Molecular Structure, In Vitro Anticancer Study and Molecular Docking of New Phosphate Derivatives of Betulin
Abstract
1. Introduction
2. Results and Discussion
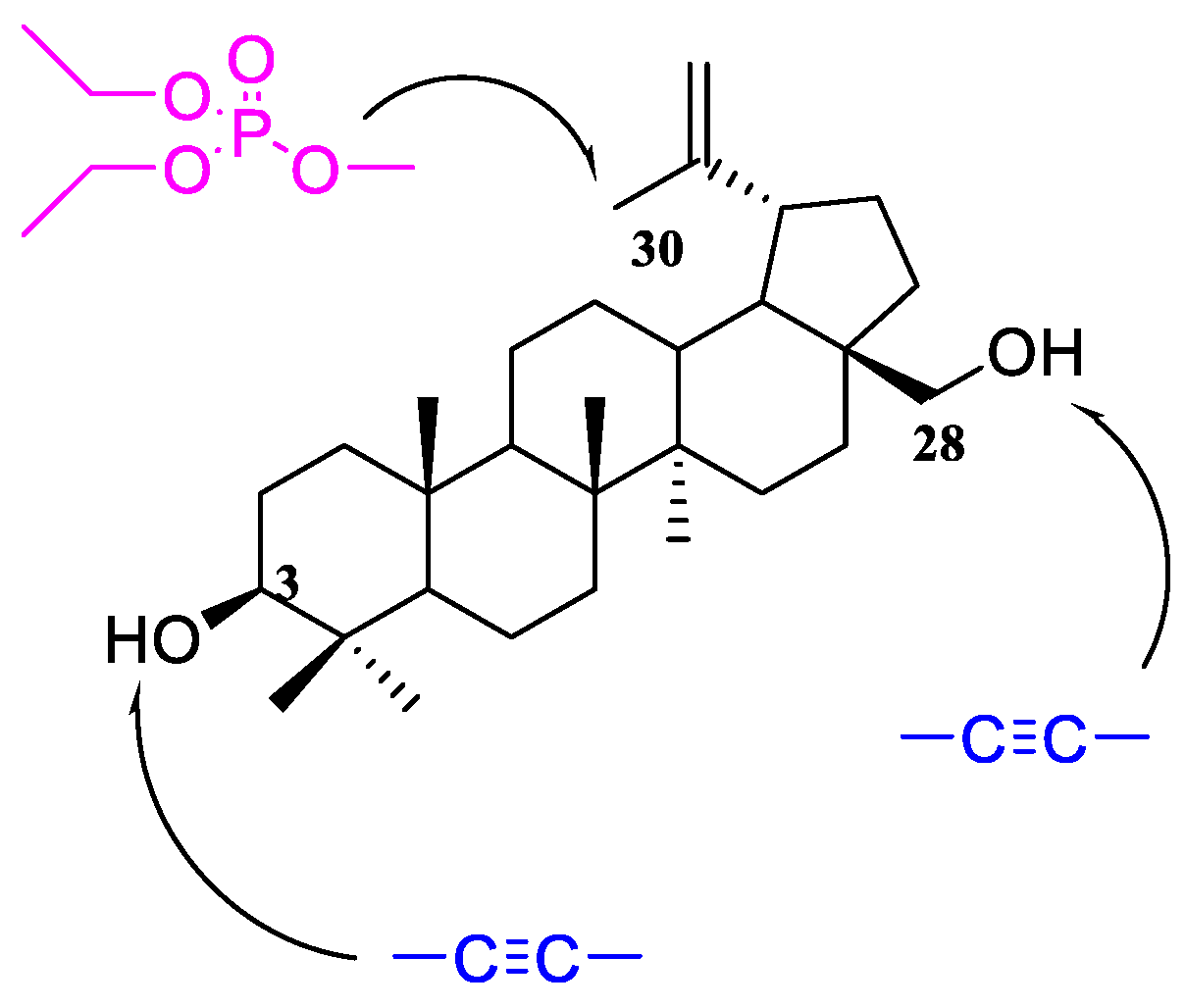
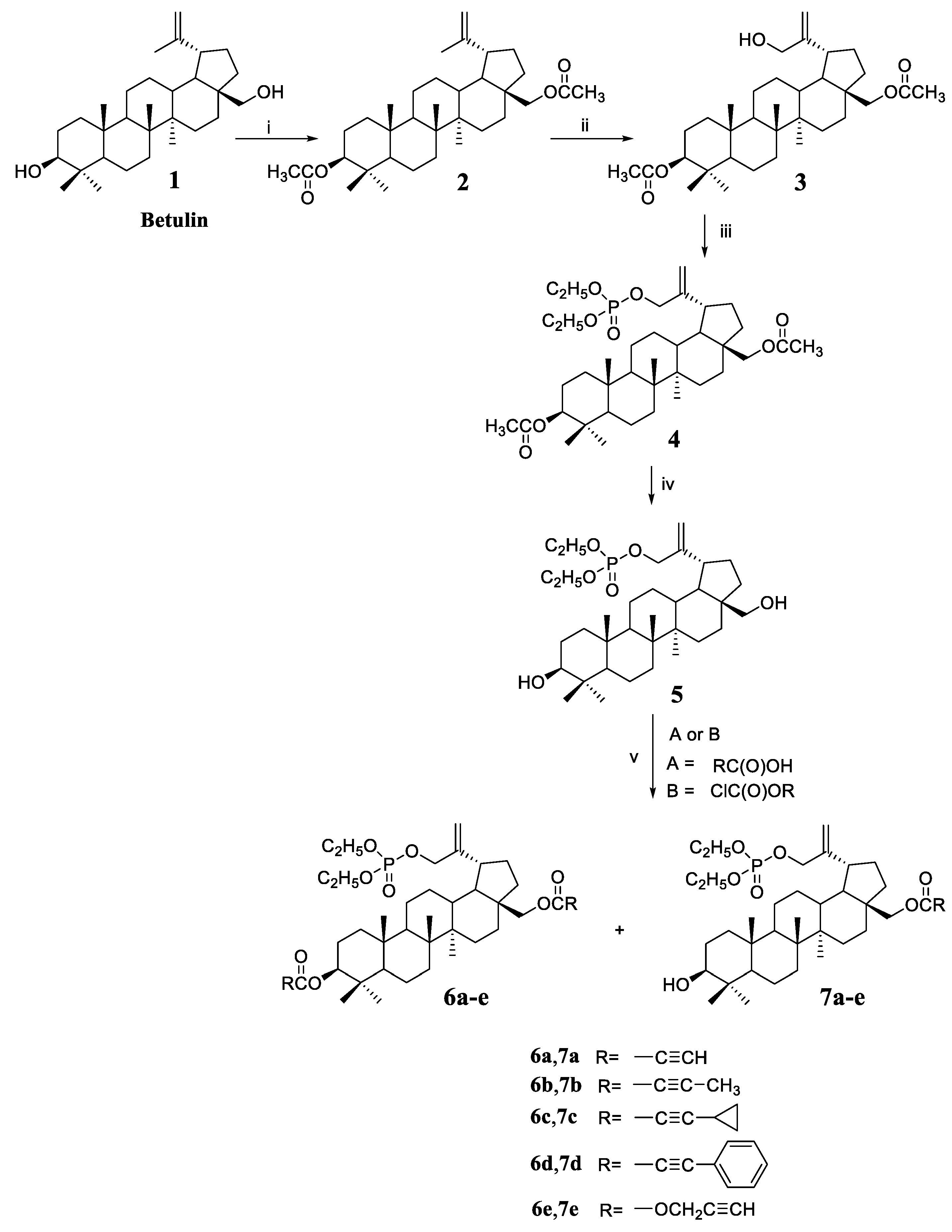
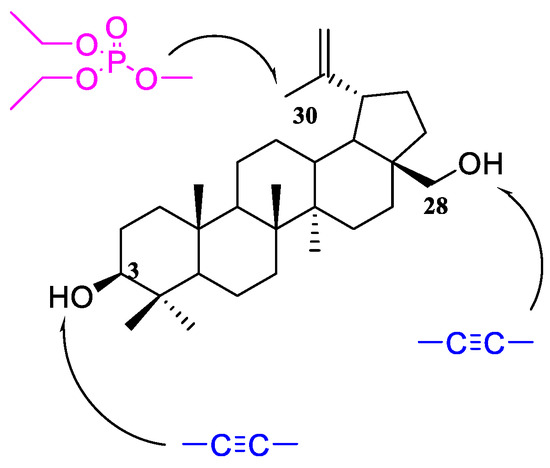
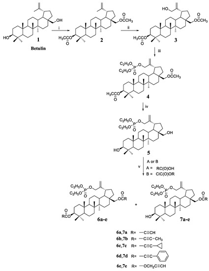
2.1. Synthesis
2.2. Structural Studies
2.2.1. Raman Spectra
2.2.2. Crystal Structure
2.3. Anticancer Activity
2.3.1. Cell Viability Studies
2.3.2. Analysis of the Expression of Genes Related to the Apoptosis Process
2.4. Physicochemical Descriptors (Lipophilicity, ADME Properties)
2.5. In Silico Study
3. Materials and Methods
3.1. General Experimental Procedures
3.2. Procedures for Synthesizing Compounds
3.2.1. Synthesis of 3,28-Diacetoxy-30-diethoxyphosphoryloxybetulin 4
3.2.2. Synthesis of 30-Diethoxyphosphoryloxybetulin 5
3.2.3. General Procedure for Synthesis of Alkynyl Derivatives 6a–6d and 7a–7d
3.2.4. Synthesis of Alkynyl Derivatives 6e and 7e
3.3. Raman Spectroscopy
3.4. Crystal Structure
3.5. Biological Activity
3.5.1. Cell Culture and Medium
3.5.2. Cell Viability Studies
3.5.3. Analysis of the Expression of H3, TP53, BCL-2, and BAX by qRT-PCR
3.5.4. Statistical Analysis
3.6. Physicochemical Descriptors (Lipophilicity, ADME Properties)
3.7. Molecular Docking
4. Conclusions
Supplementary Materials
Author Contributions
Funding
Institutional Review Board Statement
Informed Consent Statement
Data Availability Statement
Acknowledgments
Conflicts of Interest
References
- World Health Organization. WHO Report on Cancer, Setting Priorities, Investing Wisely and Providing Care for All. 2020. Available online: https://apps.who.int/iris/handle/10665/330745 (accessed on 30 January 2021).
