scheme 3). In order to extend the peptidic skeleton of these geometrically constrained dipeptides, we decided to use esters of amino acids as amino components of the enol-Ugi reaction (Scheme 4). Accordingly, the four-component reaction of 4-hydroxy-3-nitro-coumarin (15), different isocyanides (14a–d) and aldehydes (12a,c,d) with glycine methyl ester (13e) gave the corresponding adducts (17l–r) in good yields. The analogous condensation of β-alanine (13f) similarly gave adduct 17s (Table 2).
Scheme 4.
Synthesis of chromenopyrazine tripeptides. Tripeptidic structure is shaded in light blue colour.
Table 2.
Synthesis of enol-Ugi adducts of amino acids (17) and chromenopyrazines 19 and 20 a,b,c.
Interestingly, in this case, reduction of the nitro group does not lead to cyclization by the attack on the amide, as with adducts 17a–k. The attack of the amine occurs instead on the more reactive ester group derived from the glycine methyl ester, affording pyrazines 20l–r (Scheme 4; Table 2). The amide group brought by the isocyanide component is thus preserved in the product delivering a new element of diversity, as different isocyanides can be used (Table 2). Rigid retropeptidic tripeptides are obtained in this manner. The peptide sequence could theoretically be grown from the isocyanide-derived amide to obtain peptides with an inverted rigid N-terminus.
On the other hand, the β-alanine-derived adduct (17s) cyclizes again by attack on the amide to give pyrazine 19s. This reaction is more favorable than cyclization on the ester, as this would involve the formation of a seven-membered, instead of a six membered ring.
3. Materials and Methods
3.1. Starting Materials
Acetonitrile was dried by distillation over P2O5, immediately prior to use. Glacial acetic acid was purchased from commercial sources and used as received. Aldehydes (12a–e), amines (13a–f), isocyanides (14a–d; S.I. Figure S1), 4-hydroxycoumarin and iron powder are commercially available and were used without purification. 4-Hydroxy-3-nitrocoumarin (15) was prepared by nitration of 4-hydroxycoumarin [52]. Imines (16a–k; S.I. Figure S2) were synthesized using the standard procedure of mixing equimolar amounts of the corresponding aldehydes (12), amines (13) and anhydrous Na2SO4 in dry CH2Cl2 at room temperature for 24 h. [53,54] Evaporation of the solvent quantitatively yielded the imines (16) that were used in the Ugi reaction without further purification.
3.2. General Synthetic Techniques
Liquid reagents were measured using positive-displacement micropipettes with disposable tips and pistons. Thin layer chromatography was performed on aluminum plates, using 254 nm UV light or a mixture of p-anisaldehyde (2.5%), acetic acid (1%) and H2SO4 (3.4%) in 95% ethanol as developer.
3.3. Instrumentation
Melting points are uncorrected. IR spectra were recorded as KBr pellets. Proton and carbon-13 nuclear magnetic resonance (1H-NMR or 13C-NMR) spectra were obtained on a 500 MHz spectrometer. The assignments of signals in 13C-NMR were made by DEPT. High resolution mass spectra (HRMS) were recorded using a 6520 Accurate Mass QTOF LC/MS Spectrometer.
3.4. Synthesis and Characterization of the Ugi-Aducts
3.4.1. Three-Component Condensation
Our previously reported procedure [51] was followed. Briefly, isocyanide (14, 0.5 mmol) and enol (15, 0.5 mmol) were successively added to a solution of imine (16, 0.5 mmol) in CH2Cl2 (1 mL), and the resulting mixture was stirred at 20 °C for 3 h. Removal of the solvent and purification by column chromatography (SiO2, gradient from 100% hexanes to hexanes–EtOAc, 7:3) gave the corresponding enamines 17a–k (Table 1).
2-(Benzyl(3-nitro-2-oxo-2H-chromen-4-yl)amino)-2-(2-bromophenyl)-N-cyclohexyl acetamide (17b). Obtained from isocyanide 14a, enol 15 and imine 16b, from isocyanide 14a, enol 15 and imine 16b, as a yellow solid (260 mg, 88%); m.p. 165–167 °C; IR (cm−1) 3341, 3064, 2933, 2854, 1714, 1677, 1600, 1549, 1465, 1350, 1278, 1116, 1054, 925, 760; 1H-NMR (500 MHz, CDCl3) δ 8.14 (d, J = 8.0 Hz, 1H), 7.63–7.57 (m, 3H), 7.42 (dt, J = 7.5, 0.9 Hz, 1H), 7.40 (dt, J = 3.7, 1.0 Hz, 1H), 7.38–7.36 (m, 1H), 7.31 (dd, J = 8.3, 0.8 Hz, 1H), 7.28 (dd, J = 7.8, 1.4 Hz, 1H), 7.25–7.18 (m, 5H), 5.87 (s, 1H), 5.56 (d, J = 8.0 Hz, 1H), 4.77 (d, J = 14.8 Hz, 1H), 3.99 (d, J = 14.8 Hz, 1H), 3.82–3.73 (m, 1H), 1.93–1.54 (m, 5H), 1.39–0.97 (m, 5H); 13C-NMR (126 MHz, CDCl3) δ 167.45 (C), 155.12 (C), 153.00 (C), 152.48 (C), 135.14 (C), 134.33 (C), 133.96 (CH), 133.82 (CH), 130.99 (CH), 130.13 (CH), 129.02 (CH), 128.61 (CH), 128.44 (CH), 128.24 (CH), 127.49 (CH), 126.33 (C), 125.12 (CH), 118.45 (C), 117.90 (CH), 68.92 (CH), 54.76 (CH2), 49.26 (CH), 32.73 (CH2), 32.71 (CH2), 24.82 (CH2), 24.74 (CH2); MS (qTOF) m/z (%) 592 (M+ + 3, 28), 590 (M+ + 1, 30), 574 (42), 572 (44), 510 (98), 508 (100); HRMS (qTOF) Calcd for C30H29BrN3O5: 590.1296. Found: 590.1285.
2-(Benzyl(3-nitro-2-oxo-2H-chromen-4-yl)amino)-N-cyclohexyl-2-(p-tolyl)acetamide (17c). Obtained from isocyanide 14a, enol 15 and imine 16c, as a yellow solid (208 mg, 79%); m.p. 141–143 °C; IR (cm−1) 3369, 2928, 2853, 1729, 1681, 1601, 1549, 1451, 1403, 1350, 1116, 1054, 791; 1H-NMR (500 MHz, CDCl3) δ 8.04 (d, J = 8.1 Hz, 1H), 7.56 (dt, J = 7.3, 1.4 Hz, 1H), 7.31–7.26 (m, 2H), 7.24–7.11 (m, 9H), 5.78 (d, J = 8.1 Hz, 1H), 5.16 (s, 1H), 4.64 (d, J = 14.9 Hz, 1H), 4.19 (d, J = 14.9 Hz, 1H), 3.76–3.67 (m, 1H), 2.33 (s, 3H), 1.87–1.53 (m, 5H), 1.36–0.95 (m, 5H); 13C-NMR (126 MHz, CDCl3) δ 168.30 (C), 155.08 (C), 153.26 (C), 152.49 (C), 139.50 (C), 135.31 (C), 133.89 (CH), 131.78 (C), 129.90 (CH), 129.16 (CH), 129.04 (CH), 128.57 (C), 128.45 (CH), 128.39 (CH), 124.93 (CH), 118.38 (C), 117.65 (CH), 71.15 (CH), 55.96 (CH2), 48.99 (CH), 32.79 (CH2), 32.70 (CH2), 27.07 (CH2), 24.87 (CH2), 24.79 (CH2), 21.32 (CH3); MS (qTOF) m/z (%) 526 (M+ + 1, <5), 479 (10), 347 (100), 146 (54); HRMS (qTOF) Calcd for C33H32N3O5: 526.2326. Found: 526.2326.
2-(Benzyl(3-nitro-2-oxo-2H-chromen-4-yl)amino)-N-cyclohexyl-2-(4-(trifluoromethyl) phenyl)acetamide (17d). Obtained from isocyanide 14a, enol 15 and imine 16d, as a yellow solid (226 mg, 78%), m.p. 135–137 °C; IR (cm−1) 3365, 2932, 2855, 1730, 1684, 1603, 1550, 1324, 1168, 1127, 1068, 761, 699; 1H-NMR (500 MHz, CDCl3) δ 7.90 (d, J = 7.3 Hz, 1H), 7.61–7.57 (m, 3H), 7.52 (d, J = 8.2 Hz, 2H), 7.30 (d, J = 7.7 Hz, 2H), 7.24–7.18 (m, 3H), 7.10 (dd, J = 6.5, 1.6 Hz, 2H), 5.88 (d, J = 8.1 Hz, 1H), 5.16 (s, 1H), 4.63 (d, J = 14.7 Hz, 1H), 4.23 (d, J = 14.7 Hz, 1H), 3.71–3.61 (m, 1H), 1.84–1.55 (m, 5H), 1.35–0.93 (m, 5H); 13C-NMR (126 MHz, CDCl3) δ 167.30 (C), 154.79 (C), 153.12 (C), 152.48 (C), 139.01 (C), 134.71 (C), 134.23 (CH), 131.76 (C), 131.50 (C), 129.35 (CH), 129.29 (CH), 128.75 (CH), 128.70 (CH), 128.28 (CH), 126.15 (CH), 126.12 (CH), 125.05 (CH), 122.73 (C), 118.21 (C), 117.80 (CH), 70.56 (CH), 56.77 (CH2), 49.15 (CH), 32.68 (CH2), 32.60 (CH2), 25.41 (CH2), 24.82 (CH2), 24.75 (CH2); MS (qTOF) m/z (%) 580 (M+ + 1, 100), 391 (13), 309 (28); HRMS (qTOF) Calcd for C31H29F3N3O5: 580.2059. Found: 580.2059.
2-((Benzo[d][1,3]dioxol-5-ylmethyl)(3-nitro-2-oxo-2H-chromen-4-yl)amino)-N-cyclohexyl-2-phenylacetamide (17e). Obtained from isocyanide 14a, enol 15 and imine 16e, as a yellow solid (217 mg, 78%); m.p. 135–136 °C; IR (cm−1) 3369, 2930, 2853, 1728, 1681, 1601, 1549, 1504, 1489, 1446, 1401, 1347, 1249, 929, 761; 1H-NMR (500 MHz, CDCl3) δ 8.07 (dd, J = 8.1, 1.3 Hz, 1H), 7.56 (dt, J = 6.9, 1.4 Hz, 1H), 7.38–7.28 (m, 7H), 6.74 (d, J = 1.4 Hz, 1H), 6.61 (d, J = 7.9, Hz, 1H), 6.57 (dd, J = 8.0, 1.5 Hz, 1H), 5.89 (s, 2H), 5.78 (d, J = 8.1 Hz, 1H), 5.19 (s, 1H), 4.56 (d, J = 14.8 Hz, 1H), 4.09 (d, J = 14.8 Hz, 1H), 3.76–3.67 (m, 1H), 1.89–1.53 (m, 5H), 1.37–0.95 (m, 5H); 13C-NMR (126 MHz, CDCl3) δ 168.11 (C), 155.06 (C), 152.50 (C), 147.83 (C), 147.73 (C), 134.78 (C), 134.00 (CH), 129.52 (CH), 129.23 (CH), 129.12 (CH), 128.91 (C), 128.31 (CH), 125.06 (CH), 122.90 (CH), 118.25 (C), 117.71 (CH), 109.38 (CH), 108.16 (CH), 101.22 (CH2), 71.29 (CH), 55.71 (CH2), 49.04 (CH), 32.76 (CH2), 32.67 (CH2), 27.05 (CH2), 24.85 (CH2), 24.77 (CH2); MS (qTOF) m/z (%) 556 (M+ + 1, 672), 457 (20), 353 (100); HRMS (qTOF) Calcd for C31H30N3O7: 556.2084. Found: 556.2089.
