Screening, Optimization, and Bioavailability Research of Natural Deep Eutectic Solvent Extracts from Radix Pueraria
Abstract
1. Introduction
2. Results
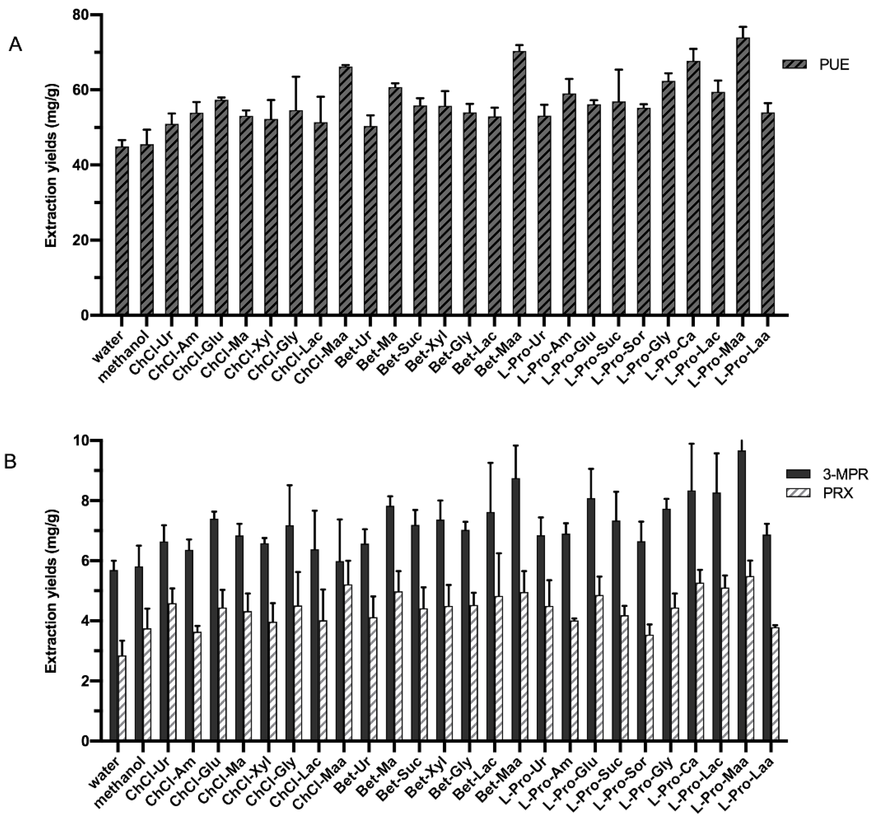
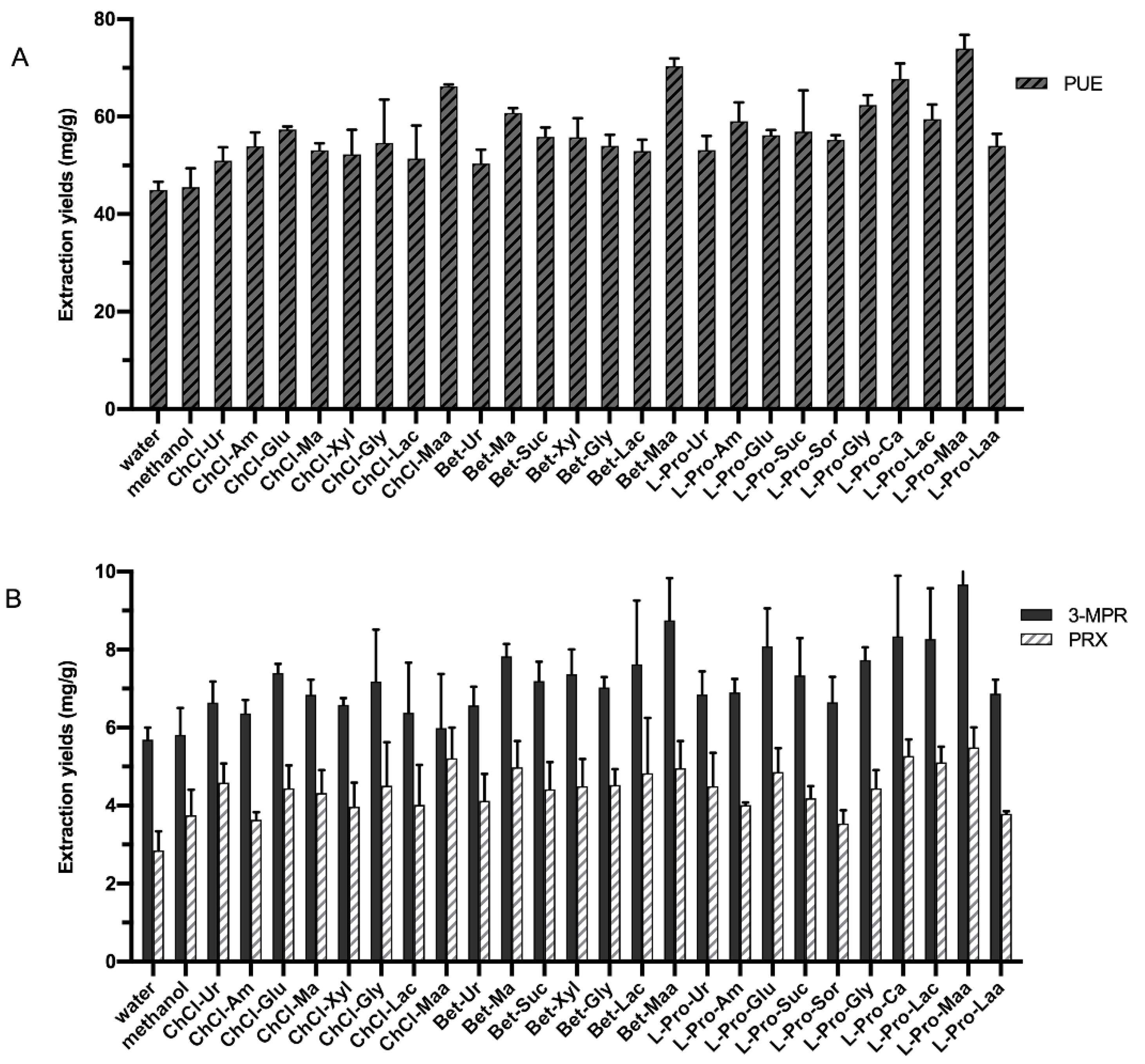
2.1. Screening of NaDESs for the Extraction of PUE, 3-MPR and PRX
2.2. Optimization of the Extraction Factors
2.3. HPLC-MS/MS Method Validation
2.3.1. Specificity
2.3.2. Linearity
2.3.3. Precision and Accuracy
2.3.4. Recovery and Matrix Effect
2.4. Pharmacokinetic Analysis
3. Discussion
4. Materials and Methods
4.1. Chemicals
4.2. Animals
4.3. Preparation of RP Extracts
4.4. HPLC Analysis of RP Extracts
4.5. Establishment of HPLC-MS Method for Plasma Analysis
4.6. Validation of HPLC-MS Method for Plasma Analysis
4.7. Pharmacokinetic Study
Supplementary Materials
Author Contributions
Funding
Institutional Review Board Statement
Informed Consent Statement
Data Availability Statement
Conflicts of Interest
References
- Paiva, A.; Craveiro, R.; Aroso, I.; Martins, M.; Reis, R.L.; Duarte, A.R.C. Natural deep eutectic solvents—Solvents for the 21st century. ACS Sustain. Chem. Eng. 2014, 2, 1063–1071. [Google Scholar] [CrossRef]
- Choi, Y.H.; van Spronsen, J.; Dai, Y.; Verberne, M.; Hollmann, F.; Arends, I.W.C.E.; Witkamp, G.J.; Verpoorte, R. Are natural deep eutectic solvents the missing link in understanding cellular metabolism and physiology? Plant. Physiol. 2011, 156, 1701–1705. [Google Scholar] [CrossRef] [PubMed]
- Dai, Y.; Rozema, E.; Verpoorte, R.; Choi, Y.H. Application of natural deep eutectic solvents to the extraction of anthocyanins from Catharanthus roseus with high extractability and stability replacing conventional organic solvents. J. Chromatogr. A 2016, 1434, 50–56. [Google Scholar] [CrossRef] [PubMed]
- Radošević, K.; Cvjetko Bubalo, M.; Gaurina Srček, V.; Grgas, D.; Landeka Dragičević, T.; Redovniković, R.I. Evaluation of toxicity and biodegradability of choline chloride based deep eutectic solvents. Ecotoxicol. Environ. Saf. 2015, 112, 46–53. [Google Scholar] [CrossRef] [PubMed]