- Rastogi, S.; Pandey, M.M.; Kumar, A.; Rawat, S. Medicinal plants of the genus Betula—traditional uses and a phytochemical–pharmacological review. J. Ethnopharmacol. 2015, 159, 62–83. [Google Scholar] [CrossRef] [PubMed]
- Zhang, L.; Ji, M.-Y.; Qiu, B.; Li, Q.-Y.; Zhang, K.-Y.; Liu, J.-C.; Dang, L.-S.; Li, M.-H. Phytochemicals and biological activities of species from the genus Maytenus. Med. Chem. Res. 2020, 29, 575–606. [Google Scholar] [CrossRef]
- Tolmacheva, I.A.; Shelepen’Kina, L.N.; Vikharev, Y.B.; Anikina, L.V.; Grishko, V.V.; Tolstikov, A.G. Synthesis and biological activity of S-containing betulin derivatives. Chem. Nat. Compd. 2005, 41, 701–705. [Google Scholar] [CrossRef]
- Kazakova, O.; Medvedeva, N.; Tolstikov, G.A.; Kukovinets, O.S.; Yamansarov, E.Y.; Spirikhin, L.V.; Gubaidullin, A.T. Synthesis of terminal acetylenes using POCl3 in pyridine as applied to natural triterpenoids. Mendeleev Commun. 2010, 20, 234–236. [Google Scholar] [CrossRef]
- Sidova, V.; Zoufaly, P.; Pokorny, J.; Dzubak, P.; Hajduch, M.; Popa, I.; Urban, M. Cytotoxic conjugates of betulinic acid and substituted triazoles prepared by Huisgen Cycloaddition from 30-azidoderivatives. PLoS ONE 2017, 12, e0171621. [Google Scholar] [CrossRef]
- Chrobak, E.; Bębenek, E.; Kadela-Tomanek, M.; Latocha, M.; Jelsch, C.; Wenger, E.; Boryczka, S. Betulin phosphonates; synthesis, structure, and cytotoxic activity. Molecules 2016, 21, 1123. [Google Scholar] [CrossRef]
- Spivak, A.Y.; Keiser, J.; Vargas, M.; Gubaidullin, R.R.; Nedopekina, D.A.; Shakurova, E.R.; Khalitova, R.R.; Odinokov, V.N. Synthesis and activity of new triphenylphosphonium derivatives of betulin and betulinic acid against Schistosoma mansoni in vitro and in vivo. Bioorganic Med. Chem. 2014, 22, 6297–6304. [Google Scholar] [CrossRef]
- Chrobak, E.; Marciniec, K.; Dąbrowska, A.; Pęcak, P.; Bębenek, E.; Kadela-Tomanek, M.; Bak, A.; Jastrzębska, M.; Boryczka, S. New phosphorus analogs of bevirimat: Synthesis, evaluation of anti-HIV-1 activity and molecular docking study. Int. J. Mol. Sci. 2019, 20, 5209. [Google Scholar] [CrossRef]
- Talele, T.T. Acetylene group, friend or foe in medicinal chemistry. J. Med. Chem. 2020, 63, 5625–5663. [Google Scholar] [CrossRef]
- DrugBank. Available online: https://go.drugbank.com/drugs/ (accessed on 15 September 2020).
- Csuk, R.; Barthel, A.; Sczepek, R.; Siewert, B.; Schwarz, S. Synthesis, encapsulation and antitumor activity of new betulin derivatives. Arch. Pharm. Chem. Life Sci. 2011, 1, 37–49. [Google Scholar] [CrossRef]
- Bi, Y.; Xu, J.; Wu, X.; Ye, W.; Yuan, S.; Zhang, L. Synthesis and cytotoxic activity of 17-carboxylic acid modified 23-hydroxy betulinic acid ester derivatives. Bioorganic Med. Chem. Lett. 2007, 17, 1475–1478. [Google Scholar] [CrossRef] [PubMed]
- Yamansarov, E.Y.; Saltykova, I.V.; Kovalev, S.V.; Petrov, R.A.; Shkil’, D.O.; Seleznev, E.I.; Beloglazkina, E.K.; Majouga, A.G. Synthesis and cytotoxicity of new alkyne derivatives of pentacyclic triterpenoids. Russ. Chem. Bull. 2019, 68, 855–861. [Google Scholar] [CrossRef]
- Marciniec, K.; Pawełczak, B.; Latocha, M.; Skrzypek, L.; Maciążek-Jurczyk, M.; Boryczka, S. Synthesis, anti-breast cancer activity, and molecular docking study of a new group of acetylenic quinolinesulfonamide derivatives. Molecules 2017, 22, 300. [Google Scholar] [CrossRef] [PubMed]
- Marciniec, K.; Latocha, M.; Boryczka, S.; Kurczab, R. Synthesis, molecular docking study, and evaluation of the antiproliferative action of a new group of propargylthio- and propargylselenoquinolines. Med. Chem. Res. 2014, 23, 3468–3477. [Google Scholar] [CrossRef]