2-((Benzo[d][1,3]dioxol-5-ylmethyl)(3-nitro-2-oxo-2H-chromen-4-yl)amino)-N-cyclohexyl-2-(p-tolyl)acetamide (17f). Obtained from isocyanide 14a, enol 15 and imine 16f, as a yellow solid (202 mg, 71%); m.p. 145–146 °C; IR (cm−1) 3424, 2929, 2853, 1728, 1679, 1601, 1549, 1489, 1446, 1249, 1039, 929, 761; 1H-NMR (500 MHz, CDCl3) δ 8.09 (d, J = 7.2 Hz, 1H), 7.58 (dt, J = 6.4, 1.3 Hz, 1H), 7.35–7.27 (m, 2H), 7.21 (d, J = 8.0 Hz, 2H), 7.14 (d, J = 7.9 Hz, 2H), 6.75 (s, 1H), 6.63–6.55 (m, 2H), 5.88 (s, 2H), 5.72 (d, J = 8.1 Hz, 1H), 5.16 (s, 1H), 4.55 (d, J = 14.8 Hz, 1H), 4.08 (d, J = 15.0 Hz, 1H), 3.77–3.68 (m, 1H), 2.33 (s, 3H), 1.88–1.54 (m, 5H), 1.35–0.95 (m, 5H); 13C-NMR (126 MHz, CDCl3) δ 168.36 (C), 153.15 (C), 152.55 (C), 147.84 (C), 147.71 (C), 139.54 (C), 133.92 (CH), 131.77 (C), 130.54 (C), 129.93 (CH), 129.07 (CH), 128.36 (CH), 125.02 (CH), 122.90 (CH), 118.36 (C), 118.32 (C), 117.69 (CH), 109.43 (CH), 108.15 (CH), 101.20 (CH2), 71.14 (CH), 55.58 (CH2), 49.04 (CH), 32.82 (CH2), 32.73 (CH2), 27.07 (CH2), 24.88 (CH2), 24.80 (CH2), 21.32 (CH3); MS (qTOF) m/z (%) 570 (M+ + 1, 70), 353 (100); HRMS (qTOF) Calcd for C32H32N3O7: 570.2240. Found: 570.2236.
2-((Benzo[d][1,3]dioxol-5-ylmethyl)(3-nitro-2-oxo-2H-chromen-4-yl)amino)-N-cyclohexyl-2-(4-(trifluoromethyl)phenyl)acetamide (17g). Obtained from isocyanide 14a, enol 15 and imine 16g, as a yellow solid (250 mg, 80%); m.p. 129–131 °C; IR (cm−1) 3362, 2931, 2854, 1727, 1683, 1603, 1550, 1490, 1447, 1324, 1250, 1167, 1127, 1068, 930, 761; 1H-NMR (500 MHz, CDCl3) δ 7.96 (dd, J = 8.1, 1.1 Hz, 1H), 7.64–7.56 (m, 3H), 7.52 (d, J = 8.2 Hz, 2H), 7.35–7.29 (m, 2H), 6.67 (d, J = 1.5 Hz, 1H), 6.62 (d, J = 7.9 Hz, 1H), 6.52 (dd, J = 8.0, 1.5 Hz, 1H), 5.90 (s, 2H), 5.82 (d, J = 8.0 Hz, 1H), 5.16 (s, 1H), 4.55 (d, J = 14.6 Hz, 1H), 4.16 (d, J = 14.6 Hz, 1H), 3.72–3.63 (m, 1H), 1.87–1.52 (m, 5H), 1.35–0.94 (m, 5H); 13C-NMR (126 MHz, CDCl3) δ 167.34 (C), 154.78 (C), 153.00 (C), 152.53 (C), 148.00 (C), 147.96 (C), 138.97 (C), 134.28 (CH), 129.35 (CH), 128.39 (C), 128.20 (CH), 126.17 (CH), 126.14 (CH), 125.14 (CH), 123.07 (CH), 118.16 (C), 117.85 (CH), 109.48 (CH), 108.28 (CH), 101.34 (CH2), 70.52 (CH), 56.42 (CH2), 49.19 (CH), 32.71 (CH2), 32.64 (CH2), 27.07 (CH2), 24.83 (CH2), 24.76 (CH2); MS (qTOF) m/z (%) 624 (M+ + 1, 35), 353 (100); HRMS (qTOF) Calcd for C32H29F3N3O7: 624.1958. Found: 624.1942.
N-Cyclohexyl-2-(cyclohexyl(3-nitro-2-oxo-2H-chromen-4-yl)amino)-2-(p-tolyl)acetamide (17h). Obtained from isocyanide 14a, enol 15 and imine 16h, as a pale orange solid (205 mg, 79%); m.p. 68–70 °C; IR (cm−1) 3415, 2931, 2855, 1736, 1662, 1605, 1540, 1451, 1374, 1276, 1111, 1055, 762; 1H-NMR (500 MHz, CDCl3) δ 7.98 (bs, 1H), 7.53 (dt, J = 7.2, 1.3 Hz, 1H), 7.32–7.28 (m, 3H), 7.21 (d, J = 7.6 Hz, 1H), 6.90 (d, J = 8.0 Hz, 2H), 6.53 (d, J = 5.8 Hz, 1H), 5.07 (s, 1H), 3.72–3.61 (m, 1H), 3.32 (tt, J = 11.6, 3.4 Hz, 1H), 2.17 (s, 3H), 2.10–0.81 (m, 20H); 13C-NMR (126 MHz, CDCl3) δ 170.63 (C), 154.63 (C), 153.53 (C), 151.63 (C), 138.79 (C), 133.82 (CH), 132.54 (C), 129.27 (CH), 129.21 (CH), 129.12 (CH), 128.70 (C), 127.78 (CH), 127.12 (CH), 124.57 (CH), 120.12 (C), 117.24 (CH), 72.17 (CH), 66.58 (CH), 48.60 (CH), 32.73 (CH2), 32.63 (CH2), 32.45 (CH2), 32.28 (CH2), 27.06 (CH2), 26.09 (CH2), 26.08 (CH2), 24.97 (CH2), 24.94 (CH2), 21.14 (CH3); MS (qTOF) m/z (%) 518 (M+ + 1, 30), 517 (35), 447 (100); HRMS (qTOF) Calcd for C30H36N3O5: 518.2655. Found: 518.2648.
N-Cyclohexyl-2-(cyclohexyl(3-nitro-2-oxo-2H-chromen-4-yl)amino)-2-(4-(trifluoromethyl)phenyl)acetamide (17i). Obtained from isocyanide 14a, enol 15 and imine 16i, as a pale orange solid (243 mg, 85%); m.p. 133–135 °C; IR (cm−1) 3386, 2933, 2856, 1737, 1681, 1606, 1541, 1325, 1167, 1127, 1068, 762; 1H-NMR (500 MHz, CDCl3) δ 7.93 (bs, 1H), 7.59 (d, J = 8.2 Hz, 2H), 7.54 (t, J = 7.3 Hz, 1H), 7.40 (d, J = 8.2 Hz, 2H), 7.32 (t, J = 7.7 Hz, 1H), 7.24 (d, J = 8.3 Hz, 1H), 6.55 (bs, 1H), 5.16 (s, 1H), 3.68–3.57 (m, 1H), 3.30 (tt, J = 11.6, 3.4 Hz, 1H), 2.09–1.53 (m, 10H), 1.37–0.95 (m, 10H); 13C-NMR (126 MHz, CDCl3) δ 169.44 (C), 154.32 (C), 152.78 (C), 151.79 (C), 140.01 (C), 134.25 (CH), 128.81 (CH), 125.58 (CH), 125.55 (CH), 124.86 (CH), 119.84 (C), 117.56 (CH), 72.08 (CH), 66.63 (CH), 48.84 (CH), 32.66 (CH2), 32.58 (CH2), 32.49 (CH2), 32.30 (CH2), 27.07 (CH2), 26.07 (CH2), 25.47 (CH2), 25.23 (CH2), 24.92 (CH2), 24.89 (CH2); MS (qTOF) m/z (%) 572 (M+ + 1, 69), 473 (100), 383 (17), 301 (171); HRMS (qTOF) Calcd for C30H33F3N3O5: 572.2372. Found: 572.2367.
N-Cyclohexyl-2-(3,4-dimethoxyphenyl)-2-((3-nitro-2-oxo-2H-chromen-4-yl)(phenyl)amino) acetamide (17k). Obtained from isocyanide 14a, enol 15 and imine 16k, as an orange solid (112 mg, 40%); m.p. 129–130 °C; IR (cm−1) 3403, 2931, 2853, 1740, 1681, 1604, 1517, 1451, 1373, 1265, 1148, 761; 1H-NMR (500 MHz, CDCl3) δ 7.67 (d, J = 7.0 Hz, 1H), 7.55 (dt, J = 6.1, 1.5 Hz, 1H), 7.29–7.20 (m, 5H), 7.03 (t, J = 7.4 Hz, 1H), 6.99 (d, J = 8.0 Hz, 2H), 6.76 (dd, J = 8.3, 2.1 Hz, 2H), 6.67 (d, J = 1.9 Hz, 2H), 6.61 (d, J = 8.4 Hz, 2H), 6.37 (d, J = 8.2 Hz, 2H), 5.50 (s, 2H), 3.87–3.78 (m, 2H), 3.77 (s, 3H), 3.58 (s, 3H), 1.94–1.52 (m, 5H), 1.39–0.94 (m, 5H); 13C-NMR (126 MHz, CDCl3) δ 168.15 (C), 153.89 (C), 152.90 (C), 150.26 (C), 149.83 (C), 148.68 (C), 144.87 (C), 134.24 (CH), 129.75 (CH), 128.78 (CH), 125.29 (CH), 124.44 (C), 123.13 (CH), 123.04 (CH), 118.23 (C), 117.81 (CH), 117.60 (CH), 112.72 (CH), 110.84 (CH), 69.97 (CH), 55.90 (CH3), 55.65 (CH3), 48.64 (CH), 32.83 (CH2), 32.43 (CH2), 25.43 (CH2), 24.71 (CH2), 24.58 (CH2); MS (qTOF) m/z (%) 558 (M+ + 1, <5), 478 (35), 328 (57); HRMS (qTOF) Calcd for C31H32N3O7: 558.2240. Found: 558.2234.
3.4.2. Four-Component Condensation
Amine 13 (0.5 mmol) was added to a solution of aldehyde 12 (0.5 mmol) in of dry acetonitrile (1 mL). The resulting mixture was stirred for 15 min at rt and then isocyanide 14 (0.5 mmol) and enol 15 (0.5 mmol) were successively added. After 4 days stirring at room temperature, the reaction went to completion, as judged by tlc. Then 10% HCl (2 mL) was added, the mixture was washed with H2O (15 mL), extracted with CH2Cl2 (3 × 20 mL) and dried over Na2SO4. Removal of the solvent and purification by column chromatography (SiO2, gradient from 100% hexanes to hexanes–EtOAc, 7:3) gave the corresponding enamines 17l–s (Table 2).