- Dai, Y.; van Spronsen, J.; Witkamp, G.J.; Verpoorte, R.; Choi, Y.H. Natural deep eutectic solvents as new potential media for green technology. Anal. Chim. Acta 2013, 766, 61–68. [Google Scholar] [CrossRef] [PubMed]
- Fernández, M.d.l.Á.; Boiteux, J.; Espino, M.; Gomez, F.J.V.; Silva, M.F. Natural deep eutectic solvents-mediated extractions: The way forward for sustainable analytical developments. Anal. Chim. Acta 2018, 1038, 1–10. [Google Scholar] [CrossRef]
- Satlewal, A.; Agrawal, R.; Bhagia, S.; Sangoro, J.; Ragauskas, A.J. Natural deep eutectic solvents for lignocellulosic biomass pretreatment: Recent developments, challenges and novel opportunities. Biotechnol. Adv. 2018, 36, 2032–2050. [Google Scholar] [CrossRef]
- Oomen, W.W.; Begines, P.; Mustafa, N.R.; Wilson, E.G.; Verpoorte, R.; Choi, Y.H. Natural Deep Eutectic Solvent Extraction of Flavonoids of Scutellaria baicalensis as a Replacement for Conventional Organic Solvents. Molecules 2020, 25, 617. [Google Scholar] [CrossRef]
- Bonacci, S.; Di Gioia, M.L.; Costanzo, P.; Maiuolo, L.; Tallarico, S.; Nardi, M. Natural deep eutectic solvent as extraction media for the main phenolic compounds from olive oil processing wastes. Antioxidants 2020, 9, 513. [Google Scholar] [CrossRef]
- Cunha, S.C.; Fernandes, J.O. Extraction techniques with deep eutectic solvents. Trends Anal. Chem. 2018, 105, 225–239. [Google Scholar] [CrossRef]
- Wang, D.; Zheng, P.; Chen, P.; Wu, D. Highly Efficient Enzymatic Conversion of Rutin to Isoquercitrin and l -Rhamnose Using Deep Eutectic Solvents. ACS Sustain. Chem. Eng. 2020, 8, 14905–14913. [Google Scholar] [CrossRef]
- Tong, X.; Yang, J.; Zhao, Y.; Wan, H.; He, Y.; Zhang, L.; Wan, H.; Li, C. Greener Extraction Process and Enhanced in Vivo Bioavailability of Bioactive Components from Carthamus tinctorius L. by Natural Deep Eutectic Solvents. Food Chem. 2021, 348, 129090. [Google Scholar] [CrossRef]
- Song, W.; Ye, M. Chemistry of the Chinese herbal medicine Puerariae Radix (Ge-Gen): A review. J. Chinese Pharm. Sci. 2014, 23, 347–360. [Google Scholar] [CrossRef]
