Novel Cellulose Derivatives Containing Metal (Cu, Fe, Ni) Oxide Nanoparticles as Eco-Friendly Corrosion Inhibitors for C-Steel in Acidic Chloride Solutions
Abstract
:1. Introduction
2. Experimental Procedures
2.1. Materials
2.2. Synthesis of Primary Amine (PA)
2.3. Synthesis of Cellulose Containing Primary Amino Group (PAC)
2.4. Synthesis of PAC/MONPs Nanocomposites
2.5. Physicochemical Characterization
2.6. Corrosion Measurements and Experimental Setup
2.7. Surface Topology Investigations
3. Results and Discussion
3.1. Characterizations of PAC/MONPs Nanocomposites
3.1.1. FTIR
3.1.2. XRD
3.1.3. FE-SEM and EDX
3.1.4. TEM and SAED Analyses
3.2. Corrosion Protection Measurements
3.2.1. Weight-Loss Investigations and Influence of Temperature
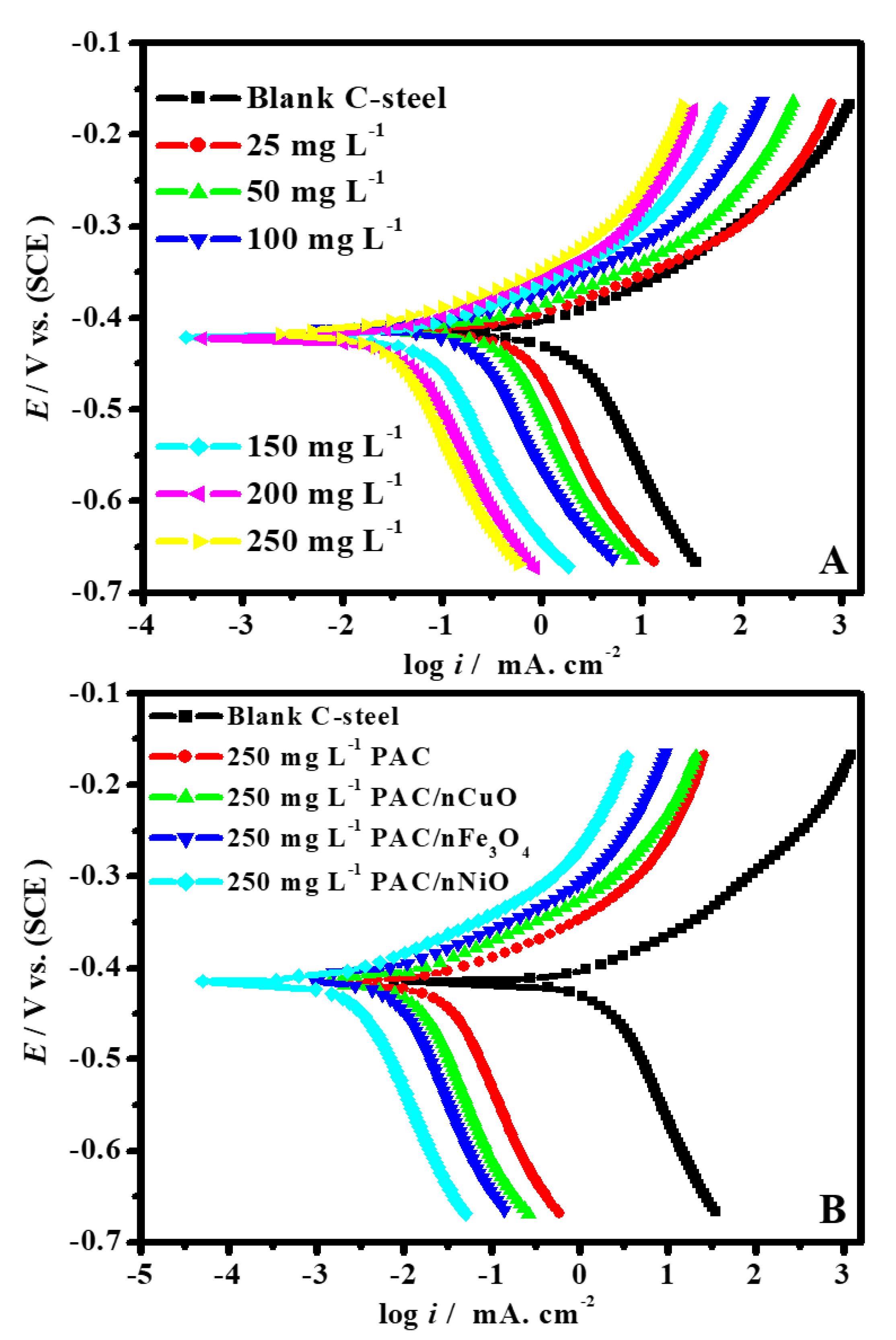
3.2.2. Potentiodynamic Polarization Study (PDP)
3.2.3. EIS Studies
3.3. Adsorption Consedrations
3.4. Comparative Study with Some Reported Inhibitors
3.5. Surface Morphology
3.5.1. FE-SEM and EDX Analysis
3.5.2. FI-TR Analysis
3.6. The Corrosion Mitigation Mechanism by Primary Aminated Modified Cellulose (PAC) Containing Nano-Oxide of Some Metals (MONPs)
4. Conclusions
Author Contributions
Funding
Institutional Review Board Statement
Informed Consent Statement
Data Availability Statement
Acknowledgments
Conflicts of Interest
References
- Finšgar, M.; Jackson, J. Application of corrosion inhibitors for steels in acidic media for the oil and gas industry: A review. Corros. Sci. 2014, 86, 17–41. [Google Scholar] [CrossRef] [Green Version]
- Jadhav, R.S.; Hundiwale, D.G.; Mahulikar, P.P. Synthesis of nano polyaniline and poly-o-anisidine and applications in alkyd paint formulation to enhance the corrosion resistivity of mild steel. J. Coat. Technol. Res. 2010, 7, 449–454. [Google Scholar] [CrossRef]
- Sayed, R.A.; Abd El-lateef, H.M.; Mohamad, A.D.M. Polyhydrazide Incorporated with Thiadiazole Moiety as Novel and Effective Corrosion Inhibitor for C-Steel in Pickling Solutions of HCl and H2SO4. Macromol. Res. 2018, 26, 882–891. [Google Scholar] [CrossRef]
- Abd El-lateef, H.M.; Albokheet, W.A.; Gouda, M. Carboxymethyl cellulose/metal (Fe, Cu and Ni) nanocomposites as non-precious inhibitors of C-steel corrosion in HCl solutions: Synthesis, characterization, electrochemical and surface morphology studies. Cellulose 2020, 27, 8039–8057. [Google Scholar] [CrossRef]
- Umoren, S.A.; Ogbobe, O.; Igwe, I.O.; Ebenso, E.E. Inhibition of mild steel corrosion in acidic medium using synthetic and naturally occurring polymers and synergistic halide additives. Corros. Sci. 2008, 50, 1998–2006. [Google Scholar] [CrossRef]
- Abd El-lateef, H.M.; Alnajjar, A.O. Enhanced the protection capacity of poly(o-toluidine) by synergism with zinc or lanthanum additives at C-steel/HCl interface: A combined DFT, molecular dynamic simulations and experimental methods. J. Mol. Liq. 2020, 303, 112641. [Google Scholar] [CrossRef]