- Boryczka, S.; Bębenek, E.; Wietrzyk, J.; Kempińska, K.; Jastrzębska, M.; Kusz, J.; Nowak, M. Synthesis, structure and cytotoxic activity of new acetylenic derivatives of betulin. Molecules 2013, 18, 4526–4543. [Google Scholar] [CrossRef] [PubMed]
- Kadela-Tomanek, M.; Jastrzębska, M.; Pawełczak, B.; Bębenek, E.; Chrobak, E.; Latocha, M.; Książek, M.; Kusz, J.; Boryczka, S. Alkynyloxy derivatives of 5,8-quinolinedione: Synthesis, in vitro cytotoxicity studies and computational molecular modeling with NAD(P)H: Quinone oxidoreductase 1. Eur. J. Med. Chem. 2017, 126, 969–982. [Google Scholar] [CrossRef] [PubMed]
- Chrobak, E.; Kadela-Tomanek, M.; Bębenek, E.; Marciniec, K.; Wietrzyk, J.; Trynda, J.; Pawełczak, B.; Kusz, J.; Kasperczyk, J.; Chodurek, E.; et al. New phosphate derivatives of betulin as anticancer agents: Synthesis, crystal structure, and molecular docking study. Bioorganic Chem. 2019, 87, 613–628. [Google Scholar] [CrossRef]
- Evers, M.; Poujade, C.; Soler, F.; Ribeill, Y.; James, C.; Lelièvre, Y.; Gueguen, J.-C.; Reisdorf, D.; Morize, I.; Pauwels, R.; et al. Betulinic acid derivatives: A new class of human immunodeficiency virus type 1 specific inhibitors with a new mode of action. J. Med. Chem. 1996, 39, 1056–1068. [Google Scholar] [CrossRef]
- Lan, P.; Wang, J.; Zhang, D.-M.; Shu, C.; Cao, H.-H.; Sunab, P.; Wu, X.-M.; Ye, W.-C.; Chen, W.-M. Synthesis and antiproliferative evaluation of 23-hydroxybetulinic acid derivatives. Eur. J. Med. Chem. 2011, 46, 2490–2502. [Google Scholar] [CrossRef]
- Wuts, P.G.M.; Greene, T.W. Greene’s Protective Groups in Organic Synthesis; John Wiley & Sons: New Jersey, NJ, USA, 2007; pp. 230–232. [Google Scholar]
- Neises, B.; Steglich, W. Esterification of carboxylic acids with dicyclohexylcarbodiimide/4-Dimethylaminopyridine:tert-butyl ethyl fumarate. Org. Synth. 1985, 63, 183. [Google Scholar] [CrossRef]
- Lin-Vien, D.; Fateley, W.G.; Colthup, N.B.; Grasselli, J.G. The Handbook of Infrared and Raman Characteristic Frequencies of Organic Molecules; Academic Press: Cambridge, MA, USA, 1991. [Google Scholar]
- Socrates, G. Infrared and Raman Characteristic Group Frequencies, 3rd ed.; John Wiley & Sons, LTD.: Hoboken, NJ, USA, 2001. [Google Scholar]
- Csuk, R.; Barthel, A.; Schwarz, S.; Kommera, H.; Paschke, R. Synthesis and biological evaluation of antitumor-active γ-butyrolactone substituted betulin derivatives. Bioorganic Med. Chem. 2010, 18, 2549–2558. [Google Scholar] [CrossRef] [PubMed]
- Bębenek, E.; Jastrzębska, M.; Kadela-Tomanek, M.; Chrobak, E.; Orzechowska, B.; Zwolińska, K.; Latocha, M.; Mertas, A.; Czuba, Z.; Boryczka, S. Novel triazole hybrids of betulin: Synthesis and biological activity profile. Molecules 2017, 22, 1876. [Google Scholar] [CrossRef] [PubMed]
- O’Boyle, N.M.; Greene, L.M.; Keely, N.O.; Wang, S.; Cotter, T.S.; Zisterer, D.M.; Meegan, M.J. Synthesis and biochemical activities of antiproliferative amino acid and phosphate derivatives of microtubule-disrupting β-lactam combretastatins. Eur. J. Med. Chem. 2013, 62, 705–721. [Google Scholar] [CrossRef] [PubMed]
- Hua, H.; Zhang, H.; Qingbin Kong, Q.; Wang, J.; Jiang, Y. Complex roles of the old drug aspirin in cancer chemoprevention and therapy. Med. Res. Rev. 2019, 39, 114–145. [Google Scholar] [CrossRef] [PubMed]
- Pisha, E.; Chai, H.; Lee, I.-S.; Chagwedera, T.E.; Farnsworth, N.R.; Cordell, G.A.; Beecher, C.W.; Fong, H.H.; Kinghorn, A.D.; Brown, D.M.; et al. Discovery of betulinic acid as a selective inhibitor of human melanoma that functions by induction of apoptosis. Nat. Med. 1995, 1, 1046–1051. [Google Scholar] [CrossRef] [PubMed]
- Fulda, S.; Jeremias, I.; Steiner, H.H.; Pietsch, T.; Debatin, K.-M. Betulinic acid: A new cytotoxic agent against malignant brain-tumor cells. Int. J. Cancer 1999, 82, 435–441. [Google Scholar] [CrossRef]