- Zhao, J.; Luo, D.; Liang, Z.; Lao, L.; Rong, J. Plant Natural Product Puerarin Ameliorates Depressive Behaviors and Chronic Pain in Mice with Spared Nerve Injury (SNI). Mol. Neurobiol. 2017, 54, 2801–2812. [Google Scholar] [CrossRef]
- Wong, K.H.; Li, G.Q.; Li, K.M.; Razmovski-Naumovski, V.; Chan, K. Kudzu root: Traditional uses and potential medicinal benefits in diabetes and cardiovascular diseases. J. Ethnopharmacol. 2011, 134, 584–607. [Google Scholar] [CrossRef]
- Chen, R.; Wu, P.; Cai, Z.; Fang, Y.; Zhou, H.; Lasanajak, Y.; Tang, L.; Ye, L.; Hou, C.; Zhao, J. Puerariae Lobatae Radix with Chuanxiong Rhizoma for treatment of cerebral ischemic stroke by remodeling gut microbiota to regulate the brain–gut barriers of dietary capsaicin against chronic low-grade inflammation. J. Nutr. Biochem. 2019, 65, 101–114. [Google Scholar] [CrossRef]
- Chen, X.F.; Wang, L.; Wu, Y.Z.; Song, S.Y.; Min, H.Y.; Yang, Y.; He, X.; Liang, Q.; Yi, L.; Wang, Y.; et al. Effect of puerarin in promoting fatty acid oxidation by increasing mitochondrial oxidative capacity and biogenesis in skeletal muscle in diabetic rats. Nutr. Diabetes 2018, 8, 1–13. [Google Scholar] [CrossRef]
- Tao, Z.; Ge, Y.; Zhou, N.; Wang, Y.; Cheng, W.; Yang, Z. Puerarin inhibits cardiac fibrosis via monocyte chemoattractant protein (MCP)-1 and the transforming growth factor-β1 (TGF-β1) pathway in myocardial infarction mice. Am. J. Transl. Res. 2016, 8, 4425–4433. [Google Scholar]
- Chen, X.; Li, R.; Liang, T.; Zhang, K.; Gao, Y.; Xu, L. Puerarin improves metabolic function leading to hepatoprotective effects in chronic alcohol-induced liver injury in rats. Phytomedicine 2013, 20, 849–852. [Google Scholar] [CrossRef]
- Li, L.; Liu, J.D.; Gao, G.D.; Zhang, K.; Song, Y.W.; Li, H.B. Puerarin 6″-O-xyloside suppressed HCC via regulating proliferation, stemness, and apoptosis with inhibited PI3K/AKT/mTOR. Cancer Med. 2020, 9, 6399–6410. [Google Scholar] [CrossRef]
- Zhao, T.; Han, J.; Chen, Y.; Wan, H.; Bie, X. The mechanism of 3-methoxy puerarin on decreasing the cerebral ischemia-reperfusion injury in rats. Asia Pac. J. Clin. Nutr. 2007, 16, 302–304. [Google Scholar] [PubMed]