- Bayol, E.; Gürten, A.A.; Dursun, M.; Kayakirilmaz, K. Adsorption behavior and inhibition corrosion effect of sodium carboxymethyl cellulose on mild steel in acidic medium. Acta Phys.-Chim. Sin. 2008, 24, 2236–2243. [Google Scholar] [CrossRef]
- Abd EL-lateef, H.M.; Elrouby, M. Synergistic inhibition effect of poly(ethylene glycol) and cetyltrimethylammonium bromide on corrosion of Zn and Zn—Ni alloys for alkaline batterie. Trans. Nonferrous Met. Soc. China 2020, 30, 259–274. [Google Scholar] [CrossRef]
- Umoren, S.A.; Solomon, M.M.; Udosoro, I.I.; Udoh, A.P. Synergistic and antagonistic effects between halide ions and carboxymethyl cellulose for the corrosion inhibition of mild steel in sulphuric acid solution. Cellulose 2010, 17, 635–648. [Google Scholar] [CrossRef]
- Al-Shihry, S.S.; Sayed, A.R.; Abd El-lateef, H.M. Design and assessment of a novel poly (urethane-semicarbazides) containing thiadiazoles on the backbone of the polymers as inhibitors for steel pipelines corrosion in CO2-saturated oilfield water. J. Mol. Struct. 2020, 1201, 127223. [Google Scholar] [CrossRef]
- Rahim, A.A.; Rocca, E.; Steinmetz, E.J. Inhibitive action of mangrove tannins and phosporic acid on pre-rusted steel via electrochemical methods. Corros. Sci. 2008, 50, 1546–1550. [Google Scholar] [CrossRef]
- Raja, P.B.; Fadaeinasab, M.; Quresi, A.K. Evaluation of green corrosion inhibition by alkaloid extracts of Ochrosia oppositifolia and Isoreserpiline against mild steel in 1 M HCl medium. Ind. Eng. Chem. Res. 2013, 52, 10582–10593. [Google Scholar] [CrossRef]
- Rajendran, S.; Sridevi, S.P.; Anthony, N.; Amalraj, A.J.; Sundaravadivelu, M. Corrosion behaviour of carbon steel in polyvinyl alcohol. Anti-Corros. Methods Mater. 2005, 52, 102–107. [Google Scholar] [CrossRef]
- Abd El-Lateef, H.M.; Shalabi, K.; Sayed, A.R.; Gomha, S.M.; Bakir, E.M. The novel polythiadiazole polymer and its composite witha-Al(OH)3 as inhibitors for steel alloy corrosion in molar H2SO4: Experimental and computational evaluations. J. Ind. Engin. Chem. 2022, 105, 238–250. [Google Scholar] [CrossRef]
- Shukla, R.K.; Tiwari, A. Carbohydrate polymers: Applications and recent advances in delivering drugs to the colon. Carbohydr. Polym. 2012, 88, 399–416. [Google Scholar] [CrossRef]
- Dai, H.; Huang, Y.; Huang, H. Eco-friendly polyvinyl alcohol/carboxymethyl cellulose hydrogels reinforced with graphene oxide and bentonite for enhanced adsorption of methylene blue. Carbohydr. Polym. 2018, 185, 1–11. [Google Scholar] [CrossRef]
- Mu, J.; Zhou, H.; Chen, Y. Revealing a novel bioflocculants resource from Ruditapes philllippinarum: Effective polysaccharides and synergistic flocculation. Carbohydr. Polym. 2018, 16, 17–24. [Google Scholar] [CrossRef]
- Unuabonah, E.I.; Adewuyi, A.; Kolawole, M.O. Disinfection of water with new chitosan-modified hybrid clay composites adsorbents. Heliyon 2017, 3, e00379. [Google Scholar] [CrossRef] [Green Version]