Methyl N-(2-(cyclohexylamino)-2-oxo-1-phenylethyl)-N-(3-nitro-2-oxo-2H-chromen-4-yl)glycinate (17l). Obtained from aldehyde 12a, amine 13e, isocyanide 14a and enol 15, as a pale orange solid (141 mg, 57%); m.p. 132–134 °C; IR (cm−1) 3359, 2931, 2854, 1730, 1681, 1606, 1554, 1452, 1212, 760; 1H-NMR (500 MHz, CDCl3) δ 8.12 (d, J = 8.1 Hz, 1H), 7.63 (t, J = 7.7 Hz, 1H), 7.44–7.33 (m, 5H), 5.90 (d, J = 8.0 Hz, 1H), 5.39 (s, 1H), 4.10 (d, J = 18.0 Hz, 1H), 3.80 (d, J = 18.0 Hz, 1H), 3.74–3.66 (m, 1H), 3.64 (s, 3H), 1.91–0.93 (m, 10H); 13C-NMR (126 MHz, CDCl3) δ 169.12 (C), 167.52 (C), 152.60 (C), 152.42 (C), 134.39 (C), 133.94 (CH), 129.57 (CH), 129.24 (CH), 128.91 (CH), 127.89 (CH), 125.15 (CH), 117.77 (CH), 70.24 (CH), 52.37 (CH3), 51.80 (CH2), 48.85 (CH), 32.60 (CH2), 32.53 (CH2), 26.94 (CH2), 25.33 (CH2), 24.73 (CH2), 24.66 (CH2); MS (qTOF) m/z (%) 494 (M+ + 1, 26), 423 (10), 305 (100); HRMS (qTOF) Calcd for C26H28N3O7: 494.1927. Found: 494.1915.
Methyl N-(2-(cyclohexylamino)-2-oxo-1-(p-tolyl)ethyl)-N-(3-nitro-2-oxo-2H-chromen-4-yl)glycinate (17m). Obtained from aldehyde 12c, amine 13e, isocyanide 14a and enol 15, as a pale yellow solid (122 mg, 48%); m.p. 114–116 °C; IR (cm−1) 3383, 2930, 2854, 1728, 1680, 1604, 1551, 1451, 1209, 1119, 1057, 759; 1H-NMR (500 MHz, CDCl3) δ 8.09 (dd, J = 6,99, 1.5 Hz, 1H), 7.64 (dt, J = 7.0, 1.4 Hz, 1H), 7.40–7.33 (m, 3H), 7.26–7.17 (m, 3H), 5.81 (d, J = 8.1 Hz, 1H), 5.70 (s, 1H), 4.23 (d, J = 18.3 Hz, 1H), 3.82–3.71 (m, 1H), 3,74 (d, J = 18.3 Hz, 1H), 3.66 (s, 3H), 2.32 (s, 3H), 1.95–1.54 (m, 5H), 1.38–0.95 (m, 5H); 13C-NMR (126 MHz, CDCl3) δ 169.15 (C), 168.14 (C), 155.19 (C), 152.67 (C), 152.61 (C), 137.90 (C), 134.06 (CH), 132.85 (C), 131.83 (CH), 129.58 (CH), 128.33 (CH), 127.79 (CH), 126.85 (CH), 125.21 (CH), 118.07 (CH), 117.30 (C), 66.50 (CH), 52.62 (CH3), 51.42 (CH2), 49.00 (CH), 32.78 (CH2), 32.69 (CH2), 25.43 (CH2), 24.87 (CH2), 24.81 (CH2), 19.81 (CH3); MS (qTOF) m/z (%) 508 (M+ + 1, 67), 319 (100); HRMS (qTOF) Calcd for C27H30N3O7: 508.2084. Found: 508.2071.
Methyl N-(2-(cyclohexylamino)-2-oxo-1-(4-(trifluoromethyl)phenyl)ethyl)-N-(3-nitro-2-oxo-2H-chromen-4-yl)glycinate (17n). Obtained from aldehyde 12d, amine 13e, isocyanide 14a and enol 15, as a pale yellow solid (146 mg, 52%); m.p. 113–115 °C; IR (cm−1) 3368, 2933, 2855, 1734, 1605, 1554, 1325, 1169, 1127, 1069, 760; 1H-NMR (500 MHz, CDCl3) δ 8.09 (dd, J = 8.1, 1.3 Hz, 1H), 7.68–7.62 (m, 3H), 7.57 (d, J = 8.2 Hz, 2H), 7.43–7.37 (m, 2H), 5.98 (d, J = 8.1 Hz, 1H), 5.42 (s, 1H), 4.14 (d, J = 17.9 Hz, 1H), 3.80 (d, J = 17.9 Hz, 1H), 3.73–3.63 (m, 1H), 3.66 (s, 3H), 1.90 –0.92 (m, 10H); 13C-NMR (126 MHz, CDCl3) δ 169.08, 166.89, 154.89, 152.76, 152.24, 138.60, 134.35, 132.66, 131.95, 131.69, 129.39, 127.70, 126.26, 125.47, 124.88, 122.71, 118.05, 117.39, 69.62, 52.62, 52.09, 49.17, 32.68, 32.63, 25.41, 24.83, 24.77; MS (qTOF) m/z (%) 568 (M+ + 1, 100), 373 (25); HRMS (qTOF) Calcd for C27H27F3N3O7: 562.1801. Found: 562.1793.
Methyl N-(2-(tert-butylamino)-2-oxo-1-phenylethyl)-N-(3-nitro-2-oxo-2H-chromen-4-yl)glycinate (17o). Obtained from aldehyde 12a, amine 13e, isocyanide 14b and enol 15, as a yellow solid (140 mg, 60%); m.p. 139–141 °C; IR (cm−1) 3378, 2969, 1685, 1605, 1554, 1456, 1365, 1213, 759; 1H-NMR (500 MHz, CDCl3) δ 8.10 (dd, J = 8.1, 1.2 Hz, 1H), 7.62 (t, J = 7.0 Hz, 1H), 7.44–7.29 (m, 7H), 5.84 (bs, 1H), 5.31 (s, 1H), 4.16 (d, J = 18.1 Hz, 1H), 3.78 (d, J = 18.1 Hz, 1H), 3.65 (s, 3H), 1.25 (s, 9H); 13C-NMR (126 MHz, CDCl3) δ 169.19 (C), 167.67 (C), 155.18 (C), 152.70 (C), 152.65 (C), 134.63 (C), 134.04 (CH), 129.63 (CH), 129.36 (CH), 129.04 (C), 128.96 (CH), 128.70 (C), 128.00 (CH), 125.24 (CH), 117.90 (CH), 70.68 (CH), 52.51 (CH3), 52.21 (C), 51.89 (CH2), 28.78 (CH3), 28.72 (CH3), 28.47 (CH3); MS (qTOF) m/z (%) 468 (M+ + 1, 15), 279 (100); HRMS (qTOF) Calcd for C24H26N3O7: 468.1771. Found: 468.1751.
Methyl N-(3-nitro-2-oxo-2H-chromen-4-yl)-N-(2-oxo-2-(pentylamino)-1-phenylethyl) glycinate (17p). Obtained from aldehyde 12a, amine 13e, isocyanide 14c and enol 15, as a yellow solid (92 mg, 38%); m.p. 72–74 °C; IR (cm−1) 3333, 2956, 1740, 1736, 1650, 1606, 1556, 1454, 1374, 1280, 1209, 1060, 761; 1H-NMR (500 MHz, CDCl3) δ 8.11 (dd, J = 8.1, 1.3 Hz, 1H), 7.63 (dt, J = 6.2, 1.4 Hz, 1H), 7.42–7.35 (m, 7H), 5.95 (t, J = 5.5 Hz, 1H), 5.40 (s, 1H), 4.16 (d, J = 17.9 Hz, 1H), 3.81 (d, J = 18.0 Hz, 1H), 3.65 (s, 3H), 3.25–3.17 (m, 2H), 1.45–1.36 (m, 2H), 1.28–1.20 (m, 2H), 1.20–1.11 (m, 2H), 0.83 (t, J = 7.2 Hz, 3H); 13C-NMR (126 MHz, CDCl3) δ 169.19 (C), 168.56 (C), 155.14 (C), 152.76 (C), 152.41 (C), 134.45 (C), 134.05 (CH), 129.75 (CH), 129.39 (CH), 129.06 (CH), 127.88 (CH), 125.34 (CH), 117.93 (CH), 117.60 (C), 70.23 (CH), 52.50 (CH3), 51.95 (CH2), 40.04 (CH2), 28.99 (CH2), 22.34 (CH2), 14.03 (CH3); MS (qTOF) m/z (%) 482 (M+ + 1, 100), 395 (37); HRMS (qTOF) Calcd for C25H28N3O7: 482.1927. Found: 482.1916.
Methyl N-(2-(benzylamino)-2-oxo-1-phenylethyl)-N-(3-nitro-2-oxo-2H-chromen-4-yl)glycinate (17q). Obtained from aldehyde 12a, amine 13e, isocyanide 14d and enol 15, as a yellow solid (118 mg, 47%); m.p. 145–147 °C; IR (cm−1) 3296, 2946, 1744, 1722, 1651, 1602, 1556, 1532, 1454, 1410, 1215, 1179, 1054, 759, 698; 1H-NMR (500 MHz, CDCl3) δ 8.10 (d, J = 7.2 Hz, 1H), 7.62 (dt, J = 7.1, 1.4 Hz, 1H), 7.42–7.36 (m, 5H), 7.34 (d, J = 7.8 Hz, 2H), 7.27–7.23 (m, 3H), 7.08 (dd, J = 6.4, 3.0 Hz, 2H), 6.32 (t, J = 5.6 Hz, 1H), 5.47 (s, 1H), 4.38 (dd, J = 5.8, 1.3 Hz, 2H), 4.14 (d, J = 18.0 Hz, 1H), 3.81 (d, J = 18.0 Hz, 1H), 3.62 (s, 3H); 13C-NMR (126 MHz, CDCl3) δ 1169.19 (C), 168.52 (C), 155.05 (C), 152.68 (C), 152.37 (C), 137.43 (C), 134.23 (C), 134.05 (CH), 129.82 (CH), 129.44 (CH), 129.07 (CH), 128.87 (CH), 127.81 (CH), 125.35 (CH), 117.93 (CH), 117.52 (C), 70.09 (CH), 52.49 (CH3), 51.93 (CH2), 43.97 (CH2); MS (qTOF) m/z (%) 502 (M+ + 1, 100), 415 (24), 299 (17); HRMS (qTOF) Calcd for C27H24N3O7: 502.1614. Found: 502.1602.
Methyl N-(2-(benzylamino)-2-oxo-1-(p-tolyl)ethyl)-N-(3-nitro-2-oxo-2H-chromen-4-yl)glycinate (17r). Obtained from aldehyde 12c, amine 13e, isocyanide 14d and enol 15, as a yellow solid (124 mg, 48%); m.p. 146–148 °C; IR (cm−1) 3294, 1747, 1720, 1655, 1601, 1554, 1530, 1452, 1436, 1368, 1209, 1178, 1053, 794; 1H-NMR (500 MHz, CDCl3) δ 8.05 (d, J = 7.4 Hz, 1H), 7.62 (t, J = 7.3 Hz, 1H), 7.38–7.20 (m, 10H), 7.14–7.11 (m, 2H), 6.26 (t, J = 5.6 Hz, 1H), 5.78 (s, 1H), 4.41 (d, J = 5.9 Hz, 2H), 4.23 (d, J = 18.3 Hz, 1H), 3.74 (d, J = 18.3 Hz, 1H), 3.64 (s, 3H), 2.29 (s, 3H); 13C-NMR (126 MHz, CDCl3) δ 169.11 (C), 169.04 (C), 155.06 (C), 152.66 (C), 152.49 (C), 137.93 (C), 137.51 (C), 134.03 (C), 132.57 (C), 131.89 (CH), 129.70 (CH), 128.92 (CH), 128.48 (CH), 127.87 (CH), 127.66 (CH), 126.9 (CH)3, 125.30 (CH), 118.09 (CH), 117.25 (C), 66.23 (CH), 52.58 (CH3), 51.45 (CH2), 44.00 (CH2), 19.77 (CH3); MS (qTOF) m/z (%) 516 (M+ + 1, 17), 429 (100), 299 (10); HRMS (qTOF) Calcd for C28H26N3O7: 516.1771. Found: 516.1782.