- Prokhorova, E.A.; Zamaraev, A.V.; Kopeina, G.S.; Zhivotovsky, B.; Lavrik, I.N. Role of the nucleus in apoptosis: Signaling and execution. Cell. Mol. Life Sci. 2015, 72, 4593–4612. [Google Scholar] [CrossRef]
- Hemann, M.T.; Lowe, S.W. The p53–Bcl-2 connection. Cell Death Differ. 2006, 13, 1256–1259. [Google Scholar] [CrossRef]
- Polo, S.E.; Almouzni, G. Histone metabolic pathways and chromatin assembly factors as proliferation markers. Cancer Lett. 2005, 220, 1–9. [Google Scholar] [CrossRef]
- Orchel, J.; Slowinski, J.; Mazurek, U.; Wilczok, T. H3 mRNA level as a new proliferative marker in astrocytomas. Biochim Biophys Acta 2004, 1689, 42–46. [Google Scholar] [CrossRef]
- Roos, W.P.; Kaina, B. DNA damage-induced apoptosis: From specific DNA lesions to the DNA damage response and apoptosis. Cancer Lett. 2012, 332, 237–248. [Google Scholar] [CrossRef] [PubMed]
- Yip, K.W.; Reed, J.C. Bcl-2 family proteins and cancer. Oncogene 2008, 27, 6398–6406. [Google Scholar] [CrossRef] [PubMed]
- Pfeffer, C.M.; Singh, A.T.K. Apoptosis: A target for anticancer therapy. Int. J. Mol. Sci. 2018, 19, 448. [Google Scholar] [CrossRef] [PubMed]
- Inglot, T.; Gumieniczek, A.; Komsta, Ł.; Kasińska, A. LC and principal component analysis in the lipophilicity study of seven angiotensin II-AT1 receptor antagonists (sartans). Chromatographia 2008, 68, 977–983. [Google Scholar] [CrossRef]
- Tetko, I.V.; Gasteiger, J.; Todeschini, R.; Mauri, A.; Livingstone, D.; Ertl, P.; Palyulin, V.A.; Radchenko, E.V.; Zefirov, N.S.; Makarenko, A.S.; et al. Virtual computational chemistry laboratory—design and description. J. Comput. Aided Mol. Des. 2005, 19, 453–463. [Google Scholar] [CrossRef]
- Keller, T.H.; Pichota, A.; Yin, Z. A practical view of ‘druggability’. Curr. Opin. Chem. Biol. 2006, 10, 357–361. [Google Scholar] [CrossRef] [PubMed]
- ACD Labs. Available online: https://www.acdlabs.com (accessed on 21 August 2019).
- Schyman, P.; Liu, R.; Desai, V.; Wallqvist, A. vNN web server for ADMET predictions. Front. Pharmacol. 2017, 8, 889. [Google Scholar] [CrossRef]
- Dincela, E.D.; Gürsoya, E.; Yilmaz-Ozdenb, T.; Ulusoy-Güzeldemirci, N. Antioxidant activity of novel imidazo[2,1-b]thiazole derivatives: Design, synthesis, biological evaluation, molecular docking study and in silico ADME prediction. Bioorganic Chem. 2020, 103, 104220. [Google Scholar] [CrossRef]
- Desai, V.; Bhushan, A. Natural bioactive compounds: Alternative approach to the treatment of glioblastoma multiforme Hindawi. BioMed Res. Int. 2017, 2017, 1–10. [Google Scholar] [CrossRef]
- Hanahan, D.; Weinberg, R.A. Hallmarks of cancer: The next generation. Cell 2011, 144, 646–674. [Google Scholar] [CrossRef]
- Louis, D.N.; Ohgaki, H.; Wiestler, O.D.; Cavenee, W.K.; Burger, P.C.; Jouvet, A.; Scheithauer, B.W.; Kleihues, P. The 2007 WHO classification of tumours of the central nervous system. Acta Neuropathol. 2007, 114, 97–109. [Google Scholar] [CrossRef] [PubMed]
- Hanahan, D.; Weinberg, R.A. The hallmarks of cancer. Cell 2000, 100, 57–70. [Google Scholar] [CrossRef]
- Chowdhury, F.A.; Hossain, K.; Mostofa, A.; Akbor, M.M.; Bin Sayeed, M.S. Therapeutic potential of thymoquinone in glioblastoma treatment: Targeting major gliomagenesis signaling pathways. BioMed Res. Int. 2018, 2018, 1–15. [Google Scholar] [CrossRef] [PubMed]
- Cole, J.C.; Nissink, J.W.M.; Taylor, R. Protein-ligand docking and virtual screening with GOLD in virtual screening in drug discovery. In Virtual Screening in Drug Discovery; Shoichet, B., Alvarez, J., Eds.; CRC Press: Boca Raton, FL, USA, 2005. [Google Scholar]