- Fattah, M.A.; Hasan, A.M.A.; Keshawy, M. Nanocrystalline cellulose as an eco-friendly reinforcing additive to polyurethane coating for augmented anticorrosive behavior. Carbohydr. Polym. 2018, 183, 311–318. [Google Scholar] [CrossRef]
- Sadjadi, S.; Heravi, M.M.; Malmir, M. Pd@HNTs-CDNS-g-C3N4: A novel heterogeneous catalyst for promoting ligand and copper-free Sonogashira and Heck coupling reactions, benefits from halloysite and cyclodextrin chemistry and g-C3N4 contribution to suppress Pd leaching. Carbohydr. Polym. 2018, 186, 25–34. [Google Scholar] [CrossRef]
- Pettignano, A.; Charlot, A.; Fleury, E. Solvent-Free Synthesis of Amidated Carboxymethyl Cellulose Derivatives: Effect on the Thermal Properties. Polymers 2019, 11, 1227. [Google Scholar] [CrossRef] [PubMed] [Green Version]
- Shi, S.C. Electrochemical Properties of Biopolymers in Strong Acid and Application in Displacement Sensor. Sens. Mater. 2019, 31, 1599–1608. [Google Scholar] [CrossRef]
- Deng, S.; Li, X.; Xie, X. Hydroxymethyl urea and 1,3-bis(hydroxymethyl) urea as corrosion inhibitors for steel in HCl solution. Corros. Sci. 2014, 80, 276–289. [Google Scholar] [CrossRef]
- Ashassi-Sorkhabi, H.; Kazempou, A. Chitosan, its derivatives and composites with superior potentials for the corrosion protection of steel alloys: A comprehensive review. Carbohydr. Polym. 2020, 237, 116110. [Google Scholar] [CrossRef] [PubMed]
- El-Haddad, M.N. Chitosan as a green inhibitor for copper corrosion in acidic medium. Int. J. Biol. Macromol. 2013, 55, 142–149. [Google Scholar] [CrossRef]
- Waanders, F.B.; Vorster, S.W.; Geldenhuys, A.J. Biopolymer corrosion inhibition of mild steel: Electrochemical/mössbauer results. Hyperfine Interact. 2002, 139, 133–139. [Google Scholar] [CrossRef]
- Fekry, A.M.; Mohamed, R.R. Acetyl thiourea chitosan as an eco-friendly inhibitor for mild steel in sulphuric acid medium. Electrochim. Acta 2010, 55, 1933–1939. [Google Scholar] [CrossRef]
- Cheng, S.; Chen, S.; Liu, T.; Chang, X.; Yin, Y. Carboxymenthylchitosan as an ecofriendly inhibitor for mild steel in 1 M HCl. Mater. Lett. 2007, 61, 3276–3280. [Google Scholar] [CrossRef]
- Baoa, Q.; Zhanga, D.; Wan, Y. 2-Mercaptobenzothiazole doped chitosan/11- alkanethiolate acid composite coating: Dual function for copper protection. Appl. Surf. Sci. 2011, 257, 10529–10534. [Google Scholar] [CrossRef]
- Sathiyanarayanan, S.; Balakrishnan, K.; Dhawan, S.K.; Trivedi, D.C. Prevention of corrosion of iron in acidic media using poly (o-methoxy-aniline). Electrochim. Acta 1994, 39, 831–837. [Google Scholar] [CrossRef]
- El-Sayed, A. A study of the inhibiting action of some polymers on the corrosion of iron in acidic media. Corros. Prev. Control 1996, 43, 27–34. [Google Scholar]
- Ashassi-Sorkhabi, H.; Ghalebsaz-Jeddi, N. Inhibition effect of polyethylene glycol on the corrosion of carbon steel in sulphuric acid. Mater. Chem. Phys. 2005, 92, 480–486. [Google Scholar] [CrossRef]
- WHO Food Additives and Contaminants; Food Additives series 40; WHO: Genev, Switzerland, 1998.