Ethyl 3-((2-(cyclohexylamino)-2-oxo-1-phenylethyl)(3-nitro-2-oxo-2H-chromen-4-yl)amino)propanoate (17s). Obtained from aldehyde 12a, amine 13f, isocyanide 14a and enol 15, as a yellow solid (131 mg, 50%); m.p. 130–131 °C; IR (cm−1) 3367, 2931, 2854, 1732, 1682, 1603, 1553, 1451, 1200, 1052, 762; 1H-NMR (500 MHz, CDCl3) δ 8.05 (dd, J = 8.1, 1.2 Hz, 1H), 7.65 (d, J = 7,3, 1.3 Hz, 1H), 7.45–7.34 (m, 7H), 5.99 (d, J = 8.0 Hz, 1H), 5.02 (s, 1H), 4.01 (q, J = 7.1 Hz, 2H), 3.83 (dt, J = 14.6, 7.2 Hz, 1H), 3.70–3.62 (m, 1H), 3.43–3.36 (m, 1H), 2.62 (dt, J = 17.0, 7.1 Hz, 1H), 2.44 (dt, J = 17.1, 6.2 Hz, 1H), 1.91 (d, J = 10.9 Hz, 1H), 1.75–1.52 (m, 5H), 1.36–1.16 (m, 3H), 1.13 (t, J = 9.0 Hz, 3H), 0.98 (ddd, J = 23.4, 12.1, 3.4 Hz, 1H); 13C-NMR (126 MHz, CDCl3) δ 171.43 (C), 167.65 (C), 155.05 (C), 153.46 (C), 152.85 (C), 134.86 (C), 134.03 (CH), 132.08 (C), 129.61 (CH), 129.32 (CH), 128.97 (CH), 127.89 (CH), 125.25 (CH), 118.04 (C), 117.89 (CH), 70.02 (CH), 61.03 (CH2), 49.14 (CH), 47.30 (CH2), 32.63 (CH2), 32.54 (CH2), 32.52 (CH2), 27.05 (CH2), 25.49 (CH2), 24.94 (CH2), 24.83 (CH2), 14.12 (CH3); MS (qTOF) m/z (%) 522 (M+ + 1, 100), 481 (17), 333 (20); HRMS (qTOF) Calcd for C28H32N3O7: 522.2240. Found: 522.2231.
3.4.3. General Procedure for the Reduction of Nitro Derivatives 17a–s
To a vigorously stirred solution of enol-Ugi adduct 17a–s (0.4 mmol) in glacial acetic acid (8 mL), iron powder (9.6 mmol, 24 equiv) was added in one portion. The reaction mixture was stirred at rt for 2–4 h. Then water (50 mL) and dichloromethane (25 mL) were added. The unreacted iron was removed by filtration and the filtrate transferred to a separatory funnel. The phases were separated, and the aqueous layer extracted again with dichloromethane (25 mL). The combined organic extracts were washed with water (25 mL), saturated NaHCO3 (10 mL) and water again (25 mL), and then dried (Na2SO4) and evaporated to dryness. The residue was purified by flash column chromatography (SiO2, gradient from 100 % hexanes to hexanes–AcOEt 7:3) to give, depending on the case, chromeno[3,4-b]piperazines 19a–i,s, aminocoumarins 18j,k or chromeno[3,4-b]piperazines 20l–r (Table 1 and Table 2).
Synthesis and Characterization of chromeno[3,4-b]piperazines 19a–i,s
1-Benzyl-2-phenyl-1,4-dihydro-2H-chromeno[3,4-b]pyrazine-3,5-dione (19a). Obtained from 17a as a pale yellow solid (130 mg, 85%); m.p. 183–185 °C; IR (cm−1) 3254, 1677, 1620, 1567, 1495, 1465, 1427, 1357, 1182, 1101, 1046, 746, 701; 1H-NMR (500 MHz, CDCl3) δ 7.98 (dd, J = 8.0, 1.3 Hz, 1H), 7.84 (bs, 1H), 7.53 (dt, J = 7.3, 1.5 Hz, 1H), 7.41 (t, J = 7.3 Hz, 2H), 7.39–7.30 (m, 8H), 7.28–7.23 (m, 2H), 4.98 (s, 1H), 4.87 (d, J = 15.2 Hz, 1H), 4.71 (d, J = 15.2 Hz, 1H); 13C-NMR (126 MHz, CDCl3) δ 163.37 (C), 156.63 (C), 150.85 (C), 135.88 (C), 135.67 (C), 130.46 (CH), 129.33 (CH), 129.02 (CH), 128.75 (CH), 128.47 (CH), 127.93 (CH), 126.04 (CH), 125.15 (CH), 123.34 (CH), 118.01 (CH), 116.55 (C), 112.25 (C), 63.91 (CH), 58.03 (CH2); HRMS (qTOF) Calcd for C24H19N2O3: 383.1396. Found: 383.1381.
1-Benzyl-2-(2-bromophenyl)-1,4-dihydro-2H-chromeno[3,4-b]pyrazine-3,5-dione (19b). Obtained from 17b as a pale yellow solid (155 mg, 84%); m.p. 240–242 °C; IR (cm−1) 3195, 3085, 2938, 1700, 1688, 1625, 1495, 1467, 1392, 1346, 1094, 755, 699; 1H-NMR (500 MHz, CDCl3) δ 7.89 (bs, 1H), 7.74 (dd, J = 8.0, 1.1 Hz, 1H), 7.61 (dd, J = 7.7, 1.3 Hz, 1H), 7.48 (dt, J = 6.9, 1.3 Hz, 1H), 7.41–7.28 (m, 5H), 7.20–7.10 (m, 4H), 7.04 (dd, J = 7.5, 1.8 Hz, 1H), 5.33 (s, 1H), 5.03 (d, J = 14.7 Hz, 1H), 4.87 (d, J = 14.7 Hz, 1H); 13C-NMR (126 MHz, CDCl3) δ 162.69 (C), 156.79 (C), 150.85 (C), 136.26 (C), 135.91 (C), 135.69 (C), 133.90 (CH), 130.47 (CH), 130.30 (CH), 129.21 (CH), 128.91 (CH), 128.33 (CH), 128.16 (CH), 128.08 (CH), 124.93 (CH), 124.53 (C), 124.12 (CH), 117.82 (CH), 116.47 (C), 111.90 (C), 64.07 (CH2), 59.43 (CH); HRMS (qTOF) Calcd for C24H18BrN2O3: 461.0501. Found: 461.0473.
1-Benzyl-2-(p-tolyl)-1,4-dihydro-2H-chromeno[3,4-b]pyrazine-3,5-dione (19c). Obtained from 17c as a white solid (124 mg, 78%); m.p. 170–172 °C; IR (cm−1) 3396, 3272, 1692, 1619, 1495, 1363, 1206, 1113, 755; 1H-NMR (500 MHz, CDCl3) δ 7.96 (dd, J = 8.0, 1.3 Hz, 1H), 7.79 (bs, 1H), 7.52 (dt, J = 7.4, 1.4 Hz, 1H), 7.43–7.30 (m, 7H), 7.23 (d, J = 8.1 Hz, 2H), 7.06 (d, J = 8.0 Hz, 2H), 4.93 (s, 1H), 4.86 (d, J = 15.2 Hz, 1H), 4.69 (d, J = 15.2 Hz, 1H), 2.26 (s, 3H); 13C-NMR (126 MHz, CDCl3) δ 163.50 (C), 156.63 (C), 150.86 (C), 138.32 (C), 135.97 (C), 135.86 (C), 132.76 (C), 130.38 (CH), 129.71 (CH), 129.32 (CH), 128.71 (CH), 127.95 (CH), 125.99 (CH), 125.09 (CH), 123.37 (CH), 117.98 (CH), 116.65 (C), 112.29 (C), 63.79 (CH), 57.99 (CH2), 21.12 (CH3); MS (qTOF) m/z (%) 397 (M+ + 1, 100), 337 (30); HRMS (qTOF) Calcd for C25H21N2O3: 397.1552. Found: 397.1544.
1-Benzyl-2-(4-(trifluoromethyl)phenyl)-1,4-dihydro-2H-chromeno[3,4-b]pyrazine-3,5-dione (19d). Obtained from 17d as a pale yellow solid (160 mg, 89%); m.p. 172–174 °C; IR (cm−1) 3438, 3260, 1684, 1620, 1498, 1469, 1414, 1361, 1327, 1169, 1115, 1069, 752, 732; 1H-NMR (500 MHz, CDCl3) δ 7.99 (d, J = 6.8 Hz, 1H), 7.84 (bs, 1H), 7.57–7.48 (m, 5H), 7.44 (d, J = 8.5 Hz, 2H), 7.39–7.30 (m, 5H), 5.02 (s, 1H), 4.84 (d, J = 15.1 Hz, 1H), 4.70 (d, J = 15.1 Hz, 1H); 13C-NMR (126 MHz, CDCl3) δ 162.77 (C), 156.50 (C), 150.88 (C), 139.60 (C), 135.56 (C), 135.42 (C), 130.73 (CH), 129.45 (CH), 128.97 (CH), 128.00 (CH), 126.53 (CH), 126.06 (CH), 126.03 (C), 125.38 (CH), 123.11 (CH), 118.16 (CH), 116.42 (C), 112.72 (C), 63.64 (CH), 58.15 (CH2); MS (qTOF) m/z (%) 451 (M+ + 1, 95), 391 (100); HRMS (qTOF) Calcd for C25H18F3N2O3: 451.1270. Found: 451.1264.
1-(Benzo[d][1,3]dioxol-5-ylmethyl)-2-phenyl-1,4-dihydro-2H-chromeno[3,4-b]pyrazine-3,5-dione (19e). Obtained from 17e as a pale yellow solid (147 mg, 86%); m.p. 174–176 °C; IR (cm−1) 3264, 1692, 1626, 1500, 1445, 1375, 1354, 1319, 1253, 1180, 1106, 1039, 926, 851, 747, 704; 1H-NMR (500 MHz, CDCl3) δ 7.97 (d, J = 4.0 Hz, 1H), 7.95 (d, J = 1.2 Hz, 1H), 7.53 (dt, J = 7.0 Hz, 1.4 Hz, 1H), 7.41 (d, J = 7.8 Hz, 2H), 7.36 (dd, J = 7.0, 1.5 Hz, 2H), 7.28–7.22 (m, 3H), 6.80–6.75 (m, 3H), 5.96 (s, 2H), 5.00 (s, 1H), 4.79 (d, J = 14.9 Hz, 1H), 4.59 (d, J = 14.9 Hz, 1H); 13C-NMR (126 MHz, CDCl3) δ 163.44 (C), 156.59 (C), 150.80 (C), 148.52 (C), 148.02 (C), 135.73 (C), 135.65 (C), 130.41 (CH), 129.55 (C), 128.99 (CH), 128.42 (CH), 125.99 (CH), 125.09 (CH), 123.32 (CH), 121.76 (CH), 117.98 (CH), 116.48 (C), 112.21 (C), 108.78 (CH), 108.06 (CH), 101.46 (CH2), 63.46 (CH), 57.69 (CH2); MS (qTOF) m/z (%) 427 (M+ + 1, 100), 427 (15), 274 (18); HRMS (qTOF) Calcd for C25H19N2O5: 427.1294. Found: 427.1293.