- Yi, T.; Tang, D.; Wang, F.; Zhang, J.; Zhang, J.; Wang, J.; Xu, X.; Zhang, J. Enhancing both oral bioavailability and brain penetration of puerarin using borneol in combination with preparation technologies. Drug Deliv. 2017, 24, 422–429. [Google Scholar] [CrossRef] [PubMed]
- Zhang, J.; Zhang, J.; Wang, S.; Yi, T. Development of an oral compound pickering emulsion composed of nanocrystals of poorly soluble ingredient and volatile oils from traditional chinese medicine. Pharmaceutics 2018, 10, 170. [Google Scholar] [CrossRef] [PubMed]
- Qiao, J.; Ji, D.; Sun, S.; Zhang, G.; Liu, X.; Sun, B.; Guan, Q. Oral bioavailability and lymphatic transport of pueraria flavone-loaded self-emulsifying drug-delivery systems containing sodium taurocholate in rats. Pharmaceutics 2018, 10, 147. [Google Scholar] [CrossRef] [PubMed]
- Sut, S.; Faggian, M.; Baldan, V.; Poloniato, G.; Castagliuolo, I.; Grabnar, I.; Perissutti, B.; Brun, P.; Maggi, F.; Voinovich, D.; et al. Natural Deep Eutectic Solvents (NADES) to enhance berberine absorption: An in vivo pharmacokinetic study. Molecules 2017, 22, 1921. [Google Scholar] [CrossRef]
- He, X.; Yang, J.; Huang, Y.; Zhang, Y.; Wan, H.; Li, C. Green and effcient ultrasonic-assisted extraction of bioactive components from Salvia miltiorrhiza by natural deep eutectic solvents. Molecules 2020, 25, 140. [Google Scholar] [CrossRef]
- Zhang, H.; Hu, X.; Qiao, M.; Li, Y.; Cao, S.; Ding, L.; Feng, X.; Kang, N.; Zhang, D.; Qiu, F. Simultaneous determination of five isoflavones in rat plasma by LC-MS/MS: Comparative pharmacokinetic characteristics of Puerariae lobatae radix in normal and type 2 diabetic rats. J. Sep. Sci. 2019, 42, 2592–2601. [Google Scholar] [CrossRef]
Simple Availability: Samples of the compounds are no longer available from the authors. |





| Analytes | Concentration (mg/L) | Measured (mg/L) | Intra-Day | Inter-Day | ||
|---|---|---|---|---|---|---|
| RSD (%) | RE (%) | RSD (%) | RE (%) | |||
| PUE | 0.1 | 0.1 ± 0.0 | 9.9 | 13.2 | 8.0 | 5.3 |
| 1 | 0.9 ± 0.1 | 7.8 | −11.2 | 14.1 | −1.0 | |
| 10 | 10.0 ± 1.3 | 12.7 | 5.5 | 13.9 | 9.8 | |