- Arukalam, I.O. The inhibitive effect of hydroxyethylcellulose on mild steel corrosion in hydrochloric acid solution. Acad. Res. Int. 2012, 2, 35–42. [Google Scholar]
- Farguez, P.; Avilés, F.; Oliva, A.I. Mechanical properties of gold nanometric films onto a polymeric substrate. Surf. Coat. Technol. 2008, 202, 1556–1563. [Google Scholar] [CrossRef]
- Sabzi, M.; Mirabedini, S.M.; Zohuriaan-Mehr, J.; Atai, M. Surface modification of TiO2 nano-particles with silane coupling agent and investigation of its effect on the properties of polyurethane composite coating. Prog. Org. Coat. 2009, 65, 222–228. [Google Scholar] [CrossRef]
- Yiu-Wing, M.; Zhong-Zhen, Y. Polymer Nanocomposites; Wood head Publishing Limited: Cambridge, UK, 2006. [Google Scholar]
- Zubillaga, O.; Cano, F.J.; Azkarate, I.; Molchan, I.S.; Thompson, G.E.; Skeldon, P. Anodic films containing polyaniline and nanoparticles for corrosion protection of AA2024T3 aluminium alloy. Surf. Coat. Technol. 2009, 203, 1494–1501. [Google Scholar] [CrossRef]
- Gao, G.; Wu, H.; He, R.; Cui, D. Corrosion inhibition during synthesis of Cu2O nanoparticles by 1,3-diaminopropylene in solution. Corros. Sci. 2010, 52, 2804–2812. [Google Scholar] [CrossRef]
- Zhang, X.; Wang, F.; Du, Y. Effect of nano-sized titanium powder addition on corrosion performance of epoxy coatings. Surf. Coat. Technol. 2007, 201, 7241–7245. [Google Scholar] [CrossRef]
- Behzadnasab, M.; Mirabedini, S.M.; Kabiri, K.; Jamali, S. Corrosion performance of epoxy coatings containing silane treated ZrO2 nanoparticles on mild steel in 3.5% NaCl solution. Corros. Sci. 2011, 53, 89–98. [Google Scholar] [CrossRef]
- Atta, A.M.; El-Azabawy, O.E.; Ismail, H.S.; Hegazy, M.A. Novel dispersed magnetite core–shell nanogel polymers as corrosion inhibitors for carbon steel in acidic medium. Corros. Sci. 2011, 53, 1680–1689. [Google Scholar] [CrossRef]
- Li, Y.; Fedkiw, P.S. Effect of gel electrolytes containing silica nanoparticles on aluminum corrosion. Electrochim. Acta 2007, 52, 2471–2477. [Google Scholar] [CrossRef]
- Truc, T.A.; Hang, T.T.X.; Oanh, V.K.; Dantras, E.; Lacabanne, C.; Oquab, D.; Pébère, N. Incorporation of an indole-3 butyric acid modified clay in epoxy resin for corrosion protection of carbon steel. Surf. Coat. Technol. 2008, 202, 4945–4951. [Google Scholar] [CrossRef] [Green Version]
- Quadri, T.W.; Lukman, O.O.; Omolola, E.F.; Moses, M.S.; Eno, E.E. Zinc Oxide Nanocomposites of Selected Polymers: Synthesis, Characterization, and Corrosion Inhibition Studies on Mild Steel in HCl Solution. ACS Omega 2017, 2, 8421–8437. [Google Scholar] [CrossRef] [Green Version]
- Ross, J.H.; Baker, D.; Coscia, A.T. Some reactions of epichlorohydrin with amines. J. Org. Chem. 1964, 29, 824–826. [Google Scholar] [CrossRef]
- Khalil, M.; Farag, S. Preparation of some cationic starches using the dry process. Starch-Stärke 1998, 50, 267–271. [Google Scholar] [CrossRef]
- Gouda, M.; Aljaafari, A.; Al-Fayz, Y.; Boraie, W. Preparation and characterization of some nanometal oxides using microwave technique and their application to cotton fabrics. J. Nanomater. 2015, 2015, 586904. [Google Scholar] [CrossRef]
- Hospodarova, V.; Singovszka, E.; Stevulova, N. Characterization of cellulosic fibers by FTIR spectroscopy for their further implementation to building materials. Am. J. Anal. Chem. 2018, 9, 303–310. [Google Scholar] [CrossRef] [Green Version]
- Jóźwiak, T.; Filipkowska, U.; Brym, S.; Zyśk, M. The use of aminated cotton fibers as an unconventional sorbent to remove anionic dyes from aqueous solutions. Cellulose 2020, 27, 3957–3969. [Google Scholar] [CrossRef] [Green Version]