1-(Benzo[d][1,3]dioxol-5-ylmethyl)-2-(p-tolyl)-1,4-dihydro-2H-chromeno[3,4-b]pyrazine-3,5-dione (19f). Obtained from 17f as a pale yellow solid (151 mg, 86%); m.p. 213–215 °C; IR (cm−1) 3408, 3192, 1715, 1677, 1625, 1502, 1419, 1326, 1298, 1109, 1036, 805, 751; 1H-NMR (500 MHz, CDCl3) δ 7.93 (dd, J = 8.0, 1.2 Hz, 1H), 7.76 (bs, 1H), 7.52 (dt, J = 7.3, 1.5 Hz, 1H), 7.43–7.36 (m, 2H), 7.23 (d, J = 8.0 Hz, 2H), 7.06 (d, J = 8.0 Hz, 2H), 6.77 (d, J = 0.8 Hz, 2H), 6.76 (s, 1H), 5.96 (d, J = 0.9 Hz, 2H), 4.94 (s, 1H), 4.77 (d, J = 14.9 Hz, 1H), 4.57 (d, J = 14.9 Hz, 1H); 13C-NMR (126 MHz, CDCl3) δ 163.52 (C), 156.64 (C), 150.85 (C), 148.57 (C), 148.06 (C), 138.34 (C), 135.77 (C), 132.68 (C), 130.42 (CH), 129.73 (CH), 129.64 (C), 125.94 (CH), 125.09 (CH), 123.38 (CH), 121.78 (CH), 118.02 (CH), 116.57 (C), 112.16 (C), 108.82 (CH), 108.08 (CH), 101.50 (CH2), 63.35 (CH), 57.69 (CH2), 21.14 (CH3); MS (qTOF) m/z (%) 441 (M+ + 1, 100), 400 (20), 281(30); HRMS (qTOF) Calcd for C26H21N2O5: 441.4630. Found: 441.1449.
1-(Benzo[d][1,3]dioxol-5-ylmethyl)-2-(4-(trifluoromethyl)phenyl)-1,4-dihydro-2H-chromeno[3,4-b]pyrazine-3,5-dione (19g). Obtained from 17g as a pale yellow solid (148 mg, 75%); m.p. 190-192 °C; IR (cm−1) 3080, 2918, 1685, 1619, 1493, 1412, 1329, 1241, 1114, 1068, 1041, 998, 756; 1H-NMR (500 MHz, CDCl3) δ 7.96 (dd, J = 6.8, 1.6 Hz, 1H), 7.81 (bs, 2H), 7.58–7.48 (m, 5H), 7.46–7.41 (m, 2H), 6.80–6.75 (m, 3H), 5.97 (dd, J = 2.5, 1.3 Hz, 2H), 5.03 (s, 1H), 4.75 (d, J = 14.8 Hz, 1H), 4.58 (d, J = 14.8 Hz, 1H); 13C-NMR (126 MHz, CDCl3) δ 162.80 (C), 156.49 (C), 150.87 (C), 148.71 (C), 148.29 (C), 139.61 (C), 135.30 (C), 130.72 (CH), 129.22 (C), 126.51 (CH), 126.07 (CH), 126.04 (CH), 125.35 (CH), 123.11 (CH), 121.91 (CH), 118.18 (CH), 116.38 (C), 112.69 (C), 108.92 (CH), 108.10 (CH), 101.59 (CH2), 63.28 (CH), 57.89 (CH2); MS (qTOF) m/z (%) 495 (M+ + 1, 100), 339 (30), 353 (65); HRMS (qTOF) Calcd for C26H18F3N2O5: 495.1168. Found: 495.1157.
1-Cyclohexyl-2-(p-tolyl)-1,4-dihydro-2H-chromeno[3,4-b]pyrazine-3,5-dione (19h). Obtained from 17h as a pale yellow solid (107 mg, 69%); m.p. 249–251 °C; IR (cm−1) 3444, 2931, 2853, 1692, 1622, 1495, 1406, 1335, 1102, 999, 757; 1H-NMR (500 MHz, CDCl3) δ 7.90 (bs, 1H), 7.74 (dd, J = 7.9, 1.4 Hz, 1H), 7.49 (dt, J = 6.0, 1.5 Hz, 1H), 7.42–7.36 (m, 2H), 7.28 (d, J = 8.0 Hz, 2H), 7.05 (d, J = 8.0 Hz, 2H), 5.17 (s, 1H), 3.77 (tt, J = 12.0, 3.7 Hz, 1H), 2.31 (d, J = 13.3 Hz, 1H), 2.25 (s, 3H), 1.95 (d, J = 13.2 Hz, 1H), 1.83–1.09 (m, 8H); 13C-NMR (126 MHz, CDCl3) δ 164.43 (C), 156.66 (C), 150.87 (C), 138.08 (C), 136.15 (CH), 133.12 (C), 130.15 (C), 129.60 (CH), 125.84 (CH), 124.98 (CH), 123.36 (CH), 117.92 (CH), 117.05 (C), 112.33 (C), 62.44 (CH), 58.98 (CH), 31.92 (CH3), 31.76 (CH3), 26.07 (CH3), 25.98 (CH3), 25.24 (CH3), 21.10 (CH3); MS (qTOF) m/z (%) 389 (M+ + 1, 100), 348 (31), 255 (29); HRMS (qTOF) Calcd for C24H25N2O3: 389.1865. Found: 389.1866.
1-Cyclohexyl-2-(4-(trifluoromethyl)phenyl)-1,4-dihydro-2H-chromeno[3,4-b]pyrazine-3,5-dione (19i). Obtained from 17i as a pale yellow solid (127 mg, 72%); m.p. 113–115 °C; IR (cm−1) 3427, 2932, 2856, 1692, 1622, 1411, 1326, 1165, 1125, 1069, 755; 1H-NMR (500 MHz, CDCl3) δ 8.00 (bs, 1H), 7.75 (dd, J = 7.9, 1.2 Hz, 1H), 7.57–7.50 (m, 6H), 7.45–7.36 (m, 2H), 5.24 (s, 1H), 3.79 (tt, J = 12.0, 3.6 Hz, 1H), 2.30 (d, J = 12.6 Hz, 1H), 1.96 (d, J = 13.1 Hz, 1H), 1.85–1.58 (m, 5H), 1.29–1.11 (m, 3H); 13C-NMR (126 MHz, CDCl3) δ 163.73 (C), 156.52 (C), 150.91 (C), 140.21 (C), 135.73 (C), 130.46 (CH), 126.42 (CH), 125.96 (CH), 125.93 (CH), 125.20 (CH), 123.11 (CH), 118.10 (CH), 116.80 (C), 112.54 (C), 62.62 (CH), 59.06 (CH), 31.86 (CH2), 31.73 (CH2), 27.07 (CH2), 25.95 (CH2), 25.21 (CH2); MS (qTOF) m/z (%) 443 (M+ + 1, 100), 301 (<5); HRMS (qTOF) Calcd for C24H22F3N2O3: 443.1583. Found: 443.1578.
Ethyl 3-(3,5-dioxo-2-phenyl-3,4-dihydro-2H-chromeno[3,4-b]pyrazin-1(5H)-yl)propanoate (19s). Obtained from 17s as a white solid (133 mg, 85%); m.p. 145–147 °C; IR (cm−1) 3231, 1733, 1680, 1619, 1498, 1460, 1372, 1188, 1126, 1021, 757; 1H-NMR (500 MHz, CDCl3) δ 7.99 (s, 1H), 7.89 (dd, J = 7.9, 1.1 Hz, 1H), 7.52 (dt, J = 7.3, 1.2 Hz, 1H), 7.43–7.36 (m, 4H), 7.29–7.24 (m, 3H), 5.09 (s, 1H), 4.17–4.06 (m, 3H), 3.89 (ddd, J = 14.7, 8.2, 6.4 Hz, 1H), 2.79 (ddd, J = 14.6, 8.1, 6.4 Hz, 1H), 2.73–2.63 (m, 1H), 1.19 (t, J = 7.1 Hz, 3H); 13C-NMR (126 MHz, CDCl3) δ 170.71 (C), 163.61 (C), 156.53 (C), 150.72 (C), 135.51 (C), 135.15 (C), 130.45 (CH), 129.06 (CH), 128.57 (CH), 125.81 (CH), 125.15 (CH), 123.39 (CH), 117.98 (CH), 116.43 (C), 112.23 (C), 64.73 (CH), 61.31 (CH2), 50.18 (CH2), 33.96 (CH2), 14.15 (CH3); HRMS (qTOF) Calcd for C22H21N2O5: 393.1450. Found: 393.1444.
Synthesis and Characterization of Aminocoumarins 18j,k
2-((3-Amino-2-oxo-2H-chromen-4-yl)(phenyl)amino)-N-cyclohexyl-2-phenylacetamide (18j). Obtained from 17j as a white solid (99 mg, 53%); m.p. 203–205 °C; IR (cm−1) 3466, 2933, 2852, 1719, 1635, 1600, 1556, 1497, 1455, 1177, 746; 1H-NMR (500 MHz, CDCl3) δ 7.27–7.18 (m, 4H), 7.11–7.05 (m, 3H), 7.04–6.96 (m, 4H), 6.83 (t, J = 7.3 Hz, 1H), 6.64 (d, J = 8.1 Hz, 2H), 6.21 (bs, 2H), 5.65 (d, J = 8.1 Hz, 1H), 5.51 (s, 1H), 3.93–3.83 (m, 1H), 2.15–0.92 (m, 10H); 13C-NMR (126 MHz, CDCl3) δ 171.49 (C), 160.18 (C), 147.29 (C), 145.30 (C), 134.85 (C), 132.81 (C), 129.70 (CH), 129.48 (CH), 129.42 (CH), 128.12 (CH), 125.71 (CH), 123.94 (CH), 122.65 (CH), 121.88 (C), 119.66 (C), 118.93 (CH), 115.93 (CH), 112.72 (CH), 68.52 (CH), 49.44 (CH), 33.19 (CH2), 32.69 (CH2), 25.55 (CH2), 24.98 (CH2), 24.84 (CH2); MS (qTOF) m/z (%) 468 (M+ + 1, 5, 407 (18), 369 (100); HRMS (qTOF) Calcd for C29H30N3O3: 468.2287. Found: 468.2285.
2-((3-Amino-2-oxo-2H-chromen-4-yl)(phenyl)amino)-N-cyclohexyl-2-(3,4-dimethoxyphenyl)acetamide (18k). Obtained from 17k as a white solid (163 mg, 77%); m.p. 243–245 °C; IR (cm−1) 3439, 3326, 2938, 2850, 1715, 1637, 1599, 1539, 1518, 1464, 1253, 1176, 1152, 1028, 763, 749; 1H-NMR (500 MHz, CDCl3) δ 7.20 (t, J = 7.9 Hz, 2H), 7.11–7.06 (m, 2H), 6.98 (d, J = 3.5 Hz, 2H), 6.82–6.78 (m, 2H), 6.74 (s, 1H), 6.61 (d, J = 8.2 Hz, 2H), 6.50 (d, J = 8.3 Hz, 1H), 6.20 (bs, 2H), 5.60 (d, J = 8.1 Hz, 1H), 5.44 (s, 1H), 3.90–3.80 (m, 1H), 3.71 (s, 3H), 3.52 (s, 3H), 2.08–0.79 (m, 10H); 13C-NMR (126 MHz, CDCl3) δ 171.68 (C), 160.15 (C), 149.69 (C), 148.24 (C), 147.43 (C), 145.24 (C), 134.75 (C), 129.71 (CH), 125.75 (CH), 124.96 (CH), 123.95 (CH), 122.57 (CH), 121.99 (C), 119.86 (CH), 118.89 (CH), 116.26 (CH), 112.65 (CH), 110.32 (CH), 68.09 (CH), 55.87 (CH3), 55.79 (CH3), 49.43 (CH), 33.21 (CH2), 32.77 (CH2), 29.84 (CH2), 24.98 (CH2), 24.86 (CH2); MS (qTOF) m/z (%) 528 (M+ + 1, 100), 369 (25), 276 (13); HRMS (qTOF) Calcd for C31H34N3O5: 528.2498. Found: 528.2490.