- Jones, G.; Willett, P.; Glen, R.C.; Leach, A.R.; Taylor, R. Development and validation of a genetic algorithm for flexible docking. J. Mol. Biol. 1997, 267, 727–748. [Google Scholar] [CrossRef]
- Jiménez, J.; Škalič, M.; Martínez-Rosell, G.; De Fabritiis, G. KDEEP: Protein–ligand absolute binding affinity prediction via 3D-convolutional neural networks. J. Chem. Inf. Model. 2018, 58, 287–296. [Google Scholar] [CrossRef] [PubMed]
- Abdelatef, S.A.; El-Saadi, M.T.; Amin, N.H.; Abdelazeem, A.H.; Omar, H.A.; Abdellatif, K.R. Design, synthesis and anticancer evaluation of novel spirobenzo[h]chromene and spirochromane derivatives with dual EGFR and B-RAF inhibitory activities. Eur. J. Med. Chem. 2018, 150, 567–578. [Google Scholar] [CrossRef]
- Beveridge, D.L.; DiCapua, F.M. Free Energy Via Molecular Simulation: Applications to Chemical and Biomolecular Systems. Annu. Rev. Biophys. Biophys. Chem. 1989, 18, 431–492. [Google Scholar] [CrossRef]
- Hou, T.; Wang, J.; Li, Y.; Wang, W. Assessing the performance of the molecular mechanics/Poisson Boltzmann surface area and molecular mechanics/generalized Born surface area methods. II. The accuracy of ranking poses generated from docking. J. Comput. Chem. 2011, 32, 866–877. [Google Scholar] [CrossRef]
- Bai, Q.; Tan, S.; Xu, T.; Liu, H.; Huang, J.; Yao, X. MolAICal: A soft tool for 3D drug design of protein targets by artificial intelligence and classical algorithm. Briefings Bioinform. 2020. [Google Scholar] [CrossRef]
- Phillips, J.C.; Hardy, D.J.; Maia, J.D.C.; Stone, J.E.; Ribeiro, J.V.; Bernardi, R.C.; Buch, R.; Fiorin, G.; Hénin, J.; Jiang, W.; et al. Scalable molecular dynamics on CPU and GPU architectures with NAMD. J. Chem. Phys. 2020, 153, 044130. [Google Scholar] [CrossRef]
- Chrobak, E.; Bębenek, E.; Marciniec, K.; Kadela-Tomanek, M.; Siudak, S.; Latocha, M.; Boryczka, S. New 30-substituted derivatives of pentacyclic triterpenes: Preparation, biological activity, and molecular docking study. J. Mol. Struct. 2021, 1226, 129394. [Google Scholar] [CrossRef]
- Sheldrick, G. A short history of SHELX. Acta Crystallogr. Sect. A Found. Crystallogr. 2008, 64, 112–122. [Google Scholar] [CrossRef] [PubMed]
- CrysAlis PRO; Agilent Technologies Ltd: Yarnton, UK, 2014.
- Sheldrick, G.M. Crystal structure refinement with SHELXL. Acta Cryst. 2015, 71, 3–8. [Google Scholar] [CrossRef]
- Bębenek, E.; Bober-Majnusz, K.; Siudak, S.; Chrobak, E.; Kadela-Tomanek, M.; Wietrzyk, J.; Boryczka, S. Application of TLC to Evaluate the Lipophilicity of Newly Synthesized Betulin Derivatives. J. Chromatogr. Sci. 2020, 58, 323–333. [Google Scholar] [CrossRef] [PubMed]
- Frisch, M.J.; Trucks, G.W.; Schlegel, H.B.; Scuseria, G.E.; Robb, M.A.; Cheeseman, J.R.; Scalmani, G.; Barone, V.; Petersson, G.A.; Nakatsuji, H.; et al. Gaussian 16; Revision A. 03; Gaussian Inc.: Wallingford, CT, USA, 2016. [Google Scholar]
- Pettersen, E.F.; Goddard, T.D.; Huang, C.C.; Couch, G.S.; Greenblatt, D.M.; Meng, E.C.; Ferrin, T.E. UCSF Chimera—A visualization system for exploratory research and analysis. J. Comput. Chem. 2004, 25, 1605–1612. [Google Scholar] [CrossRef] [PubMed]
- Dassault Systèmes. BIOVIA Discovery Studio 2020; Dassault Systèmes: San Diego, CA, USA, 2019. [Google Scholar]
- Ribeiro, J.V.; Bernardi, R.C.; Rudack, T.; Stone, J.E.; Phillips, J.C.; Freddolino, P.L.; Schulten, K. QwikMD—integrative molecular dynamics toolkit for novices and experts. Sci. Rep. 2016, 6, 26536. [Google Scholar] [CrossRef] [PubMed]



















| Experimental Spectra (cm−1) | ||||||
|---|---|---|---|---|---|---|
| 5 | 7a | 7c | 10 | 11 | 13 | |
| - | 1719 | 1704 | - | 1715 | 1710 | C=O stretching |
| 1664 | 1652 | 1650 | 1625 | 1627 | 1629 | C=C stretching in allyl/vinyl chains |