- Sheena, P.; Priyanka, K.; Sabu, B. Varghese Effect of calcination temperature on the structural and optical properties of nickel oxide nanoparticles. Nanosyst. Phys. Chem. Math. 2014, 5, 441–449. [Google Scholar]
- Xu, J.; Li, S.; Tan, L.; Kou, B. Enhanced catalytic activity of mesoporous graphitic carbon nitride on thermal decomposition of ammonium perchlorate via copper oxide modification. Mater. Res. Bull. 2017, 93, 352–360. [Google Scholar] [CrossRef]
- Ta, T.K.H.; Trinh, M.-T.; Long, N.V.; Nguyen, T.T.M.; Nguyen, T.L.T.; Thuoc, T.L.; Phan, B.T.; Mott, D.; Maenosono, S.; Tran-Van, H. Synthesis and surface functionalization of Fe3O4-SiO2 core-shell nanoparticles with 3-glycidoxypropyltrimethoxysilane and 1, 1′-carbonyldiimidazole for bio-applications. Colloids Surf. A Physicochem. Eng. Asp. 2016, 504, 376–383. [Google Scholar] [CrossRef]
- Diva, T.N.; Zare, K.; Taleshi, F.; Yousefi, M. Synthesis, characterization, and application of nickel oxide/CNT nanocomposites to remove Pb2+ from aqueous solution. J. Nanostructure Chem. 2017, 7, 273–281. [Google Scholar] [CrossRef] [Green Version]
- Ishak, W.H.W.; Ahmad, I.; Ramli, S.; Amin, M.C.I.M. Gamma irradiation-assisted synthesis of cellulose nanocrystal-reinforced gelatin hydrogels. Nanomaterials 2018, 8, 749. [Google Scholar] [CrossRef] [Green Version]
- Srivastava, N.; Srivastava, P. Realizing NiO nanocrystals from a simple chemical method. Bull. Mater. Sci. 2010, 33, 653–656. [Google Scholar] [CrossRef] [Green Version]
- Batool, M.; Qureshi, M.Z.; Hashmi, F.; Mehboob, N.; Shah, A.S. Congo Red Azo Dye Removal and Study of Its Kinetics by Aloe Vera Mediated Copper Oxide Nanoparticles. Indones. J. Chem. 2019, 19, 626–637. [Google Scholar] [CrossRef]
- Kumar, P.; Nene, A.G.; Punia, S.; Kumar, M.; Abbas, Z.; Thakral, F.; Tuli, H.S. Synthesis, Characterization and antibacterial activity of CuO nanoparticles. Int. J. Appl. Pharm. 2020, 12, 17–20. [Google Scholar] [CrossRef]
- Noval, V.E.; Carriazo, J.G. Fe3O4-TiO2 and Fe3O4-SiO2 core-shell powders synthesized from industrially processed magnetite (Fe3O4) microparticles. Mater. Res. 2019, 22, e20180660. [Google Scholar] [CrossRef] [Green Version]
- Wang, C.; Chen, J.; Hu, B.; Liu, Z.; Wang, C.; Han, J.; Su, M.; Li, Y.; Li, C. Modified chitosan-oligosaccharide and sodium silicate as efficient sustainable inhibitor for carbon steel against chloride-induced corrosion. J. Clean. Prod. 2019, 238, 117823. [Google Scholar] [CrossRef]
- Abdeen, D.H.; El Hachach, M.; Koc, M.; Atieh, M.A. A Review on the Corrosion Behaviour of Nanocoatings on Metallic Substrates. Materials 2019, 12, 210. [Google Scholar] [CrossRef] [Green Version]
- Abd El-Lateef, H.M.; Mohamed, I.M.A.; Zhu, J.-H.; Khalaf, M.M. An efficient synthesis of electrospun TiO2-nanofibers/Schiff base phenylalanine composite and its inhibition behavior for C-steel corrosion in acidic chloride environments. J. Taiwan Inst. Chem. Eng. 2020, 112, 306–321. [Google Scholar] [CrossRef]
- Saleh, M.M.; Mahmoud, M.G.; Abd El-lateef, H.M. Comparative study of synergistic inhibition of mild steel and pure iron by 1- hexadecylpyridinium chloride and bromide ions. Corros. Sci. 2019, 154, 70–79. [Google Scholar] [CrossRef]
- Hefni, H.H.; Azzam, E.M.; Badr, E.A.; Hussein, M.; Tawfik, S.M. Synthesis, characterization and anticorrosion potentials of chitosan-g-PEG assembled on silver nanoparticles. Int. J. Biol. Macromol. 2016, 83, 297–305. [Google Scholar] [CrossRef] [PubMed]
- Solomon, M.M.; Gerengi, H.; Umoren, S.A. Carboxymethyl cellulose/silver nanoparticles composite: Synthesis, characterization and application as a benign corrosion inhibitor for St37 steel in 15% H2SO4 medium. ACS Appl. Mater. Interfaces 2017, 9, 6376–6389. [Google Scholar] [CrossRef]