Synthesis and Characterization of chromeno[3,4-b]piperazines 20l-r
N-cyclohexyl-2-(3,5-dioxo-3,4-dihydro-2H-chromeno[3,4-b]pyrazin-1(5H)-yl)-2-phenyl acetamide (20l). Obtained from 17l as a pale yellow solid (121 mg, 70%); m.p. 240–242 °C; IR (cm−1) 3268, 2931, 2854, 1703, 1818, 1544, 1496, 1451, 1382, 1111, 752; 1H-NMR (500 MHz, CDCl3) δ 7.63 (dd, J = 8.0, 1.2 Hz, 1H), 7.54 (bs, 1H), 7.51 (dt, J = 7.1, 1.4 Hz, 1H), 7.43–7.39 (m, 4H), 7.34–7.29 (m, 3H), 5.79 (d, J = 8.0 Hz, 1H), 5.37 (s, 1H), 3.98–3.90 (m, 1H), 3.92 (s, 3H), 2.03–1.90 (m, 2H), 1.74–1.57 (m, 4H), 1.45–1.07 (m, 4H.; 13C-NMR (126 MHz, CDCl3) δ 167.85 (C), 163.00 (C), 156.92 (C), 150.63 (C), 135.72 (C), 135.01 (C), 130.32 (CH), 129.52 (CH), 128.50 (CH), 125.06 (CH), 122.96 (CH), 118.02 (CH), 116.33 (C), 114.08 (C), 69.14 (CH), 49.49 (CH2), 49.05 (CH), 33.17 (CH2), 33.10 (CH2), 25.51 (CH2), 24.89 (CH2), 24.85 (CH2); MS (qTOF) m/z (%) 432 (M+ + 1, 100), 305 (<5), 234 (<5); HRMS (qTOF) Calcd for C25H26N3O4: 432.1923. Found: 432.1914.
N-cyclohexyl-2-(3,5-dioxo-3,4-dihydro-2H-chromeno[3,4-b]pyrazin-1(5H)-yl)-2-(p-tolyl)acetamide (20m). Obtained from 17m as a pale yellow solid (98 mg, 55%); m.p. 245–247 °C (dec.); IR (cm−1) 3400, 3280, 2930, 2849, 1701, 1651, 1618, 1561, 1439, 1412, 1347, 1108, 751, 732; 1H-NMR (500 MHz, CDCl3) δ 7.67 (bs, 1H), 7.47 (t, J = 7.2 Hz, 1H), 7.44–7.37 (m, 3H), 7.35–7.31 (m, 2H), 7.26–7.19 (m, 2H), 5.72 (d, J = 8.1 Hz, 1H), 5.59 (s, 1H), 4.09 (d, J = 16.7 Hz, 1H), 3.98 (d, J = 16.7 Hz, 1H), 3.95–3.87 (m, 1H), 1.98–0.95 (m, 10H); 13C-NMR (126 MHz, CDCl3) δ 168.26 (C), 162.61 (C), 156.91 (C), 150.61 (C), 137.43 (C), 136.82 (C), 133.84 (C), 131.87 (CH), 130.36 (CH), 129.58 (CH), 128.28 (CH), 127.23 (CH), 124.88 (CH), 123.08 (CH), 118.05 (CH), 116.39 (C), 111.84 (C), 67.33 (CH), 49.97 (CH), 49.08 (CH2), 33.00 (CH2), 25.47 (CH2), 24.81 (CH2), 19.44 (CH3); MS (qTOF) m/z (%) 446 (M+ + 1, 11), 319 (100); HRMS (qTOF) Calcd for C26H28N3O4: 446.2080. Found: 446.2074.
N-cyclohexyl-2-(3,5-dioxo-3,4-dihydro-2H-chromeno[3,4-b]pyrazin-1(5H)-yl)-2-(4-(trifluoromethyl)phenyl)acetamide (20n). Obtained from 17n as a pale yellow solid (162 mg, 81%); m.p. 249–251 °C (dec.); IR (cm−1) 3313, 3266, 2930, 2855, 1704, 1688, 1620, 1549, 1497, 1487, 1326, 1167, 1126, 1068, 824, 1H-NMR (500 MHz, CDCl3) δ 7.68 (d, J = 8.2 Hz, 1H), 7.60 (bs, 1H), 7.58 (dd, J = 8.1, 1.2 Hz, 1H), 7.53 (t, J = 7.8 Hz, 1H), 7.45–7.34 (m, 3H), 7.39–7.34 (m, 1H), 5.88 (d, J = 4.7 Hz, 1H), 5.37 (s, 1H), 3.98–3.88 (m, 1H), 3.91 (d, J = 2.9 Hz, 2H), 2.04–1.09 (m, 10H); 13C-NMR (126 MHz, CDCl3) δ 167.11 (C), 162.84 (C), 156.76 (C), 150.56 (C), 138.72 (C), 134.97 (C), 130.56 (CH), 128.98 (CH), 127.12 (C), 126.43 (CH), 125.26 (CH), 122.53 (CH), 118.18 (CH), 116.04 (C), 114.70 (C), 68.39 (CH), 49.41 (CH2), 49.20 (CH), 33.18 (CH2), 33.11 (CH2), 25.44 (CH2), 24.88 (CH2); MS (qTOF) m/z (%) 522 (M+ + Na+, 100), 500 (M+ + 1, 54), 429 (10); HRMS (qTOF) Calcd for C26H25F3N3O4: 500.1797. Found: 500.1782.
N-(tert-butyl)-2-(3,5-dioxo-3,4-dihydro-2H-chromeno[3,4-b]pyrazin-1(5H)-yl)-2-phenylacetamide (20o). Obtained from 17o as a pale yellow solid (94 mg, 58%); m.p. 258–260 °C (dec.); IR (cm−1) 3328, 3269, 2966, 2931, 1680, 1619, 1561, 1496, 1466, 1365, 1288, 1111, 750; 1H-NMR (500 MHz, CDCl3) δ .59 (dd, J = 8.0, 1.2 Hz, 1H), 7.53–7.49 (m, 2H), 7.44–7.40 (m, 4H), 7.34–7.29 (m, 3H), 5.71 (bs, 1H), 5.31 (s, 1H), 3.96 (q, J = 16.9 Hz, 2H), 1.41 (s, 9H); 13C-NMR (126 MHz, CDCl3) δ 168.11 (C), 163.00 (C), 156.94 (C), 150.63 (C), 135.98 (C), 135.19 (C), 130.34 (CH), 129.54 (CH), 129.50 (CH), 128.40 (CH), 125.04 (CH), 123.00 (CH), 118.01 (CH), 116.32 (C), 113.75 (C), 69.53 (CH), 52.50 (C), 49.54 (CH2), 28.85 (CH3); MS (qTOF) m/z (%) 406 (M+ + 1, 60), 321 (27), 279 (100); HRMS (qTOF) Calcd for C23H24N3O4: 406.1767. Found: 406.1761.
2-(3,5-Dioxo-3,4-dihydro-2H-chromeno[3,4-b]pyrazin-1(5H)-yl)-N-pentyl-2-phenylacetamide (20p). Obtained from 17p as a white solid (92 mg, 55%); m.p. 206–208 °C (dec.); IR (cm−1) 3310, 3276, 2929, 1687, 1616, 1567, 1496, 1471, 1380, 1115, 999, 931, 748, 726; 1H-NMR (500 MHz, CDCl3) δ 7.63 (dd, J = 8.0, 1.2 Hz, 1H), 7.51 (dt, 6.9, J = 1.3 Hz, 2H), 7.43–7.37 (m, 4H), 7.35–7.28 (m, 4H), 6.04 (t, J = 5.4 Hz, 1H), 5.39 (s, 1H), 3.92 (d, J = 1.7 Hz, 2H), 3.37 (dd, J = 13.2, 7.0 Hz, 2H), 1.57–1.50 (m, 2H), 1.37–1.25 (m, 4H), 0.90 (t, J = 7.1 Hz, 3H); 13C-NMR (126 MHz, CDCl3) δ 168.65 (C), 162.80 (C), 156.78 (C), 150.47 (C), 135.51 (C), 134.77 (C), 130.21 (CH), 129.44 (CH), 129.39 (CH), 128.38 (CH), 124.94 (CH), 122.83 (CH), 117.87 (CH), 116.16 (C), 114.07 (C), 69.04 (CH), 49.40 (CH2), 40.00 (CH2), 29.19 (CH2), 29.04 (CH2), 22.27 (CH2), 13.97 (CH3); MS (qTOF) m/z (%) 420 (M+ + 1, 14), 293 (100); HRMS (qTOF) Calcd for C24H26N3O4: 420.1923. Found: 420.1918.
N-benzyl-2-(3,5-dioxo-3,4-dihydro-2H-chromeno[3,4-b]pyrazin-1(5H)-yl)-2-phenylacetamide (20q). Obtained from 17q as a white solid (118 mg, 67%); m.p. 238–240 °C (dec.); IR (cm−1) 3280, 1686, 1618, 1496, 1379, 1113, 751, 700; 1H-NMR (500 MHz, CDCl3) δ 7.59 (dd, J = 8.0, 1.1 Hz, 1H), 7.52–7.44 (m, 2H), 7.42–7.33 (m, 6H), 7.33–7.25 (m, 6H), 6.33 (t, J = 5.5 Hz, 1H), 5.42 (s, 1H), 4.56 (qd, J = 14.6, 5.8 Hz, 2H), 3.92 (d, J = 1.7 Hz, 2H); 13C-NMR (126 MHz, CDCl3) δ 168.90 (C), 162.97 (C), 156.87 (C), 150.57 (C), 137.66 (C), 135.55 (C), 134.61 (C), 130.39 (CH), 129.63 (CH), 129.52 (CH), 129.06 (CH), 128.55 (CH), 128.06 (CH), 128.01 (CH), 125.10 (CH), 122.89 (CH), 118.00 (CH), 116.18 (C), 114.29 (C), 69.11 (CH), 49.43 (CH2), 44.15 (CH2); MS (qTOF) m/z (%) 440 (M+ + 1, 100), 282 (40), 169 (15); HRMS (qTOF) Calcd for C26H22N3O4: 440.1610. Found: 440.1585.
N-benzyl-2-(3,5-dioxo-3,4-dihydro-2H-chromeno[3,4-b]pyrazin-1(5H)-yl)-2-(p-tolyl)acetamide (20r). Obtained from 17r as a white solid (141 mg, 78%); m.p. 221–223 °C (dec.); IR (cm−1) 3369, 1711, 1665, 1649, 1559, 1495, 1113, 754, 703; 1H-NMR (500 MHz, CDCl3) δ 7.79 (bs, 1H), 7.58 (dt, J = 7.2, 1.2 Hz, 1H), 7.54 (dd, J = 8.1, 1.2 Hz, 1H), 7.51–7.54 (m, 5H), 7.42–7.38 (m, 5H), 7.36–7.23 (m, 2H), 6.38 (t, J = 6.4 Hz, 1H), 5.79 (s, 1H), 4.75 (dd, J = 14.6, 6.2 Hz, 1H), 4.57 (dd, J = 14.6, 5.5 Hz, 1H), 4.21 (d, J = 16.7 Hz, 1H), 4.09 (d, J = 16.7 Hz, 1H), 2.14 (s, 3H); 13C-NMR (126 MHz, CDCl3) δ 169.46 (C), 162.69 (C), 156.85 (C), 150.57 (C), 137.65 (C), 137.27 (C), 136.89 (C), 133.46 (C), 131.91 (CH), 130.43 (CH), 129.69 (CH), 129.06 (CH), 128.65 (CH), 128.12 (CH), 128.06 (CH), 127.18 (CH), 124.95 (CH), 123.05 (CH), 118.07 (CH), 116.26 (C), 112.10 (C), 66.93 (CH), 49.79 (CH2), 44.24 (CH2), 19.44 (CH3); MS (qTOF) m/z (%) 454 (M+ + 1, 27), 369 (73), 327 (100); HRMS (qTOF) Calcd for C27H24N3O4: 454.1767. Found: 454.1761.