| 1465–1450 | 1465–1450 | 1458 | 1465–1450 | 1465–1450 | 1458 | CH3, CH2, CH bending in side chain and cycloalkane ring |
| - | 1350 | 1367 | 1370 | - | 1360 | P=O stretching, CH3, CH2, CH bending in side chain |
| 1324 | 1325 | 1326 | 1325 | 1322 | 1334 | |
| 1284 | 1265 | 1275 | - | - | - | P-O stretching in O=P-O-C moiety |
| - | - | - | 1260 | - | 1261 | P-C stretching in O=P-C=C moiety |
| 1234 | 1235 | 1235 | 1237 | 1234 | 1234 | P=O, CH3, CH2, CH bending in side chain and cycloalkane ring |
| - | 1170 | 1187 | 1170 | 1173 | 1186 s | P-O stretching, CH3, CH2, CH bending and C-C stretching in cycloalkane ring, C-O stretching |
| 1143 | 1141 | 1145 | - | - | 1141 | |
| 1105 | 1097 | 1098 | 1100 | 1100 | 1101 | |
| 1038 | 1036 | 1044 | 1039 | 1039 | 1040 | |
| 921 | 921 | 922 | - | - | - | P-O bending in O=P-O-C moiety |
| - | - | - | 790 | 795 | 792 | P-C bending in O=P-C=C moiety |
| - | 755 | 766 | - | 752 | 752 | O-C=O stretching, CH3, CH2, CH bending in cycloalkane ring |
| 736 | 745 | 732 | 735 | 735 | 735 | CH3, CH2, CH bending in cycloalkane ring |
| 704 | 708 | 707 | 704 | 704 | 707 | CH3, CH2 in side chain, P-O stretching |
| 662 | 665 | 657 | 661 | 661 | 662 | CH3, CH2, CH bending in cycloalkane ring, in side chains, stretching C-C in cycloalkane ring |
| 614 | 618 | 614 | 619 | 618 | 620 | |
| 615 | 595 | - | 593 | 595 | 619 | |
| 560 | 558 | - | 561 | 560 | 560 w | |
| 535 | 535 | 530 | 531 | 530 | 533 s | |
| 460 | 459 | 470 | 560 | 460 | 462 | stretching C-C in cycloalkane ring, C-H bending |
| 414 | 410 | 402 | 414 | 410 | 413 | |
| 388 | 389 | - | 386 | - | - | |
| 232 | 234 | 240 | 233 | - | 236 | OH bending |
| Bond Length C20 = C29 | Raman Spectra | ||||
|---|---|---|---|---|---|
| Experimental Band Frequency (νC=C)exp [cm−1] | Shiftexp (ΔνC=C)exp [cm−1] | Calculated Band Frequency (νC=C)cal [cm−1] | Shiftcal (ΔνC=C)cal [cm−1] | ||
| 5 | 1.326(5) | 1664 | 39 | 1677 | 68 |
| 10 | 1.338(3) | 1625 | 1609 | ||
| 7a | - | 1652 | 25 | - | - |
| 11 | - | 1627 | - | - | |
| 7c | - | 1650 | 21 | - | - |
| 13 | - | 1629 | - | - | |
| Compound | Lengths of Selected Bonds [Å] | ||
|---|---|---|---|
| C20–C29 | C20–C30 | C20–C19 | |
| 30-diethoxyphosphoryloxybetulin 5 | 1.326(5) | 1.490(5) | 1.503(5) |
| 28-cyclopropylpropynoyl- 29-diethoxyphosphorylbetulin 13 [7] | 1.338(3) | 1.515(3) | 1.514(3) |
| Compound | Human Cell Line/IC50 ± SD [µM] | ||||
|---|---|---|---|---|---|
| C-32 | SNB-19 | T47D | MDA-MB-231 | ||
| 30-phosphate derivatives | 4 | 33.86 ± 1.59 | 5.01 ± 0.78 | 1.3 ± 0.13 | 14.48 ± 1.37 |
| 5 | 43.46 ± 2.50 | 10.93 ± 1.33 | 1.04 ± 0.14 | 0.40 ± 0.02 | |
| 6a | --- | --- | 9.50 ± 0.74 | - | |
| 7a | 2.15 ± 0.22 | 0.91±0.09 | 2.61 ± 0.42 | 6.20 ± 0.22 | |
| 6b | NA | 4.65 ± 0.51 | NA | 21.18 ± 1.24 | |
| 7b | 0.80 ± 0.03 | 0.76 ± 0.14 | 15.40 ± 0.51 | 4.93 ± 0.44 | |
| 6c | NA | NA | NA | NA | |
| 7c | 11.90 ± 0.52 | 6.29 ± 0.12 | NA | 9.11 ± 0.39 | |
| 6d | 31.46 ± 1.56 | 11.22 ± 0.28 | NA | NA | |
| 7d | 6.90 ± 0.40 | 4.38 ± 0.04 | 9.47 ± 0.03 | NA | |
| 6e | 11.43 ± 0.76 | 9.23 ± 0.57 | NA | --- | |
| 7e | 3.97 ± 0.86 | 1.59 ± 0.09 | NA | --- | |
| 29-phosphonate derivatives | 10 * | 8.80 ± 0.17 | 10.20 ± 0.69 | 10.71 ± 0.86 | --- |
| 11 * | 0.60 ± 0.08 | 0.43 ± 0.14 | 0.70 ± 0.13 | --- | |
| 12 * | 7.70 ± 0.11 | 11.67 ± 0.44 | 14.94 ± 0.90 | --- | |
| 13 * | 6.99±1.07 | --- | 12.2±0.84 | --- | |
| 14 * | 9.00 ± 0.53 | --- | NA | --- | |
| Betulin | 15.61 ± 1.11 | 9.93 ± 0.25 | NA | 7.76 ± 1.87 | |
| Cisplatin | 4.29 ± 0.65 | 5.29 ± 0.12 | 6.26 ± 1.24 | 5.47 ± 0.05 | |

| R | 30-OP(O)(OC2H5)2 | 29-P(O)(OC2H5)2 * | 30-P(O)(OC2H5)2 * | H | ||||
|---|---|---|---|---|---|---|---|---|
| R1 | O= Comp. 8 | OH Comp. 9 | O= | OH | CH3C(O)O | OH | OH | |