- Alam, R.; Mobin, M.; Aslam, J. Investigation of anti-corrosive properties of poly(aniline-co-2-pyridylamine-co-2,3-xylidine) and its nanocomposite poly(aniline-co-2-pyridylamine-co-2,3-xylidine)/ZnO on mild steel in 0.1 M HCl. Appl. Surf. Sci. 2016, 368, 360–367. [Google Scholar] [CrossRef]
- Singh, A.; Ansari, K.R.; Haque, J.; Dohare, P.; Lgaz, H.; Salghi, R.; Quraishi, M.A. Effect of electron donating functional groups on corrosion inhibition of mild steel in hydrochloric acid: Experimental and quantum chemical study. J. Taiwan Inst. Chem. Eng. 2018, 82, 233–251. [Google Scholar] [CrossRef]
- Ansari, K.R.; Quraishi, M.A. Experimental and computational studies of naphthyridine derivatives as corrosion inhibitor for N80 steel in 15% hydrochloric acid. Phys. E 2015, 69, 322–331. [Google Scholar] [CrossRef]
- Ansari, K.R.; Quraishi, M.A.; Singh, A.; Ramkumar, S.; Obot, I.B. Corrosion inhibition of N80 steel in 15% HCl by pyrazolone derivatives: Electrochemical, surface and quantum chemical studies. RSC Adv. 2016, 6, 24130–24141. [Google Scholar] [CrossRef]
- Li, X.H.; Deng, S.D.; Fu, H.; Mu, G.N. Inhibition by tween-85 of the corrosion of cold rolled steel in 1.0 M hydrochloric acid solution. J. Appl. Electrochem. 2009, 39, 1125–1135. [Google Scholar] [CrossRef]
- Singh, A.; Ansari, K.R.; Quraishi, M.A.; Lgaz, H.; Lin, Y. Synthesis and investigation of pyran derivatives as acidizing corrosion inhibitors for N80 steel in hydrochloric acid: Theoretical and experimental approaches. J. Alloys Compd. 2018, 762, 347–362. [Google Scholar] [CrossRef]
- Ansari, K.R.; Quraishi, M.A.; Singh, A. Schiff’s base of pyridyl substituted triazoles as new and effective corrosion inhibitors for mild steel in hydrochloric acid solution. Corros. Sci. 2014, 79, 5–15. [Google Scholar] [CrossRef]
- Umoren, S.A.; AlAhmary, A.A.; Gasem, Z.M.; Solomon, M.M. Evaluation of Chitosan and Carboxymethyl cellulose as Ecofriendly Corrosion Inhibitors for Steel. Int. J. Biol. Macromol. 2018, 117, 1017–1028. [Google Scholar] [CrossRef]
- Solomon, M.M.; Umoren, S.A.; Udosoro, I.I.; Udoh, A.P. Inhibitive and adsorption behaviour of carboxymethyl cellulose on mild steel corrosion in sulphuric acid solution. Corros. Sci. 2010, 52, 1317–1325. [Google Scholar] [CrossRef]
- Aslam, R.; Mobin, M.; Aslam, J.; Lgaz, H.; Chung, I.-M. Inhibitory effect of sodium carboxymethylcellulose and synergistic biodegradable gemini surfactants as effective inhibitors for MS corrosion in 1 M HCl. J. Mater. Res. Technol. 2019, 8, 4521–4533. [Google Scholar] [CrossRef]
- Marzorati, S.; Verotta, L.; Trasatti, P.S. Green Corrosion Inhibitors from Natural Sources and Biomass Wastes. Molecules 2019, 24, 48. [Google Scholar] [CrossRef] [Green Version]
- Odewunmi, N.A.; Umoren, S.A.; Gasem, Z.M.; Ganiyu, S.A.; Muhammad, Q. L-citrulline: An active corrosion inhibitor component of watermelon rind extract for mild steel in HCl medium. J. Taiwan Inst. Chem. Eng. 2015, 51, 177–185. [Google Scholar] [CrossRef]
- Sanaei, Z.; Ramezanzadeh, M.; Bahlakeh, G.; Ramezanzadeh, B. Use of Rosa canina fruit extract as a green corrosion inhibitor for mild steel in 1 M HCl solution: A complementary experimental, molecular dynamics and quantum mechanics investigation. J. Ind. Eng. Chem. 2019, 69, 18–31. [Google Scholar] [CrossRef]
- Luo, X.; Ci, C.; Li, J.; Lin, K.; Du, S.; Zhang, H. 4-aminoazobenzene modified natural glucomannan as a green eco-friendly inhibitor for the mild steel in 0.5 M HCl solution. Corros. Sci. 2019, 151, 132–142. [Google Scholar] [CrossRef]