3.4.4. General Procedure for the Synthesis of Chromeno[3,4-b]piperazines 19j,k
Enol-Ugi adduct 17j–k (0.4 mmol) and iron powder (9.6 mmol, 24 equiv) in glacial acetic acid (8 mL), were subjected to a procedure identical to the one used for the reduction of nitro derivatives 17a–s, except that the reaction was performed at 150 °C. Chromeno[3,4-b]piperazines 19j,k were obtained after flash column chromatography purification (SiO2, gradient from 100 % hexanes to hexanes–AcOEt, 7:3).
1,2-Diphenyl-1,4-dihydro-2H-chromeno[3,4-b]pyrazine-3,5-dione (19j). Obtained from 18j as a pale yellow solid (103 mg, 70%); m.p. 243–245 °C; IR (cm−1) 3423, 3075, 1716, 1679, 1631, 1492, 1470, 1407, 1369, 1234, 1131, 998, 754, 593; 1H-NMR (500 MHz, CDCl3) δ 8.15 (bs, 1H), 7.51 (dd, J = 6.3, 1.7 Hz, 2H), 7.43–7.30 (m, 7H), 7.22 (t, J = 7.4 Hz, 1H), 7.15 (dd, J = 8.1, 1.2 Hz, 1H), 7.09 (d, J = 8.0 Hz, 2H), 7.06 (d, J = 7.3 Hz, 1H), 5.64 (s, 1H); 13C-NMR (126 MHz, CDCl3) δ 162.88 (C), 156.74 (C), 150.88 (C), 145.76 (C), 135.81 (C), 131.77 (C), 130.07 (CH), 130.00 (CH), 129.41 (CH), 128.86 (CH), 125.89 (CH), 125.63 (CH), 124.99 (CH), 124.40 (CH), 122.53 (CH), 117.80 (CH), 115.63 (C), 111.31 (C), 69.02 (CH); MS (qTOF) m/z (%) 369 (M+ + 1, 100), 288 (<5); HRMS (qTOF) Calcd for C23H17N2O3: 369.1239. Found: 369.1228.
2-(3,4-Dimethoxyphenyl)-1-phenyl-1,4-dihydro-2H-chromeno[3,4-b]pyrazine-3,5-dione (19k). Obtained from 18k as a pale yellow solid (120 mg, 70%); m.p. 209–211 °C; IR (cm−1) 3423, 3072, 1712, 1678, 1632, 1604, 1514, 1403, 1260, 1140, 1024, 999, 757; 1H-NMR (500 MHz, CDCl3) δ 8.12 (bs, 1H), 7.44–7.31 (m, 4H), 7.22 (t, J = 7.4 Hz, 1H), 7.15 (dd, J = 8.1, 1.1 Hz, 1H), 7.12–7.04 (m, 4H), 6.98 (dd, J = 8.4, 2.1 Hz, 1H), 6.79 (d, J = 8.4 Hz, 1H), 5.59 (s, 1H), 3.83 (s, 3H), 3.72 (s, 3H); 13C-NMR (126 MHz, CDCl3) δ 163.24 (C), 156.70 (C), 150.79 (C), 149.64 (C), 149.40 (C), 145.48 (C), 131.68 (C), 130.10 (CH), 129.97 (CH), 127.65 (C), 125.76 (CH), 124.73 (CH), 124.35 (CH), 122.25 (CH), 117.86 (CH), 117.44 (CH), 115.53 (C), 111.63 (CH), 111.28 (C), 108.67 (CH), 68.31 (CH), 56.07 (CH3), 55.91 (CH3); MS (qTOF) m/z (%) 429 (M+ + 1, 75), 369 (100), 276 (45); HRMS (qTOF) Calcd for C25H21N2O5: 429.1450. Found: 429.1454.
4. Conclusions
Multicomponent functionalization of 4-hydroxy-3-nitro-coumarin by an enol-Ugi condensation permits to introduce a peptidic chain that is subsequently cyclized in reducing conditions to build the fused piperazino ring. In this way, rigid polyheterocyclic di- and tri-peptides comprising a wide chemical diversity are easily accessible. This strategy, involving the first reported post-condensation transformation of an enol-Ugi adduct, opens new opportunities for the discovery of novel pharmacologically active compounds.
Supplementary Materials
The following are available online: Figure S1: Aldehydes, amines, and isocyanides used as starting materials, Figure S2: Imines used as starting materials, Experimental data for imine 16g, Copies of the NMR spectra for all new compounds.
Author Contributions
Conceptualization, A.G.N. and C.F.M.; methodology, A.B. and A.G.N.; writing—original draft preparation, C.F.M. All authors have read and agreed to the published version of the manuscript.
Funding
This research was funded by Junta de Extremadura and FEDER (IB16095).
Institutional Review Board Statement
Not applicable.
Informed Consent Statement
Not applicable.
Data Availability Statement
The data presented in this study is available in this article and in the supplementary material.
Acknowledgments
COMPUTAEX for granting access to supercomputer LUSITANIA.
Conflicts of Interest
The authors declare no conflict of interest.
Sample Availability
Samples of the compounds are available from the authors.
References
- Giannis, A.; Kolter, T. Peptidomimetics for Receptor Ligands—Discovery, Development, and Medical Perspectives. Angew. Chem. Int. Ed. 1993, 32, 1244–1267. [Google Scholar] [CrossRef]
- Gante, J. Peptidomimetics—Tailored Enzyme-Inhibitors. Angew. Chem. Int. Ed. 1994, 33, 1699–1720. [Google Scholar] [CrossRef]
- Hanessian, S.; McNaughton-Smith, G.; Lombart, H.-G.; Lubell, W.D. Design and synthesis of conformationally constrained amino acids as versatile scaffolds and peptide mimetics. Tetrahedron 1997, 53, 12789–12854. [Google Scholar] [CrossRef]
- Gopalakrishnan, R.; Frolov, A.I.; Knerr, L.; Drury, W.J., 3rd; Valeur, E. Therapeutic Potential of Foldamers: From Chemical Biology Tools To Drug Candidates? J. Med. Chem. 2016, 59, 9599–9621. [Google Scholar] [CrossRef] [PubMed]
- Usmanova, L.; Dar’in, D.; Novikov, M.S.; Gureev, M.; Krasavin, M. Bicyclic Piperazine Mimetics of the Peptide beta-Turn Assembled via the Castagnoli-Cushman Reaction. J. Org. Chem. 2018, 83, 5859–5868. [Google Scholar] [CrossRef]
- Limbach, M.; Lygin, A.V.; Korotkov, V.S.; Es-Sayed, M.; de Meijere, A. Facile synthesis of structurally diverse 5-oxopiperazine-2-carboxylates as dipeptide mimics and templates. Org. Biomol. Chem. 2009, 7, 3338–3342. [Google Scholar] [CrossRef]
- Golebiowski, A.; Jozwik, J.; Klopfenstein, S.R.; Colson, A.-O.; Grieb, A.L.; Russell, A.F.; Rastogi, V.L.; Diven, C.F.; Portlock, D.E.; Chen, J.J. Solid-Supported Synthesis of Putative Peptide β-Turn Mimetics via Ugi Reaction for Diketopiperazine Formation. J. Comb. Chem. 2002, 4, 584–590. [Google Scholar] [CrossRef] [PubMed]
- Kim, H.-O.; Nakanishi, H.; Lee, M.S.; Kahn, M. Design and Synthesis of Novel Conformationally Restricted Peptide Secondary Structure Mimetics. Org. Lett. 2000, 2, 301–302. [Google Scholar] [CrossRef]
- Golebiowski, A.; Klopfenstein, S.R.; Shao, X.; Chen, J.J.; Colson, A.-O.; Grieb, A.L.; Russell, A.F. Solid-Supported Synthesis of a Peptide β-Turn Mimetic. Org. Lett. 2000, 2, 2615–2617. [Google Scholar] [CrossRef]
- Belov, V.N.; Funke, C.; Labahn, T.; Es-Sayed, M.; de Meijere, A. An Easy Access to Bicyclic Peptides with an Octahydro[2H]pyrazino[1,2-a]pyrazine Skeleton. Eur. J. Org. Chem. 1999, 2, 1345–1356. [Google Scholar] [CrossRef]
- Gigant, N.; Claveau, E.; Bouyssou, P.; Gillaizeau, I. Diversity-oriented synthesis of polycyclic diazinic scaffolds. Org. Lett. 2012, 14, 844–847. [Google Scholar] [CrossRef]
- Zhao, J.; Zhao, H.; Hall, J.A.; Brown, D.; Brandes, E.; Bazzill, J.; Grogan, P.T.; Subramanian, C.; Vielhauer, G.; Cohen, M.S.; et al. Triazole Containing Novobiocin and Biphenyl Amides as Hsp90 C-Terminal Inhibitors. Medchemcomm 2014, 5, 1317–1323. [Google Scholar] [CrossRef] [PubMed]
- Heide, L. New aminocoumarin antibiotics as gyrase inhibitors. Int. J. Med. Microbiol. 2014, 304, 31–36. [Google Scholar] [CrossRef]
- Gunaherath, G.M.K.B.; Marron, M.T.; Wijeratne, E.M.K.; Whitesell, L.; Gunatilaka, A.A.L. Synthesis and biological evaluation of novobiocin analogues as potential heat shock protein 90 inhibitors. Biorg. Med. Chem. 2013, 21, 5118–5129. [Google Scholar] [CrossRef] [PubMed]
- Cele, F.N.; Kumalo, H.; Soliman, M.E. Mechanism of Inhibition of Hsp90 Dimerization by Gyrase B Inhibitor Coumermycin A1 (C-A1) Revealed by Molecular Dynamics Simulations and Thermodynamic Calculations. Cell Biochem. Biophys. 2016, 74, 353–363. [Google Scholar] [CrossRef] [PubMed]
- Zettler, J.; Xia, H.; Burkard, N.; Kulik, A.; Grond, S.; Heide, L.; Apel, A.K. New aminocoumarins from the rare actinomycete Catenulispora acidiphila DSM 44928: Identification, structure elucidation, and heterologous production. Chembiochem 2014, 15, 612–621. [Google Scholar] [CrossRef] [PubMed]
- Jans, P.E.; Mfuh, A.M.; Arman, H.D.; Shaffer, C.V.; Larionov, O.V.; Mooberry, S.L. Cytotoxicity and Mechanism of Action of the Marine-Derived Fungal Metabolite Trichodermamide B and Synthetic Analogues. J. Nat. Prod. 2017, 80, 676–683. [Google Scholar] [CrossRef]
- Doens, D.; Valiente, P.A.; Mfuh, A.M.; Vo, A.X.T.; Tristan, A.; Carreno, L.; Quijada, M.; Nguyen, V.T.; Perry, G.; Larionov, O.V.; et al. Identification of Inhibitors of CD36-Amyloid Beta Binding as Potential Agents for Alzheimer’s Disease. ACS Chem. Neurosci. 2017, 8, 1232–1241. [Google Scholar] [CrossRef]
- Sun, J.; Pei, Y.; Li, E.; Li, W.; Hyde, K.D.; Yin, W.B.; Liu, X. A new species of Trichoderma hypoxylon harbours abundant secondary metabolites. Sci. Rep. 2016, 6, 37369. [Google Scholar] [CrossRef]
- Illgen, K.; Nerdinger, S.; Fuchs, T.; Friedrich, C.; Weber, L.; Herdtweck, E. A Versatile Synthesis of 6-Oxo-1,4,5,6-tetrahydro-pyrazine-2-carboxylic Acid Methyl Esters via MCR Chemistry. Synlett 2004, 1, 53–56. [Google Scholar] [CrossRef]