| IC50[µM] | C-32 | 45.74 ± 6.85 | NA | 45.52 ± 3.72 | 47.46 ± 2.96 | 30.74 ± 2.17 | NA | 8.63 ± 0.90 |
| SNB-19 | 45.75 ± 5.27 | 5.98 ± 0.43 | 1.64 ± 0.18 | 7.67 ± 1.57 | 1.29 ± 0.15 | NA | 20.09 ± 1.26 | |
| Compound | RM0 | -b | r | logPTLC |
|---|---|---|---|---|
| 3 | 5.655 | 0.064 | 0.997 | 7.362 |
| 4 | 5.740 | 0.064 | 0.998 | 7.470 |
| 5 | 3.719 | 0.046 | 0.984 | 4.914 |
| 6a | 6.893 | 0.080 | 0.977 | 8.929 |
| 7a | 5.318 | 0.062 | 0.988 | 6.937 |
| 6b | 6.884 | 0.078 | 0.994 | 8.917 |
| 7b | 5.431 | 0.063 | 0.994 | 7.079 |
| 6c | 6.419 | 0.071 | 0.998 | 8.330 |
| 7c | 5.587 | 0.064 | 0.985 | 7.277 |
| 6d | 7.877 | 0.086 | 0.998 | 10.174 |
| 7d | 6.145 | 0.070 | 0.992 | 7.982 |
| 6e | 6.490 | 0.076 | 0.994 | 8.419 |
| 7e | 5.302 | 0.063 | 0.993 | 6.916 |
| Compounds | Cell Line | Equation | r |
|---|---|---|---|
| 7a–7e | C-32 | IC50 = −21.887LogP2 + 331.21LogP—1242.1 (A) | 0.720 |
| 7a–7e | SNB-19 | IC50 = −12.262LogP2 + 186.35LogP—701.71 (B) | 0.826 |
| Compound | M | logBB | nHBD | nHBA | nROTB | tPSA |
|---|---|---|---|---|---|---|
| 3 | 542.80 | 0.07 | 1 | 5 | 7 | 72.83 |
| 4 | 678.89 | −0.55 | 0 | 8 | 13 | 107.17 |
| 5 | 594.81 | −0.32 | 2 | 6 | 9 | 95.03 |
| 6a | 698.88 | −1.70 | 0 | 8 | 15 | 107.17 |
| 7a | 646.85 | −0.85 | 1 | 7 | 12 | 101.10 |
| 6b | 726.93 | −1.40 | 0 | 8 | 15 | 107.17 |
| 7b | 660.87 | −0.79 | 1 | 7 | 12 | 101.10 |
| 6c | 779.01 | −1.70 | 0 | 7 | 17 | 90.10 |
| 7c | 686.91 | −0.85 | 1 | 7 | 13 | 101.10 |
| 6d | 851.07 | −2.00 | 0 | 7 | 17 | 90.10 |
| 7d | 722.94 | −1.40 | 1 | 7 | 13 | 101.10 |
| 6e | 758.93 | −1.70 | 0 | 10 | 19 | 125.63 |
| 7e | 676.87 | −0.85 | 1 | 8 | 14 | 110.33 |
| Compound | GOLD [a.u.] | KDEEP ΔG [kcal/mol] |
|---|---|---|
| 7a | 30.87 | −10.29 |
| 7b | 31.33 | −11.48 |
| erlotinib | 31.06 | −9.63 (−8.93 *) |
| Compound | ΔE(internal) | ΔE(electrostatic) + ΔG(sol) | ΔE(VDW) + ΔG(sol) | ΔG(bind) |
|---|---|---|---|---|
| 7a | −4.96 | 20.25 | −61.82 | −46.53 |
| 7b | −5.91 | 24.88 | −62.48 | −43.51 |
| erlotinib | −7.40 | 11.80 | −35.18 | −23.38 |
Publisher’s Note: MDPI stays neutral with regard to jurisdictional claims in published maps and institutional affiliations. |
© 2021 by the authors. Licensee MDPI, Basel, Switzerland. This article is an open access article distributed under the terms and conditions of the Creative Commons Attribution (CC BY) license (http://creativecommons.org/licenses/by/4.0/).
Share and Cite
Chrobak, E.; Jastrzębska, M.; Bębenek, E.; Kadela-Tomanek, M.; Marciniec, K.; Latocha, M.; Wrzalik, R.; Kusz, J.; Boryczka, S. Molecular Structure, In Vitro Anticancer Study and Molecular Docking of New Phosphate Derivatives of Betulin. Molecules 2021, 26, 737. https://doi.org/10.3390/molecules26030737
Chrobak E, Jastrzębska M, Bębenek E, Kadela-Tomanek M, Marciniec K, Latocha M, Wrzalik R, Kusz J, Boryczka S. Molecular Structure, In Vitro Anticancer Study and Molecular Docking of New Phosphate Derivatives of Betulin. Molecules. 2021; 26(3):737. https://doi.org/10.3390/molecules26030737
Chicago/Turabian StyleChrobak, Elwira, Maria Jastrzębska, Ewa Bębenek, Monika Kadela-Tomanek, Krzysztof Marciniec, Małgorzata Latocha, Roman Wrzalik, Joachim Kusz, and Stanisław Boryczka. 2021. "Molecular Structure, In Vitro Anticancer Study and Molecular Docking of New Phosphate Derivatives of Betulin" Molecules 26, no. 3: 737. https://doi.org/10.3390/molecules26030737
APA StyleChrobak, E., Jastrzębska, M., Bębenek, E., Kadela-Tomanek, M., Marciniec, K., Latocha, M., Wrzalik, R., Kusz, J., & Boryczka, S. (2021). Molecular Structure, In Vitro Anticancer Study and Molecular Docking of New Phosphate Derivatives of Betulin. Molecules, 26(3), 737. https://doi.org/10.3390/molecules26030737