- Mourya, P.; Banerjee, S.; Singh, M.M. Corrosion inhibition of mild steel in acidic solution by Tagetes erecta (Marigold flower) extract as a green inhibitor. Corros. Sci. 2014, 85, 352–361. [Google Scholar] [CrossRef]













| Inhibitor Code | Cinh/ mg L−1 | icor ± SD/ µA cm−2 | −Ecor/ V (SCE) | βa/ V dec−1 | −βc/ V dec−1 | θ | ηP/ % |
|---|---|---|---|---|---|---|---|
| Blank | 0.0 | 2511 ± 195 | −0.416 | 0.081 | 0.161 | -- | -- |
| PAC | 25 | 1453.8 ± 122 | −0.414 | 0.088 | 0.176 | 0.421 | 42.1 |
| 50 | 1089.7 ± 105 | −0.412 | 0.093 | 0.176 | 0.566 | 56.6 | |
| 100 | 785.9 ± 65 | −0.411 | 0.095 | 0.173 | 0.687 | 68.7 | |
| 150 | 509.7 ± 43 | −0.426 | 0.084 | 0.174 | 0.797 | 79.7 | |
| 200 | 344.1 ± 23 | −0.425 | 0.087 | 0.178 | 0.863 | 86.3 | |
| 250 | 298.8 ± 11 | −0.418 | 0.091 | 0.18 | 0.881 | 88.1 | |
| PAC/CuONPs | 25 | 1345.8 ± 113 | −0.410 | 0.095 | 0.179 | 0.464 | 46.4 |
| 50 | 906.4 ± 86 | −0.405 | 0.092 | 0.182 | 0.639 | 63.9 | |
| 100 | 617.7 ± 56 | −0.425 | 0.089 | 0.176 | 0.754 | 75.4 | |
| 150 | 414.3 ± 34 | −0.420 | 0.094 | 0.182 | 0.835 | 83.5 | |
| 200 | 193.3 ± 16 | −0.422 | 0.087 | 0.185 | 0.923 | 92.3 | |
| 250 | 170.7 ± 10 | −0.416 | 0.091 | 0.181 | 0.932 | 93.2 | |
| PAC/Fe3O4NPs | 25 | 1247.9 ± 102 | −0.403 | 0.095 | 0.174 | 0.503 | 50.3 |
| 50 | 806.1 ± 77 | −0.423 | 0.087 | 0.178 | 0.679 | 67.9 | |
| 100 | 441.9 ± 41 | −0.430 | 0.092 | 0.176 | 0.824 | 82.4 | |
| 150 | 313.8 ± 26 | −0.410 | 0.092 | 0.174 | 0.875 | 87.5 | |
| 200 | 118.1 ± 12 | 0.407 | 0.089 | 0.177 | 0.953 | 95.3 | |
| 250 | 97.9 ± 8 | −0.412 | 0.093 | 0.183 | 0.961 | 96.1 | |
| PAC/NiONPs | 25 | 1084.7 ± 97 | −0.425 | 0.093 | 0.174 | 0.568 | 56.8 |
| 50 | 612.6 ± 51 | −0.432 | 0.094 | 0.181 | 0.756 | 75.6 | |
| 100 | 404.2 ± 37 | −0.413 | 0.095 | 0.18 | 0.839 | 83.9 | |
| 150 | 223.5 ± 18 | −0.408 | 0.088 | 0.181 | 0.911 | 91.1 | |
| 200 | 67.8 ± 6 | −0.411 | 0.091 | 0.176 | 0.973 | 97.3 | |
| 250 | 35.1 ± 3 | −0.415 | 0.093 | 0.179 | 0.986 | 98.6 |
| Inhibitor Codes | Cinh/ mg L−1 | Re/ Ω cm2 | RP/ Ω cm2 ± SD | Cdl/ F cm−2 × 10−6 | QCPE | χ2 × 10−4 | θ | ηE/ % | |
|---|---|---|---|---|---|---|---|---|---|
| Y0/μΩ−1 sn cm−2 | n | ||||||||
| 1.0 M HCl | 0.0 | 0.69 | 28.8 ± 2.1 | 822.5 | 75.84 | 0.701 | 4.52 | -- | -- |
| PAC | 25 | 0.78 | 48.2 ± 3.2 | 310.8 | 27.22 | 0.784 | 3.72 | 0.402 | 40.2 |
| 50 | 0.73 | 69.1 ± 4.3 | 251.6 | 22.24 | 0.793 | 3.77 | 0.583 | 58.3 | |
| 100 | 0.71 | 101.4 ± 7.3 | 140.8 | 12.39 | 0.872 | 3.81 | 0.715 | 71.5 | |
| 150 | 0.89 | 150.3 ± 11.5 | 92.5 | 8.02 | 0.812 | 3.86 | 0.808 | 80.8 | |
| 200 | 0.82 | 213.6 ± 15.6 | 81.6 | 6.44 | 0.862 | 4.01 | 0.865 | 86.5 | |
| 250 | 0.98 | 353.9 ± 21.7 | 56.6 | 4.98 | 0.822 | 3.90 | 0.918 | 91.8 | |
| PAC/CuONPs | 25 | 0.85 | 49.8 ± 3.1 | 245.8 | 21.51 | 0.793 | 3.77 | 0.422 | 42.2 |
| 50 | 0.81 | 74.2 ± 5.2 | 204.1 | 17.86 | 0.784 | 3.79 | 0.612 | 61.2 | |
| 100 | 0.78 | 115.6 ± 7.8 | 128.3 | 11.30 | 0.803 | 3.81 | 0.751 | 75.1 | |
| 150 | 0.97 | 189.4 ± 9.5 | 68.3 | 5.95 | 0.812 | 3.94 | 0.848 | 84.8 | |
| 200 | 0.93 | 313.1 ± 15.7 | 54.1 | 3.76 | 0.889 | 3.97 | 0.908 | 90.8 | |
| 250 | 1.07 | 457.2 ± 24.3 | 40.8 | 3.52 | 0.829 | 3.86 | 0.937 | 93.7 | |
| PAC/Fe3O4NPs | 25 | 0.81 | 51.7 ± 3.9 | 185.2 | 16.16 | 0.812 | 4.19 | 0.443 | 44.3 |
| 50 | 0.84 | 82.7 ± 5.7 | 126.6 | 11.06 | 0.825 | 4.14 | 0.652 | 65.2 | |
| 100 | 0.89 | 142.5 ± 8.4 | 103.3 | 8.99 | 0.812 | 3.97 | 0.798 | 79.8 | |
| 150 | 0.94 | 223.2 ± 12.4 | 55.8 | 6.56 | 0.822 | 3.55 | 0.871 | 87.1 | |
| 200 | 1.02 | 374.1 ± 18.9 | 42.5 | 4.98 | 0.847 | 3.69 | 0.923 | 92.3 | |
| 250 | 1.12 | 614.4 ± 27.5 | 30.1 | 2.67 | 0.851 | 4.04 | 0.953 | 95.3 | |