- Faggi, C.; Garcia-Valverde, M.; Marcaccini, S.; Pepino, R.; Pozo, M.C. Studies on Isocyanides and Related Compounds: A Facile Synthesis of 1,6-Dihydro-6-Oxopyrazine-2-Carboxylic Acid Derivatives Via Ugi Four-Component Condensation. Synthesis 2003, 10, 1553–1558. [Google Scholar] [CrossRef]
- Jovanović, M.; Zhukovsky, D.; Podolski-Renić, A.; Domračeva, I.; Žalubovskis, R.; Senćanski, M.; Glišić, S.; Sharoyko, V.; Tennikova, T.; Dar’In, D.; et al. Novel electrophilic amides amenable by the Ugi reaction perturb thioredoxin system via thioredoxin reductase 1 (TrxR1) inhibition: Identification of DVD-445 as a new lead compound for anticancer therapy. Eur. J. Med. Chem. 2019, 181, 111580. [Google Scholar] [CrossRef] [PubMed]
- Hulme, C.; Ma, L.; Cherrier, M.P.; Romano, J.J.; Morton, G.; Duquenne, C.; Salvino, J.; Labaudiniere, R. Novel applications of convertible isonitriles for the synthesis of mono and bicyclic gamma-lactams via a UDC strategy. Tetrahedron Lett. 2000, 41, 1883–1887. [Google Scholar] [CrossRef]
- El Kaïm, L.; Oble, J.; Gizzi, M.; Grimaud, L. Ugi-Smiles Access to Quinoxaline Derivatives. Heterocycles 2007, 73. [Google Scholar] [CrossRef]
- Iordanidou, D.; Zarganes-Tzitzikas, T.; Neochoritis, C.G.; Domling, A.; Lykakis, I.N. Application of Silver Nanoparticles in the Multicomponent Reaction Domain: A Combined Catalytic Reduction Methodology to Efficiently Access Potential Hypertension or Inflammation Inhibitors. ACS Omega 2018, 3, 16005–16013. [Google Scholar] [CrossRef] [PubMed]
- Ligia, S.d.S.P.; Mara, R.C.C.; Marcus, V.N.d.S. Multicomponent Reactions in the Synthesis of Complex Fused Coumarin Derivatives. Curr. Org. Synth. 2018, 15, 21–37. [Google Scholar] [CrossRef]
- Huang, Y.; Khoury, K.; Dömling, A. The Piperazine Space in Isocyanide-based MCR Chemistry. In Synthesis of Heterocycles via Multicomponent Reactions I; Springer Science & Business Media: Berlin, Germany, 2010; pp. 85–127. [Google Scholar]
- Medina, F.G.; Marrero, J.G.; Macias-Alonso, M.; Gonzalez, M.C.; Cordova-Guerrero, I.; Teissier Garcia, A.G.; Osegueda-Robles, S. Coumarin heterocyclic derivatives: Chemical synthesis and biological activity. Nat. Prod. Rep. 2015, 32, 1472–1507. [Google Scholar] [CrossRef]
- Domling, A.; Khoury, K. Praziquantel and schistosomiasis. ChemMedChem 2010, 5, 1420–1434. [Google Scholar] [CrossRef]
- Demetri, G.D.; Chawla, S.P.; von Mehren, M.; Ritch, P.; Baker, L.H.; Blay, J.Y.; Hande, K.R.; Keohan, M.L.; Samuels, B.L.; Schuetze, S.; et al. Efficacy and safety of trabectedin in patients with advanced or metastatic liposarcoma or leiomyosarcoma after failure of prior anthracyclines and ifosfamide: Results of a randomized phase II study of two different schedules. J. Clin. Oncol. 2009, 27, 4188–4196. [Google Scholar] [CrossRef]
- Croom, K.F.; Perry, C.M.; Plosker, G.L. Mirtazapine: A review of its use in major depression and other psychiatric disorders. CNS Drugs 2009, 23, 427–452. [Google Scholar] [CrossRef] [PubMed]
- Baker, M.E.; Lathe, R. The promiscuous estrogen receptor: Evolution of physiological estrogens and response to phytochemicals and endocrine disruptors. J. Steroid. Biochem. Mol. Biol. 2018, 184, 29–37. [Google Scholar] [CrossRef] [PubMed]
- Ceci, C.; Lacal, P.M.; Tentori, L.; De Martino, M.G.; Miano, R.; Graziani, G. Experimental Evidence of the Antitumor, Antimetastatic and Antiangiogenic Activity of Ellagic Acid. Nutrients 2018, 10, 1756. [Google Scholar] [CrossRef] [PubMed]
- François, G.; Timperman, G.; Holenz, J.; Assi, L.A.; Geuder, T.; Maes, L.; Dubois, J.; Hanocq, M.; Bringmannj, G. Naphthylisoquinoline alkaloids exhibit strong growth-inhibiting activities against Plasmodium falciparum and P. berghei in vitro—Structure—activity relationships of dioncophylline C. Ann. Trop. Med. Parasit. 2016, 90, 115–123. [Google Scholar] [CrossRef]
- Khanolkar, A.D.; Lu, D.; Ibrahim, M.; Duclos, R.I., Jr.; Thakur, G.A.; Malan, T.P., Jr.; Porreca, F.; Veerappan, V.; Tian, X.; George, C.; et al. Cannabilactones: A novel class of CB2 selective agonists with peripheral analgesic activity. J. Med. Chem. 2007, 50, 6493–6500. [Google Scholar] [CrossRef]
- Lin, W.; Huang, J.; Liao, X.; Yuan, Z.; Feng, S.; Xie, Y.; Ma, W. Neo-tanshinlactone selectively inhibits the proliferation of estrogen receptor positive breast cancer cells through transcriptional down-regulation of estrogen receptor alpha. Pharmacol. Res. 2016, 111, 849–858. [Google Scholar] [CrossRef] [PubMed]
- Ostrowska, K. Coumarin-piperazine derivatives as biologically active compounds. Saudi Pharm. J. 2020, 28, 220–232. [Google Scholar] [CrossRef]
- Kotharkar, S.A.; Shinde, D.B. Synthesis of antimicrobial 2,9,10-trisubstituted-6-oxo-7,12-dihydro-chromeno[3,4-b]quinoxalines. Bioorg. Med. Chem. Lett. 2006, 16, 6181–6184. [Google Scholar] [CrossRef]
- Hamama, W.S.; Hassanien, A.E.; El-Fedawy, M.G.; Zoorob, H.H. Synthesis and Antimicrobial Evaluation of Novel Polyfused Heterocycles-Based Quinolone. J. Heterocycl. Chem. 2015, 52, 492–496. [Google Scholar] [CrossRef]
- Han, G.S.; Yook, D.J.; Kim, S.K.; Shim, S.C.; Kang, H.K. Photophysical properties of pyrazinopsoralen, a new monofunctional psoralen. Photochem. Photobiol. 1996, 64, 525–530. [Google Scholar] [CrossRef]
- Hu, C.; Zhang, Z.; Gao, W.; Zhang, G.; Liu, T.; Liu, Q. PIFA-promoted intramolecular oxidative C(aryl)-H amidation reaction: Synthesis of quinolino[3,4-b]quinoxalin-6(5 H )-ones. Tetrahedron 2018, 74, 665–671. [Google Scholar] [CrossRef]
- Li, Y.; Lei, J.; Xu, J.; Tang, D.-Y.; Chen, Z.-Z.; Zhu, J.; Xu, C. A facile method for building fused quinoxaline-quinolinones via an acidless post-Ugi cascade reaction. Chin. Chem. Lett. 2017, 28, 541–545. [Google Scholar] [CrossRef]
- Shiva Kumar, K.; Rambabu, D.; Prasad, B.; Mujahid, M.; Krishna, G.R.; Basaveswara Rao, M.V.; Malla Reddy, C.; Vanaja, G.R.; Kalle, A.M.; Pal, M. A new approach to construct a fused 2-ylidene chromene ring: Highly regioselective synthesis of novel chromeno quinoxalines. Org. Biomol. Chem. 2012, 10, 4774–4781. [Google Scholar] [CrossRef] [PubMed]
- Hoplamaz, E.; Keskin, S.; Balci, M. Regioselective Synthesis of Benzo[h][1,6]-naphthyridines and Chromenopyrazinones through Alkyne Cyclization. Eur. J. Org. Chem. 2017, 2017, 1489–1497. [Google Scholar] [CrossRef]
- Neo, A.G.; López-García, L.; Marcos, C.F. Allylic amination of Passerini adducts. Application to the selective synthesis of chromone-substituted α-and γ-amino acid peptidic and retropeptidic units. RSC Adv. 2014, 4, 40044–40053. [Google Scholar] [CrossRef]
- Neo, A.; Carrillo, R.; Delgado, J.; Marcaccini, S.; Marcos, C.F. A multicomponent approach to the synthesis of 1,3-dicarbonylic compounds. Mol. Divers. 2011, 15, 529–539. [Google Scholar] [CrossRef] [PubMed]
- Carrillo, R.M.; Neo, A.G.; Lopez-Garcia, L.; Marcaccini, S.; Marcos, C.F. Zinc catalysed ester solvolysis. Application to the synthesis of tartronic acid derivatives. Green Chem. 2006, 8, 787–789. [Google Scholar] [CrossRef]
- Neo, A.G.; Delgado, J.; Polo, C.; Marcaccini, S.; Marcos, C.F. A new synthesis of beta-keto amides by reduction of Passerini adducts. Tetrahedron Lett. 2005, 46, 23–26. [Google Scholar] [CrossRef]
- Castellano, T.G.; Neo, A.G.; Marcaccini, S.; Marcos, C.F. Enols as feasible Acid components in the ugi condensation. Org. Lett. 2012, 14, 6218–6221. [Google Scholar] [CrossRef]
- Neo, A.G.; Castellano, T.G.; Marcos, C.F. An easy synthesis of diversely functionalized 2H-chromenes and amido amines by an enol-Ugi reaction. Arkivoc 2017, 21–31. [Google Scholar] [CrossRef]
- Neo, A.G.; Castellano, T.G.; Marcos, C.F. Enol-Ugi Reaction of Hydroxycoumarins: Straightforward Synthesis of Amino Acid Derived Coumarin Enamines. Synthesis 2015, 47, 2431–2438. [Google Scholar] [CrossRef]
- Savel’ev, V.L.; Artamonova, O.S.; Troitskaya, V.S.; Vinokurov, V.G.; Zagorevskii, V.A. Investigations of pyrans and related compounds. Chem. Heterocycl. Compd. 1973, 9, 816–820. [Google Scholar] [CrossRef]
- Schiff, H. Mittheilungen aus dem Universitätslaboratorium in Pisa: Eine neue Reihe organischer Basen. Justus Liebigs Ann. Chem. 1864, 131, 118–119. [Google Scholar] [CrossRef]
- Qin, W.; Long, S.; Panunzio, M.; Biondi, S. Schiff bases: A short survey on an evergreen chemistry tool. Molecules 2013, 18, 12264–12289. [Google Scholar] [CrossRef] [PubMed]
Publisher’s Note: MDPI stays neutral with regard to jurisdictional claims in published maps and institutional affiliations. |
© 2021 by the authors. Licensee MDPI, Basel, Switzerland. This article is an open access article distributed under the terms and conditions of the Creative Commons Attribution (CC BY) license (http://creativecommons.org/licenses/by/4.0/).