| Analytes | Nominal Concentration (mg/L) | Matrix Effect (%) | Recovery (%) |
|---|---|---|---|
| PUE | 0.1 | 103.2 ± 3.7 | 106.9 ± 7.4 |
| 1 | 106.3 ± 4.8 | 91.9 ± 4.6 | |
| 10 | 107.3 ± 7.7 | 97.4 ± 9.3 |
| Parameters | PUE | ||
|---|---|---|---|
| Water | Bet-Maa | L-Pro-Maa | |
| Tmax (h) | 0.5 | 0.25 | 0.25 |
| Cmax (mg/L) | 2.248 ± 0.552 | 4.757 ± 0.854 * | 7.267 ± 0.432 * |
| T1/2z (h) | 6.146 ± 1.621 | 5.143 ± 0.817 | 7.281 ± 3.934 |
| AUC(0–t) (mg/L × h) | 2.623 ± 0.642 | 7.453 ± 1.267 * | 11.869 ± 2.181 * |
| AUC (0–∞) (mg/L × h) | 3.243 ± 0.742 | 9.483 ± 1.897 | 16.48 ± 5.714 * |
| MRT(0–t) (h) | 2.681 ± 0.047 | 3.122 ± 0.163 | 2.405 ± 0.689 |
| Fr (%) | 100 | 212 | 323 |
Publisher’s Note: MDPI stays neutral with regard to jurisdictional claims in published maps and institutional affiliations. |
© 2021 by the authors. Licensee MDPI, Basel, Switzerland. This article is an open access article distributed under the terms and conditions of the Creative Commons Attribution (CC BY) license (http://creativecommons.org/licenses/by/4.0/).
Share and Cite
Huang, Y.; Yang, J.; Zhao, Y.; Yu, L.; He, Y.; Wan, H.; Li, C. Screening, Optimization, and Bioavailability Research of Natural Deep Eutectic Solvent Extracts from Radix Pueraria. Molecules 2021, 26, 729. https://doi.org/10.3390/molecules26030729
Huang Y, Yang J, Zhao Y, Yu L, He Y, Wan H, Li C. Screening, Optimization, and Bioavailability Research of Natural Deep Eutectic Solvent Extracts from Radix Pueraria. Molecules. 2021; 26(3):729. https://doi.org/10.3390/molecules26030729
Chicago/Turabian StyleHuang, Yan, Jiehong Yang, Yu Zhao, Li Yu, Yu He, Haitong Wan, and Chang Li. 2021. "Screening, Optimization, and Bioavailability Research of Natural Deep Eutectic Solvent Extracts from Radix Pueraria" Molecules 26, no. 3: 729. https://doi.org/10.3390/molecules26030729
APA StyleHuang, Y., Yang, J., Zhao, Y., Yu, L., He, Y., Wan, H., & Li, C. (2021). Screening, Optimization, and Bioavailability Research of Natural Deep Eutectic Solvent Extracts from Radix Pueraria. Molecules, 26(3), 729. https://doi.org/10.3390/molecules26030729