| PAC/NiONPs | 25 | 0.85 | 55.9 ± 4.3 | 152.5 | 11.18 | 0.852 | 4.26 | 0.485 | 48.5 |
| 50 | 0.87 | 97.3 ± 6.2 | 104.1 | 7.65 | 0.866 | 4.22 | 0.704 | 70.4 | |
| 100 | 0.93 | 176.6 ± 13.3 | 85.3 | 6.19 | 0.852 | 4.04 | 0.837 | 83.7 | |
| 150 | 0.98 | 271.7 ± 17.2 | 45.8 | 4.49 | 0.863 | 3.61 | 0.894 | 89.4 | |
| 200 | 1.06 | 564.7 ± 25.9 | 35.2 | 3.40 | 0.889 | 3.76 | 0.949 | 94.9 | |
| 250 | 1.17 | 804.5 ± 56.4 | 24.1 | 1.82 | 0.893 | 4.12 | 0.964 | 96.4 | |
| Inhibitor | R2 | S = slope | Kads ( L g−1) | /kJ g−1 |
|---|---|---|---|---|
| PAC | 0.998 | 0.978 | 25.65 | −45.82 |
| PAC/CuONPs | 0.998 | 0.942 | 30.30 | −46.26 |
| PAC/Fe2O3NPs | 0.999 | 0.929 | 37.03 | −46.79 |
| PAC/NiONPs | 0.999 | 0.932 | 45.45 | −47.34 |
| Substrate | Corrosive Media | Inhibitor/Dose | Protection Capacity | References |
|---|---|---|---|---|
| St37 Steel | 15% H2SO4 | 1000 ppm carboxymethyl cellulose/ silver nanoparticles composite | 92.12 | Ref. [65] |
| X60 pipeline steel | 3.5% NaCl saturated with CO2 | 100 ppm chitosan | 45 | Ref. [73] |
| X60 pipeline steel | 3.5% NaCl saturated with CO2 | 100 ppm carboxymethyl cellulose | 39 | Ref. [73] |
| X60 pipeline steel | 3.5% NaCl saturated with CO2 | 100 ppm commercial inhibitor | 88 | Ref. [73] |
| Mild steel | 2.0 M H2SO4 | 500 ppm carboxymethyl cellulose | 66.2 | Ref. [74] |
| Mild steel | 1.0 M HCl | 700 ppm sodium carboxymethyl cellulose | 86.8 | Ref. [75] |
| C-steel | Molar HCl | 250 ppm PAC | 88.1 | Present work |
| C-steel | Molar HCl | 250 ppm PAC/CuONPs | 93.2 | Present work |
| C-steel | Molar HCl | 250 ppm PAC/Fe3O4NPs | 96.1 | Present work |
| C-steel | Molar HCl | 250 ppm PAC/NiONPs | 98.6 | Present work |
| Specimen | Element (% wt) | |||||||
|---|---|---|---|---|---|---|---|---|
| Fe | C | Cr | Mn | Ni | O | N | Cl | |
| (A) Pristine C-steel | 98.94 | 0.19 | 0.75 | 0.06 | 0.06 | -- | -- | -- |
| (B) C-steel in molar HCl | 61.34 | 0.18 | 0.61 | 0.05 | 0.02 | 16.15 | -- | 21.65 |
| (C) C-steel in molar HCl + 250 ppm PAC | 86.12 | 4.67 | 0.23 | 0.03 | 0.05 | 4.37 | 2.37 | 2.21 |
| (D) C-steel in molar HCl + 250 ppm PAC/NiONPs | 87.25 | 3.04 | 0.16 | 0.04 | 3.16 | 3.08 | 1.87 | 1.40 |
Publisher’s Note: MDPI stays neutral with regard to jurisdictional claims in published maps and institutional affiliations. |
© 2021 by the authors. Licensee MDPI, Basel, Switzerland. This article is an open access article distributed under the terms and conditions of the Creative Commons Attribution (CC BY) license (https://creativecommons.org/licenses/by/4.0/).
Share and Cite
Gouda, M.; El-Lateef, H.M.A. Novel Cellulose Derivatives Containing Metal (Cu, Fe, Ni) Oxide Nanoparticles as Eco-Friendly Corrosion Inhibitors for C-Steel in Acidic Chloride Solutions. Molecules 2021, 26, 7006. https://doi.org/10.3390/molecules26227006
Gouda M, El-Lateef HMA. Novel Cellulose Derivatives Containing Metal (Cu, Fe, Ni) Oxide Nanoparticles as Eco-Friendly Corrosion Inhibitors for C-Steel in Acidic Chloride Solutions. Molecules. 2021; 26(22):7006. https://doi.org/10.3390/molecules26227006
Chicago/Turabian StyleGouda, Mohamed, and Hany M. Abd El-Lateef. 2021. "Novel Cellulose Derivatives Containing Metal (Cu, Fe, Ni) Oxide Nanoparticles as Eco-Friendly Corrosion Inhibitors for C-Steel in Acidic Chloride Solutions" Molecules 26, no. 22: 7006. https://doi.org/10.3390/molecules26227006
APA StyleGouda, M., & El-Lateef, H. M. A. (2021). Novel Cellulose Derivatives Containing Metal (Cu, Fe, Ni) Oxide Nanoparticles as Eco-Friendly Corrosion Inhibitors for C-Steel in Acidic Chloride Solutions. Molecules, 26(22), 7006. https://doi.org/10.3390/molecules26227006
